
Department of Chemical Engineering, S R M University, Kattankulathur, Chennai 603203, India
Email: stheneshkumar@gmail.com
Received: 21 Dec 2015, Revised and Accepted: 29 Feb 2016
ABSTRACT
Objective: The main purpose of this study is to assess quantitatively, the effect of the addition of hydrotropes, namely urea, sodium salicylate, and sodium benzoate on the solubility of forskolin in water, and to compare the efficacy of hydrotropes in increasing aqueous solubility of forskolin. Hydrotropes were chosen for this study, based on their wavelengths, and physical properties.
Methods: The maximum wavelength of absorption of forskolin was determined spectrophotometrically, using a UV-Vis spectrometer. It was found to be 220 nm and was instrumental in the selection of hydrotropes for this experiment. Physical properties (viscosity, specific gravity and surface tension) of the chosen hydrotropes, namely sodium salicylate, urea, and sodium benzoate, were measured, over a range of concentrations and they indicated the approximate value of the minimum hydrotrope concentration of each hydrotrope. Stock solutions (1M) of the hydrotropes chosen, were prepared, and this was followed by, preparation of standard samples of forskolin, in hydrotropic solutions. These samples were analyzed spectroscopically, to obtain the characteristic calibration curves, for each hydrotrope. Solubility studies were then conducted, and the data obtained, was used to calculate enhancement ratios, which is a measure of the efficacy of a hydrotrope, in increasing aqueous solubility of a solute.
Results: The addition of hydrotropes showed a remarkable increase in aqueous solubility of forskolin. Sodium salicylate proved more effective registering an enhancement ratio of 297.02, compared to sodium benzoate, which recorded a ratio of 296.97 and urea which showed a ratio of 43.35.
Conclusion: Sodium salicylate and sodium benzoate showed very high enhancement ratios when compared to urea. This enhanced performance can be attributed to the large number of carbon atoms and the cyclic structure, which increases the hydrophobic nature of the hydrotrope. Higher efficacy of sodium salicylate can be ascribed to, the presence of hydroxyl group which increases the aqueous solubility of sodium salicylate, leading to better hydrotropic action.
Keywords:Forskolin, Hydrotropy, Solubility, UV Spectrometry, Sodium salicylate, Sodium benzoate, Urea
© 2016 The Authors. Published by Innovare Academic Sciences Pvt Ltd. This is an open access article under the CC BY license (http://creativecommons.org/licenses/by/4.0/)
INTRODUCTION
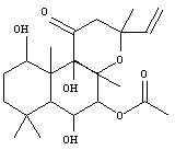
Forskolin is an herbal extract from Coleus forskohlii root, a plant belonging to the mint family. It is known to increase the production of cyclic AMP (cAMP), and to activate adenylyl cyclase. It is widely used in the study and research of cell physiology. It is widely used as an herbal medicine to treat, respiratory disorders like asthma, allergies, and angina. Quality clinical trials are lacking to support claims made of the weight loss properties of forskolin, and the action of forskolin, and it's biological pathways are still under investigation [1]. The chemical structure of forskolin is given in fig. 1.
Fig. 1: Chemical structure of forskolin
Hydrotropes are a diverse class of molecules first described by Newberg almost a century ago [2]. They are characterized by an amphiphilic molecular structure and ability to dramatically increase the solubility of sparingly soluble organic molecules in water, often by several orders of magnitude [3-4]. This phenomenon termed hydrotropy is considered as a unique and unprecedented solubilization technique because of the easy recovery of dissolved solute and possible re-use of hydrotrope solutions. This technique also facilitates the separation of close-boiling isomers and non-isomers in mixtures besides increasing the rate of heterogeneous reactions [5-8].
The most common molecular characteristics of a hydrotropic molecule are a saturated hydrocarbon ring and anionic moiety; however, hydrotropes can adopt many forms. Figs. 2-4 illustrate a small sample of the diverse molecules classified as hydrotropes. They have been well studied since their discovery, and Friberg and Blute report a detailed description of their historical development and industrial applications [9]. Several recent review articles also touch on the importance of hydrotropes and their many synergistic properties when combined with other amphiphilic molecules [9-12]. Despite this extensive study and the numerous commercial and pharmaceutical applications, many ambiguities regarding their classification and molecular association still exist.
Fig. 2: Structure of sodium salicylate
Fig. 3: Structure of sodium benzoate
Fig. 4: Structure of urea
Hydrotropy is not same as a simple phase mixing or salting-in or co-solvency process. Solubilization of hydrotrope is characterized by a relatively high concentration of hydrotrope needed and a larger amount of solute solubilized, compared with that in micellized surfactants. Also, hydrotrope is more selective against the solute than any surfactants. Surfactants have long chain hydrocarbons while hydrotropes mainly have short and bulky hydrocarbon chains [13-16]. The ability of hydrotropes to increase the solubility of organics in water has often been strongest when the hydrotrope concentration is sufficient to induce the formation of associated structures.
The concentration at which self-association begins is denoted as the minimum hydrotrope concentration (MHC) [17] and is often indicated by changes in the solution properties such as viscosity, conductivity, surface tension, or solubility. The relatively high concentration required to reach the MHC however, often restrict the commercial application of hydrotropes. A novel approach to reducing the MHC was reported by Kumar et al. [l8] who successfully reduced the MHC of several hydrotropes with the addition of salt, n-alcohol, or urea. Recently, interest in hydrotrope mixed surfactant and hydrotrope/polymer solution has grown because of the presence of novel microstructures and the man synergistic effect on the phase behavior, viscosity, and solubility of organics of relatively low hydrotrope concentration [3].
Various organic solvents such as ethanol, methanol, chloroform, dimethylformamide, and acetonitrile have been employed for solubilization of poorly water-soluble drugs to carry out spectrophotometric analysis. Drawbacks of organic solvents include their higher cost, toxicity, and pollution. The hydrotropic solution may be a proper choice to preclude the use of organic solvents. Therefore, it was thought worthwhile to employ this hydrotropic solution to enhance the aqueous solubility of forskolin and to carry out spectrophotometric estimation. Present work emphasizes on to compare the effect of hydrotropes on the solubility of forskolin by UV Spectroscopic methods.
MATERIALS AND METHODS
Instrument
UV-Visible single beam spectrophotometer, Agilent Cary 60 having spectral bandwidth 3 nm and of wavelength accuracy±1 nm, with 1 cm quartz cells and Centrifuge, Remi C-24 plus were used.
Reagents and chemicals
All the reagents and chemicals used in this work were procured from S D Fine-Chem Ltd, Mumbai with a manufacturer’s stated purity of 99 %.
Determination of properties of hydrotrope solution
The properties of hydrotrope solution, such as viscosity, specific gravity, and surface tension were determined for a range of hydrotrope concentration between 0.10 and 1.00M at room temperature. This study of properties of hydrotrope solution is undertaken to propose a possible mechanism of hydrotrope.
The viscosity of hydrotrope solution was measured using Ostwald Viscometer (0 to 5 cP) immersed in the water bath. An empty specific gravity bottle was weighed and filled with hydrotrope solution up to the volume marker. The specific gravity, which is the ratio between the weight of hydrotrope solution and an equal volume of water, is determined. Surface tension of hydrotrope solution was measured by capillary rise method [19].
Preparation of 1M hydrotropic stock solutions
For the preparation of 1M sodium salicylate solution (300 ml), 48.033 gm of sodium salicylate was carefully weighed and transfer into a 500 ml clean cylindrical glass beaker. To this 300 ml of Millipore water was added. The solution was stirred in a magnetic stirrer for 1 hour at room temperature. After stirring, it was equilibrated for 24 h. Then it was centrifuged at 2000 rpm for 15 min to ensure no precipitate was formed. A suitably warmed pipette was used to withdraw the centrifuged solution with the tip protected by a microfilter. This 1M solution of sodium salicylate was used as the stock solution for calibration as well as for solubility studies [20]. The same procedure was repeated for the preparation of 1M sodium benzoate and urea solutions by adding 43.203 gm of sodium benzoate and 18.018 gm of urea respectively to 300 ml of Millipore water.
Determination of maximum wavelength (λmax) of forskolin
For the determination of λmax of forskolin, a measurable quantity of the pure forskolin sample was added in 30 ml of analytical grade ethanol in a 50 ml cylindrical glass beaker. The solution was stirred for 1 hour at room temperature and centrifuged at 1000 rpm for 10 min to ensure no precipitate was formed. The sample was scanned between 200 to 800 nm in UV-Vis Spectrophotometer (Agilent Cary 60). The λmax was found to be 220 nm since the maximum peak was absorbed in 220 nm (fig. 5).
Fig. 5: UV spectrum of pure Forskolin
Preparation of standard samples for calibration
To prepare the standard samples, 50 ml of stock solution was taken in the five different breakers B1, B2, B3, B4 and B5. To the beaker B1 around 1 mg of pure powdered forskolin was added to make the concentration of 0.02 mg/ml. Likewise 2 mg, 3 mg, 4 mg and 5 mg was added to the beakers B2, B3, B4 and B5 to obtain 0.04, 0.06, 0.08 and 0.10 mg/ml concentrations respectively. All the beakers were stirred using a magnetic stirrer for 1 hour. After complete solubilization of forskolin in the hydrotrope solution, it was equilibrated for 24 h. Then the solution was centrifuged at 2000 rpm for 15 min and filtered before analyzing in UV-Vis [20].
Calibration curve of forskolin in 1M hydrotrope solutions
The calibration curve was obtained by scanning the standard solutions (0.02 mg/ml, 0.04 mg/ml, 0.06 mg/ml, 0.08 mg/ml and 0.10 mg/ml) using UV-Vis Spectrophotometer at 220 nm (λmax of forskolin) against the corresponding solvent blank at room temperature and atmospheric pressure. The calibration charts were generated for all hydrotropes i.e. sodium salicylate, sodium benzoate and urea at a constant hydrotrope concentration (1M)
Solubility studies
The solubility measurements of forskolin in hydrotrope solutions experiments were carried out in a 100 ml cylindrical glass vessel equipped with the magnetic stirrer arrangement. All solubility experiments were carried out by adding an excess amount of pure forskolin in 50 ml of 1M aqueous hydrotrope solutions at room temperature. The solution was equilibrated with an excess amount of pure forskolin for 4 h under vigorous stirring at room temperature to attain the equilibrium. After 4 h, the stirring was stopped, and the solution was kept still for 10 min and centrifuged at 2000 rpm for 15 min to precipitate the undissolved forskolin.
A suitably warmed pipette was used to withdraw the clear upper portion of the solution with the tip protected by a microfilter. This sample was analyzed using UV-Vis Spectrophotometer (Agilent Cary 60) at 220 nm to determine the concentration of forskolin solubilized into the aqueous hydrotrope solutions [21, 22]. All the solubility experiments were conducted in duplicate to check the reproducibility. The reproducibility error was less than 2 %. The effectiveness of the hydrotropes was determined in terms of enhancement ratio by using the following formula
Solubility enhancement ratio = (Solubility of forskolin in hydrotropic solution)/(Solubility of forskolin in water)
RESULTS AND DISCUSSION
In order to fix the constant 1M hydrotrope concentration used for the solubility studies and to explain the theory of the complex arrangement, a study on the solution properties like viscosity, specific gravity, and surface tension of hydrotropes for range hydrotrope concentrations (0.10-1.00M) was carried out. Figs 6-7 show the plot of viscosity, specific gravity and surface tension of hydrotrope solution versus hydrotrope concentration for different hydrotropes used.
The plots are detailing variation of physical properties with concentration showed non-linearity around a certain concentration less than 1M, the minimum hydrotrope concentration. This is because of the formation of aggregates at this concentration, which causes changes in the nature of the interaction of hydrotrope molecules with water, thus influencing the experimental concentration chosen (1M). The positive deviation in the viscosity plot (fig. 6) indicates that aggregate formation is associated with an increase in viscosity of hydrotrope concentration, which is in agreement with the self-association of phenolic compounds.
Fig. 6: Plot of viscosity versus hydrotrope concentration for different hydrotropes
Fig. 7: Plot of specific gravity versus hydrotrope concentration for different hydrotropes
Fig. 8: Plot of surface tension versus hydrotrope concentration for different hydrotropes
The plot of specific gravity versus hydrotrope concentration showed a negative deviation (fig. 7) that indicates an increase in partial molal volume upon aggregation, and this increase in volume may be due to the expansion of the hydrocarbon portion of the molecule or its partial removal from the high compressive force of water.
The surface tension plot (fig. 8) showed a moderate decrease in surface tension on increasing the hydrotrope concentration as hydrotropes are not surface active agents.
Hydrotrope, above MHC, is expected to form organized loose nano-assemblies with distinct hydrophobic regions where the solute can be solubilized. The solute molecules may also take part in the aggregation process of the hydrotrope, thereby, forming co-aggregates with the hydrotrope molecules in aqueous solutions. The formation of a stable co-aggregate depends on the molecular structure as well as the functional group(s) attached to the carbon skeleton of the solute as it would govern the intercalation of the solute between the hydrotrope molecules [1].
The solubilization of a solute is influenced by its hydrophobic part and also the chain length of an alkyl group of a hydrotrope [1]. The positive and negative deviation in the properties of a hydrotrope solution (Figs 6-8) shows that 1M hydrotrope concentration is more than the MHC value of all three hydrotropes. Therefore, 1M hydrotrope concentration or any hydrotrope concentrations more than MHC value are suitable for solubility experiment.
The solubility of forskolin was determined in both distilled (Millipore) water and 1M of various hydrotrope solutions such as sodium salicylate, sodium benzoate and urea at room temperature. Forskolin was found to be more soluble in sodium salicylate solution than in distilled water. The highest value of enhancement ratio was observed in the case of sodium salicylate as 297.02, and the lowest value of enhancement ratio was measured for urea as 43.35 (table 1).
Table 1: Enhancement ratio of forskolin
Hydrotrope |
Absorbance |
Enhancement ratio |
Sodium Salicylate |
3.5642 |
297.02 |
Sodium Benzoate |
3.5636 |
296.97 |
Urea |
0.5202 |
43.35 |
Sodium salicylate did not interfere in the spectrophotometric estimation. It has no absorbance at 220 nm (λmax-280). From the calibration charts (fig. 9-11) a linear relationship between absorbance and concentration of forskolin was observed for all hydrotropes at 0.02 to 0.10 mg/l concentration range. This relationship was used to determine the concentration of forskolin dissolved in the various hydrotropes.
Fig. 9: Calibration chart for 1M sodium salicylate
The hydrotropic solubilization is claimed to be a sum of the molecular phenomenon, occurring due to co-aggregation of solute particles with the hydrotrope aggregates and the self-aggregation of hydrotrope molecules in aqueous solution. Hydrotrope forms loose nano-assembles above the minimum hydrotrope concentration with distinct hydrophobic regions where the solute molecule can solubilize. The formation of a co-aggregate depends on the molecular structure and functional groups attached to the carbon skeleton of solute [1].
Fig. 10: Calibration chart for 1M sodium benzoate
Fig. 11: Calibration chart for 1M urea
The solubilization is influenced by the number of carbon atom in the hydrotrope and functional groups in the hydrotrope. More the number of carbon atoms, more will be the solubility of the solute in the hydrotrope. Hydrotrope-hydrotrope and hydrotrope-solute associations are driven by the hydrophobicity of the hydrotrope structure. It is observed that with the increase in the number of carbon atom in the hydrotrope structure, its hydrophobicity also increases and which will result in the increased solubility of the given solute in the given hydrotropic solution. [1].
In our studies, sodium salicylate and sodium benzoate both having seven carbon atoms in their structure showed the maximum solubility while urea having just one carbon atom showed the least solubility. In spite of having the same number of a carbon atom, sodium salicylate showed more solubility. The extra hydroxyl group in the sodium salicylate can be pointed out as the reason for this increase in solubility.
CONCLUSION
This study identified that the two aromatic hydrotropes like sodium salicylate and sodium benzoate are a very good solubilizing agent for poorly soluble forskolin compound when compared to aliphatic hydrotrope i.e. urea. Sodium salicylate showed a higher enhancement ratio and proving to be an effective hydrotrope among three hydrotropes. Hydrotrope solution properties data suggest that the difference in solubilization power between the aromatic and aliphatic hydrotrope is the result of their difference in self-aggregation properties. Such differences are, in turn, the result of different hydrophobicity of the hydrotropes.
The solubility of forskolin is increased by 297.02 fold in the 1M sodium salicylate hydrotropic solution as compared with distilled water. Sodium salicylate solution is economical and error due to the volatility of organic solvent may be minimized. A medium of aqueous sodium salicylate solution can be used for the better separation of forskolin from coleus forskohlii roots, and can also find applications as a solubilizing agent, aimed at increasing effectiveness of forskolin based drugs
CONFLICTS OF INTERESTS
Declare none
REFERENCES