
1Department of Pharmaceutics, School of Pharmacy, PRIST University, Manamai-Nallur, Chennai, Tamilnadu, India, 2Department of Pharmaceutical Analysis, School of Pharmacy, PRIST University, Manamai-Nallur, Chennai, Tamilnadu, India
Email: rajeevmuthup@gmail.com
Received: 28 Jan 2017, Revised and Accepted: 17 Apr 2017
ABSTRACT
Objective: Develop a simple isocratic reverse phase high performance liquid chromatographic method (RP-HPLC) and validate for the determination of lincomycin hydrochloride (LMH) in bulk and pharmaceutical preparations.
Methods: RP-HPLC quantification was carried out by using fine pack SIL RPC18 column. The mobile phase (methanol: water) was pumped at a flow rate of 1 ml/min in the ratio of 90:10 v/v and the eluents were monitored at 254 nm.
Results: The retention time of the drug was 3.73 min and produced at a linear response in the concentration range of 5-25µg/ml. The percentage RSD was found to be below 2%. The LOD and LOQ were found to be 0.854µg/ml and 0.258µg/ml respectively.
Conclusion: Validation of the method was performed for precision, accuracy, linearity, ruggedness, specificity and sensitivity to conform to ICH guidelines for valuation for analytical methods.
Keywords: Lincomycin hydrochloride (LMH), RP-HPLC, Validation, Recovery, Tablet dosage
© 2017 The Authors. Published by Innovare Academic Sciences Pvt Ltd. This is an open access article under the CC BY license (http://creativecommons.org/licenses/by/4.0/)
DOI: http://dx.doi.org/10.22159/ijap.2017v9i3.17327
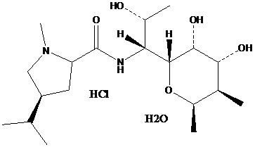
Lincomycin hydrochloride (LMH) broadly used as a systemic antibiotic, belongs to the collection of lincosamide, which is effective against maximum common gram-positive bacteria. Lincomycin hydrochloride prevents cell growth and microbial protein synthesis, by interacting powerfully and precisely with the 50S ribosomal subunit, at mutually related sites (fig. 1) [1]. Chemically LMH is a methyl 6-amino-6,8–dideoxy-N-[(2S,4R)-1-methyl-4-propylprolyl]-1-thio-D-erythro-α-D-galacto-octopyranoside hydrochloride monohydrate, antimicrobial bodies produced by Streptomyces lincolnensis var. lincolnensis or by some other means[2,3]. It is approved in Indian pharmacopoeia [4, 5], British pharmacopoeia [6], the United States of pharmacopoeia and National formulary [7]. A few analytical method have been stated for its quantitative determination in pharmaceutical formulations like GC [4-7] liquid chromatography with pulsed electrochemical detection [8], UV spectrophotometry [9], colorimetry [10], and atomic absorption spectroscopy [11]. In view of the above fact, specific fast and sensitive analytical methods are in need for its quantitative determination.
The purpose of the study was to improve a simple, precise, rapid and accurate reverse phase HPLC method for the estimation of lincomycin hydrochloride in bulk and pharmaceutical dosage forms.

Fig. 1: Molecular structure of lincomycin hydrochloride
Reagents and chemicals
Analytically pure lincomycin hydrochloride was attained as gift sample from Wallace Pharmaceuticals Pvt Ltd, Goa, India. Methanol and water of HPLC grade obtained from Hi-media chemicals, Mumbai were used for the preparation of mobile phase. As this drug has no marketed tablet preparations yet, we have formulated the tablets by changing the ratio of polymers by most usually used excipients by keeping the strength as constant (750 mg of LMH) and estimated the drug.
Instruments used
An isocratic high pressure liquid chromatographic system consisted of the following components: HPLC equipment (Jasco, Japan) consists of model PU-2080 HPLC pumps, UV-2075 model UV/Visible detector and AS-1559 model sampler. Chromatographic analysis was performed using the chrompass software on reverse phase fine park SIL C18 T-5 column with 250 x 4.6 mm i. d and particle size 5μm.
Preparation of mobile phase and stock solutions
The mobile phase consisting of methanol: water (90:10) v/v was selected. The solution was sonicated for 5 min. 750 mg of lincomycin hydrochloride raw material was weighed and transferred to 100 ml volumetric flask and dissolved in HPLC water to give 1000 μg/ml of LMH. Lincomycin hydrochloride solutions were further diluted with mobile phase to obtain a final concentration of 100μg/ml.
Chromatographic conditions
Ideal composition of mobile phase comprising of methanol: water (90:10) v/v was selected as it was found to preferably resolve the peaks of lincomycin hydrochloride. Reverse phase C18 column equilibrated with mobile phase was used. Mobile phase was filtered before procedure through 0.45 µm membrane filter and then ultrasonicated. The flow rate was sustained at 1 ml/min and effluents were monitored at 254 nm. The sample was introduced by using a 20μl fixed loop and the total run time was 5 min. All determinations were done at constant column temperature (30 °C). The retention time for lincomycin hydrochloride under the improved chromatographic conditions was found to be 3.73 min (fig. 2).
Linearity of data
Suitable aliquots of lincomycin hydrochloride stock solutions were pipetted into different 10 ml standard flasks and made up to the mark with mobile phase to attain a final concentration of 5,10,15,20,25 μg/ml respectively. Triplicate dilutions of all concentration were introduced into the HPLC in duplicate. The linearity of calibration graphs and obedience of the system to beer’s law was confirmed by the high significance of correlation coefficient. Solutions were injected using a 20μL fixed loop system and chromatograms were noted. Calibration curves were made by plotting area versus concentration and regression equation was calculated for lincomycin hydrochloride.
Assay of formulations
Twenty tablets comprising 750 mg of LMH were weighed and finely powdered. An exactly weighed powder sample equivalent to 100 mg of LMH was dissolved in HPLC water. The above solution was sonicated for 30 min and then filtered over a 0.45 μm membrane filter. An appropriate aliquot of this solution was pipetted into 100 ml standard flask, and the solution was finally made up to the mark with mobile phase. From the above solution, two concentrations were introduced and chromatograms were noted and matched with the standard.
Validation of HPLC method
The proposed HPLC method was confirmed as per ICH guidelines [12-15].
The precision of the method was analysed by performing recovery studies at 25, 50 and 75 % of the test concentrations. The precision of the method was validated by interday and intraday studies. To calculate the robustness of the established RP-HPLC method, small deliberate deviations in the optimized method parameters like the effect of a change in flow rate, mobile phase ratio and column temperature on the retention time, tailing factor, area count and percentage content of LMH were studied. The results of validation and system suitability studies are given in table 2.
Method validation
Linearity
The linearity of lincomycin hydrochloride employing RP-HPLC method was constructed by plotting area of lincomycin hydrochloride against concentration. The recommended method was found to be modest and true in the concentration range of 5-25 μg/ml for lincomycin hydrochloride. It was established to be true with a correlation coefficient of 0.9998 and the data is shown table 1.
Limit of detection (LOD) and limit of quantification (LOQ)
LOD is calculated by using the formula 3.3 times σ/s where “σ” is the standard deviation of intercept and “s” is the slope obtained for calibration curve and limit of quantification was found to be 0.854µg/ml and 0.258µg/ml, respectively. Similarly, LOQ is calculated by using the formula 10 times σ/s. The data are depicted in table 1.
Precision
This method was confirmed for its intra studies, the relative standard deviation, based on the peak area for six triplicate injections of standard preparations of LMH. The % RSD was found to be 0.229.
Intermediate precision
The analytical method was determined by performing method precision on the three successive days by different analyst under same experimental condition by injecting six replicate standard solutions of LMH. The %RSD was found to be 0.352. Intra and interday correctness were found to be less than 2% presenting high precision of the assay method.
Accuracy
It was also detected that that there was a significant recovery of LMH when a known amount of the drug was added to a crushed sample of the tablet dosage form. The mean percent recovery was 99.8%. The proposed HPLC method can be used for the determination of LMH in tablet dosage forms. Also, the % RSD for both the tablet analysis and recovery studies were less than 2% signifying a high degree of precision and accuracy of the suggested method. The estimated amount and percentage label claim are given in table 2.
Ruggedness
The ruggedness of the method for LMH was calculated with six injections by using two different coloumns. The % CV of ruggedness for LMH was 0.24 with coloumn-1 and 0.07 with colomn-2, which is within acceptable limits (table 1)
Table 1: Validation parameters determination during method validation for the detection and quantification of lincomycin hydrochloride
Validation parameter* |
Lincomycin hydrochloride |
| Linearity range (µg/ml) | 5-25 µg/ml |
| Coefficient of correlation(r2) | 0.99986 |
| LOD(µg/ml)(±%RSD) | 0.258 |
| LOQ (µg/ml) (±%RSD) | 0.854 |
| Retention time (min.) | 3.73 |
| Accuracy (%) | 99.6±0.82 |
| Precision (%RSD) | |
| Interday (n=6) Intraday (n=6) |
0.352 0.229 |
| Tailing factor | 1.2 |
| Recovery (%) (±%RSD) | 99.8 |
| Ruggedness (% CV) | |
| Column I Column II Robustness |
0.24 0.07 0.04 |
| Repeatability (RSD*,n = 6) | 0.14 |
*The validation parameters were determined from the analysis of eight standard solutions (n=6), %RSD: Percentage relative standard deviation. (% CV): coefficient of variation. LOD: Limit of detection, LOD: Limit of quantification.
Table 2: Analysis of tablet formulation and recovery studies
Formulation |
Amount present (mg) | Amount found*(%) | Standard deviation*(SD) | % RSD* | Standard error* | Mean % recovery# |
| Tablet 1 | 744.87 | 99.3 | 0.2651 | 0.5017 | 0.2041 | 99.57 |
| Tablet 2 | 749.91 | 99.9 | 0.5718 | 0.6609 | 0.1952 | 99.73 |
*Denotes average of six determinations, #Denotes average of three determinations at each level of recovery.
The outcomes of robustness reading as 0.04 also showed that the method is robust and is unaffected by minor differences in the chromatographic conditions.
System suitability
The developed method was validated according to regulatory guidelines [16-19]. Results of validation and system suitability testing are summed up in table 1. The results complied with the acceptance criteria laid down under regulatory guidelines [20] with % RSD values, tailing factor, asymmetry factor and height equivalent to theoretical plates being well below the acceptable limits and correlation coefficient, and a number of theoretical plates were above the minimum acceptance criterion.
System suitability parameters such as capacity factor, tailing factor and number of theoretical plates was found to be 2.8, 1.2, 4025, respectively. The retention time of lincomycin hydrochloride was found to be 3.73 min and depicted in fig. 1.

Fig. 1: A typical chromatogram of LMH (3.73 min) in tablet formulation
In the present study, LMH is determined by RP-HPLC, good linearity obtained for the drugs 5-25 µg/ml with a regression coefficient of 0.9998. The results for precision, recovery and ruggedness were within the limits. Hence, the established RP-HPLC method is simple, correct, precise and robust and can be employed effectively for the routine anlaysis of LMH in bulk and pharmaceutical dosage preparations.
The authors wish to thank School of Pharmacy, PRIST University, Manamai-Nallur, ECR, Near Mahabalipuram, Chennai, Tamilnadu-603102 for providing necessary facilities and to carry over the work. The authors wish to express their gratitude to Wallace Pharmaceutical Pvt. Ltd, Goa for providing the authentic sample (lincomycin hydrochloride).
Declare none
How to cite this article