
1,2,3Department of Pharmaceutics, KLEU College of Pharmacy, Bangalore, 4Geethanjali College of Pharmacy, Cheeryal (V), Keesara (M), RR District, Telangana State 521132
Email: preethigb.mmm@gmail.com
Received: 27 Feb 2017, Revised and Accepted: 22 Aug 2017
ABSTRACT
Objective: The rationale of the current research work was to formulate and evaluate fast-dissolving tablets of doxazosin mesylate with minimum disintegration time and improved dissolution efficiency using solid dispersion method.
Methods: Solid dispersions of doxazosin mesylate and polyethylene glycol 8000 in different ratios were prepared using the kneading method. The prepared solid dispersions were subjected to drug interaction and dissolution studies to select the effective solid dispersion for the formulation of fast-dissolving tablets. Fast dissolving tablets containing drug-polyethylene glycol 8000 solid dispersion (1:3) were prepared using various super-disintegrants such as crospovidone, croscarmellose sodium, mixture and coprocessed crospovidone and croscarmellose sodium in concentration range of 2% and 5% by direct compression technique. The prepared formulations (F1–F16) were evaluated for post compression parameters; hardness, thickness, friability, wetting time, disintegration time, and in–vitro drug release.
Results: Drug doxazosin mesylate showed enhanced aqueous solubility of 13.3µg/ml in the presence of polyethylene glycol 8000. Differential scanning calorimetery and Fourier transform infrared spectroscopy studies confirmed no interaction between drug and polyethylene glycol 8000and, drug-polyethylene glycol 8000 solid dispersion showed cumulative drug release of 44.48% in 60 min. Formulated FDT of drug-polyethylene glycol 8000 solid dispersion, containing coprocessed mixture of crospovidone and croscarmellose sodium (5%) exhibited disintegration time of 14.5s with percentage cumulative release of 92.46% in 60 min.
Conclusion: The work reasonably concludes that for the formulated doxazosin mesylate-fast dissolving tablets, disintegration time was effectively reduced by the presence of coprocessed mixture of crospovidone and croscarmellose sodium and dissolution efficiency was improved by preparation of solid dispersion with polyethylene glycol 8000.
Keywords: Coprocessed superdisintegrants, Doxazosin mesylate, Fast-dissolving tablets, Crospovidone, Croscarmellose sodium
© 2017 The Authors. Published by Innovare Academic Sciences Pvt Ltd. This is an open access article under the CC BY license (http://creativecommons.org/licenses/by/4.0/)
DOI: http://dx.doi.org/10.22159/ijap.2017v9i5.18168
To overcome constraints of oral route for geriatric, pediatric, and travelling patients, modern advances in the pharmaceutical technology have prompted scientists to develop fast dissolving tablets (FDT) with improved patient compliance and convenience. FDT are the most extensively employed commercial product and also become a promptly growing field in the pharmaceutical industry. They are the oral solid dosage form, which dissipate instantaneously in the oral cavity when placed upon the tongue and also swallowed without the aid of water. FDTs are also called as rapid melts, melt-in-mouth tablets, porous tablets, or quick-dissolving tablets. The drugs dissolve in the saliva and absorbs gradually when passes from the mouth, pharynx, esophagus and into the stomach thereby improving the bioavailability, which is significantly greater than the conventional oral dosage forms [1-8].
Solid dispersion is one of the accepted approaches for dissolution enhancement. They are molecular mixtures of poor water soluble drugs with hydrophilic carriers prepared by solvent evaporation and melting method. They provide better wettability and dispersibility as the drug is in its supersaturated state due to forced solubilisation in the hydrophilic carriers. Literature supports many successful commercial products based on solid dispersion techniques. [9, 10]
Doxazosin mesylate (DM), a quinazoline derivative, could be used in the treatment of mild to moderate hypertension and also in the management of symptomatic benign prostatic hyperplasia (BPH). In hypertensive patients, DM reduces the blood pressure by selectively antagonizing the postsynaptic α1-adrenergic receptors. DM is a BCS class II drug with poor aqueous solubility and high permeability and undergo hepatic first pass metabolism resulting in reduced bioavailability. [11-15]. Though literature supports studies on DM with respect to taste making oral disintegrating tablet, [16] Sustained release [17] and controlled release dosage system [11] and not much work has been reported with respect to solubility enhancement for management of hypertension in emergency situation. Hence in the present study an attempt was made to increase the solubility of DM by preparation of its solid dispersion and formulated into FDTs using various superdisintegrants with the objective of reducing first pass effect by enhancing solubility, minimizing disintegration time, with improved drug dissolution rate.
The active pharmaceutical ingredient DM was procured from Yerrow Pharmaceuticals Pvt. Ltd., Maharashtra. CRP was procured from International specialty product, Hongkong Ltd, CCS and microcrystalline cellulose (MCC) was procured from The Anglo French Drug Co. Limited, Bengaluru. The other excipients polyethylene glycol (PEG), sucrose, lactose, magnesium stearate, talc, methanol were procured from SD fine fhemicals limited, Mumbai. All chemicals used in the project were analytical grade.
Phase solubility studies
Solubility studies were performed according to method described by Higuchi and Connors [18-19] using different polymers like PVP K30, PEG 4000, PEG 8000 and urea. An excess amount of drug was taken into a screw-capped glass vial to which 20 ml of aqueous solution containing various concentrations (2-10%) of polymer was added. The solvent was equilibrated by shaking for 72 h in a rotary shaker. After attainment of equilibrium, the content of each flask was filtered. The filtrate was diluted suitably and assayed spectrophotometrically at the wavelength of 246 nm using UV-spectrophotometer (Shimadzu UV-1700 PC, Japan). The solubility of drug in different polymers was determined using standard graph.
Preparation of solid dispersion of DM using polyethylene glycol 8000
Solid dispersions were prepared using the kneading method. In this process, mixture of DM and PEG 8000 in different ratios (1:1, 1:2, and 1:3) were weighed accurately and wetted with methanol and kneaded for 30 min in a mortar and pestle. The obtained paste was dried under vacuum for approximately 24 h. Dried powder attained was scrapped, pulverized, and passed through a sieve number 60 and further used in the formulation of FDTs [20, 21].
Evaluation of solid dispersion
Fourier transform infrared spectroscopy (FTIR) analysis
Infrared spectroscopy is a useful analytical technique utilized to check the chemical interaction between the drug and other excipients used in the formulation. Small quantity of the sample was powdered and intimately mixed with 10 mg of dry powdered potassium bromide. The powdered mixture was taken in a diffuse reflectance sampler and the spectrum was recorded by scanning in the wave number region of 4000-400 cm-1 in an FTIR spectrophotometer (Jasco 460 plus, Japan). The IR spectrum of the drug was compared with that of the physical mixture to check for any possible drug-excipients interaction [22, 23].
Differential scanning calorimetry (DSC)
DSC was carried out on Mettler Toledo DSC-1. DSC examination was conducted for pure drug, polymer and solid dispersion of drug. Samples of 2-10 mg were placed in aluminium pans and sealed. The probes were heated from 40-300 °C at a rate of 10 °C/min under nitrogen atmosphere. Melting points and phase transitions were measured at peak minimum of each DSC thermograph. The DSC was calibrated with an indium standard. The DSC was used to determine the melting point and purity of DM [22-24].
Dissolution studies of solid dispersion
In vitro dissolution study of dispersion was performed using USP (type II) apparatus at a speed of 50rpm. Dissolution study was carried out using 900 ml of phosphate buffer of 6.8 pH and the dissolution medium was maintained at a temperature of 37 °C±0.5 °C. At appropriate intervals, 1 ml of solution was taken and filtered. The dissolution medium was then replaced with 1 ml of 6.8 pH buffer to maintain sink conditions. The samples were analyzed at 246 nm by UV/visible spectrophotometer using 6.8 pH buffers as blank. The pH was selected based on the literature review on FDT. Since it is fast dissolving tablet it is exposed at first to saliva pH, which ranges from 6.2-7.2 and average pH is nearly 6.8. The mean of three determinations was used to calculate the drug release from each formulation [23-25].
Formulation of FDT containing DM-PEG 8000 solid dispersion
The physical mixture of CRP and CCS in the ratio of 1:1 was prepared by physically mixing both for 15 min and co-processed mixture mixture was prepared by solvent evaporation method. The drug DM, PEG 8000 solid dispersion (1:3), sucrose, MCC (microcrystalline cellulose), lactose, and talc were weighed accurately and mixed separately with CRP, CCS, physical mixture and co-processed mixture for 15 min to obtain a uniform blend. The resulted blend was further lubricated with magnesium stearate for 5 min and compressed into tablet with an average weight of 100 mg using a 6.7 mm round flat punch in a rotary tablet press (Rimek RSB-4 Minipress, Ahmedabad). [26,27] The corresponding composition of each formulation is mentioned in the tables 1.
Table 1: Composition of doxazosin mesylate FDT’s
| Ingredients in mg | F1 | F2 | F3 | F4 | F5 | F6 | F7 | F8 | F9 | F10 | F11 | F12 | F13 | F14 | F15 | F16 |
| DM-PEG 8000 solid dispersion | 32 | 32 | 32 | 32 | 32 | 32 | 32 | 32 | 32 | 32 | 32 | 32 | 32 | 32 | 32 | 32 |
| MCC | 45 | 45 | 30 | 30 | 45 | 45 | 30 | 30 | 45 | 45 | 30 | 30 | 45 | 45 | 30 | 30 |
| Sucrose | 3 | 3 | 3 | 3 | 3 | 3 | 3 | 3 | 3 | 3 | 3 | 3 | 3 | 3 | 3 | 3 |
| CRP | 2 | 5 | 2 | 5 | - | - | - | - | - | - | - | - | - | - | - | - |
| CCS | - | - | - | - | 2 | 5 | 2 | 5 | - | - | - | - | - | - | - | - |
| PM CRP+CCS | - | - | - | - | - | - | - | - | 2 | 5 | 2 | 5 | - | - | - | - |
| CP CRP+CCS | - | - | - | - | - | - | - | - | - | - | - | - | 2 | 5 | 2 | 5 |
| Talc | 3 | 2 | 3 | 2 | 3 | 2 | 3 | 2 | 3 | 2 | 3 | 2 | 3 | 2 | 3 | 2 |
| Lactose | 14 | 12 | 29 | 27 | 14 | 12 | 29 | 27 | 14 | 12 | 29 | 27 | 14 | 12 | 29 | 27 |
| Magnesium stearate | 1 | 1 | 1 | 1 | 1 | 1 | 1 | 1 | 1 | 1 | 1 | 1 | 1 | 1 | 1 | 1 |
| Total weight of the tablet | 100 mg each tablet |
PM: Physical mixture of CRP and CCS CP: Co-processed mixture of CRP and CCS
Tablet evaluation parameters
Hardness
Hardness test was done to determine the resistance of tablets while shipping, storage, handling, and transportation. A total of 10 tablets were selected arbitrarily and measured by using a Monsanto hardness tester (Campbell Electronics, Mumbai). The tablet was kept in tester and force was applied until the tablet gets fractured. The data obtained were expressed in kg/cm2.
Friability
Variability of the tablets was estimated by friabilator (Electrolab EF-2, India), expressed in percentage. A total of 10 tablets chosen arbitrarily were weighed and taken into the apparatus and operated for 4 min at 25 rpm. After a specific period, the tablets were reweighed. The friability was then determined by the below formula

Weight variation
A total of 20 tablets from each batch were selected and weighed individually. The average weight was then determined and compared with individual weight to know any deviation from average weight. According to USP the batch passes the test if not more than two tablets deviated outside the specified percentage limit (±7.5%).
Drug content
A total of 10 tablets were selected arbitrarily and crushed into a fine powder. The powder, that is equivalent to 10 mg of standard drug was dissolved in 10 ml of methanol and diluted to 100 ml with 6.8 pH phosphate buffer. The absorbance of the resultant solution was measured by an ultraviolet (UV) spectrophotometer at 246 nm, against the same buffer as the reference solution. Based on the readings obtained, the amount of drug in each tablet was determined.
Wetting time
The each formulated tablet was retained carefully on a tissue paper and placed in a petri dish having 6 ml of water. The time taken to complete wetting of the tablet was taken as wetting time. For each batch three trials were conducted and standard deviation was determined.
Disintegration test
The disintegration time of FDTs was accomplished using USP disintegration test apparatus II (Electrolab ED-2, India). Formulated tablets were kept in six disintegration tubes and secured with discs placed in each tube to prevent floating of tablets. Distilled water, used as a disintegration medium, was kept at 37 °C±0.5 °C. The time consumed by each FDT to disintegrate completely without any residue remaining was recorded [28-32].
In vitro dissolution studies
Dissolution studies of FDTs of each batch were accomplished by using USP paddle type II dissolution apparatus (TDT-08L, Electrolab, India) at 50 rpm. Also, 900 ml of 6.8 pH phosphate buffer as dissolution medium was maintained at 37±0.5 °C. Test sample (1 ml) was withdrawn at predetermined intervals and replaced with the same volume of fresh and pre warmed 6.8 pH buffer to preserve the sink conditions. The drawn samples were diluted with 6.8 pH buffer in a 10 ml volumetric flask and analyzed at 246 nm in a UV spectrophotometer against 6.8 pH buffer as the reference solution. The percentage cumulative drug release was calculated [33, 34].
Phase solubility study
In this study, an attempt has been made to increase the solubility of DM in the preparation of solid dispersion and formulate FDTs of DM using various techniques. Initially phase solubility studies were carried out in aqueous 6.8 Phosphate buffer at 37 °C. It was observed that the solubility of DM increased linearly along with the concentrations of carriers (AL-type diagrams) fig. 1. This indicates that drug and carrier forms 1:1 complexes. [35] Carrier PEG 8000 showed maximum solubility of 14 μg/ml with R2 value of 0.989 and hence selected for DM solid dispersions.

Fig. 1: Phase solubility study of drug DM with carriers in aqueous 6.8 phosphate buffer (n=3)
Preparation and evaluation of solid dispersion
FTIR
In order to check possible drug-excipients interaction, the infra-red spectra of DM, PEG-8000 and solid dispersion of DM-PEG-8000 were recorded using FTIR spectrophotometer.
Distinct peak in the region 2982-2862 cm-1 for C-H aliphatic, 1350-1000 cm-1 for C-N amine and 3500-3100 cm-1 secondary amine, 3450-3300 cm-1 for N-H group, 3200-3000 cm-1 for = C-H group and 1900-1600 cm-1 for C=O group was identical to that off which confirm the compatibility of the drug and carrier. The spectra are shown in fig. 2 for pure DM, PEG 8000 and DM-PEG 8000 solid dispersion respectively.

Fig. 2: FTIR spectra of drug DM, carrier PEG 8000 and solid dispersion of DM with PEG 8000
DSC
DSC study was carried out to find out the possible interaction between drug DM and polymer PEG-8000. Pure DM powder showed endothermic peak at 276.35 °C with enthalpy of fusion (ΔH) 89.61 J/g and PEG at 63.51 °C corresponding to its melting point. The DSC analysis of solid dispersion reveled negligible change in melting point of DM and PEG-8000 in the drug polymer complex (DM-PEG-8000 solid dispersion). The retention of this characteristic endothermic peak of drug (fig. 3) thus reveals compatibility of the selected drug DM with the polymer PEG-8000.

Fig. 3: DSC of DM, carrier PEG 8000 and solid dispersion of DM with PEG 8000
In vitro dissolution of solid dispersion
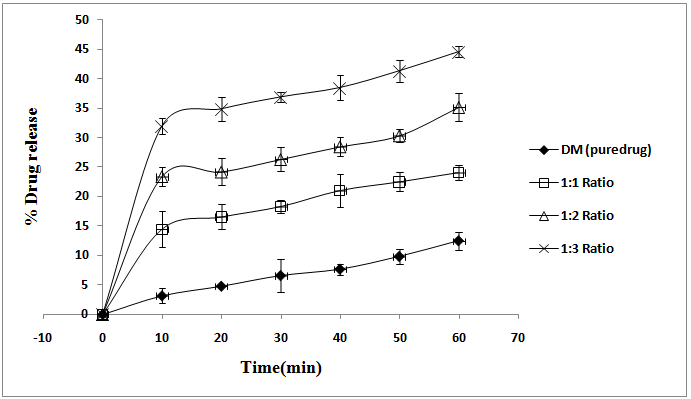
The solid dispersion prepared was subjected to in vitro dissolution studies using USP type II dissolution apparatus. The release data obtained through dissolution studies is shown in fig. 4. The release profile obtained demonstrated that as the ratio of carrier increased the percentage release also increased. It was noticed that at the end of 60 min, solid dispersion of PEG 8000 (1:3) exhibited the highest cumulative release of 44.48 %. The enhanced dissolution of the drug in the presence of PEG may be due to the increased wetabillity of the drug by the formation of a film of polyethylene glycol around the drug substance particles, which modifies the hydrophobicity of the surfaces. [36, 37] Hence the solid dispersion of DM: PEG 8000 (1:3) was chosen for the formulation of FDTs.

Fig. 4: In vitro dissolution profile of pure drug DM and its solid dispersion with PEG 8000 (n=3)
Evaluation of FDT tablets
Drug DM is a BCS class II drug and best suitable for FDT Based on the literature survey, CCS and CRP were employed as the super disintegrants for the current investigation [38-40]. The selected solid dispersion was blended with CCS, CRP and other excipients mentioned in the table 1 and total of 16 formulations were subjected to post compression parameters.
Post compression studies were conducted for the formulations (F1–F16) to determine the physical characteristics. Tablet thickness was found to range from 2.25 to 2.32 mm. Tablets of all the batches were found to exhibit sufficient hardness, ranging from 2.3 to 3 kg/cm2. Wetting time of the tablets was found to be in the range of 16.2–37.5 s. Friability values range from 0.26 % to 0.54 % which was found to be within limits. Drug content of all the formulations was found to range from 67.31 to 76.59 mg of DM, which was within acceptable limits. All the formulations passed the weight variation test as percent weight variation was within the pharmacopoeial limits of 10.0 % (table 2). Disintegration time of these formulations (F1–F16) was found to be in the range of 14.5–34 s. Increase in the concentration of CRP (2 % and 5 %) was found to be beneficial in reducing the disintegration time. Similar results were attained with CCS (2 % and 5 %). The decrease in disintegration time may be attributed to greater porosity and strong swelling at higher concentration of disintigrants. [39] However, addition of physical mixture and co-processed mixture of CRP and CCS reduces the disintegration time to a greater extent.
Tablets prepared using a physical mixture of CCS and CRP sodium showed a disintegration time in range of 24.5–34 s, which was comparatively less than that obtained with CCS and CRP sodium used individually. This may be due to the synergetic effect of the co-processed mixture compared to simple physical mixture. [40, 41] In comparison with physical mixture used, the least disintegration time of 14.5 s was obtained with F16 formulation containing 5 % co-processed mixture of CCS and CRP. The corresponding results obtained are depicted in tables 2.
Table 2: Post-compression evaluation of FDT’s
| Test | Thickness* (mm) | Hardness* (kg/cm2) | Friability (%) | % Drug content | Weight variation | WT* (sec) | DT*(s) |
| F1 | 2.26±0.20 | 2.8±0.06 | 0.34±0.52 | 72.47 | 98±0.25 | 35.5±0.048 | 31.0±0.05 |
| F2 | 2.8±0.12 | 2.9±0.25 | 0.32±0.24 | 73.12 | 99±0.38 | 33±0.455 | 32.5±0.24 |
| F3 | 2.27±0.56 | 2.5±0.09 | 0.41±0.96 | 75.21 | 106±0.64 | 28.4±0.472 | 26.5±0.61 |
| F4 | 2.28±0.02 | 2.4±0.27 | 0.44±0.34 | 75.81 | 99±0.09 | 37.5±0.870 | 29.0±0.29 |
| F5 | 2.3±0.39 | 2.9±0.62 | 0.31±0.08 | 70.26 | 95±0.78 | 32.8±1.032 | 24.5±0.07 |
| F6 | 2.32±0.41 | 2.8±0.34 | 0.42±0.67 | 72.71 | 96±0.36 | 35.9±1.462 | 34.0±0.18 |
| F7 | 2.29±0.09 | 2.6±0.05 | 0.32±0.49 | 71.22 | 103±0.54 | 30.4±0.582 | 27.5±0.91 |
| F8 | 2.28±0.26 | 2.5±0.42 | 0.53±0.61 | 73.47 | 94±0.28 | 27.3±1.628 | 30.0±0.52 |
| F9 | 2.25±0.54 | 2.9±0.81 | 0.31±0.30 | 67.31 | 99±0.05 | 25.1±0.897 | 27.0±0.46 |
| F10 | 2.3±0.31 | 3.0±0.26 | 0.54±0.49 | 69.92 | 94±0.57 | 25.8±1.048 | 21.5±0.08 |
| F11 | 2.29±0.30 | 2.4±0.37 | 0.52±0.12 | 72.51 | 105±0.62 | 22±0.001 | 25.5±0.62 |
| F12 | 2.25±0.73 | 2.6±0.94 | 0.30±0.29 | 73.03 | 97±0.84 | 21.3±1.414 | 21.0±0.74 |
| F13 | 2.6±0.54 | 2.9±0.28 | 0.42±0.47 | 73.65 | 98±0.64 | 22.3±0.279 | 19.5±0.69 |
| F14 | 2.28±0.04 | 3.0±0.07 | 0.39±0.38 | 71.03 | 96±0.35 | 17.9±0.023 | 17.0±0.38 |
| F15 | 2.28±0.12 | 2.3±0.59 | 0.29±0.08 | 68.48 | 102±0.72 | 17.5±0.376 | 16.5±0.16 |
| F16 | 2.3±0.42 | 2.6±0.62 | 0.26±0.51 | 76.59 | 110±0.08 | 16.2±0.250 | 14.5±0.24 |
WT: Wetting time, DT: Disintegration Time *Average of three readings±SD
Formulation F16 having MCC (30 %) and co-processed mixture of CRP and CCS (5 %) released maximum medicament, which was found to be 92.46±0.19 % in 60 min (fig. 5). The rapid drug dissolution may be due to the presence of super disintegrants, which swells due to the rapid uptake of water from medium resulting in breakdown of tablet into smaller particles with increased surface area and hence increased release of the drug into the dissolution medium. Formulations F13, F14, and F15 showed the release of 83.85±0.12 %, 85.58±0.26 %, 89.1±0.26 % in 60 min, respectively. These results clearly indicated that FDTs of DM-PEG 8000 solid dispersion can be prepared by direct compression method by incorporation of co-processed mixture of CCS and CRP.

Fig. 5: In vitro dissolution of formulated FDTs (F1-F16) (n=3)
In the current investigation it was demonstrated that the solid dispersion of DM prepared using PEG-8000 improved the dissolution properties of poorly water soluble drug DM and could be included in formulation of FDT. Among various super-disintegrants used in FDT, co-processed mixture of CRP and CCS 5% played an important role in decreasing disintegration time and enhanced the drug release. Further investigations are required to understand the feasibility of formulated FDT of DM for the management of hypertension.
We are very grateful to K. L. E University’s College of Pharmacy, Bengaluru for providing the essential facilities to execute this work.
Declared none
Ved P, Saurabh M, Deepika SY, Hemlata, Vikas J. Fast disintegrating tablets: opportunity in drug delivery system. J Adv Pharm Technol Res 2011;2:223–35.
Jung HC, Yong-Il K, Dong WK, Abid MY, Jong OK, Jong SW, Chul SY, Han GC. Development of novel fast-dissolving tacrolimus solid dispersion-loaded prolonged release tablet. Eur J Pharm Sci 2014;54:1-7.
Bhowmik D, Chiranjib B, Krishnakanth, Pankaj, Chandira RM. Fast dissolving tablet: an overview. J Chem Pharm Res 2009;1:163-77.
Asthana A, Aggarwal S, Asthana G. Oral dispersible tablets: novel technology and development. Int J Pharm Sci Rev Res 2013;20:193-9.
Fu Y, Yang S, Jeong SH, Kimura S, Park K. Orally fast disintegrating tablets: developments, technologies, taste-masking and clinical studies. Crit Rev Ther Drug Carrier Syst 2004;21:433-76.
Jin Y, Ohkuma H, Wang H, Natsume H, Sugibayashi K, Morimoto Y. Fast-disintegration oral tablets having sustained release property. Yakugaku zasshi: J Pharm Soc Japan 2002;122:989-94.
Deepak S, Dinesh K, Mankaran S, Gurmeet S. Fast disintegrating tablets: a new era in novel drug delivery system and new market opportunities. J Drug Delivery Ther 2012;2:74-86.
M Aly, M Semreen, MK Qato. Superdisintegrants for solid dispersion to produce rapidly disintegrating tenoxicam tablet via camphor sublimation. Pharm Technol; 2005. p. 68–78.
Teofilo V, Sara M, Jose das N, Bruno S. Amorphous solid dispersions: rational selection of a manufacturing process. Adv Drug Delivery Rev 2016;100:85-101.
Dhirendra K, Lewis S, Udupa N, Atin K. Solid dispersions: a review. Pak J Pharm Sci 2009;2:234-46.
Chung M, Vashi V, Puente J, Sweeney M, Meredith P. Clinical pharmacokinetics of doxazosin in a controlled-release gastrointestinal therapeutic system (GITS) formulation. Br J Clin Pharmacol 1999;48:678-87.
Rao K, Deb K, Rao M, Patro S, Patnaik A. Development and validation of stability indicating analytical method for doxazosin mesylate and its application to kinetic studies. Chem Sci J 2012;3:1-10.
Elliott HL, Meredith PA, Reid JL. Pharmacokinetic overview of doxazosin. Am J Cardiol 1987;59:78G-81G.
B Kaye, NJ Cussans, JK Faulkner, DA Stopher, JL Reid. The metabolism and kinetics of doxazosin in man, mouse, rat and dog. Br J Clin Pharmacol 1986;21:19S–25S.
Marijana E, Maria V, Helena C, Miljenko Dd, Biserka Cetina-Cizmeka, Christos R. In vitro vs. canine data for assessing early exposure of doxazosin base and its mesylate salt. Eur J Pharm Biopharm 2012;80:402–9.
Shilpa PC, Neeraj RK, Mahesh MB, Vardhman CB. Formulation development and evaluation of orally disintegrating tablets of doxazosin mesylate. Asian J Pharma 2012;6:266-4.
Ha JM, Kim JY, Oh TO, Rhee YS, Chi SC, Kuk H, et al. Preparation and evaluation of sustained-release doxazosin mesylate pellets. Chem Pharm Bull 2013;61:371-8.
Cristina Dos S, Maria del Pr B, Maria FM. Phase solubility studies of terpineol with cyclodextrins and stability of the freeze-dried inclusion complex. Procedia Food Sci 2011;1:355–2.
Pankajkumar SY, Vikas K, Udaya PS, Hans RB, Mazumder. Physicochemical characterization and in vitro dissolution studies of solid dispersions of ketoprofen with PVP K30 and D-mannitol. Saudi Pharm J 2013;21:77–84.
Ozkan Y, Doganay N, Dikmen N, Işimer A. Enhanced release of solid dispersions of etodolac in polyethylene glycol. Farmaco 2000;55:433-8.
Chaudhari PD, Chaudhari SP, Kohle SR, Dave KN, More DM. Formulation and evaluation of fast dissolving tablet of famotidine. Indian Drugs 2005;10:641-9.
Shilpi S, Mushir A, Sanjula B, Alka A. Solid dispersion as an approach for bioavailability enhancement of poorly water-soluble drug ritonavir. AAPS PharmSciTech 2010;11:518-27.
Sammour OA, Hammad MA, Megrab NA, Zidan AS. Formulation and optimization of mouth dissolving tablets containing rofecoxib solid dispersion. AAPS Pharm Sci Tech 2006;7:1-9.
Biswal S, Sanooj J, Murthy PN. Characterisation of gliclazide-PEG 8000 solid dispersion. Trop J Pharm Res 2009;5:417-28.
Thao Truong-Dinh Trana, Phuong Ha-Lien Trana, Han-Gon Choib, Hyo-Kyung Hanc, Beom-Jin Leea. The roles of acidifiers in solid dispersions and physical mixtures. Int J Pharm 2010;384:60–6.
H Munoz, H Castan, B Clares, MA Ruiz. Obtaining fast dissolving disintegrating tablets with different doses of melatonin. Int J Pharm 2014;467:84–9.
Vivek D, Renu BY, Richa A, Sachdev Y. Formulation design and optimization of novel fast dissolving tablet of chlorpheniramine maleate by using lyophilization techniques. Bull fac pharm cairo univ. 2016. http://dx.doi.org/10.1016/j.bfopcu. 2016.12.001. [Article in Press]
Inayat BP, Prakash RS, Pritish K. Formulation design and optimization of novel mouth dissolving tablets for venlafaxine hydrochloride using sublimation technique. J Pharm Res 2013;6:593-8.
Mohsinaa, NImbalakr NE, Sanaullah S. Formulation and evalution of mouth dissolving tablets of amitriptyline hydrochloride by direct compression technique. Int J Pharm Pharm Sci 2010;2:204-10.
Shailaja CJ, Preeti Karwa, Nargund LVG. Development of fast dissolving tablets of losartan potassium using kollidon CL-SF. J Chem Pharm Res 2013;5:119-27.
Bi Y, Sunada H, Yonezawa Y. Preparation and evaluation of a compressed tablet rapidly disintegrating in the oral cavity. Chem Pharm Bull 1996;44:2121-7.
Moris S, Pananchery J, Jain A. Formulation and evaluation of metformin HCl mouth dissolving tablet using sublimating agent. Int. J. Pharma Sci Res 2015;6:1050-5.
Devendra RR, Hemant NG, Vikas VP, Vinod MT, Vijay RP. Formulation and evaluation of fast dissolving tablet of albendazole. Int Curr Pharm J 2012;1:311-16.
Desai SA, Kharade SV, Petkar KC. Orodissolving tablets of promethazine hydrochloride. Ind J Pharm Educ Res 2006;40:172-4.
Rehab NS, Mona B. Soluplus®: a novel polymeric solubilizer for optimization of carvedilol solid dispersions: formulation design and effect of method of preparation. Powder Technol 2013;237:406–14.
S Biswal, J Sahoo, PN Murthy, RP Giradkar, JG Avari. Enhancement of dissolution rate of gliclazide using solid dispersions with polyethylene glycol 6000. AAPS PharmSciTech 2008:9;563–70.
Law D, Schmitt EA, Marsh KC, Everitt EA, Wang W, Fort JJ, et al. Ritonavir-PEG 8000 amorphous solid dispersions: in vitro and in vivo evaluations. J Pharm Sci 2004;93:563-70.
Pabari RM, Ramtoola Z. Effect of a disintegration mechanism on wetting, water absorption, and disintegration time of orodispersible tablets. J Young Pharm 2012;4:157-63.
C Ferrero, N Mufioz, MV Velasco, A Mufioz-Ruiz, R Jim6nez-Castellanos C. Disintegrating efficiency of croscarmellose sodium in a direct compression formulation. Int J Pharm 1997;147:11-21.
Mukesh CG, Rajesh KP, Bansari KB, Aarohi RS. Preparation and assessment of novel coprocessed superdisintegrant. consisting of crospovidone and sodium starch glycolate: a technical note. AAPS PharmSciTech 2007;8:E1-7.
Nidhi G, Parijat P, Deepak K, Harish D. Development of novel multifunction directly compressible co-processed excipient by melt granulation technique. Int J Pharm Investig 2015;5:266–74.
How to cite this article
GB Preethi, Sayan Banerjee, HN Shivakumar, M Ravi Kumar. Formulation of fast-dissolving tablets of doxazosin mesylate drug by direct compression method. Int J Appl Pharm 2017;9(5):22-28.