
1Department of Pharmaceutics, Faculty of Pharmacy, M. S. Ramaiah University of Applied Sciences, Bangalore 560054, Karnataka, India, 2Sri Venkateshwara College of Pharmacy, Madhapur, Hyderabad 500081, India
Email: vijay.svcp@gmail.com
Received: 12 May 2017, Revised and Accepted: 22 Aug 2017
ABSTRACT
Objective: The objective of present research work was to formulate and evaluate a novel oral edible gel dosage form using gellan gum as gelling agent and carvedilol as a model drug to ease the administration to dysphagic and geriatric patients.
Methods: Oral edible gels were prepared using gelling agent low acetylated gellan gum and sodium citrate in different concentrations. The prepared edible gel formulations were evaluated for gelation time, appearance, texture, viscosity, pH, syneresis, drug-excipient compatibility studies by fourier transform infrared FTIR and percentage of drug release from the gel formulation.
Results: Formulation containing gellan gum (0.4 % w/v) and sodium citrate (0.3 % w/v)) was found to be “spoon thick” in consistency that is accepted for dysphagic patients as per national dysphagia diet task force. This formulation showed more than 95 % drug release within 12 min and found to be stable for 6 mo. All other parameters tested were optimal. Hence, this formulation was considered optimized.
Conclusion: From this study, it can be concluded that the novel edible gel dosage form containing Carvedilol can be formulated and this dosage form may prove to be more efficacious in the treatment of hypertension in dysphagic patients.
Keywords: Edible Gel, Dysphagia, Carvedilol, Hypertension
© 2017 The Authors. Published by Innovare Academic Sciences Pvt Ltd. This is an open access article under the CC BY license (http://creativecommons.org/licenses/by/4.0/)
DOI: http://dx.doi.org/10.22159/ijap.2017v9i5.19921
Dysphagia is a clinical syndrome where patients ability to swallow solids or liquids decreases drastically [1]. It is been reported in the studies that over 6 million adults suffer from dysphagia [1]. It can be seen in any age groups but it is increasingly seen in old age and associated diseases like Parkinson’s disease, Neck cancer and hypertension [2].
The oral route of drug administration is most preferred by the patients and doctors because of its ease of administration, painless and enhanced patient compliance. However, patients suffering from dysphagia experience difficulty in swallowing with existing oral dosage forms like tablets and capsules. Administration of liquid dosage forms may result in choking in these patients [3]. Moreover, elderly patients cannot easily take tablets or capsules. The physical injury caused upon rubbing of the solid preparation against mucous membrane in the oral cavity can discomfort the patient [3]. The crushing of modified release tablets is undesirable, as this may lead to drug toxicity or loss of efficacy of the dosage form [4].
Carvedilol (CDL) is an oral, cardio selective β-receptor blocking agent, primarily used to treat hypertension [4]. It undergoes extensive first pass hepatic metabolism due to cytochrome P450 2D6 (CYP2D6) enzymes and its oral bioavailability is only 25-35%. Half life also varies extensively from 7 to 10 h. The recommended daily dose of CDL is 3.125 mg. Depending on the blood pressure (BP) of the patient and tolerance, dose may be increased slowly to a maximum of up to 25 mg daily [5].
Thickened liquids play a vital role in reducing the risk of aspiration for dysphagic patients. Previous studies have indicated the importance of viscosity as a bolus variable during the swallowing process [6, 7]. Dietary professionals and the speech-language pathologists determine the appropriate liquid dosage form consistencies for each patient [8, 9]. In 2002, the american dietetic association established the national dysphagia diet (NDD) guidelines for thickened dietary supplements [10]. To ensure safety during oral drug administration, patients with dysphagia require an appropriate oral dosage form or modification of the existing dosage form.
To address the above problem, we formulated and evaluated an edible gel (EG) dosage form using gellan gum as a gelling agent and carvedilol as a model anti-hypertensive drug.
Materials
Carvedilol was obtained as gift sample from Chandra labs, Hyderabad, India. Gellan gum was gift sample from Mylan laboratories ltd, Hyderabad, India. PEG 400, citric acid, mannitol, methyl paraben, were purchased from ESSEL fine chem., Mumbai, India. Strawberry flavour was purchased from Robin chemicals, Mumbai. Sucralose was obtained from J. K. Suralose Inc. Ltd., Delhi. All other ingredients used were of analytical reagent grade.
Methods
Formulation of oral edible gel
All the ingredients were passed through ASTM sieve # 60 and weighed accurately. The details of the composition are shown in table 1. Gellan gum powder was dispersed in 50 ml of distilled water maintained at 95 °C and stirred using magnetic stirrer (Remi PMDC, Mumbai, India). Stirring was continued for 20 min to facilitate the hydration of the gellan gum. The weighed quantity of the mannitol was added to the above dispersion with continuous stirring. The drug carvedilol was then added to it under stirring. Citric acid, methyl paraben were added and mixed. Sodium citrate was separately dissolved in 10 ml distilled water and added to the mixture. Strawberry flavor was added at last when the temperature reached below 40 °C. Weight of the gel was adjusted finally to 100 gm with distilled water. The mixture was allowed to cool to room temperature to form gel. The edible gel formulations were prepared using five different concentrations of gellan gum (0.1, 0.2, 0.3, 0.4 and 0.5 % w/v), each with two different sodium citrate concentrations (0.3 and 0.5 % w/v) [11].
Evaluation of oral edible gel
Oral edible gels were subjected to various evaluation parameters.
Determination of gelation time
Gelation time was determined by placing the prepared gel formulations in 20 ml flat bottomed cylindrical vial maintained at room temperature. The gelation time was considered as the time taken for the formulation to convert from “sol” state to “gel” state [12].
Table 1: Formulation of oral edible gel
| Ingredients | Formulations | |||||||||
| F1 | F2 | F3 | F4 | F5 | F6 | F7 | F8 | F9 | F10 | |
| Carvedilol (mg) | 250 | 250 | 250 | 250 | 250 | 250 | 250 | 250 | 250 | 250 |
| Gellan gum (%) | 0.1 | 0.1 | 0.2 | 0.2 | 0.3 | 0.3 | 0.4 | 0.4 | 0.5 | 0.5 |
| Sodium citrate (%) | 0.3 | 0.5 | 0.3 | 0.5 | 0.3 | 0.5 | 0.3 | 0.5 | 0.3 | 0.5 |
| PEG 400 (%) | 0.2 | 0.2 | 0.2 | 0.2 | 0.2 | 0.2 | 0.2 | 0.2 | 0.2 | 0.2 |
| Citric acid (%) | 0.05 | 0.05 | 0.05 | 0.05 | 0.05 | 0.05 | 0.05 | 0.05 | 0.05 | 0.05 |
| Mannitol (%) | 30 | 30 | 30 | 30 | 30 | 30 | 30 | 30 | 30 | 30 |
| Sucralose (%) | 0.3 | 0.3 | 0.3 | 0.3 | 0.3 | 0.3 | 0.3 | 0.3 | 0.3 | 0.3 |
| Methyl paraben (%) | 0.2 | 0.2 | 0.2 | 0.2 | 0.2 | 0.2 | 0.2 | 0.2 | 0.2 | 0.2 |
| Strawberry (%) | 2 | 2 | 2 | 2 | 2 | 2 | 2 | 2 | 2 | 2 |
| Water (% w/w) up to | 100 | 100 | 100 | 100 | 100 | 100 | 100 | 100 | 100 | 100 |
| PEG=Polyethylene glycol | ||||||||||
Appearance and texture evaluation of the gel
The texture of the formulated gels was evaluated in terms of stickiness and grittiness by mildly rubbing the gel between two fingers [13]. The gel formulations were visually inspected for transparency.
pH of the edible gel
pH can influence the stability and taste of the dosage form. Hence, the pH of edible gel was measured using digital pH meter by checking the pH of a 10 % w/v gel-dispersed in purified water at 25±0.5 °C [11, 14].
Assay
Assay was performed by dissolving a known quantity (5 gm) gel in distilled water (30 ml) and shaken for 1 hour to get a homogeneous solution. The solution was filtered through a 0.45μm filter and analyzed at 284 nm using a spectrophotometer after appropriate dilutions [15].
Syneresis
Syneresis can be defined as the separation of water by contraction of the gel upon standing or during storage. Syneresis is more seen in gel formulations with very low concentration of the gelling agent. Prepared gel formulations were kept in the refrigerator (4-8 °C) for 90 d and observed for any signs of syneresis [11, 14, 16].
Viscosity and consistency
Gels formulations were prepared according to the viscosity guidelines given by national dysphagia diet task force[3] Viscosity of all the gel formulations was measured using Brookfield DV-II+Pro viscometer using spindle number LV4 at the rotation of 50 rpm at room temperature. The viscosity measurements were made in triplicate using fresh samples each time [11].
Fourier transform infrared spectroscopy (FTIR) studies
FTIR studies were performed to find any possible drug-excipient interaction by KBr pellet method using Perkin-Elmer spectrophotometer, USA (Model-1615). For this study, physical mixtures of drug and excipient (1:1) were prepared and co-ground with KBr. The resultant mixture was subjected to FTIR studies. Scans were performed from 400-4000 cm-1 and an average of 40 scans were taken per sample [21].
In vitro drug release studies and release kinetics
In vitro drug release from the gels were studied using USP XXIV dissolution apparatus II (Electrolab, Mumbai, India) employing a paddle stirrer at 100 rpm using 900 ml of pH 6.8 phosphate buffer at 37±0.5 °C as a dissolution medium [17]. 5 gm of gel formulation was accurately weighed and placed at the bottom of the dissolution vessel. Aliquots (5 ml each) were withdrawn at specified time intervals (2, 4, 6, 8, 10, 12, 14, 16, 18, 20, 25 and 30 min) and media replaced with equal volume each time. The samples were analyzed for drug content using UV-Visible spectrophotometer at 284 nm [15, 22]. The drug release profile was fitted into several mathematical models like zero order, first order kinetics, Higuchi and Peppas model to get an insight of release mechanism of the drug from the dosage form.
Stability studies
Optimized gel formulation (F7) was stored in high-density polyethene bottles at 25 °C±0.2 °C/60±5 % RH and 40±2 °C/75±5 % RH for 3 mo. Samples were withdrawn with 30 d intervals and were evaluated for their physical appearance, pH, viscosity, assay and drug release [18].
Determination of gelation time
It was found that formulations F1 to F4 did not form a gel and remained in a honey like consistency. Hence, these formulations were not considered for further studies.
Formulations F5 and F6 formed spoon thick gel within 30 min of preparation and formulation F7 to F10 formed gel immediately at the end of the preparation. Data are shown in table 2.
Table 2: Evaluation of edible gel formulations
| Evaluation parameters | Formulations | |||||||||
| F1 | F2 | F3 | F4 | F5 | F6 | F7 | F8 | F9 | F10 | |
| Gelation time (min) | + | + | + | + | 30 | 30 | ++ | ++ | ++ | ++ |
| pH of gel | 5.63 | 5.68 | 5.58 | 5.67 | 5.70 | 5.75 | 5.78 | 5.80 | 5.68 | 5.73 |
| Syneresis | - | - | - | - | No | No | No | No | No | No |
| Assay* | - | - | - | - | 96.24±2.81 | 97.06±1.88 | 97.45±2.02 | 96.28±2.46 | 97.84±2.96 | 96.16±2.32 |
| Texture | NS, NG |
NS, NG |
NS, NG |
NS, NG |
NS, NG |
NS, NG |
SS, NG |
SS, NG |
S,SG | S,SG |
| Consistency | Honey like | Honey like | Honey like | Honey like | Spoon thick | Spoon thick | Spoon thick | Very thick | Very thick | Very thick |
*NS-Non Sticky, NG-Non Gritty, SS-Slightly Sticky, S–Sticky, SG-Slightly Gritty, ‘+‘indicates complete gel has not been formed and consistency remained honey like, ‘++’ indicates gel has formed immediately at the end of the preparation. *n=3, mean±SD
Appearance and texture evaluation
All the formulated gels were translucent in appearance. As shown in table 2, formulations F1 to F6 were non-sticky and non-gritty. Formulations F7 and F8 were slightly sticky and non-gritty. Formulations F9 and F10 were sticky and non-gritty in nature as determined visually and by mildly rubbing between two fingers. The stickiness of gel formulations increased with increase in concentration of the polymer.
pH of the gel and syneresis
pH and syneresis are interconnected to each other. pH has an influence on syneresis. Hence, adjustment of pH plays an important role in preventing syneresis. Moreover, pH also has an influence on taste of the final formulation [23]. Syneresis is one of the major problems associated with gels were a very low concentration of gelling agent is used. Formulation F7 to F10 did not show any signs of syneresis during storage between 4-8 ᴼC in the refrigerator for 90 d. Hence, these gel formulations were selected for further studies. Slight syneresis was observed in formulations F5 and F6. This could be due to low polymer concentration in the formulation. Hence these formulations were not considered for further studies. Data shown in table 2.
Assay
The assay was within 95-105 % of the label claim in all the tested formulations.
Viscosity and consistency
Normal oral swallowing occurs at a shear rate of 50 s-1 at room temperature (perhaps the upper end of the shear rate of swallowing) [19]. To date, estimation of lingual shear rates for swallowing have been proposed on the basis of perceptual viscosity discrimination studies and there is little consensus, with estimates ranging from 5 to 1000 s-1 and a value of 50 s-1 most frequently cited [20]. All samples were found to be shear thinning that they exhibit a reduction in viscosity with increasing shear rate.
We studied the effect of sodium citrate concentration on viscosity of gels formed with increasing amount of polymer. As one may expect, there was linear increase in viscosity with increasing polymer concentration. However, when we compared viscosities of different formulations, there was a significant (P<0.05) difference between viscosities of gels formed with 0.5 % w/v gellan gum when different concentration of sodium citrate (0.3 and 0.5 % w/v) were used. Data depicted in fig. 1.

Fig. 1: Effect of sodium citrate concentration (0.3 % and 0.5 %w/v) on viscosity of EG formulations with increasing gellan gum concentration (0.1 % to 0.5 %w/v), n=3, mean±SD
Apparently, sodium citrate provides cations that cause inter and intra cross linking of gellan gum’s polymeric chains leading to an increase in viscosity [13]. This was not very evident at lower polymer concentration because, apparently the amount of cations provided by sodium citrate is in far excess. At higher polymer concentration, with increase in sodium citrate levels, more inter chain cross linking occurs leading to a significant increase in viscosity.
FTIR
FTIR studies were performed on pure drug and physical mixture of the gel formulation. All characteristic peaks of CDL were present in their original positions, denoting the absence of drug-excipient interaction (fig. 2).

Fig. 2: IR-spectrum of pure carvedilol and IR-spectrum of physical mixture of EG formulation. Scans were performed from 400-4000 cm-1. average of 40 scans was taken
In vitro drug release studies and release kinetics
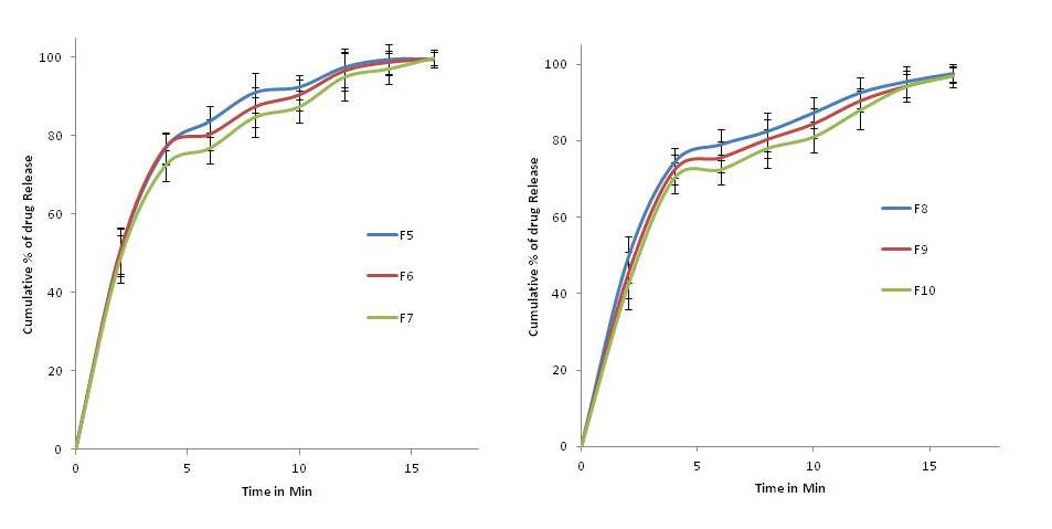
The optimized drug formulation (F7) showed over 95 % drug release in 12 min (fig. 3). The drug release followed first order release kinetics. The value of diffusional exponent ‘n’ suggested that both diffusion and matrix erosion contributed to drug release from the edible gels.
Stability
The optimized edible gel formulations were stored at 25 °C±0.2 °C/60±5 % RH and 40 °C±0.2 °C/75±5 % RH for a period of 6 and 3 mo respectively. It was observed that, gels stored at 40 °C/75 % RH became physically unstable. Syneresis was observed in this condition. However, no physical/chemical changes were evident in the formulation at 25 °C/60 % RH. The data presented in table 3.

Fig. 3: In vitro drug release profile in pH 6.8 buffer for EG formulations F5-F7 and F8-F10 (n=3, mean±3)
Table 3: Stability data of optimized gel formulations stored at 25 °C±0.2 °C/60±5 % RH
| Parameters | Time in mo | ||
| 0 | 1 | 3 | |
| Appearance | Translucent | Translucent | Translucent |
| pH | 5.78 | 5.80 | 5.7 |
| Assay (%) | 96.74±2.31 | 97.35±1.25 | 99.32±2.42 |
| Viscosity (cps) | 5907 | 6049 | 6231 |
| Drug release in 12 min (%) | 95 | 97 | 96 |
n=3, mean±SD
In this study, we have made a systematic effort to prepare oral edible gel formulation of Carvedilol using gellan gum as gelling agent. Based on the consistency, viscosity and release studies, the formulation (F7) containing gellan gum (0.4 % w/v) and sodium citrate (0.3 % w/v) was optimized. This formulation released 95 % of the drug within 12 min. Stability studies of the optimized formulation indicated that edible gels are stable when stored 25 °C/60 % RH. Therefore, from this study, it can be concluded that, oral edible gel of carvedilol may prove to be more efficacious in the treatment of hypertension particularly in dysphagic patients.
The authors are thankful to Sri Venkateshwara college of pharmacy, Madhapur, Hyderabad, for constant support and encouragement to complete this research work.
The authors report no conflict of interest
Pharmacy benefits management. PBM. Guidance for medication assessment in patients with Swallowing (Dysphagia) or feeding disorders pharmacy benefits management-Strategic Healthcare Group (PBM); 2006. Available from:http://www.pbm.va.gov/ clinicalguidance/clinicalrecommendations/DysphagiaRecommendationsforMedicationAssessment.pdf. [Last accessed on10Aug 2014].
Shirley LS. Difficulty swallowing can be fatal for people with Parkinson’s; 2013. Available from: http://www.parkinson.Org/About-Us/Press-Room/NPF-In-The-News/2013/January/Difficulty-swallowing-can-be-fatal-for-people-with. [Last accessed on 10Jan 2017]
Dixit AS,Parthasarathi KK,Hosakote GS. Gels and jellies as a dosage form for dysphagia patients: a review. Curr Drug Ther2011;6:79-86.
Jackson LD, Little J, Kung E, William EM, Siemiatkowska K, Plowman S. Safe medication swallowing in dysphagia: a collaborative improvement project. Healthc Q2008;11:110-6.
COREG ®[package insert].NC: GlaxoSmithKline; 2015. Available from: https://www.gsksource.com/pharma/content/dam/GlaxoSmithKline/US/en/Prescribing_Information/Coreg/pdf/COREG-PI-PIL.PDF. [Last accessed on05May2017]
Bisch EM,Logemann JA, Rademaker AW, KahrilasPJ, Lazarus CL. Pharyngeal effects of bolus volume, viscosity, and temperature in patients with dysphagia resulting from neurologic impairment and in normal subjects. J Speech Hear Res1994;37:1041-59.
Dantas RO, Kern MK, Massey BT, Dodds WJ, Kahrilas PJ, Brasseur JG. Effect of swallowed bolus variables on oral and pharyngeal phases of swallowing. Am J Physiol1990;258:675-81.
Swallowing disorders | Durham, Raleigh, North Carolina | Duke HealthDukehealth.org;2017. Available from: https://www.dukehealth.org/treatments/ear-nose-and-throat/swallowing-disorders. [Last accessed on12May 2017].
Thickened liquids consistency for safer swallowing; 2013. Available from: http://patienteducation.osumc.edu/ Documents/thickened-liquids.pdf. [Last accessed on10 Jan 2017]
Gary M, Cathy P, Catriona S. National Dysphagia Diet: What to Swallow; 2003. Available from: http://www.asha.org/ Publications/leader/2003/031104/f031104c/. [Last accessed on 15 Sep 2014].
Mohapatra A, Parikh RK, Gohel MC. Formulation, development and evaluation of patient friendly dosage forms of metformin, Part-II: Oral soft gel. Asian J Pharm2008;2:172-6.
Hanawa T, Watanabe A, Tsuchiya T, Ikoma R, Hidaka M, Sugihara M. New oral dosage form for elderly patients: preparation and characterization of silk fibroin gel. Chem Pharm Bull1995;43:284-8.
Gohel MC, Parikh RK, Nagori SA, Shah SN, Dabhi MR. Preparation and evaluation of soft gellan gum gel containing paracetamol. Indian J Pharm Sci2009;71:120-4.
Dabhi M, Gohel M, Parikh R, Sheth N, Nagori S. Formulation development of ambroxol hydrochloride soft gel with application of statistical experimental design and response surface methodology. PDA J Pharm Sci Technol 2011;65:20-31.
Shinkar DM, Dhake AS, Setty CM. Development of UV Spectrophotometric method for estimation of carvedilol in bulk and pharmaceutical formulations. Asian J Res Chem 2013;6:956-9.
Gerentes P, Vachoud L, Doury J, Domard A. Study of a chitin-based gel as injectable material in periodontal surgery. Biomaterials 2002;23:1295-302.
Raju S, Sandeep RP, Anirudh KV, Deepthi A, Sreeramulu RK, Madhava RPV. Flash release oral films of metoclopramide hydrochloride for pediatric use: formulation and in vitro evaluation. J Chem Pharm Res2011:3:636-46.
Dixit AS, Kulkarni PK. Novel eatable silk fibroin gels containing salbutamol sulphate for dysphagic and geriatric patients. Asian J Pharm2012;6:60-6.
Germain I, Dufresne T, Ramaswamy HS. Rheological characterization of thickened beverages used in the treatment of dysphagia. J Food Eng2006;73:64-74.
Steele CM, Van Lieshout PH, Goff HD. The rheology of liquids: a comparison of clinicians' subjective impressions and objective measurement. Dysphagia 2013;18:182-95.
Rabi NP, Sindhura G, Krishna MC. Design, development and in vitro evaluation of combined floating-bioadhesive drug delivery systems of atenolol. Int J Pharm Pharm Sci 2016;2:41-6.
Margrit A, Azza H, Hanan EN, Fakhr-EG. Enhancing oral bioavailability of carvedilol using solid dispersion technique. Int J Pharm Pharm Sci 2016;8:193-9.
Hanan Jalal Kassab, Lena Murad Thomas, Saba Abdulhadi Jabir. Development and physical characterization of a periodontal bioadhesive gel of gatifloxacin. Int J Appl Pharm 2017;9:31-6.
How to cite this article
Vijayanand P, Deepa A, Bhagavan Raju M. Development, characterization and evaluation of soft oral edible gel using gellan gum. Int J Appl Pharm 2017;9(5):73-77.