
aDepartment of Pharmaceutics, SRM College of Pharmacy, SRM University, Chennai, India, bNanotechnology Research Center, SRM University, Chennai, India
Email: mothipharma78@gmail.com
Received: 14 Sep 2017, Revised and Accepted: 28 Nov 2017
ABSTRACT
Objective: The objective of the study was to perform a screening, optimization of valacyclovir niosomal formulation to achieve a sustained release of drug using the design of experiments by 32 full factorial design.
Methods: Valacyclovir loaded niosomes were prepared using thin film hydration method by varying the ratio of Span 60 and Cholesterol. The prepared niosomes were evaluated for vesicle size, entrapment efficiency, cumulative drug release, fourier transformed infrared spectroscopy (FTIR), zeta potential and surface morphology by field emission scanning electron microscopy (FESEM).
Results: The valacyclovir was successfully encapsulated and its entrapment efficiency ranged from 36.70 % to 50.62 %. The average vesicle size of the niosomes was found to be 431 to 623 nm. At 8th hour the drug release varied from 77.50% to 96.31 %. The optimized niosomes were multilamellar with a surface charge potential of about-43.2 mV. The studies revealed that the interaction of cholesterol and surfactant had a substantial effect on vesicle size, entrapment efficiency and drug release from the niosomes. The release kinetics of the optimized niosomes followed zero order kinetics with fickian diffusion controlled mechanism. The stability studies were performed for the optimized formulation and found that the formulation is stable at 4°C ± 2°C.
Conclusion: Model equations were developed for the responses. No significant difference was observed between the predicted and observed value, showing that the developed model is reliable.
Keywords: Design of Experiments, Full factorial design, Niosomes, Optimization, Valacyclovir
© 2018 The Authors. Published by Innovare Academic Sciences Pvt Ltd. This is an open access article under the CC BY license (http://creativecommons.org/licenses/by/4.0/)
DOI: http://dx.doi.org/10.22159/ijap.2018v10i1.22566
Globally the genital infection is more frequent, caused by Herpes virus HSV 1 and HSV 2 depending on the different geographical regions [1]. In general, the infection rate is higher in developing countries and its prevalence may reach up to 50 % in near future [2, 3]. Valacyclovir is an L-valyl ester of acyclovir which is rapidly converted in vivo to acyclovir that is used in the management of herpes zoster (shingles) and herpes simplex infections [4]. The achievement of plasma concentration of acyclovir from the oral administration of prodrug valacyclovir is 3-5 fold higher than acyclovir due to active transport mechanism in human intestine [5, 6]. The exact mechanism of increased absorption is not completely determined, yet it may be due to the involvement of intestinal dipeptide transporters, followed by hasty ester hydrolysis in small intestine and liver. Pharmacokinetic properties of valacyclovir are well established [6, 7]. Valacyclovir 1000 mg is available in the market in the form of caplet and due to its short half-life, the repeated dosage is required, which is difficult to swallow for the paediatrics and geriatrics [8].
The prodrug valacyclovir may undergo partial hydrolysis by esterases in the stomach which results in a decrease in oral bioavailability. The bioavailability of the valacyclovir can be increased by controlling the drug release and concentrating the drug in the targeted site [9]. Various approaches to target and control the drug release includes microspheres, microemulsions, magnetic microcapsules, antibody loaded drug delivery, implantable pumps, nanoparticles, liposomes and niosomes [10].
Niosomes is a class of molecular clusters, a closed lamellar bilayer vesicular structure formed by self-assembled non-ionic surfactants in the aqueous phase with or without the incorporation of cholesterol as a stabilizer and dicetyl phosphate as a negative charge inducer [11, 12]. Niosomes have a unique structure and are chemically stable to oxidative degradation thus it can be an effective novel drug delivery system with an ability to load both hydrophilic and lipophilic drugs [9].
The good experimental design is important in formulation development studies and other pharmaceutical processes [13]. Full factorial design aids to study the entire process factors affecting the response and gives information about the relation between the factors and interaction between them. This information will be useful in reproducibility of study and in the industrial scale-up process [14].
The goal of this study was to develop a promising and easily administrable formulation of valacyclovir for paediatrics and geriatrics. The objective of the current research work was to study the effect of surfactant and cholesterol concentration in the formulation of valacyclovir loaded niosomes by employing 32 full factorial design. The study also focuses on optimization and validation of a reliable model for the desired response by using Design Expert, 10.0.03 [Stat-Ease. Inc].
Materials
Valacyclovir hydrochloride was received as a gift sample from Orchid Pharma Ltd., Chennai. Span 60 and Cholesterol were obtained from Loba Chemie Pvt. Ltd, Mumbai. Methanol was obtained from Honyon International, Inc, China. Chloroform was obtained from Rankem, New Delhi. Dialysis Membrane was obtained from Himedia Laboratories, Mumbai. All the chemicals and reagents used were of the analytical and pharmaceutical grade.
Drug-polymer compatibility studies by Fourier transform infrared spectroscopic analysis
The drug, drug-excipient mixtures were mixed thoroughly with previously dried potassium bromide (IR grade) and compressed in a hydraulic press to form transparent pellets. The samples were scanned from 4000 to 400 cm‑1 at ambient temperature using FTIR (Shimadzu, Japan) [15].
Design of experiments
32 A factorial design was adopted based on the preliminary studies for the preparation of valacyclovir loaded niosomes. The concentration of span 60 (X1) and cholesterol (X2) were chosen to study their effect on percentage entrapment efficiency (Y1), In vitro drug release at 8th hour (Y2), vesicle size (Y3). The factors are studied at three levels-1, 0 and 1 indicating low, medium and high respectively. The statistical optimization procedure was accomplished with the help of Design-Expert version 10 (Stat-Ease, Inc. USA). The software performs response surface methodology including multiple regression analysis, ANOVA and statistical optimization. The dependent variables, their constraints and goals to be achieved are depicted in table 1 [16-19].
Table 1: Independent and dependent variables of 32factorial design
| Independent variables | |||
| Factors | Coded levels | ||
| -1 | 0 | +1 | |
| X1: Span 60 (mg) | 215 | 322.5 | 430 |
| X2: Cholesterol (mg) | 115 | 156.5 | 198 |
| Dependent Variables | |||
| Responses | Constraints | ||
| Y1: | Entrapment Efficiency (%) | Maximum | |
| Y2: | In vitro Drug release at 8th hour (%) | Maximum | |
| Y3: | Vesicle Size (nm) | Minimum | |
Preparation of valacyclovir loaded niosomes
Valacyclovir loaded niosomes were prepared using thin film hydration method [19-21]. Span 60 and cholesterol in different ratios were dissolved in 10 ml of chloroform and methanol mixture (2:1 v/v) in a round bottom flask. 100 mg of valacyclovir was separately dissolved in 5 ml of chloroform and methanol mixture (2:1 v/v) and added to surfactant mixture. The solvents were evaporated under vacuum at 40°C in a rotary evaporator (Buchi, Switzerland) at 120 rpm until a smooth and thin film formed on the wall of the flask. After ensuring complete removal of volatile solvents, hydration of the surfactant film was carried out using 10 ml of distilled water at 60°C ± 2°C with mechanical agitation to form a niosomal suspension. The resulting niosomal suspension was sonicated (Equitron, Mumbai) in 3 cycles of 1/1 min on/off cycles leading to the formation of multilamellar niosomes. The obtained niosomal suspension was left to mature overnight at 2°C - 8°C and stored under refrigeration for further studies. The composition of 9 formula based on 32 factorial design are represented in table 2.
Table 2: Experimental design of 32factorial design
| Formulation code | Factors | |
| X1 | X2 | |
| VN1 | -1 | -1 |
| VN2 | -1 | 0 |
| VN3 | -1 | +1 |
| VN4 | 0 | -1 |
| VN5 | 0 | 0 |
| VN6* | 0 | 0 |
| VN7 | 0 | +1 |
| VN8 | +1 | -1 |
| VN9 | +1 | 0 |
| VN10 | +1 | +1 |
X1 and X2–coded levels of span 60 and cholesterol respectively, *Center point formulation
Characterization of valacyclovir loaded niosomes
Valacyclovir loaded niosomal formulations were characterized with respect to vesicle size, entrapment efficiency and In vitro drug release. The surface characteristics such as surface morphology and surface charge of the optimized formulation were studied.
Determination of vesicle size
Niosomal suspension was diluted with pH 7.4 phosphate buffer and the mean vesicle size and polydispersity index of the valacyclovir loaded niosomes was determined by dynamic light scattering technique using malvern zetasizer, (Malvern Inc, UK) at room temperature by keeping the angle of detection at 90 ° [16].
Determination of entrapment efficiency
Entrapment efficiency of the valacyclovir loaded niosomes was determined by centrifugation method using a centrifuge with 10000 rpm maintained at 4 °C for 10 min. The supernatant is filtered by using Whatman filter paper to get a clear fraction. From the filtrate, the unentrapped valacyclovir was determined by UV-Visible spectrophotometer (Shimadzu, Japan) at 235 nm [21]. Each experiment was carried out in triplicate. The entrapment efficiency was calculated from the formula given in the equation 1.

In vitro release of valacyclovir loaded niosomes
USP Dissolution apparatus II (paddle type) was used to perform the in vitro drug release. Phosphate buffer pH 7.4 maintained at a temperature 37.5°C ± 0.5°C was used as a dissolution medium. The formulated valacyclovir loaded niosomal suspension was pipetted into prewashed dialysis tubing (Himedia, the cutoff value 12000 daltons), tied to the paddle of dissolution apparatus and rotated at a speed of 50 rpm. The samples are withdrawn at predetermined time intervals for 8 h. Samples were analyzed for drug content by using UV-Visible spectroscopy at 235 nm [22].
Statistical analysis
Different polynomial equations for different models were generated by using the multiple regression analysis in 32 factorial design with the interacting term and regression coefficient for evaluating the responses. The responses were analysed using quadratic equation 2,
………. (2)
Where Y is response evaluated, b0 is the arithmetic mean of all 9 responses; bi is the estimated coefficients of independent variables. P value gives a significant level of each term considering null hypothesis is true. P value less than 0.05 is considered to be significant [16, 21].
Surface morphology study
The surface morphology of valacyclovir loaded niosomes was analyzed by mounting the suspension in the aluminium stub and then examined under field emission scanning electron microscopy (Quanta FEG, USA) at 10 kV accelerating voltage [23].
Determination of surface charge
The surface charge of the colloidal valacyclovir loaded niosomes was determined by using zeta potential analyzer (Malvern, UK) based on dynamic light scattering technique at room temperature [24].
Determination of release kinetics
The mathematical models, zero order, first order, Korsmeyer-peppas, higuchi and hixson-crowell were fitted to the dissolution data of optimized valacyclovir loaded niosomes to analyse the rate, mechanism and pattern of drug release.
The equations representing the mathematical models are shown in table 3 [25, 26].
Stability of valacyclovir loaded niosomes
Stability of the valacyclovir loaded niosomes was performed on the freshly prepared optimized formulation at 4°C ± 2 °C, 25°C ± 2°C and 40°C ± 2°C for 3 mo to investigate the drug leaching from the niosomes.
At different time points, the entrapment efficiency of the valacyclovir loaded niosomes was observed for different storage conditions [16, 27].
Table 3: Mathematical models for release kinetics
| Model | Equation |
| Zero Order | Qt = Q0+k0t |
| First Order | logC=logC0-kt/2.303 |
| Hixson Crowell | ![]() |
| Higuchi | ![]() |
| Korsemeyer Peppas | ![]() |
Where Q0-initial amount of drug in solution, Qt-amount of drug released at time t, K0-zero order release constant (Concentration/time), C0–initial amount of drug in formulation, C–amount of drug remaining in the formulation at time t, k-first order rate constant, Cs-cumulative amount of drug release at time t, t–time in hours, Ks–Hixson Crowell release constant, QA-amount of drug released at time t per unit area, KH–Higuchi dissolution constant, Mt/M∞-fraction of drug released at time t, K–release rate constant, n-release exponent
Drug-polymer compatibility studies by fourier transform infrared spectroscopic analysis
The FTIR spectra of valacyclovir (fig. 1) shows significant peaks at 3430 cm‑1 (N-H stretching), 3323 cm-1 (O-H stretching), 2932 cm-1 (C-H stretching), 1745 cm-1(C=O stretching), 1657 cm-1(N-H bending), 1085 cm-1 (C-N stretching) and 1036 cm‑1(C-O stretching).
The Valacyclovir-cholesterol, valacyclovir-span 60 mixture showed all the peaks of valacyclovir without any tangible shifting ensuring the compatibility of the drug with excipients.

Fig. 1: Fourier transform infrared spectra of (a) valacyclovir, (b) valacyclovir+cholesterol, (c) valacyclovir+span 60
Vesicle size
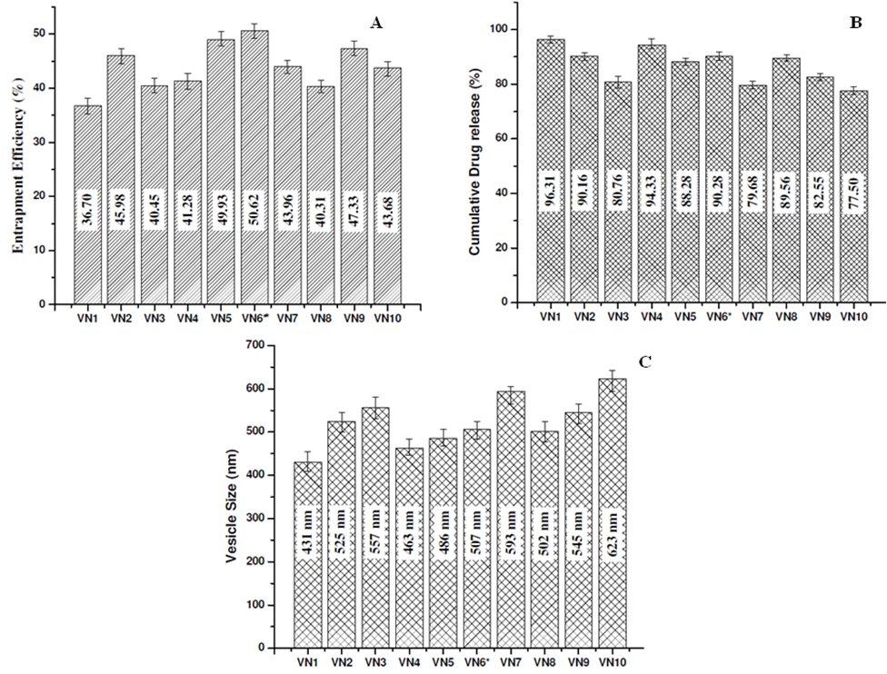
The vesicle size of various valacyclovir loaded niosomal formulations was ranged from 431 nm to 623 nm with a polydispersity index ranging from 0.56 to 0.82, indicating a narrow size distribution of formulated niosomes (fig. 2C). From the interaction plot, it is evident that the increase in the concentration of cholesterol increases the vesicle size (fig. 3C). At low concentrations of cholesterol and span 60, it is believed to be closely packed, as the concentration of cholesterol increases, the hydrophobicity of the bilayer membrane increases thereby increasing vesicle size [21].

Fig. 2: Observed value of responses A) entrapment efficiency Y1 (%); B) cumulative drug release at 8th hour Y2 (%); C) mean vesicle size Y3 (nm), the values are given as mean±SEM; where n=3
Entrapment efficiency
It was found that the Entrapment efficiency of the various valacyclovir loaded niosomal formulations were ranged from 36.70 % to 50.62 % (fig. 2 A). The entrapment efficiency of niosomal formulations increases with increase in cholesterol concentration, a further increase in the concentration of cholesterol decreases its entrapment efficiency (fig. 3 A). This may be due to two possible reasons, firstly with an increase in cholesterol, the hydrophobicity of bilayer vesicles increases, thereby decreasing vesicle permeability. Secondly higher cholesterol content may compete with the drug molecules for packing space within the bilayer, thereby excluding the drug as amphiphiles [20, 21].

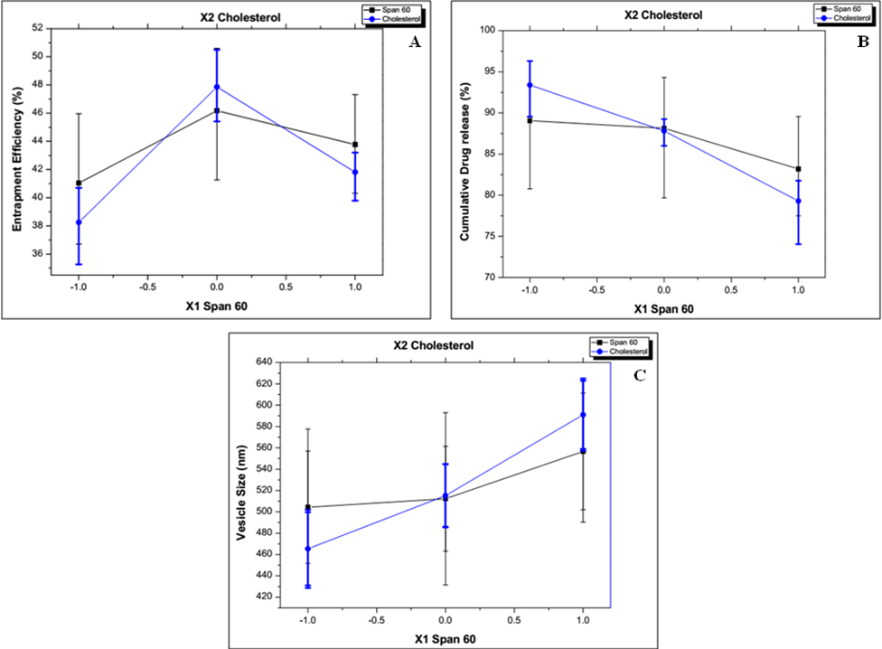
Fig. 3: Interaction plot showing the effect of X1 and X2 on (A) entrapment efficiency Y1 (%), (B) cumulative drug release Y2 (%), (C) vesicle size Y3 (nm), the values are given as mean±SEM, where n=3
In vitro drug release
The cumulative in vitro drug release was performed in phosphate buffer pH 7.4 by dialysis method. It was observed that the drug release of all the formulations ranged from 77.5 % to 96.31 % at 8th hour (fig. 2 B) with an initial burst release at 0.5 hour (fig. 4), this may be due to the release of the surface drug. The increase in the concentration of span 60 and cholesterol decreases the drug release of the formulated niosomes (fig. 3 B). This might be due to the fact that increased surfactant acts as a depot, whereas the increase in cholesterol hardens the vesicle and thereby reducing the leakage of the drug into the medium [28].

Fig. 4: In vitro drug release of valacyclovir loaded niosomes, the values are given as mean±SEM; where n=3
Optimization of valacyclovir loaded niosomes
32 factorial design was employed to study, optimize and evaluate the mean, interaction and quadratic effects of the selected variables on the response for the valacyclovir loaded niosomes. It was observed that quadratic model was best fitted for the responses Y1, Y2 and Y3.
Mathematical modeling
Entrapment efficiency (Y1), cumulative drug release (Y2) and vesicle size (Y3) were analysed and mathematical model for each response is produced and expressed in the following equations.



The inference from model analysis suggests that the increase in the concentration of cholesterol decreases the entrapment efficiency and increases the vesicle size, whereas an increase in span 60 decreases the cumulative drug release.
ANOVA analysis
ANOVA for entrapment efficiency (Y1) and vesicle size (Y3) indicate that both surfactant (X1) and cholesterol (X2) were significant terms with a P value less than 0.5 (table 4), thus a null hypothesis was rejected and alternate hypothesis was proposed: both the variables have significant effect on entrapment efficiency and vesicle size.
ANOVA for cumulative drug release (Y2) indicates that the surfactant (X1) has a significant effect on the release of drug from valacyclovir loaded niosomes. 3D surface plots (fig. 5) represent the variations in response with respect to the change in the level of surfactant (X1) and cholesterol (X2).

Fig. 5: Surface response plot showing the effect of X1 and X2 on (A) entrapment efficiency Y1 (%), (B) cumulative drug release Y2 (%), (C) vesicle size Y3 (nm)
Prediction and validation of the optimized formulation
An optimized formula (OVN) of valacycovir loaded niosomes with desirability factor closely related to one, which fulfil the requirement of achieving maximum entrapment efficiency, maximum drug release at 8th hour and minimum vesicle size is selected. To validate the calculated optimal factor levels and their predicted responses, the optimized formulation is prepared and evaluated. From the results (table 5), it can be concluded that optimized formula showed vesicle size, entrapment efficiency and drug release profile as predicted from the model equations developed by the present study without significant difference.
Table 4: ANOVA table for responses
| Factor | % Entrapment efficiency Y1 | % Cumulative drug release Y2 | Vesicle size Y3 |
| P value | P value | P value | |
| Model | 0.0018* | 0.0123* | 0.0073* |
| X1 | 0.0229* | 0.0015* | 0.0383* |
| X2 | 0.0127* | 0.1002 | 0.0009* |
| X1 X2 | 0.8482 | 0.4755 | 0.5336 |
| X12 | 0.0118 | 0.1120 | 0.1803 |
| X22 | 0.0004* | 0.6601 | 0.3574 |
*significant effect of factors on individual responses (p value<0.05)
Table 5: Validation of optimized formulation by experimental design
| Factor | Coded value | Actual value (mg) | Response | Predicted value | Experimental value | % Error |
| Span 60 (X1) | -0.21 | 300 | Entrapment Efficiency (Y1) | 45.3 % | 44.1 % | 3.19 % |
| Cholesterol(X2) | -0.64 | 133.26 | Cumulative drug release (Y2) | 92.4 % | 89.6 % | 1.96 % |
| Vesicle size (Y3) | 463 nm | 479 nm | 2.95 % |
Surface morphology
The FESEM of the optimized niosomal formulation showed that the vesicles are spherical with rough surfaces (fig. 6). It is also observed that the prepared valacyclovir loaded niosomes are multilamellar in nature.

Fig. 6: Field emission scanning electron microscopy of the optimised formulation (OVN)
Surface charge
The potential of the stability of niosomes depends on the magnitude of the zeta potential. The zeta potential measurement of the optimized niosomal formulation showed-43.2 mV (fig. 7). This value is sufficiently high for electrostatic stabilization as the zeta potential increases, the charged particles repel one another and become more stable against aggregation [29].

Fig. 7: Zeta potential of optimised formulation OVN
Drug release kinetics
The release kinetics of the optimized formulation (table 6) followed zero order kinetics. Higuchi’s correlation coefficient showed that the drug release is proportional to the square root of time indicating that valacyclovir release is diffusion controlled. The n value from the korsemeyer peppas model for valacyclovir niosomal formulation was 0.3209 which confirms the fickian diffusion.
Table 6: Release kinetics of the optimized valacyclovir loaded niosomal formulation (OVN)
| Formulation | Higuchi | Korsemeyer Peppas | Zero Order | First Order | Hixson-Crowell |
| r2 | n | r2 | r2 | r2 | |
| OVN | 0.9197 | 0.3209 | 0.9532 | 0.8135 | 0.9203 |
Stability studies
Stability of the valacyclovir loaded niosomes was performed on the freshly prepared optimized formulation at 4 °C±2 °C, 25 °C±2 °C and 40 °C±2 °C for 3 mo (table 7). At the end of 3rd month the entrapment efficiency of optimized niosomes at 4 °C±2 °C, 25 °C±2 °C and 40 °C±2 °C was found to be 48.12 %, 46.34 % and 43.19 % respectively. As expected, at refrigerated conditions the amount of drug retained in the niosomes was more than the accelerated conditions.
Table 7: Stability of the optimized valacyclovir loaded niosomes
| Formulation | Conditions | Entrapment efficiency (%) | ||
| 1 mo | 2 mo | 3 mo | ||
| OVN | 4 °C±2 °C | 49.86±0.7159 | 48.32±0.7851 | 48.12±0.8371 |
| 25 °C±2 °C | 47.96±0.9006 | 47.21±1.0738 | 46.34±1.1085 | |
| 40 °C±2 °C | 45.81±0.9064 | 44.34±0.9526 | 43.19±0.9757 | |
mean±SEM, where n=3
32 full factorial design was prepared and evaluated to study factors influencing the formulation of niosomes. Surfactant: drug ratio (X1) and cholesterol level (X2) were taken as independent variables. The independent variables selected were % entrapment efficiency (Y1), Drug release at 8th hour (Y2) and Particle size (Y3). Statistical analysis of results was done using Design Expert, 10.0.3 [Statease. Inc]. The study revealed that cholesterol level had a significant effect on entrapment efficiency and vesicle size, whereas surfactant has a significant effect on the cumulative drug release. Based on the mathematical modelling an optimized formulation was identified and prepared. Results indicated that there is no significant difference between the predicted and observed value, showing that the model is reliable. Results suggested that the proposed 32 factorial model is suitable for the preparation of sustained release valacyclovir loaded niosomes thereby decreasing the frequency of dosage and increasing patient compliance for the treatment of herpex simplex virus and Varicella-zoster virus infections.
The authors are thankful to Orchid Ltd., for providing drug sample and SRM College of Pharmacy, SRM University, Kattankulathur, Tamilnadu, for their providing facilities and support for carrying out this research work
All the authors have contributed equally.
Declare none
Purnima Madhivanan, Karl Krupp, Arthur L Reingold. The epidemiology of Herpes simplex virus type-2 infection among married women in mysore, India. Sex Transm Dis 2007;34:935-7.
Alex Azwa, Simon E Barton. Aspects of herpes simplex virus: a clinical review. J Fam Plann Repod Healthcare 2009;35:237-42.
Cunningham AL, Diefenbach RJ, Miranda-Saksena M, Bosnjak L, Kim M, Jones C, Douglas MW. The cycle of human herpes simplex infection: virus transport and Immune control. J Infect Dis 2006;194:S11-S18.
Erlich KS. Management of herpes simplex and varicella-zoster viral infections. West J Med 1997;166:211-5.
Pradeep B, Nagamadhu M, David Banji, Shekar K, Bindu Madhavi B, Arjun G. Valacyclovir: development, treatment and pharmacokinetics. Int J Appl Biol Pharm 2010;3:1076-83.
Conan MacDougall, B Joseph Guglielmo. Pharmacokinetics of valaciclovir. J Antimicrob Chemother 2004;53:899-901.
David B Kimberlin. Acyclovir derivatives and other new antiviral agents. Semin Pediatr Infect Dis 2001;12:224-34.
Ganesh M, Narasimharao CV, Saravana Kumar A, Kamalakannan K, Vinoba M, Mahajan HS, Sivakumar T. UV spectrophotometric method for the estimation of Valacyclovir HCl in tablet dosage form. E J Chem 2009;6:814–8.
Rafik Karaman, Khuloud K Dajani, Alaa Qtait, Mustafa Khamis. Prodrugs of acyclovir–a computational approach. Chem Biol Drug Des 2012;79:819-34.
Jain NK. Advances in controlled and novel drug delivery. 1st ed. India: CBS Publishers and Distributors, New Delhi; 2004.
Saeid Moghassemi, Afra Hadjizadeh. Nano-niosomes as nanoscale drug delivery systems: an illustrated review. J Controlled Release 2014;191:82-9.
Ali Bhageri, Boon Seang Chu, Hariszun Yaakob. Niosomal drug delivery systems: formulation, preparation and applications. World Appl Sci J 2014;32:1671-85.
Gurinder Singh, Roopa S Pai, V Kusum Devi. Optimization of pellets containing solid dispersion prepared by extrusion/spheronization using central composite design and desirability function. J Young Pharm 2012;4:146-56.
Sonam Ranga, Manish Jaimini, Sanjay Kumar Sharma, Bhupendra Singh Chauhan, Amit Kumar. A review on the design of experiments (DoE). Int J Chem Pharm Sci 2014;3:216-24.
Chawda Himmat Singh, Jain CP, Bairwa Narendra Kumar. Formulation, characterization, stability and in vitro evaluation of nimesulide niosomes. Pharmacophore 2011;2:168–85.
Khalid M El-Say, Fathy I Abd-Allah, Ahmed E Lila, Abd El-Saboor A Hassan, Alaa Eldin A Kassem. Diacerin niosomal gel for topical delivery: development, in vitro and in vivo assessment. J Liposome Res 2015;26:57-67.
Mohawed Ola AM, El-Ashmoony MM, Omaima Elgazaerly. Niosome-encapsulated clomipramine for transdermal controlled delivery. Int J Pharm Pharm Sci 2014;6:567-75.
Mothilal M, Chaitanya M, Surya Teja SP, Manimaran V, Damodharan N. Formulation and evaluation of naproxen-eudragit RS100 nano suspension using 32 factorial design. Int J Pharm Pharm Sci 2014;6:449-55.
Purnima Negi, Farhan J Ahmad, Dabeer Ahmad, Gaurav K, Gyanendra Singh. Development of a novel formulation for transdermal delivery of an antidepressant drug. Int J Pharm Sci Res 2011;2:1766-71.
Gyati Shilakari Asthana, Abhay Asthana, Davinder Singh, Parveen Kumar Sharma. Etodolac containing topical niosomal gel: formulation development and evaluation. J Drug Delivery 2016;1-8. http://dx.doi.org/10.1155/2016/9324567
Balakrishnan P, Shanmugam S, Lee WS, Lee WM, Johg Oh Kim, Dong Hoon Oh, et al. Formulation and in vitro assessment of minoxidil niosomes for enhanced skin delivery. Int J Pharm 2009;377:1-8.
Tila D, Yazdani-arazi SN, Ghanbarzadeh S, Arami S. pH-sensitive, polymer modified, plasma stable niosomes : promising carriers for anti-cancer drugs. EXCLI J 2015;14:21–32.
Srinivas S, Anandkumar Y, Hemanth A, Anitha M. Preparation and evaluation of niosomes containing aceclofenac. Dig J Nanomater Biostruct 2010;5:249-54.
Di Marzio L, Marianecci C, Petrone M, Rinaldi F, Carafa M. Novel pH-sensitive non-ionic surfactant vesicles: Comparison between tween 21 and tween 20. Colloids Surf B 2011;82:18–24.
Suvakanta Dash, Padala Narasimha Murthy, Lilakanta Nath, Prasanta Chowdhury. Kinetic modelling on drug release from controlled drug delivery systems. Acta Poloniae Pharm Drug Res 2010;67:217-23.
Zerrin Sezgin, Bayindir, Nilufer Yuksel. Characterisation of niosomes prepared with various surfactants for paclitaxel oral delivery. J Pharm Sci 2010;99:2049-60.
Bhama Santhosh Kumar, Rakhi Krishna, Lakshmi PS, Deepa T Vasudev, Sreeja C Nair. Formulation and evaluation of niosomal suspension of cefixime. Asian J Pharm Clin Res 2016;10:194-201.
Salih OS, Samein LH, Ali WK. Formulation and in vitro evaluation of rosuvastatin calcium niosomes. Int J Pharm Pharm Sci 2013;5:525–35.
Kayes JB. Pharmaceutical suspensions: the relation between zeta potential, sedimentation volume and suspension stability. J Pharm Pharmacol 1997;29:199-204.