
Universidad Nacional de Colombia, Sede Bogotá, Science Faculty, Pharmacy Department–Research Group Technology of Natural Products Carrera 304503, Bogotá D. C., (111311), Colombia
Email: ybaenaa@unal.edu.co
Received: 30 Jan 2018, Revised and Accepted: 30 Mar 2018
ABSTRACT
Objective: Chemically modify by acetylation, Arracacia xanthorrhiza starch, and to physicochemically and pharmacotechnically characterize it, thereby evaluating its potential as a pharmaceutical excipient, in comparison with the native starch of Arracacia xanthorrhiza.
Methods: The chemical modification was performed through acetylation with acetic anhydride (AA) on different levels, determining following starch’s characteristics: degree of substitution (DS), size and form of particles, its degree of crystallinity through X-ray powder diffraction (XRPD), gelatinization temperature (Tg) through differential scanning calorimetry (DSC), swelling power (SP) and sorption isotherms by means of Enslin method, and its application as excipient in tablet production, using diclofenac as model drug.
Results: On the third level of substitution, the morphology of modified-starch particles presented changes on their surface and all modified starches increased their particle average sizes, in comparison to native starch. Starch crystallinity was not altered by acetylation, and the DS increased as more AA was added to the reaction. This modification caused a decrease of Tg by approx. 9.45 °C for A. xanthorrhiza starch modified to level III, in comparison to native starch. SP and water uptake capacity increased with starch modification, being greater to higher DS. Dissolution studies conducted on tablets showed that diclofenac delivery occurs practically immediately when using native starch, while those made of acetylated starch were close-fitting with Korsmeyer-Peppas model, with a release mechanism that suggests an anomalous, non-Fickian transport behaviour, related to a mechanism governed by swelling and diffusion.
Conclusion: The results suggest A. xanthorrhiza acetylated starches, as promising materials for the development of controlled-delivery matrix systems.
Keywords: Acetilation, starch, Arracacia xanthorrhiza, controlled delivery
© 2018 The Authors. Published by Innovare Academic Sciences Pvt Ltd. This is an open access article under the CC BY license (http://creativecommons.org/licenses/by/4.0/)
DOI: http://dx.doi.org/10.22159/ijap.2018v10i3.25031
Additional to requiring higher administration frequencies, conventional drug delivery systems may produce, over time, great fluctuations in the plasmatic levels when administered in multi-dose regimens, which is far from the ideal in pharmacotherapy. Controlled drug delivery formulations tend to offer a better approach to ideal therapy by favoring a more constant plasmatic concentration, maintaining it inside the therapeutic margin and reducing dosage frequency [1]. Among possible ways of controlled dosage, hydrophilic matrix formulations are the most efficient and most employed, given the simplicity and low costs of their manufacturing process [2, 3].
In these matrix formulations mainly hydrophilic polymers are used, especially those cellulose-derived. The possibility of obtaining alternative materials with similar behaviours would represent a valuable contribution to this field. One of these possibilities is using starches obtained from natural sources other than corn (Zea mayz) and potatoes (Solanum tuberosum), which could serve as excipients in their natural forms or by means of some physical, chemical or enzymatic modifications [4]. Some modified starches are used as excipients in the pharmaceutical industry, for controlling the speed of drug delivery in hydrophilic matrices, mostly [5, 6]. This is mainly due to the increase in swelling capacity, even at low temperatures, allowing for the formation of a gel-like barrier surrounding the particles [7].
Acetylation is among the most common chemical methods used to modify starch. This type of modification is obtained by esterification of native starch [8] and might be achieved with AA, vinyl acetate or acetic acid, and depends on factors such as reagent concentration, reaction time and temperature and pH value, that module the number of acetyl groups incorporated into-OH groups of starch molecules [9].
In order to select starch for industrial use, aside from economic viability considerations, it is necessary to evaluate physicochemical characteristics that depend on the vegetal source, the type of chemical modification and DS achieved. Native starch is normally not adequate for designing controlled drug delivery systems given its very quick release due to low swelling and quick enzymatic degradation in biological systems [10].
The objective of this investigation was to chemically modify A. xanthorrhiza native starch (non-traditional starch source), by means of AA on different levels and evaluating it’s physicochemical and pharmacotechnical properties, with the aim of determining possible applications in the development of controlled drug delivery systems.
A. xanthorrhiza rhizomes from which starch was derived were acquired in the marketplace of Paloquemao, in Bogotá (Colombia), choosing fresh, whole, bruise-free products presenting adequate organoleptic characteristics (20 kg). A voucher specimen of the plant (COL-602870) was identified and deposited at the Herbario Nacional Colombiano of the Universidad Nacional de Colombia. For starch extraction and acetylation processes, following substances were used: ethanol (EtOH) 96% (supplied by Empresa de Licores de Cundinamarca-Colombia, Pharmaceutical grade), AA ≥ 99.0% (J. T Baker, USA, analytical grade), sodium hydroxide (NaOH) (Merck, Germany, pharmaceutical grade), hydrogen chloride (HCl) (Merck, Germany, analytical grade) and deionized water (obtained by using Merck Millipore Milli-Q water purification equipment, Billerica, MA, USA). To determine the acetylation percentage (AP) and DS, potassium hydroxide (KOH) (Merck, Germany, analytical grade) and phenolphthalein (J. T Baker, USA, analytical grade) were used. In the evaluation of starch’s functionality as a diluent in tablet production, following substances were used: sodium diclofenac (Merck, Germany, pharmaceutical grade), disodium phosphate (Sigma-Aldrich, USA, analytical grade) and sodium phosphate (Sigma-Aldrich, USA, analytical grade).
Native starch isolation
The process of starch extraction started with washing 20 kg of healthy A. xanthorrhiza rhizomes which were peeled, washed again, squared and blended with drinking water until a slurry was obtained. The latter was filtered and allowed to settle for one night. The supernatant liquid was eliminated by decantation and the sediment resuspended in distilled water to be washed anew. Finally, the sediment was resuspended in EtOH, vacuum filtered (vacuum pump Cast, DOA-P704-AA; USA) and dried to 40 °C (Mettler Toledo stove, Lindberg blue M, USA) for 12 h. The product was then packed and stored for its later use.
Acetylation, acetyl-group determination and substitution degree
Native starch was acetylated on three levels by varying the quantities of AA added (5, 10 and 15 ml for levels I, II and III, respectively), employing the method described by Mirmoghtadaie et al. [11], albeit with some modifications. A suspension consisting of 200 ml of distilled water and 40 g of native starch was prepared, initially adjusting the pH to 8.5 by means of a NaOH solution (3%p/v), stirring at 20 rpm (Talboys, hot plate stirrer, 7x7 USA) and letting the system stabilize for 30 min. After that period, previously defined quantities of AA were added drop by drop. pH was kept between 8.5 and 9.0 (pH meter Mettler Toledo, seven easy, Switzerland) for the whole reaction through little additions of the same NaOH solution. Afterwards, the system was adjusted to pH 5 with HCl solution (0.5N), filtered and the resulting residue washed three times with distilled water and once with EtOH, allowing it to dry at 40 °C for 12 h. The resulting modified-starch was then stored for later study. The reaction was verified through infrared (IR) spectrum of native and acetylated starches (Infrared spectrometer, Perkin Elmer, Spectrum BX, USA), in a wavelength interval ranging between 400-4000 cm-1.
For AP and DS determination the alkaline saponification technique, as described by Sodhi and Singh, with modifications was used [12]. In a 250 ml flask were added 50 ml of EtOH-water solution (70% v/v) and then 50 ml of KOH solution (0.5N). The mixture was agitated at 50 rpm and kept at 50 °C for 30 min (Talboys hot plate stirrer, 7x7 USA) and later kept at room temperature for 72 h, with occasional stirring. Alkali excess was valued through back-titration with HCl solution (0.5N), using phenolphthalein as indicator. Simultaneously, a blank determination was made with a sample of native starch, following the same procedure. All calculations were realized with equation 1.
…… (Equation 1)
For which: 0.043= acetyl-group milligrams
DS determination, which corresponds to the mean number of hydroxyl groups replaced by CH3-C=O groups in the anhydro-glucose-unit (UAG), is calculated using equation 2:
……. (Equation 2)
For which:
162 = molecular weight of each UAG.
4300 = 100 x molecular weight of CH3-C=O group
42 = Molecular weight of CH3-C=O group minus 1.
Morphology, size and particle size distribution
The morphology of each obtained starch was assessed using scanning electron microscopy (SEM, FEI, Quanta 200-r, USA). Particle size was assessed using a particle size analyzer (Mastersizer, Malvern Instruments, 2000S, USA) with a refractive index of 1.494 and±1% accuracy, employing cold water as a vehicle [13].
X-ray powder diffraction (XRPD)
X-ray diffraction analysis was performed on each obtained starch using an X-ray fluorescence spectrometer (Phillips, Magix Pro, Holland), in the range of 10 °-70 ° 2θ/θ, with a scanning speed of 0.066 °2θ/s [14].
Swelling power (SP)
The starch swelling was determined using the method described by González and Pérez [15], albeit with some modifications. The determination was conducted at temperatures between 25 and 70 °C. 4 g of each starch were dispersed in 200 ml water and placed into a 300 ml triple-neck flask which contained a magnetic agitator. A refrigerant was plugged to the central neck, a thermometer to one side, and a glass cap to the remaining opening. Flask was heated and agitated at 30 rpm (Talboys hot plate stirrer, 7x7 USA), with 10 ml samples of the suspension taken each 5 °C. Said samples were placed in previously weighed centrifuge-flasks; the weight of flask and sample was measured and centrifuged at 2200 rpm for 5 min (Centrifuge Hettich, Rotofix32A, Germany). The supernatant was decanted in dry, previously weighed Petri-dishes and the weight of dish and supernatant was noted. Centrifuge tubes with precipitate were again weighed. Determinations were done in triplicate. Equations 3 through 6 were used for corresponding calculations.
……. (Equation 3)
……. (Equation 4)
…… (Equation 5)
……. (Equation 6)
A = Sample weight (g), a = Sediment weight in tube (g), b = Weight of residue in Petri dish (solubilized starch, g), W1 = Percentage of dry-basis starch in suspension, W2 = Starch in each sample, % SS = Soluble solids percentage (g/starch g) y SP = Swelling power.
Gelatinization temperature
The range for gelatinization temperature was determined by DSC (Mettler Toledo, DSC823, Switzerland), following method by Alves et al. [16] with some modifications. 2 μL samples of water suspension (10% p/p) of each starch were placed in previously weighed aluminum capsules. Each capsule was weighed, including the 2 μL sample and then hermetically sealed. An empty aluminum capsule was taken as reference. Samples were then heated from-20 ° to 90 °C, at 10 °C/min.
Sorption isotherms
For each starch, the sorption behavior was analyzed using a design by Enslin-Neff (fig. 1) [17]. On one of its ends, the equipment presents a sample unit, consisting of a glass funnel and a glass frit over which the sample is placed. On the other end, a graded pipette on the horizontal position at the same height as the upper level of the glass frit (to neutralize the effects of hydrostatic pressure). The system is balanced with distilled water (25 °C) using almost the whole pipette; fluid’s position in that moment represents the pipette’s point zero (starting position). The sample consisting of particulate matter (1 g) is placed uniformly applied on the glass frit. The sample absorbs liquid by capillarity and no other force shall intervene. The volume of absorbed liquid is measured at predetermined time intervals. Determinations were done in triplicate [14].

Fig. 1: Schematic representation of Enslin apparatus for water uptake studies
Evaluation of A. xanthorrhiza starches functionality as diluents in tablets
These tests were conducted as described in the corresponding chapters of USP 39 [18]. 450 mg tablets were produced by direct compression for this trial, for each one of the starches, using sodium diclofenac (100 mg) as a model drug. Compaction pressure was 188 Mpa, employing a punch of 5/16" 8 mm, (Hydraulic press, Carver Inc, Model C, USA).
Determinations of dissolution profiles were done, in triplicate, under following conditions:
Apparatus 1, medium phosphate buffer pH 6.8 (900 ml), speed 100 rpm, temperature 37 °C and sampling times varied between 1 and 16 h (Automatic dissolution, Distek, Evolution 6100, USA). Sodium diclofenac was quantified by ultraviolet spectroscopy (UV spectrophotometer, Agilent Technologies model 8453, USA), following a previously validated analytical methodology [16].
Different kinetic models such as zero-order, first order and Korsmeyer and Peppas (Equations 7, 8 and 9) were used to analyze drug-release kinetics from the tablets.
…… Equation 7
…… Equation 8
……. Equation 9
Where
represent the fraction of drug released, and the release constants for each model respectively. Similarity factor f2 was used for profile evaluation (equation 10) [19].
…… Equation 10
For which Rt y Tt correspond to accumulated drug percentages released on each moment, for the tablets with native starch as a diluent and those with the corresponding modified starch, respectively.
Degree of substitution
In total, four types of starch were obtained: one of native starch, and three with different acetylation levels. Table 1 shows AP and DS achieved for each level. As the volume of AA added increases, a rise on both parameters can be evidenced, although not in directly proportional way.
Table 1: Percentage and substitution degree of A. xanthorrhiza starch in different levels of acetylation
| Starch type | Acetylation percentage mean±SD | Substitution degree mean±SD |
| A. xanthorrhiza native | 0.00 | 0.00 |
| A. xanthorrhiza level I | 7.9±0.09 | 0.33±0.004 |
| A. xanthorrhiza level II | 13.5±0.12 | 0.59±0.006 |
| A. xanthorrhiza level III | 16.6±1.12 | 0.74±0.06 |
SD-Standard deviation; n=10.
This might occur due to tight packaging of amylose chains in amorphous regions, and to the highly organized amylopectin chains, which might affect the efficiency of acetylation reactions on starch’s glucose units [12]. Efficiency was considerably lower than one achieved with corn starch under the same conditions (see supplementary material, table S1) because particle size of the corn starch is smaller and percentage of amylose is higher than A. xanthorrhiza, aspects that improve the reaction [20]; to increase reaction efficiency, catalysts and more drastic temperatures would be required [21]. Although the efficiency of the reaction can improve, it follows a mechanism of addition-elimination that under equal conditions will depend on the reactivity of the-OH groups of the starch, leading to the reaction not being homogeneous and at high concentrations of AA some glucose units will be inaccessible to react and the-OH groups will remain unacylated, obtaining values of DS far from 3.0 [20].
IR showed starch acetylation in reference to native starch (see supplementary material, fig, S1). When comparing the analysis of IR for the starches that were subjected to the reaction can be observed a decrease (shortening) of vibrations related to stretching or tension (between 3700-2800 cm-1). This is due to the introduction of acetyl groups to the structure of the starch that provides a certain spherical effect to the flexural vibrations indicating changes in the sample analyzed [9].
Likewise, the appearance of a band between 1720-1760 cm-1 was observed in the modified starches, this is assigned to the vibration of the C = O bond (carbonyl group), which is clear evidence of the modification [22]. Finally, with acetylation, a decrease was observed in the signals corresponding to the vibrations of stretching (3000-3900 cm-1) and vibrations of flexion of the O-H groups due to the introduction of the acetyl C-O groups to the starch, corroborating that the acetylation reaction was performed on the samples analyzed [23].
Morphology, size and particle size distribution
SEM (fig. 2) showed irregular A. xanthorrhiza native starch granules (fig. 2a), with fluted, polyhedral, globular surface, which is in accordance to postulations by Moraes et al. [24]. For acetylation level I (fig. 2b), granules show no change on their surfaces, maintaining globular, polyhedral shapes. Level II granules (fig. 2c) show no surface changes, though some loose globular shape and evidence their fusion. Acetylation level III granules (fig. 2d) show light damage on their surfaces and increased irregularity; although they are not high due to the low DS, this could be generated by the fusion of the granules and the formation of hydrogen bonds, being evident also, by other authors, in modifications on starches such as butyrylation and carboxymethylation [25].

Fig. 2: Microphotographs of A. xanthorrhiza starch (5000x): a) Native, b) Acetylation level I, c) acetylation level II, d) acetylation level III
90% of native A. xanthorrhiza starch particles had a size smaller than 29.01 µm, with particle size distributions ranging between 2.10 and 35.0 µm. Acetylated particles show an apparent size increase, as readings showed 90% of particles for acetylation levels I, II and III stood below 100.95, 97.97 and 93.51 µm, respectively (see supplementary material, fig. S2-S5). Contact of acetylated material with water during the obtaining process tends to form a hydrophilic, adherent gel that could promote particle coalescence [26]. This coalescence is explained by the intergranular aggregation, which can be caused by interaction between functional groups due to an increase in the hydrogen bonds and therefore intergranular agglomeration [27].
X-ray powder diffraction
XRPD measurement verified if acetylation altered the starch’s degree of crystallinity [10]. Fig. 3. shows signs at 14.9 °, 17.1 °,18.4, 21.7 °, 23.3 °, which coincides with that reported by other authors [27], where the signal at 17 ° and the double peak at 22 ° and 24 ° are characteristics of the starch of A. Xanthorrizha. The crystalline pattern was not affected by acetylation in the working conditions (low DS), which agrees with some authors [28].
However, some modifications made to starches for other authors, such as esterification with chloroacetic acid results in a change in the crystalline pattern, enough to destroy the crystallinity of the starch, changing it to an amorphous state [29]. For modifications by acetylation at high levels a decrease in crystallinity may occur due to substitutions of-OH groups by bulky acetyl groups in the starch chain, that reduce the formation of junction zones between starch molecules due to steric hinderances and results in the limited destruction of the ordered crystalline structure [30].

Fig. 3: X ray powder diffraction study of native A. xanthorrhiza starch and A. xanthorrhiza starch with three levels of acetylation (Levels I, II and III)
Swelling power
Fig. 4 shows that SP increases as the temperature rises which matches postulations of Li and Yeh [31], as it comes closer to gel formation. At this point, native starch can retain 16.20±0.22 times its own weight in water, while starches modified on levels I, II and III, present values of 22.93±2.48, 26.77±0.15 and 24.98±2.67, respectively at 65 °C (These values correspond to mean=3±SD). This increase occurs at the low level of acetylation, because inclusion of acetyl groups in the polymer chains that confirm the starch, causes an intragranular disruption that enables permeation of water to the amorphous region, which is eased by the greater energy supplied. Accordingly, more water is absorbed which translates into greater swelling [20, 32].

Fig. 4: Swelling power of A. xanthorrhiza native starch and A. xanthorrhiza acetylated starch with three levels of acetylation (Levels I, II and III). All the values were calculated as mean±standard deviation (n=3)

Fig. 5: Thermograms of native A. xanthorrhiza starch and A. xanthorrhiza starch with three levels of acetylation (Levels I, II and III)
Gelatinization temperature
Thermograms obtained through DSC, with Tg of native and modified starches are presented on fig. 5.
Tg for A. xanthorrhiza native starch was 59.5 °C, consistent with values found on literature [33, 34]. This value is lower than those of corn and potato starches, for which gelatinization temperatures are 76.27 °C and 73.66 °C respectively [35, 36]. This behavior is related to a shoulder on the amylopectin branched-chain length of A. xanthorrizha starch, which is known as a crystalline structural defect and contributes to the starch’s low gelatinization temperatures [37]. Tg diminishes progressively as the modification increases, reaching 51.33 °C, 50.02 °C and 49.51 °C for acetylation levels I, II and III, respectively. These results could be associated with loss of molecular order in the granule [12]. Introduction of acetyl groups causes a disruption in the internal granule structure by disconnecting hydrogen bonds, both intra-and intermolecular. That way, less energy would be necessary for breaching chains and allowing water absorption, thus causing gelatinization [32, 38].
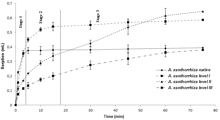
Sorption isotherms
Fig. 6 shows water-sorption profiles in terms of time and table 2, sorption velocity constants associated to each stage of the process.

Fig. 6: Sorption isotherms of native A. xanthorrhiza starch and A. xanthorrhiza starch with three levels of acetylation (Levels I, II and III) (25 °C). All the values were calculated as mean±standard deviation (n=2)
Table 2: Water uptake behavior of modified A. xanthorrhiza starch matrices
| Starch type | Stage 1 K(mL/mg. min) (R2) |
Stage 2 K(mL/mg. min) (R2) |
Stage 3 K(mL/mg. min) (R2) |
| A. xanthorrhiza native | 0.107 (0.8866) | 0.0005 (0.7500) | 0.0003 (1.0000) |
| A. xanthorrhiza level I | 0.1157 (0.9864) | 0.0090 (0.9067) | 0.0007 (0.9308) |
| A. xanthorrhiza level II | 0.0399 (0.8779) | 0.0065 (0.9826) | 0.0037 (0.9356) |
| A. xanthorrhiza level III | 0.0357 (0.8732) | 0.0054 (0.9900) | 0.0020 (0.9643) |
K= velocity constants (mL/mg. min); R2 = Coefficient of correlation of each state
The sorption graphs show that A. xanthorrhiza native and acetylation level I starches both present a two-phase behavior characterized by high-speed on the first stage that decreases over time. For level I starch, sorption velocity constants are greater than those of native starch, which means a more hydrophilic material, albeit with less capacity to increase its surroundings viscosity. Acetylation levels II and III starches presented higher water sorption, albeit slower than native and level I starches. It could be because, at neutral or high pH values, the ionization of carboxyl groups and the consequent repulsion between chains with network dilation, which favors the entry of water [39]. This outcome is attributed to material’s observed tendency of forming a superficial hydrophilic gel on the first stages of the process, which hinders water entry. This is associated to greater water sorption capacity as the acetylation degree increases when substitution degree is low [20]. Different behavior occurs at high levels of acetylation, as it has been reported by other authors [20].
Evaluation of A. xanthorrhiza starches functionality as diluents in tablets
Tablets were produced to test the functionality of A. xanthorrhiza starch as a hydrophilic matrix, using sodium diclofenac as a model drug. A. xanthorrhiza acetylated starches presented good compression capacity, without evidence of lamination or adhesion to punches during production. These characteristics would show that it could be used as a diluent for direct compression [40].
Fig. 7 presents release profiles for evaluated formulations, using native and acetylated starch as diluents. With native starch, 89% of sodium diclofenac is released on the first hour, while this same value is achieved near the 14th hour with modified starches.
As tablets came in touch with dissolution medium at 37 °C, a gelatinous coat was formed around them. This coat’s thickness was greater as the starch’s DS increased. Tablets made of native starch disintegrated after about an hour, which didn’t happen on tablets made of modified starches.

Fig. 7: In vitro release profiles of diclofenac from matrices of native A. xanthorrhiza starch and A. xanthorrhiza starch with three levels of acetylation (Levels I, II and III). All the values were calculated as mean±standard deviation (n=3)
As previously shown, acetylation of A. xanthorrhiza starch significantly improves water sorption and retention capacities and drops its gelatinization point. This behaviour has been observed on other starch sources, although not in the same magnitudes [9].
This behaviour suggests that, upon contact with dissolution medium, it acts as a plasticizer, thereby improving the mobility of polymer chains, capturing water and swelling, which in turn contributes to drug delivery control, depending on its modification level. This behavior is similar to cellulose polymers like hydroxypropyl methylcellulose (HPMC) [41].
Table 3 shows results for kinetic behavior determination of sodium diclofenac release from matrices made of A. xanthorrhiza starch.
Table 3: Release kinetics of diclofenac from A. xanthorrhiza starch matrices with different degrees of acetylation
| Starch type | Release kinetic | ||
| Korsmeyer–peppas n (R2) | First order K(h-1) (R2) | Zero-order K(% released/h) (R2) | |
| A. xanthorrhiza level I | 0.5676 (0.9990) | 0.2031 (0.9419) | 5.9187 (0.9500) |
| A. xanthorrhiza level II | 0.6388 (0.9987) | 0.1663 (0.8772) | 5.4421 (0.9714) |
| A. xanthorrhiza level III | 0.6797 (0.9924) | 0.1465 (0.9063) | 5.8158 (0.9792) |
Release exponent = n, velocity constants = K, correlation coefficient = R2
Korsmeyer-Peppas is the model that most closely aligns to results obtained when using modified A. xanthorrhiza starch (correlation coefficient approaching 1), with R2 between 0.9990-0,9924 and values for n between 0.5676-0.6797. This n value, associated to the release mechanism, suggests an anomalous, non-Fickian transport behavior, related to a mechanism governed by swelling and diffusion [42]. Swelling would be related to capacity of modified starch to improve the mobility of the polymer chains due to decrease in Tg in presence of water and increase of medium temperature, similar to explained for some authors for materials like HPMC [41]. Diffusion presented in delivery process would be associated to physico-chemical properties of sodium diclofenac as its solubility and facilitated for the fluid ingress into the matrix [43]. Native starch matrices present a behavior similar to an immediate-release system, characterized by disintegration and active dissolution stages.
Release profiles for varied formulations were compared by similarity factor (f2), with results being shown on table 4.
Table 4: Dissolution profiles comparison of diclofenac from A. Xanthorrhiza starch matrices
| Dissolution profiles comparison | Similarity factor f2 |
| Native vs Level I | 30 |
| Native vs Level II | 17 |
| Native vs Level III | 17 |
| Level I vs Level II | 46 |
| Level I vs Level III | 47 |
| Level II vs Level III | 57 |
Given that profiles are deemed similar when f2 ranges between 50 and 100 [44], profiles for acetylation levels II and III are found inside the range, and their comparison with other levels shows no similarity between them. These results clearly evidence that acetylation of A. xanthorrhiza starch alters the physicochemical behaviour of native starch, generating a new material capable of controlling drug release, as shown in drug-release profiles with statistically-significative differences in comparison to native starch. Similarity shown for levels II and III implies that a low level of acetylation be enough for controlling drug release.
Results suggest acetylated starch, on different levels, is able to module drug delivery, in contrast to what happens with native starch.
A. xanthorrhiza starch proved having great potential for the production of solid oral modified-release pharmaceutical forms. A. xanthorrhiza native starch modified by acetylation showed as DS increased, augmented swelling capacity, associated to a drop in gelatinization temperatures. This drop, in turn, promotes the formation of a hydrogel, a gelatinous coat around the tablets when put in contact with dissolution medium at 37 °C. This gelatinous coat prevents water from pouring-in into the tablet and interfering with drug release; hence being kept longer in the matrix and delivered according to the kinetic model of Korsmeyer-Peppas. In general, the favorable pharmacotechnical behaviour of modified A. xanthorrhiza starches enables their application as excipients in designing controlled-release solid pharmaceutical forms.
The authors express their gratitude to the Research Division of Universidad Nacional de Colombia-Sede Bogotá (project code: 12205), for their financial support and to PROCAPS S. A laboratories for allowing us to use their facilities and equipment to carry out this project.
The authors declare that they have no conflict of interest
Lordi NG. Sustained release dosage forms. In: Lachman L, Lieberman HA, Kanig JL. editors. The Theory and Practice of Industrial Pharmacy. USA: Lea and Febiger; 1986. p. 430-56.
Marinich JA, Ferrero C, Jimenez MR. Graft copolymers of ethyl methacrylate on waxy maize starch derivatives as novel excipients for matrix tablets: drug release and fronts movement kinetics. Eur J Pharm Biopharm 2012;80:674–81.
Casas M, Ferrero C, Jimenez MR. Graft tapioca starch copolymers as novel excipients for controlled-release matrix tablets. Carbohydrate Polymers 2010;80:71–7.
Cubero N, Monferrer A, Villalta J. Food additives. 1th ed. Madrid (Esp): Mundi Prensa Libros S.A.; 2002.
Chen L, Li X, Li L, Guo S. Acetylated starch-based biodegradable materials with potential biomedical applications as drug delivery systems. Curr Appl Physics 2007;7:e90–e93.
Onofre FO, Wang YJ. Hydroxypropylated starches of varying amylose contents as sustained release matrices in tablets. Int J Pharma 2010;385:104–12.
Odeku OA, Picker-Freyer KM. Freeze-dried pregelatinized dioscorea starches as tablet matrix for sustained release. J Excipients Food Chem 2010;1:21–32.
Lemieux M, Gosselin P, Mateescu MA. Carboxymethyl high amylose starch as an excipient for controlled drug release: mechanistic study and the influence of the degree of substitution. Int J Pharma 2009;382:172–82.
Bello LA, Agama E, Zamudio PB, Mendez G, Rodriguez SL. Effect of low and high acetylation degree in themorphological, physicochemical and structural characteristics of barley starch. LWT Food Sci Technol 2010;43:1434–40.
Han F, Liu M, Gong H, Lu S, Ni B, Zhang B. Synthesis, characterization and functional properties of low substituted acetylated corn starch. Int J Biol Macromol 2012;50:1026–34.
Mirmoghtadaie L, Kadivar M, Shahedi M. Effects of cross-linking and acetylation on oat starch properties. Food Chem 2009;116:709–13.
Sodhi NS, Singh N. Characteristics of acetylated starches prepared using starches separated from different rice cultivars. J Food Eng 2005;70:117–27.
Prieto J, Trejo CL, Prieto F, Mendez MA, Bello LA, Roman AD. Acetylation and characterization of barley starch. Rev Latinoamericana de Recursos Naturales 2010;6:32–43.
Ayala G, Freitas IC, Vinicius RL, Quinta Barbos AM, Sobral PJ. Physicochemical, morphological, and functional properties of flour and starch from peach palm (Bactrisgasipaes K.) fruit. Starch Starke 2015;67:163-73.
Gonzalez Z, Perez E. Effect of acetylation on some properties of rice starch. Starch Starke 2002;54:148–54.
Alves RM, Grossmann MV, Ferrero C, Zaritzky NE, Martino MN, Sierakoski MM. Chemical and functional characterization of products obtained from Yam tubers. Starch Starke 2002;54:476-81.
Jacobs PJ, Hemdane S, Dornez E, Delcour JA, Courtin CM. Study of hydration properties of wheat bran as a function of particle size. Food Chem 2015;179:296–304.
The United States Pharmacopoeia/National Formulary, USP 39/NF. 34 Vol. I. The United States Pharmacopoeia Convention, Timbrook Parway, Rockville: 2016. p. 285,1334.
Xie F, Ji S, Cheng Z. In vitro dissolution similarity factor f2 and in vivo bioequivalence criteria, how and when do they match? Using a BCS class II drug as a simulation example. Eur J Pharma Sci 2015;66:163–72.
Garg S, Kumar JA. Characterization an evaluation of acylated starch with different acyl groups and degrees of substitution. Carbohydrate Polymers 2011;83:1623-30.
Bartz J, Goebel JT, Giovanaz MA, Zavareze ER, Artigas M, Guerra AR. Acetylation of barnyardgrass starch with acetic anhydride under iodine catalysis. Food Chem 2015;178:236–42.
Fang JM, Fowler PA, Tomkinson J, Hill CAS. The preparation and characterization of a series of chemically modified potato starch. Carbohydr Polym 2002;47:245-52.
Guerra DV, Bello LA, Gonzalez RA. Effect of reaction time on the acetylation of plantain starch. Rev Mex Ing Quim 2008;7:283-91.
Moraes J, Alves FS, Franco CM. Effect of ball milling on structural and physicochemical characteristics of cassava and peruvian carrot starches. Starch Starke 2013;65:200-9.
Kittipongpatana OS, Kittipongpatana N. Physico-mechanical and film-forming properties of carboxymethyl corn starch butyrate. Int J Pharm Pharm Sci 2016;8:302-6.
Singh N, Chawla D, Singh J. Influence of acetic anhydride on physicochemical, morphological and thermal properties of corn and potato starch. Food Chem 2004;86:601–8.
Medina OJ, Pardo OH, Ortiz CA. Modified arracacha starch films characterization and its potential utilization as food packaging. Vitae 2012;8:186-96.
Shah A, Masoodi FA, Gani A, Ashwar BA. Physicochemical, rheological and structural characterization of acetylated oat starches. LWT Food Sci Technol 2017;80:19–26.
Junmahasathien T, Khongkhunthien, Okonogi S. Preparation and characterization of modified colored rice as a gelling carrier for buccal drug delivery system. Int J Pharm Pharm Sci 2016;8:124-30.
Zhang H, Wang R, Wang J, Dong Y. Microwave-assisted synthesis and characterization of acetylated corn starch. Starch Starke 2014;66:515-23.
Li JY, Yeh AI. Relationships between thermal, rheological characteristics and swelling power for various starches. J Food Eng 2001;50:141-8.
Singh J, Kaur L, Mccarthy OJ. Factors influencing the physicochemical, morphological, thermal and rheological properties of some chemically modified starches for food applications-a review. Food Hydrocolloids 2007;21:1–22.
Perez EE, Breene WM, Bahnassey YA. Variations in the gelatinization profiles of cassava, sagu and arrowroot native starches as measured with different thermal and mechanical methods. Starch Starke 1998;50:70-2.
Barrera VH. Andean roots and tubers: alternatives for conservation and sustainable use in Ecuador. Quito: International Potato Center; 2004.
Wang WC, Sastry SK. Starch gelatinization in ohmic heating. J Food Eng 1997;34:225–42.
Wootton M, Bamunuarachchi A. Application of differential scanning calorimetry to starch gelatinization. I. Commercial native and modified starches. Starch Starke 1979;31:201–4.
Rocha TS, Cunha VA, Jane J, Franco CM. Structural characterization of peruvian carrot (Arracacia xanthorrhiza) starch and the effect of annealing on Its semicrystalline structure. J Agric Food Chem 2011;59:4208-16.
Torruco J, Betancur D. Physicochemical and functional properties of makal (Xanthosoma yucatanensis) starch. Food Chem 2007;101:1319–26.
Diniz AC, Bagliotti A, Ferreira BS, Evangelista RC. Evaluation of retrograded starch as an excipient for controlled release matrix tablets. J Drug Delivery Sci Technol 2017;40:83–94.
Li Z, Zhao L, Lin X, Shen L, Feng Y. Direct compaction: an update of materials, troubleshooting, and application. Int J Pharm 2017;529:543–56.
Siepmann J, Peppas NA. Modeling of drug release from delivery systems based on hydroxypropyl methylcellulose (HPMC). Adv Drug Delivery Rev 2012;64:163–74.
Peppas NA, Narasimhan B. Mathematical models in drug delivery: How modelling has shaped the way we design new drug delivery systems. J Controlled Release 2014;190:75–81.
Mundargi RC, Shelke NB, Rokhade AP, Patil SA, Aminabhavi TM. Formulation and in vitro evaluation of novel starch-based tableted microspheres for controlled release of ampicillin. Carbohydrate Polymers 2008;71:42–53.
Paixao P, Gouveia LF, Silva N, Morais JA. Evaluation of dissolution profile similarity–Comparison between the f2, the multivariate statistical distance and the f2 bootstrapping methods. Eur J Pharm Biopharm 2017;112:67–74.