
1,2Department of Pharmaceutical Sciences, College of Pharmacy, Andhra University, Visakhapatnam, Andhra Pradesh, India, 3,4,5Department of Pharmaceutical Chemistry, Hindu College of Pharmacy, Amaravathi Road, Guntur, Andhra Pradesh, India
Email: drudhayavani@gmail.com
Received: 10 Feb 2017, Revised and Accepted: 26 Mar 2018
ABSTRACT
Objective: To develop precise LC-MS method for the estimation of valsartan impurities and perform validation as per ICH guidelines.
Methods: Valsartan (VLN) and its degradation products were analyzed by reverse phase high-performance liquid chromatography (RP-HPLC) using mobile phase water: acetonitrile: glacial acetic acid: phosphate buffer in the ratio of 500:500:1:0.5 v/v/v/v at 225 nm using column nucleosil C18, 125 ×4.0 mm, 5 µm. VLN sample (VLN SPL) thus obtained an unknown major impurity (UIMP) of 0.5 % at 0.38 retention time ratio (RRt) and purity of VLN was found to be 98.70 % respectively.
Results: Estimation of VLN SPL total unknown impurities was found to be 1.3% by RP-HPLC. In similarly by liquid chromatography mass spectroscopy (LC-MS) a typical chromatogram of valsartan (VLN) at Rt 9.03 min and UIMP at Rt 3.3 min were recorded at a total run time of 23 min. Assay of VLN SPL was validated as per international council for harmonization (ICH) guidelines. Average % recovery was found to be 100.04 % for VLN SPL.
Conclusion: The proposed work clearly indicates that the method can be easily adapted for the routine one step estimation of VLN active pharmaceutical ingredient (API).
Keywords: Valsartan, Acetonitrile, Methanol, LC-MS, Mobile Phase, Impurity
© 2018 The Authors. Published by Innovare Academic Sciences Pvt Ltd. This is an open access article under the CC BY license (http://creativecommons.org/licenses/by/4.0/)
DOI: http://dx.doi.org/10.22159/ijap.2018v10i3.25254
Valsartan (VLN) [1-3] is a potent and highly selective oral drug that blocks the vasoconstrictor and aldosterone-secreting effects of angiotensin II by selectively blocking the binding of angiotensin II to the AT1 receptor in vascular smooth muscle and adrenal gland. It is chemicallyN-(1-oxopentyl)-N-[21-(1H-tetrazol-5-yl)-[1, 1-biphenyl]-4-yl] methyl]-L-valine. The guidelines recommended by ICH [4] state that the acceptable levels for a known and UIMP in an API should be less than 0.15 and 0.10 %, respectively. In the development of VLN, various processes of related IMP were observed. The reported literature includes an increasing number of publications, developments of analytical methods for analysis of tablets and biological samples by HPLC [5, 6], UPLC [7] and LC-MS [8, 9] methods. However, only few reports were found in the literature for the identification of IMP in VLN product. The previous established methods were found to have more Rt and total run time for analysis. The present study was aimed to develop for the identification and development of IMP by using RP-HPLC and LC-MS method in VLN sample. The structure of VLN and predicted UIMP structure was shown in fig. 1.

(I) (II)
Fig. 1: Structure of valsartan (I) and unknown impurity (II)
Chemical and reagents
Valsartan sample (VLN SPL) was obtained as a gift from Matrix (Mylan Pharmaceuticals) Lab Pvt Ltd, Hyderabad. glacial acetic acid, methanol, and acetonitrile are obtained from Merck chemicals, Mumbai.
Preparation of sample solutions
Accurately weighed about 50 mg of VLN SPL was transferred into a 100 ml volumetric flask, dissolve and make up to the mark with the mobile phase. Mobile phase mixture consists of water, acetonitrile, glacial acetic acid and phosphate buffer in the ratio of 500:500:1:0.5 v/v/v/v.
Instrumentation and chromatographic conditions
Shimadzu LC-20AD series HPLC and EZChrom Agilent 1100 HPLC were used. All weighing was done on Mettler toledo microbalance. LC-20AD series HPLC from Shimadzu technologies consists of an autosampler (Shimadzu SIL-HTC), LC-20AD serial pump, DGU-20A3 prominence degasser; analytical column nucleosil C18 HT (125 mm×4.0mm) 5 µm with a flow rate of 0.400 ml min-1. Data acquisition system and quantization program of applied biosystems analysis software version 1.5 was used for the determination of VLN and IMP. LC-MS analysis was performed on an API 5500 LC-MS triple quadrupole mass spectrometer equipped with an electrospray ionization (ESI) interface with turbo ion spray. The positive ions were measured in MRM mode (ion source 5500 v, declustering potential 57 v, focusing potential 256 v, entrance potential 10 v) for the analyte and IMP. The mass spectrometer was programmed to monitor the protonated molecule [M+H] for VLN at m/z 436 and for UIMP at m/z 352.
Assay procedure
Twenty tablets were weighed and crushed to fine powder. The tablet, powder equivalent to 50 mg of VLN working standard and 50 mg of processed VLN SPL was transferred into a 100 ml volumetric flask and diluted with the mobile phase separator. 10 ml of this solution was a pipette out and diluted to 100 ml with the mobile phase and sonicated for 5 min.
VLN SPL of 500 µg ml-1 was analyzed by HPLC using mobile phase at 225 nm with a flow rate of 0.4 ml min-1. The percentage areas of related substances in the VLN SPL were recorded. The VLN SPL solution was injected into the LC-MS directly with the mobile phase and operates in positive ion mode. The chromatograms and spectrums were recorded. The previous reported HPLC [10-12] methods of VLN SPL and UIMP identification was found more Rt values when compared to proposed method, it shows that the proposed method was optimized and to separate more number of related IMP. A 10 µl of the VLN SPL solution was injected into the injector for six times under chromatographies condition. Area of each peak was measured at 225 nm. The amount of each drug present in the VLN SPL (n = 6) was determined from peak area and percent label claim and standard deviation (SD) was calculated as per ICH guidelines. The assay of observed results was shown in table 1 and fig. 2.
Table 1: Assay of valsartan API and % recovery
| Drug | Label claim (mg/tablet) | Estimated % of labeled claim±SD |
% Recovery±SD | |||
| 80 | 100 | 120 | Mean | |||
VLN VLN SPL |
5 5 |
150.51±0.286 99.95±0.386 |
100.08±0.543 99.96±0.521 |
99.986±0.432 100.07±0.362 |
100.03±0.632 100.09±0.080 |
100.365 100.040 |
VLN: valsartan standard; VLN SPL: valsartan sample; SD: standard deviation, n=6

Fig. 2: Assay chromatogram of valsartan sample
A typical chromatogram of VLN SPL was analyzed and recorded by RP-HPLC and the purity of VLN was found to be 98.70 % and Rt 9.02 min, along with seven IMP peaks were identified at Rt of 3.46, 5.79, 6.73, 11.2, 12.5, 15.8 and 20.38 min respectively. In that chromatogram was identified major amount of UIMP [13] was observed at 0.5 % at Rt 3.46 and Rt ratio 0.38, which is higher than permissible limits of IMP limit. Total UIMP was found 1.3% as shown in fig. 3 and table 2. The VLN SPL was analyzed by LC-MS and the Rt of VLN and UIMP was found to be Rt 9.03 min and 3.461 min respectively, which are obtained from spectral data at 225 nm. The data and structures were shown in the fig. 4.
Table 2: RP-HPLC chromatogram for valsartan
| Name | Rt | % Area | Rt Ratio |
| IMP | 3.461 | 0.50 | 0.38 |
| Peak 2 | 5.798 | 0.31 | 0.65 |
| Rel. comp-B | 6.734 | 0.28 | 0.74 |
| VLN SPL | 9.024 | 98.70 | 1.00 |
| Peak 5 | 11.202 | 0.14 | 1.24 |
| Peak 6 | 12.517 | 0.02 | 1.38 |
| Peak 7 | 15.83 | 0.02 | 1.754 |
| Peak8 | 20.38 | 0.03 | 2.25 |
| Sum | 100.0 |
Rt: retention time; VLN SPL: valsartan sample; IMP: impurity, n=6

Fig. 3: A typical RP-HPLC chromatogram of VLN SPL

Fig. 4: A typical LC-MS chromatogram of VLN SPL
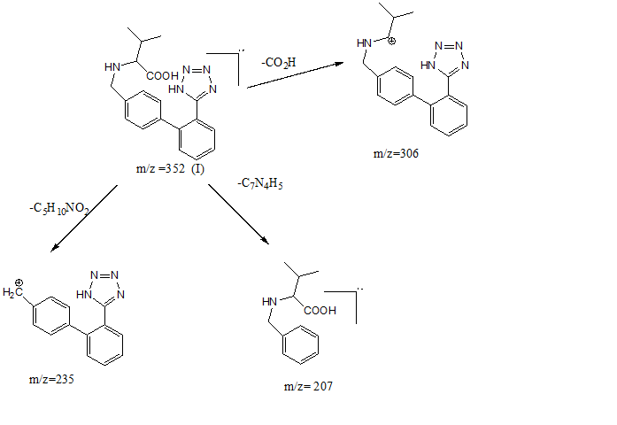
From the analysis of spectral data of UIMP was determined by LC-MS method. From the above LC-MS Spectrum the m/z value of the IMP was suspected to be 352 (M+1) and XIC chromatogram was recorded at 352 amu and IMP eluted at Rt 3.46 min. The major IMP was formed in the VLN is due to the alkaline hydrolysis (KOH) of amide group in the process of VLN synthesis. The molecular ion is 83 amu less than that of the mass of VLN. Protonated molecular ion at m/z 352 (M+1) confirms the IMP monoisotopic mass value of 351 corresponding to the molecular formula C19H21N5O2 and molecular weight of valeryl group is 83. Therefore, the IMP was formed with the elimination of valeryl group from VLN and mass fragmentation was carried for molecular ion of UIMP. The mass fragments of the IMP were detected at m/z 306, 235 and 207 repectively, which were similar to that of the fragments obtained at Rt 3.461 min in LC-MS spectrum of the VLN and shown in table 3.
Table 3: MS data of valsartan sample
| Name | LC-MS Rt (min) | Precursor ion (m/z) | Fragment ions (m/z) |
| VLN | 9.0 | 436 (M+H)+ | 418,352,235,207 |
| IMP | 3.461 | 352 (M+H)+, 374 (M+Na)+, 390 (M+K)+ |
306,235, 207 |
VLN: valsartan; IMP: impurity; Rt: retention time
The predicted structure of UIMP of VLN may be is (S)-N-(1-carboxy-2-methylprop-1-yl)-N-[2'-(1H-tetrazol-5-yl)-biphenyl-4-ylmethyl] amine as shown in fig. 5. The assay of VLN SPL was developed and validated by RP-HPLC the results and % recovery was found to be 100.04. The method is precise within the acceptance limit of 2% and result was shown in table 4.
Table 4: Assay of valsartan
| S. No. | Mean Area | Mean concentration | Mean moisture content | Standard potential mean |
Assay mean |
|||
| Sample | Standard | Sample | Standard | Sample | Standard | |||
| VLN | 924478 | 900020 | 0.05021 | 0.05027 | 0.90 | 1.29 | 100 | 99.9 |
VLN: valsartan, n=6

Fig. 5: UIMP of VLN SPL fragmentation pattern structure
VLN SPL by RP-HPLC peak purity was identified as 98.70 %. The total related IMP were found 1.3 % by RP-HPLC. The intrinsic stability of VLN SPL and its related UIMP was identified by RP-HPLC and characterized by LC-MS. Proposed method development of VLN IMP was isolated. Total run time was 23 min and Rt of VLN API was 9.3 min, when compared with the earlier reported method, this method was fast and accurate. The study focussed on the development chromatographies condition support to identification of a number of related IMP from the process development of VLN synthesis. The characterized IMP structure, analytical data was compared by the fragmentation pathway of the API. As per USP acceptance criteria assay of VLN should not be less than 98.0 % and not more than 102.0 % w/w on anhydrous basis and assay value was found to be within the limits.
All the authors have contributed equally
Declare none
Nadeem S. Pharmacological and pharmaceutical profile of valsartan: a review. J Appl Pharm Sci 2011;4:12-9.
Ulrich B. A high-throughput process for the synthesis of valsartan. Int J Res Pharm Chem 2007;11:892–8.
N Rama Rao. Pharmaceutical impurities: an overview. Ind J Pharm Edu Res 2010;3:301-10.
S Lakshmana Prabu . Impurities and its importance in pharmacy. Int J Pharm Sci Rev Res 2010;2:66-71.
Kena H Patel. Simultaneous estimation of sacubitril and valsartan in the synthetic mixture by an RP-HPLC method. J Pharm Sci Bio Sci Res 2016;6:262-9.
LRD Bhavani. Method development and validation of HPLC for determination of levetiracetan and valsartan in their formulations. Res Rev J Pharm Anal 2015;2:42-56.
Ch Krishnaiah. Stability-indicating UPLC method for determination of valsartan and their degradation products in active pharmaceutical ingredient and pharmaceutical dosage forms. J Pharm Biomed Anal 2010;3:483-9.
S Senthil Kumar. A validated gradient stability-indicating LC method for the analysis of valsartan in pharmaceutical dosage form. Int J Pharm Sci 2016;5:128-33.
Mittal A. Design of experiment based optimized RP-HPLC method for simultaneous estimation of amlodipine and valsartan in bulk and tablet formulations. Austin J Anal Pharm Chem 2015;6:1-6.
Subhajit G. RP-HPLC method for estimation of valsartan in solid oral dosage forms. J Pharm Sci Tech 2014;6:88-91.
Sridevi Ramachandran. Stability-indicating HPLC method for simultaneous determination of valsartan and ezetimibe in pharmaceuticals. Trop J Pharm Res 2014;5:809-17.
Tripti Sharma. Development and validation of a stability indicating RP-HPLC method for the determination of valsartan. Int J Pharm Sci 2015;7:57-61.
Sunil Pai. A simple reverse phase-high-performance liquid chromatography method development and validation of valsartan in bulk and it’s tablet dosage form. Asian J Pharm Clin Res 2017;6:333-7.