
1School of Pharmaceutical Sciences, Shoolini University of Biotechnology and Management Sciences, Solan, India, 173212, 2Ayruvet Limited, Baddi, H. P, India
Email: poonamgarge@gmail.com
Received: 12 Feb 2018, Revised and Accepted: 06 Apr 2018
ABSTRACT
Objective: The objective of the present study was to develop, and validate a novel reverse phase high performance liquid chromatographic (RP-HPLC) method, for simultaneous determination of saxagliptin (SAXA) and glimepiride (GLIM), in bulk mixtures, and in tablets.
Methods: Determination of the drugs, SAXA and GLIM, was carried out employing ODS C18 column (250 mm X 4.6 mm i. d, 5 µm particle size), with diode array detector at λmax of 230 nm. The mobile phase employed for the current study, composed of two solvents, i.e., A (acetonitrile), and B (0.1 % w/v sodium di-hydrogen orthophosphate buffer, pH 3.8 adjusted with orthophosphoric acid). The mobile phase was pumped at a flow rate of 0.75 ml/min in the gradient mode. The validation study with respect to specificity, linearity, precision, accuracy, robustness, limit of detection (LOD), and limit of quantification (LOQ), was carried out employing the ICH Guidelines.
Results: The developed method was selective and linear for both the drugs, i.e., between 15.63 µg/ml and 250.00 µg/ml for SAXA, and 7.81 µg/ml and 125.00 µg/ml for GLIM, with a correlation coefficient (R2) 0.9977 and 0.9982, for SAXA, and GLIM, respectively. The % recovery obtained was 102.98±0.14% for SAXA, and 101.84±1.96% for GLIM. The LOD and LOQ values for SAXA were obtained to be 1.30 µg/ml, and 3.94 µg/ml, respectively, while for GLIM, LOD was 0.82 µg/ml and LOQ was 2.48 µg/ml. The method also exhibits good robustness for different chromatographic conditions like wavelength, flow rate, mobile phase and injection volume.
Conclusion: The method was successfully employed, for the quantification of SAXA and GLIM, in the quality control of in-house developed tablets, and can be applied for the industrial use.
Keywords: Saxagliptin, Glimepiride, Simultaneous determination, Liquid chromatography, Validation
© 2018 The Authors. Published by Innovare Academic Sciences Pvt Ltd. This is an open access article under the CC BY license (http://creativecommons.org/licenses/by/4.0/)
DOI: http://dx.doi.org/10.22159/ijap.2018v10i3.25261
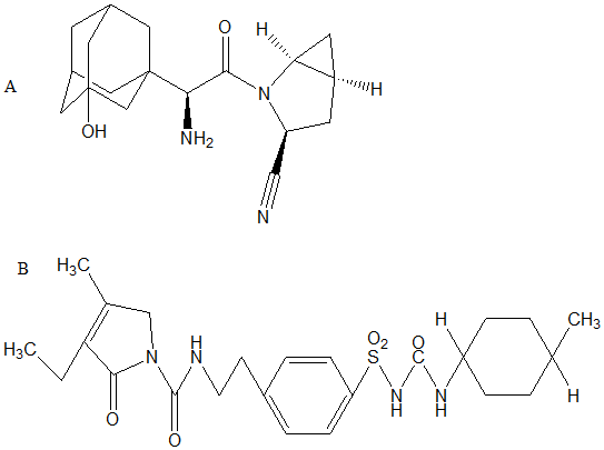
Saxagliptin (SAXA), (1S, 3S, 5S)-2-[(2S)-2-Amino-2-(3-hydroxytricyclo [3.3.1.13, 7] dec-1-yl) acetyl]-2-azabicyclo [3.1.0] hexane-3-carbonitrile, a novel oral hypoglycaemic drug of the dipeptidyl peptidase-4 (DPP-4) inhibitor class, has initiated a new therapeutic approach for the treatment of type 2 diabetes (T2D) mellitus. Structurally, SAXA (fig. 1A) is a cyanopyrrolidine derivative, which is designed to provide extended inhibition of DPP-4 enzyme [1]. DPP-4 inhibitors like SAXA, not only inhibit the degradation, but also increase the circulating levels of intact and active glucagon-like peptide-1 (GLP-1), and glucose-dependent insulinotropic polypeptide (GIP). GLP-1 has multiple important glucoregulatory effects, including promotion of glucose-dependent insulin secretion, and suppression of glucagon secretion [2].

Fig. 1: Structure of, (A): Saxagliptin; (B): Glimepiride
Glimepiride (GLIM) (1-[[p-[2-(3-ethyl-4-methyl-2-oxo-3-pyrroline-1-carboxamido) ethyl] phenyl] sulfonyl]-3-(trans-4-methyl-cyclohexyl) urea) (fig. 1B), a first third-generation sulphonylurea agent, is a commonly accepted drug in the treatment of T2D [3, 4]. It acts by stimulating insulin secretions from the beta cells of the pancreas and is also known to increase peripheral insulin sensitivity, thus decreasing insulin resistance.
Hypoglycaemia is a major concern, when there is a chronic administration of antidiabetic drugs in the management of T2D. However, SAXA exhibited a low risk of hypoglycaemia in comparison to other antidiabetic drugs when was used either as a monotherapy or in combination [5-11]. There was no hypoglycemic effect observed when sulphonylureas like GLIM, or Glyburide, was used in combination therapy with SAXA, which could have otherwise appeared if the either drug would have been used alone [12]. Currently, SAXA in combination with sulfonylurea is undergoing clinical trials according to Therapeutic Goods Administration (TGA) guidelines [13]. Both DPP-4 inhibitors and sulphonylureas increase insulin secretion, produce a synergistic effect, and thus suggest their utility in combination therapy [14]. In comparison to the mono-therapy of drugs, i.e., either GLIM or SAXA, their simultaneous prescription can lead to same clinical effect at very low doses without eliciting the hypoglycaemia.
Hitherto, different analytical methods are reported, for the determination of SAXA and GLIM individually, or in combination with other drugs, in the pharmaceutical formulations. The methods are ultraviolet (UV) [15-20], reverse phase high-performance liquid chromatography (RP-HPLC) [21-31], and liquid chromatographic mass spectroscopy (LCMS) [32, 33], for the determination of the SAXA and GLIM individually, or in combination with metformin, pioglitazone, and atorvastatin. However, no reports are traceable in the literature for the simultaneous estimation of SAXA and GLIM. Therefore, there is a need to develop and validate an analytical method, which could simultaneously determine the drugs in pharmaceutical formulations for quality control purposes.
Instrumentation
The chromatographic system used to develop the current technique is an Agilent Technologies 1200 series, Waldbronn, Germany, featuring a binary pump system (G1312A), an automatic injector (G1329A), and a diode array detector (DAD) (G1315D), which was set at 230 nm. Data acquisition was performed using a chromatography software package (EZChrome).
Chemicals and reagents
The drug SAXA and GLIM were procured from Raks Pharma Pvt. Ltd. Viskhapatnam, A. P., India. All other chemicals and solvents, like acetonitrile, sodium dihydrogen orthophosphate, orthophosphoric acid, and water, employed for the study were HPLC grade, supplied by Loba Chemie Pvt. Ltd, Mumbai, India. Pharmaceutical excipients for preparation were: microcrystalline cellulose pH 101, corn-starch, lactose monohydrate, magnesium stearate and talc obtained from Loba Chemie Pvt. Ltd, Mumbai, India. A placebo for the validation study was prepared with these excipients.
Chromatographic conditions
Chromatographic separation of the active drugs, i.e. SAXA and GLIM was performed using an Innoval C18 column (5 µm, 4.6 mm i. d × 250 mm) made of stainless steel. Two different mobile phases for pumps were: mobile phase A: acetonitrile (ACN)) and mobile phase B: buffer. As, isocratic flow was not suitable for simultaneous estimation of SAXA and GLIM, hence gradient flow of mobile phases, at a flow rate of 0.75 ml/min from two different pumps was followed and found to be most suitable. The gradient flow of solvents A and B, comprised of total time period of 30 min, and was in the following order: A: B::30:70 for 0-2 min, A: B: :50:50 for 2-25 min, and A: B: :30:70 for 25-30 min. The composition of buffer was 0.1 % sodium di-hydrogen ortho-phosphate, pH 3.8 adjusted with orthophosphoric acid. Both, the ACN and the buffer solution were filtered through a 0.45 µm nylon-membrane filter, and ultra-sonicated for 15-20 min. Samples were filtered through the syringe filter of 0.22 μm pore size, prior to the injection. The injection volume of sample to carry out the chromatography was fixed as 10 µl. The column temperature was maintained at 30 °C.
Stock and working solutions
Separate standard solutions of SAXA and GLIM, were prepared at a concentration of 500 µg/ml, and 250 µg/ml respectively, dissolving the appropriated amount of bulk material in ACN. By adding an equal ratio of SAXA and GLIM solutions, a simultaneous stock solution was prepared, wherein the final concentrations of SAXA and GLIM, were 250 µg/ml, and 125 µg/ml, respectively. Further five levels in the range of, 15.63-250 µg/ml for SAXA and 7.81-125 µg/ml for GLIM, were prepared by diluting the stock solutions appropriately with ACN. All drug samples were protected from the light by employing amber coloured glass vials.
Validation study
Specificity
For the specificity study, identification of the active drugs, i.e., SAXA and GLIM was studied individually, and simultaneously, by comparing the raw material (mobile phase+SAXA, mobile phase+GLIM and mobile phase+SAXA+GLIM) with a standard of their respective references (mobile phase+SAXA CRS, mobile phase+GLIM CRS, and mobile phase+SAXA CRS+GLIM CRS).
Another study carried out was to check the absence of any interference, by the excipients that were employed, in the formulation of the tablet form SAXA and GLIM.
Linearity and range
The linearity of the method, used for the analysis of SAXA and GLIM, was evaluated from the standard curve plotted between peak area and analyte concentration. Calibration curves taking five points in each case were generated on the three consecutive days with standard working solutions. The concentration ranges were 15.63-250.00 µg/ml for SAXA, and 7.81-125.00 µg/ml for GLIM. Range is defined as the interval between the minimum and maximum concentration which is analysed by the given chromatographic conditions within permissible limit of precision and accuracy. Least square linear regression analysis was applied on the obtained chromatographic data employing MS-Excel 2013 spreadsheet software and carrying out the corresponding statistic study.
Precision
For the precision study, instrumental precision, and inter-day, and intraday precision studies, were carried out. The first one consisted of checking the instrumental precision, where a sample corresponding to a concentration within the linearity range, injected 6 times, consecutively into the chromatograph, repeating the operation on the second day. Interday and intraday, precision were determined by analyzing three concentrations, selected from linearity range, i.e., 31.25, 62.5, and 125.00 µg/ml for SAXA, and 15.63, 31.25 and 62.50 µg/ml for GLIM. Three replicate of each concentration were analyzed on 1st and 2ndday for interday precision. Similarly, the same set of concentrations were also analyzed in triplicate at different intervals within a day for intraday precision. The peak area was determined, and the precision was reported as % relative standard deviation (RSD).
Accuracy (recovery method)
The accuracy of the method was also studied, at three final concentration levels, i.e., 31.25, 62.50, and 93.75 µg/ml for SAXA, and 15.63, 31.25, and 46.88 µg/ml for GLIM. In this method, a known amount of the active was added to a determined amount of placebo and was subsequently calculated for SAXA and GLIM, recovered in relation to the added amount of the drugs.
Robustness
The study of robustness was carried out to evaluate the influence of small, but deliberate variations, in the chromatographic conditions, for the determination of SAXA, and GLIM, in tablets. The chromatographic factors, chosen for this study, were the wavelength (nm), flow rate (ml/min), mobile phase (% ACN), and volume of injection (2 µl). The peak area was determined, and the robustness was reported as % RSD.
Limit of detection (LOD) and limit of quantification (LOQ)
LOD, is the smallest concentration, which the analytical method, on a given instrument and chromatographic conditions, is able to differentiate the compound from the background noise, While, the LOQ, is the smallest concentration which is quantifiable with defined precision and accuracy. To determine LOD, and LOQ separately for SAXA, and GLIM, a sample containing selected minimum concentration for each drug, was injected repeatedly, and analysed to calculate the standard deviation. Finally, LOD and LOQ were calculated as per the equations 1 and 2, according to the ICH guidelines, wherein, “s” is the slope of the curve(s), and standard deviation (σ) of y-intercept of regression line.
……… (1)
………. (2)
Preparation of tablets
Wet granulation method was used to prepare the tablet formulation containing the active drugs [34]. The active drugs and excipients were passed through different mesh screens. SAXA, GLIM, microcrystalline cellulose (MCC), lactose monohydrate, and starch, were passed through 30 mesh, while magnesium stearate and talc, were pass through 60 mesh screen. A 10 % w/v aqueous solution of starch was employed as a binder. Drugs (SAXA and GLIM), MCC, and lactose monohydrate were mixed thoroughly in required amount, and sufficient volume of 10 % starch solution was added to obtain a damp mass. Afterwards, the mass was sieved through 20 mesh screen to obtain granules, and were subsequently dried at 60 °C for 1 h. Finally, magnesium stearate and talc were added to the granules, and mixed thoroughly. Lastly, the tablets were compressed by using eight station tablet punching machine
Dissolution study
The in vitro dissolution study of tablet formulation was determined by using USP Type 2 (paddle type) eight station dissolution apparatus (Eletrolab dissolution apparatus). The dissolution media used was composed of phosphate buffer pH 6.8 USP, and 0.1N HCl USP. The test was performed for 6 tablets in 900 ml of 0.1N HCl, and pH 6.8 buffer, at 50 rpm maintained at 37±0.5 °C. The 5 ml volume of samples was withdrawn at predetermined time intervals, for the period of 2 h (0, 5, 15, 30, 45, 60, 75, 90, 120 min), and replaced with the equal volume of the same dissolution medium. The samples were filtered through 0.2 μm nylon membrane syringe filter. Amount of SAXA and GLIM released from the tablets at each time point, was analyzed by developed RP-HPLC method [35-37].
System suitability
The chromatographic separation of SAXA and GLIM, as explained earlier, was carried out employing an Innoval C18 column (5 µm, 4.6 mm × 250 mm). The chromatographic parameters namely, number of theoretical plates, retention time, an asymmetric factor of the peaks, and HETP, were evaluated and are included in the table 1. The number of theoretical plates for SAXA, was 4659, while for GLIM, it was 21889. The values for asymmetric of peaks were 1.33 and 1.67 for SAXA, and GLIM, respectively. Further, the tailing factor values were obtained to be 1.14 for SAXA, and 1.07 for GLIM.
Fig. 2 revealed that there was no interference in the chromatograms of SAXA and GLIM, with any of the peaks of placebo. None of the peaks of excipients observed at the same retention time of SAXA and GLIM. The resolution obtained between SAXA and GLIM was quite good, i.e., 3.28 min for SAXA and 26.13 min for GLIM.
It was concluded that the developed method is optimum according to the studied chromatographic parameters. The values of the number of theoretical plates were higher than the accepted value of 2000 according to ICH [38]. The tailing factor and asymmetry the peak, both the factors were well within the limits (table 1) and revealed quite a good separation. Therefore, this method can be applied in routine to analyse without any difficulty.
Validation study
Specificity
The purity of the chromatographic peaks studied for SAXA and GLIM at different time points were well within the established threshold values.
It was observed in chromatogram that the excipients interference for pharmaceutical preparation was showing none of the peaks at the same retention time of both drugs (fig. 3).
Hence, it can be stated that none of the peaks generated by the excipients treatment interfere with the peaks corresponding to the active ingredients, therefore showing it to be a selective method and suitable for routine analysis.
Linearity
The equation of the regression curve obtained relating the tested concentrations (table 2) and the response obtained correspond to y = 19935x+40611, and y = 155343x+408956 for SAXA and GLIM, respectively. The correlation coefficient for SAXA was obtained to be 0.9977 and for GLIM 0.9982.
Excellent linearity was obtained for both the drugs in the range of 15.63-250.00 µg/ml for SAXA and 7.81-125.00 µg/ml for GLIM. The correlation coefficients for both drugs were found to be higher than the critical value of 0.995 (fig. 4 and table 1).

Fig. 2: Chromatogram of, (A): Placebo chromatogram; (B): Overlay chromatogram of a calibration curve for SAXA and GLIM
Table 1: Chromatographic characteristics of the RP-HPLC method
| Parameter | SAXA | GLIM | Acceptance |
| Conc. Range (µg/ml) | 15.63-250.00 | 7.81-125.00 | Non |
| LOD (µg/ml) | 1.30 | 0.82 | |
| LOQ (µg/ml) | 3.94 | 2.48 | |
| Regression equation | y = 19935x+40611 | y = 155343x+408956 | |
| Correlation Coefficient | 0.9977 | 0.9982 | 0.995≤ R² |
| Accuracy (%Mean Recovery) | 102.98±0.14 | 101.84±1.96 | 97-103% |
| Precision Interday | Day 1 | 1.225±0.695 | 0.797±0.443 |
| Day 2 | 0.920±0.815 | 0.873±0.517 | |
| Precision Intraday | Morning | 1.225±0.695 | 0.797±0.443 |
| Evening | 1.208±0.680 | 0.797±0.444 | |
| Retention time | 3.28 min | 26.12 min | Non |
| Tailing factor | 1.17 | 1.07 | %RSD≤2 |
| Asymmetry of peak | 1.33 | 1.14 | %RSD≤2 |
| Theoretical plates | 4659 | 21889 | ˃2000 |
| HETP | 1.50 µm | 0.03 µm | ≤100 µm |

Fig. 3: Overlay of SAXA, GLIM, Blank, SAXA+GLIM, and their corresponding CRS
Table 2: Linearity range with area
| S. No. | SAXA | GLIM | ||
| Concentration (µg/ml) | Area (mean±SD*) (mAU) | Concentration (µg/ml) | Area(mean±SD*) (mAU) | |
| 1 | 15.63 | 487570±5157 | 7.81 | 2058898±32741 |
| 2 | 31.25 | 606590±7596 | 15.63 | 2487638±26552 |
| 3 | 62.50 | 1239162±6413 | 31.25 | 5289563±54861 |
| 4 | 125.00 | 2449142±46685 | 62.50 | 9870512±28140 |
| 5 | 250.00 | 5076379±29842 | 125.00 | 19960252±100936 |
*SD = Standard Deviation, (n=3)

Fig. 4: Calibration graph of, (A): GLIM; (B): SAXA (Results are expressed as mean±SD, n=3)
Precision
To study the precision for the instrumental system an interday study (n=6 samples for a day) was carried out. The % RSD values were obtained separately for RT and area for both the drugs at different time points (i.e. days). The % RSD values for RT and areas were 0.55 and 0.63, respectively for SAXA however, for GLIM it was 0.93 and 0.73. According to ICH the % RSD values should be less than 2 % for the precision study of the HPLC instrumental system [14], thus it can be concluded that the instrument used for the current study worked correctly for the developed analytical RP-HPLC method, and has been highly repetitive.
For the interday and intraday precision studies, the selected concentration for SAXA were 31.25, 62.50 and 125.00 µg/ml, while for GLIM, it was 15.63, 31.25 and 62.50 µg/ml. All the concentrations for both the drugs, at different time points were analysed in triplicate (n=3). The % RSD values obtained for the first day were 1.225 for SAXA, and 0.797 for GLIM. Similarly, same set of concentrations were also analyzed in triplicate at different times, within a day, for intraday precision. The % RSD values obtained for SAXA was 1.208, and for GLIM, it was 0.797. For the interday study, the three set of concentrations of same analyte were analyzed at different days, and % RSD values were obtained to be 0.919 and 0.873 for SAXA, and GLIM respectively. As all the values for % RSD is less than 2 %, hence, the developed method is confirmed to be precise according to ICH [14].
Accuracy (recovery method)
For the accuracy study from the 9 samples, i.e. n=3 for 50 %, n=3 for 100 % and n=3 for 150 %. The results indicated that the mean of recovery for SAXA was 102.98 %, and % RSD was 0.131, similarly, mean of recovery for GLIM was 101.84 %, and % RSD was 1.924. As both % RSD values are less than 2 % [14], hence, the reported % recovery by the developed method of the known added amount of analyte in the sample was within the confidence intervals.
Robustness
To evaluate the influence of small variations in the chromatographic conditions, robustness was evaluated, for different chromatographic conditions like wavelength, flow rate, mobile phase and injection volume. The studied wavelength was 230±5 nm, while flow rate was varied from 0.70 ml/min to 0.80 ml/min. The mobile phase ratio was also varied, i.e.,±5 % from the initial values. Further injection volume was kept as 5±1 µl. In all the cases, % RSD values obtained were less than 2 %, indicating that the developed method was consistent with respect to all the studied chromatographic conditions [39-40].
LOD and LOQ
LOD and LOQ were determined for SAXA, and GLIM, as per the ICH guidelines, using the equations 1 and 2, wherein, ‘σ’ was the standard deviation (SD) of the response, and ‘S’ was the slope of calibration curve. The LOD value obtained for SAXA, was 1.30 µg/ml, while for GLIM, it was 0.82 µg/ml. Similarly, LOQ obtained for SAXA, was 3.94 µg/ml, and 2.48 µg/ml, for GLIM.
Preparation of tablets
The tablets were prepared by the wet granulation technique as described in the methods. Average weight of tablets was 105±5 mg. Each tablet contained 10 mg of SAXA and 5 mg of GLIM along with the other pharmaceutical ingredients as per the composition is given in table 3.
Table 3: Composition of the tablet
| S. No. | Ingredients | Per tablet (mg) |
| 1 | SAXA | 10 |
| 2 | GLIM | 5 |
| 3 | MCC | 50 |
| 4 | Lactose monohydrate | 20 |
| 5 | Corn-starch | 15 |
| 6 | Magnesium stearate | 2.5 |
| 7 | Talc | 2.5 |
| Total | 105 |
Dissolution study
It is clearly vivid from the graph fig. 5, that there was a continuous increase in the % CDR values of both the drugs, i.e., SAXA and GLIM up to 90 min, in phosphate buffer pH 6.8. The maximum % CDR value obtained for SAXA was 73.94 %, while it was 91.83 % for GLIM.

Fig. 5: Dissolution profiles of SAXA and GLIM tablet in, (A): pH 6.8; (B): 0.1N HCl (All the values were calculated as mean±SD, n=6)
In 0.1N HCL both the drugs showed up quite a good release up to 90 min. The % CDR was 97 % for SAXA and 96.68 % for GLIM, which is indicating the complete drug release in 0.1N HCl.
A simple and new RP-HPLC analytical method has been developed for the simultaneous estimation of SAXA and GLIM for routine analysis in bulk drug mixtures and tablets. The proposed method to determine SAXA and GLIM in tablets has been validated in terms of linearity, precision, accuracy, and selectivity, according to Q2B ICH guidelines and can be applied in routine and in quality control of SAXA and GLIM tablets. It has been proved that the developed method was selective, linear for both the drugs between 50 and 150 % of the work concentration, and between quantification limit, and 150 % for the both of drugs for tablets with a correlation coefficient (R2) higher than 0.995. It is also showing good robustness for different chromatographic conditions like wavelength, flow rate, mobile phase and injection volume. The method is convenient because of well-defined chromatographic conditions which can be used for routine analysis in the industrial set-up.
All the author have contributed equally
All authors have none to declare
Keating GM. Vildagliptin: a review of its use in type 2 diabetes mellitus. Drugs 2010;70:2089-112.
Ahrén B. Emerging dipeptidyl peptidase-4 inhibitors for the treatment of diabetes. Expert Opin Emerging Drugs 2008; 13:593-607.
McCall AL. Clinical review of glimepiride. Exp Opin Pharmacoth 2001;2:699-713.
Hadi MA, Babu BL, Pal N. Formulation and evaluation of sustained release matrix tablets of glimepiride based on combination of hydrophilic and hydrophobic polymers. J Appl Pharma Sci 2012;2:101-7.
Rosenstock J, Aguilar Salinas C, Klein E. Effect of saxagliptin monotherapy in treatment-naive patients with type 2 diabetes. Curr Med Res Opin 2009;25:2401-11.
Jadzinsky M, Pfützner A, Paz Pacheco E. Saxagliptin given in combination with metformin as initial therapy improves glycemic control in patients with type 2 diabetes compared with either monotherapy: a randomized controlled trial. Diabetes Obes Metab 2009;11:611-22.
Rosenstock J, Sankoh S, List JF. Glucose-lowering activity of the dipeptidyl peptidase-4 inhibitor saxagliptin in drug-naive patients with type 2 diabetes. Diabetes Obes Metab 2008;10:376-86.
DeFronzo RA, Hissa M, Garber AJ, Luiz Gross J, Yuyan Duan R, Ravichandran S, et al. The efficacy and safety of saxagliptin when added to metformin therapy in patients with inadequately controlled type 2 diabetes on metformin alone. Diabetes Care 2009;32:1649-55.
Chacra AR, Tan GH, Apanovitch A, Ravichandran S, List J, Chen R. Saxagliptin added to a submaximal dose of sulphonylurea improves glycaemic control compared with uptitration of sulphonylurea in patients with type 2 diabetes: a randomised controlled trial. Int J Clin Pract 2009;63:1395-406.
Hollander P, Li J, Allen E, Chen R. Saxagliptin added to a thiazolidinedione improves glycemic control in patients with type 2 diabetes and inadequate control on thiazolidinedione alone. J Clin Endocrinol Metab 2009;94:4810-9.
Kulasa K, Edelman S. Saxagliptin: the evidence for its place in the treatment of type 2 diabetes mellitus. Core Evid 2010;5:23-37.
Dave DJ. Saxagliptin: a dipeptidyl peptidase-4 inhibitor in the treatment of type 2 diabetes mellitus. J Pharmacol Pharmacother 2011;2:230-5.
Chacra AR. Saxagliptin for type 2 diabetes. Diabetes Metab Syndr Obes: Targets Ther 2010;3:325-35.
http://www.fda.gov/downloads/ScienceResearch/FieldScience/UCM092147.pdf. [Last accessed on 10 Jan 2018]
Kalaichelvi R, Jayachandran E. Validated spectroscopic method for estimation of saxagliptin in pure and from tablet formulation. Int J Pharm Pharm Sci 2011;3:179-80.
Moneeb MS. Spectrophotometric and spectrofluorimetric methods for the determination of saxagliptin and vildagliptin in bulk and pharmaceutical preparations. Bull Faculty Pharm Cairo University 2013;51:139-50.
Jeyabalan G, Nyola N. Analytical method development and validation of saxagliptine a novel dipeptidyl peptidase IV inhibitors in pure and tablet dosage form by UV-VIS spectroscopy. Int J Instit Pharma Life Sci 2012;2:144-50.
Nyola N, Jeyabalan GS. Development and validation of uv-vis specctroscopy method for simultaneous estimation of saxagliptin hydrochloride and metformin hydrochloride in active pharmaceutical ingrident. J Pharm Educ Res 2012;3:19-23.
Bhargavi S, Suryasagar G, Sowmya DK, Ashok K, Nama S. UV spectrophotometric method for determination of glimepiride in pharmaceutical dosage forms. Int J Pharm Sci Rev Res 2013;21:131-3.
Kishore L, Kaur N. Estimation of pioglitazone and glimipride in its pharmaceutical dosage form by spectrophotometric methods. Pharm Lett 2011;3:276-84.
Pravin CR, Vasudevan M, Deecaraman. A validated RP-HPLC method for simultaneous estimation of metformin and saxagliptin in tablets. Ras J Chem 2012;5:137-41.
Mohammad MA, ElKady EF, Fouad MA. Development and validation of a reversed-phase column liquid chromatographic method for simultaneous determination of two novel gliptins in their binary mixtures with metformin. Eur J Chem 2012;3:152-5.
Prakash PP, Kalkotwar RS, Patil VV, Jadhav VB, Patil NP. A new RP-HPLC method for determination of metformin HCl and saxagliptin in tablet dosage form. Int J Pharma Biol Sci 2012;2:161-7.
Sarat M, Murali KP, Rambabu C. RP-HPLC method for simultaneous estimation of saxagliptin and pioglitazone in tablets. Int Reas J Pharm 2012;3:399-402.
Dhaneshwar SR, Salunkhe JV, Bhusari VK. Validated HPTLC method for simultaneous estimation of metformin hydrochloride, atorvastatin and glimepiride in bulk drug and formulation. J Anal Bioanal Tech 2010;1:1-5.
Devi R, Mohammad H. Stability indicating RP-HPLC method for the simultaneous determination of atorvastatin calcium, metformin hydrochloride, and glimepiride in bulk and combined tablet dosage form. Int Scho Res Notices 2014:1-8.
Raja P, Thejaswini JC, Gurupadayya BM, Sowjanya K. Determination and validation of metformin, glimepiride, pioglitazone using atorvastatin as an internal standardin bulk drug and pharmaceutical dosage form. J Appl Chem Res 2011;18:61-8.
Samala S, Tatipamula SR, Veeresham C. Determination of glimepiride in rat serum by RP-HPLC method. Am J Anal Chem 2011;2:152-7.
Lakshmi KS, Rajesh T, Sharma S, Lakshmi S. Development and validation of liquid chromatographic and UV derivative spectrophotometric methods for the determination of metformin, pioglitazone and glimepiride in pharmaceutical formulations. Pharm Chem 2009;1:238-46.
Pawar S, Meshram G, Jadhav R, Bansal Y. Simultaneous determination of glimepiride and metformin hydrochloride impurities in sustained release pharmaceutical drug product by HPLC. Scholars Res Library: Pharm Chem 2010;2:157-68.
Sakuntala MSV, Prasad SVUM, Devi SS, Yadav SK, Reddy KS. A RP-HPLC method development and validation for the simultaneous estimation of glimepiride and pioglitazone HCl in tablet dosage forms. J Chem Pharm Res 2012;4:154-9.
Xu SX, Demers R, Gu H, Christopher LJ, Su H, Cojocaru L, et al. Liquid chromatography and tandem mass spectrometry method for the quantitative determination of saxagliptin and its major pharmacologically active 5-monohydroxy metabolite in human plasma: method validation and overcoming specific and non-specific binding at low concentrations. J Chromatogr B 2012;889:77-86.
Polagania SR, Pillib NR, Gajulab R, Ganduc V. Simultaneous determination of atorvastatin, metformin and glimepiride in human plasma by LC–MS/MS and its application to a human pharmacokinetic study. J Pharm Anal 2013;3:9-19.
Patel H, Gohel M. A review on development of multifunctional co-processed excipient. J Crit Rev 2016;3:48-54.
Kumar D, Keshavshetti GG, Mogale P, Bhalke N. Design and evaluation of fast dissolving tablets of ergotamine tartarate. Int J Curr Pharm Res 2015;7:101-4.
Medina JR, Aguilar E, Hurtado M. Dissolution behavior of carbamazepine suspensions using the usp dissolution apparatus 2 and the flow-through cell method with simulated gi fluids. Int J Pharm Pharm Sci 2017;l9:111-6.
Hiremath SP, Makanapur C. Formlation and evaluation of orodispersible tablets of a model antihypertensive drug. Int J Pharm Pharm Sci 2017;9:34-8.
CPMP/ICH/281/95, Note for guidance on validation of analytical procedures: methodology, ICH Topic Q2B validation of analytical procedures: methodology, step 4 (CPMP Adopted December 96); 1996.
Sharma M, Mahindroo N. Development and validation of stability indication RP-HPLC method for determination of β-acetyldigoxin. Int J Appl Pharm 2017;9:54-9.
Tijare LK, Rangari NT, Mahajan UN. A review on bioanalytical method development and validation. Asian J Pharm Clin Res 2016;9:6-10.