
Department of Pharmaceutics, Gokaraju Rangaraju College of Pharmacy, Bachupally, Hyderabad 500090
Email: pavani181@gmail.com
Received: 03 Mar 2018, Revised and Accepted: 06 Apr 2018
ABSTRACT
Objective: The aim of this study was to enhance the dissolution of a poorly water-soluble drug, lornoxicam by fabricating as nanoparticles using anti-solvent precipitation method and to investigate the effect of stabilizers on the particle size.
Methods: Nanocrystals of lornoxicam were prepared by precipitation method using water as antisolvent with stabilizers, β cyclodextrin, and PVP-K30. Characterization of the unmilled lornoxicam powder and nanocrystals was carried out by the Fourier transform infrared spectroscopy (FTIR), scanning electron microscopy (SEM), differential scanning calorimetry (DSC), X-ray diffraction (XRD) and dissolution tester.
Results: Nano range (130-280 nm) particles were obtained which was confirmed by particle size analyzer. The dissolution of the drug nanoparticles (LBCD, LPVP) was carried out in pH 6.8 phosphate buffer solution and was significantly higher and almost complete compared with the pure drug. According to DSC, X-ray diffraction analysis, the nanocrystals were still in crystalline state after the preparation procedure. By reducing the particle size, the in vitro dissolution of lornoxicam was complete, 100% within 1 hr compared to the pure drug which showed an incomplete release of 37.35±1.09%.
Conclusion: Nanocrystals of lornoxicam was prepared and nanocrystal technology can be an effective tool for enhancing the solubility of poorly soluble drugs
Keywords: Lornoxicam, Nanocrystals, Cyclodextrin, PVP K-30, Precipitation
© 2018 The Authors. Published by Innovare Academic Sciences Pvt Ltd. This is an open access article under the CC BY license (http://creativecommons.org/licenses/by/4.0/)
DOI: http://dx.doi.org/10.22159/ijap.2018v10i3.25624
Lornoxicam (chlortenoxicam) a congener of tenoxicam, is a BCS class II drug. It is a new nonsteroidal anti-inflammatory drug (NSAID) of the oxicam class with analgesic, anti-inflammatory, and antipyretic properties, and is available as oral and parenteral formulations. Its analgesic activity is comparable to that of opioids. It is a potent analgesic with excellent anti-inflammatory properties in a range of painful and/or inflammatory conditions, including postoperative pain and RA [1, 2]. In spite of this wide spectrum of pharmacological properties, its use in the pharmaceutical field is limited by its low water solubility. Lornoxicam is extremely hydrophobic in nature and has poor absorption in the gastrointestinal tract. This highlights the need for an improved formulation for lornoxicam with enhanced dissolution so that its absorption can be greatly enhanced.
Formulation techniques like emulsions, microemulsions, liquid solids, inclusion complexes, liposomes and polymeric architectures (micelles, microspheres etc) have been employed extensively but these processes often experience problems such as poor physical stability, difficulty in scale up and inability to achieve high drug loading; issues which have so far prevented them from being widely adopted for wider use [3-5].
A classical approach for poorly soluble drugs is nanonization, means the production of drug nanoparticles with a mean particle size below 1 μm; nanometric dimensions. The principle is to increase the dissolution velocity and saturation solubility by enlarging the surface area of the drug which is governed by Noyes-Whitney theory. Nanonization can result in improved drug solubility and pharmacokinetics, and it might also decrease systemic side-effects [6]. Pharmaceutical nanocrystals, an application of crystal engineering is gaining popularity in this context. Nanocrystals are nanoparticles with a crystalline character having the ability to increase the saturation solubility and the dissolution velocity by virtue of surface area enlargement [7]. They contain 100% drug without any matrix material or polymer.
Stabilisers such as surfactants or polymers are located on the surface of the nanocrystals [8]. Theoretically, they are 100% crystalline materials but during processing, they may sometimes get converted to an amorphous state and these partly amorphous nanostructures are also called nanocrystals or sometimes “nanocrystals in amorphous state” [9, 10].
Nanocrystals are typically composed of drugs and stabilizers (polymers or surfactants) with average diameters less than 1 µm, and they can be prepared by bottom-up (Antisolvent precipitation) or top-down (media milling, high-pressure homogenization and etc.) methods, combination methods and chemical synthesis [11, 12].
Nanocrystal products showed their therapeutic applicability through various routes of administration like oral [13], ocular [14], parenteral [15], dermal [16], and pulmonary [17] as well as for targeted delivery [18].
Despite the advantages of drug nanocrystals, nanocrystals are essentially thermodynamically unstable systems [19], so the major drawback is the stability issue, which is the critical aspect in ensuring safety and efficacy of drug products [20]. As the vander waals forces become dominant at nanoscale, they cause the drug nanoparticles to aggregate [3, 21] For this reason, available stabilizers are added to reduce the Gibbs free energy of the system, in which they decrease interface tension and inhibit excess crystal growth and particle aggregation due to Ostwald ripening by electrostatic or steric stabilization [22]. As a result, a careful selection of appropriate stabilizers is critical.
The present work of formulating lornoxicam as drug nanoparticles by anti-solvent precipitation method has significant importance to enhance its dissolution. The effect of stabilizer on the formation of nanocrystals has been investigated regarding particle size, crystallinity, and dissolution.
Lornoxicam was obtained as a gift sample from Aristo Pharmaceuticals Pvt Ltd, Hyd. Cyclodextrin and PVP-K30 were obtained from SD Fine-Chem Ltd, Mumbai. DMSO was obtained from Qualigens Fine Chemicals, Mumbai.
Preparation of lornoxicam nanocrystals
Anti-solvent precipitation method [23-25] was used for the preparation. Owing to the very poor solubility of lornoxicam, DMSO (Dimethyl sulfoxide) was selected as solvent and water as antisolvent. Pure lornoxicam was dissolved in DMSO and the solution was passed through 0.45 membrane filter for filtering out possible particulate impurities. 300 mg of stabilizing agent (βCD, PVP) was dissolved in 100 ml of double distilled water in another beaker. Stabilizer solution was used as antisolvent. This stabilizer solution was placed under propeller mixer which was rotating at a constant speed of 1000 rpm. Then drug solution was injected into stabilizer with the help of 25 mm syringe by dropwise. Stirring was continued for 2 h, during the process the drug gets precipitated from the solution. Then it is centrifuged for 10 min at a speed of 10000 rpm at 4 °C using REMI centrifuge. After centrifugation, the preparation was suspended in 50 ml of distilled water and sonicated for 10 min. After sonication, the suspension was filtered through 0.2 μ filter using vacuum filtration and thoroughly washed with distilled water, and then dried at 70 °C for 24 h. The prepared nanocrystals LBCD (lornoxicam nanocrystals using β CD) and LPVP (lornoxicam nanocrystals using PVP) were further characterized.
Characterization of nanoparticles
Fourier transform infrared spectroscopy (FTIR)
Infrared spectra of samples were recorded using FTIR spectrometer (A213T46, Schimadzu) to evaluate the molecular status of pure lornoxicam and prepared nanocrystals. About 3-4 mg sample was directly placed on the stage of the spectrometer and scanned from 4000-400 cm-1.
Scanning electron microscopy (SEM)
The morphology of nano-sized crystals was examined using a scanning electron microscope (HITACHI S-3000N, Japan) operated at an accelerating voltage of 15 kV and a secondary detector. Freshly prepared nanocrystal suspensions were placed on a glass slide which was deposited on an SEM stub using double-sided tape.
Particle size analysis
Mean particle size and size distribution of the prepared nanocrystals was determined by using Malvern Zetasizer which follows the principle of laser light diffraction, also called Photon correlation spectroscopy. Prior to the measurement, the samples were appropriately diluted with water to a suitable scattering intensity and re-dispersed by sonication.
Zeta potential
The Zeta potential is a measure of the electric charge at the surface of the particles, indicating the physical stability of colloidal systems. The zeta potential values higher than 20mV indicate long-term electrostatic stability of aqueous dispersions. In this study, the Zeta Potential was assessed by determining the electrophoretic mobility of the particles using Malvern Zetasizer.
X-ray diffraction analysis (XRD)
XRD analysis was performed to study the effect of stabilizer on the crystallinity of lornoxicam. The XRD studies of the pure drug, LBCD, LPVP powder were carried out using X-ray diffractometer (XRD-6000 diffractometer, Shimadzu, Japan). The samples were placed in a glass sample holder. Standard runs were taken using 40 kV voltage, 40 mA current and scanning rate of 0.02 °/min over a 2θ range of 5–50 °.
Differential scanning calorimetry (DSC)
DSC studies were performed to investigate the effect of surfactants, on the inner structure of lornoxicam and to confirm crystallinity result obtained by XRD. DSC studies were carried out using thermal analyzer (TA SDT-2790) which was calibrated for temperature and enthalpy with high purity standard indium. The samples were hermetically sealed in an aluminium pan and heated at a constant rate of 2 ⁰C/min over a temperature range of 0-300 ⁰C. The inert atmosphere was maintained by purging nitrogen gas at a flow of 50 ml/min.
Dissolution studies
In vitro drug release of the samples was carried out using USP-type II dissolution apparatus (paddle type) (Electrolab TDT-08L). The paddle speed and temperature were set at 50 rpm and 37±0.5 °C, respectively. The volume of dissolution medium (0.1 N hydrochloric acid solutions and phosphate buffer solution, pH 6.8) was maintained as 900 ml. Aliquots of 5 ml samples were withdrawn at various intervals. The samples were filtered through a Whatman filter. The fresh dissolution medium (0.1 N hydrochloric acid solutions and phosphate buffer solution, pH 6.8) was replaced every time with the same quantity of the sample. Collected samples were analysed at λmax of drug (376 nm). The percentage cumulative drug release (% CDR) was calculated. The experiment was performed three times and the mean values were plotted versus time.
Drug release kinetics
To study the release kinetics, data obtained from in vitro drug release studies were plotted in various kinetics models to understand the linear relationship, i.e., kinetic principles. The data were processed for regression analysis using Ms Excel statistical functions. To study the release mechanisms, the data of in vitro drug release was verified using Higuchi’s model and Hixson Crowell Cube root law models.
Preparation of lornoxicam nanocrystals
Nanocrystals of lornoxicam were successfully prepared by precipitation method using two stabilisers. The obtained nanocrystals were assessed for size analysis and solid-state characterization by FTIR, XRD, DSC, and SEM analysis.
FTIR study
FTIR studies were conducted to confirm the identity of the drug in the form of a nanocrystal. Fig. 1 shows FTIR spectrum of pure lornoxicam with a characteristic peak at 3064.8 cm-1 due to stretching vibration of NH group. First sharp peak obtained at 1643 cm-1 represent the stretching vibration of C=O in the structure of primary amide. Other peaks obtained at 1597 cm-1 shows the bending vibrations of N-H group in the secondary amide. Peak obtained at 1328 cm-1 is due to the stretching vibrations of O=S=O. Similarly, peak obtained at 788.9 cm-1 represent bending vibration of C-C1 [26]. Presence of all these groups in the sample shows similarity with actual drug structure which indicates the purity of drug substance. Peaks obtained from FTIR spectrum of powdered mixtures of LBCD, LPV nanocrystals shows no significant difference in peak intensities and wave numbers indicating nanoprecipitation process has any effect on drug stability. It can also be stated that selected stabilizers are not disturbing the identity of the drug without any chemical interaction with the surface of the stabilizer used. Hence, no effect of the selected stabilizers and nanonisation with the dried process were noticed in this study.
The morphology of LOR nanoparticles
Morphological study of the nanocrystals was examined by scanning electron microscopy (SEM). The SEM images were shown in fig. 2a and 2b. Lornoxicam nanocrystals with β CD showed rod-shaped particles (fig. 2a) whereas with PVP showed spherical particles (fig. 2b) with a narrow PSD. Mostly particles were single without any aggregation. The average particle size for nanocrystals of lornoxicam was determined and the size was within the range of nanocrystals. Nanocrystals of lornoxicam with nano dimensions and spherical/rod shape are expected to be with improved solubility.
Zeta sizer
The mean particle size of the two nanoparticles LBCD, LPVP was found to be 137 nm and 278 nm respectively which indicate the formation of smaller particles than pure drug LOR, whose particles mean diameter was found to be 1010 nm, measured by trinocular microscopy (table 1).

Fig. 1: FTIR spectra of a) LOR b) LBCD c) LPVP

Fig. 2a: SEM images of nanocrystals using ß-Cyclodextrin


Fig. 2b: SEM images of nanocrystals using PVP-K30
Table 1: Average particle size of lornoxicam nanocrystals
| Stabiliser | Particle size (nm) mean±SD | Zeta potential (mv) |
| LPVP | 137.2±28.4 | -23.6 |
| LBCD | 278.6±22.6 | -24.5 |
| Lornoxicam | 1010.0±47.2 | - |
*Average of 100 particles, LBCD-lornoxicam nanocrystals using β CD, LPVP-lornoxicam nanocrystals using PVP
Zeta potential
Zeta potential of the LBCD, LPVP was found to be-24.5 mV (fig. 3a),-23.6 mV (fig. 3b). Negative zeta potential is attributed to drug nanocrystals as stabilizers used provide steric stabilization (22). In general, zeta potential value of±20 mV is sufficient for the stability of nano suspension. The above values for nanocrystals, stabilized by steric stabilizers βCD, PVP-K 30 indicates that the prepared formulations would not suffer from instability problems.

Fig. 3a: Zeta potential of lornoxicam nanocrystals prepared using ß-Cyclodextrin

Fig. 3b: Zeta potential of lornoxicam nanocrystals prepared using PVP-K30
X-ray diffraction pattern [XRD]
According to many reports, there is a possibility that conversion of a drug to nanocrystal may decrease the degree of crystallinity of drug compounds or transform the drug crystals to its amorphous form. Therefore, it is significant to investigate the effect of the processes on the physical state of LBCD, LPVP. The solid powders were characterized by XRD. The patterns obtained of pure LOR, LBCD, LPVP were analyzed as shown in fig. 4. The diffraction peak of pure LOR exhibited several sharp high intensity peaks crystalline peaks at diffraction angles 2θ of 13.4 °, 14.26 °, 21.8 °, and 25.08 °, suggesting that it existed as a crystalline material. The LBCD, LPVP also showed the characteristic crystalline diffraction peaks at the same diffraction angles of pure LOR indicating no change in the crystalline state to amorphous state. However, the intensity of characteristic crystalline peaks was decreased revealing that the crystallinity of LBCD, LPVP was decreased a little. It can be assumed that better physicochemical properties observed such as; enhanced solubility and dissolution can be attributed to the particle size reduction and or influence of stabilizer and not to alterations in the crystalline state to amorphous state. Retaining crystalline state could be advantageous in terms of long-term stability.
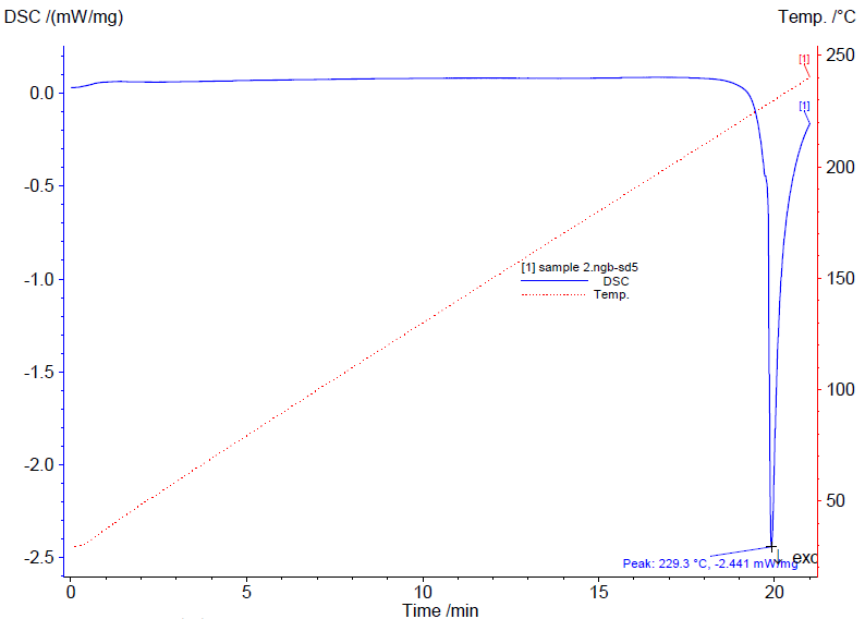
Differential scanning calorimetry [DSC]
The DSC studies were performed to study the effect of nanosizing on solid state of lornoxicam. The DSC thermograms of LOR pure drug, LBCD, LPVP were shown in fig. 5a, b, c. The DSC thermogram of bulk LOR powder showed a sharp endothermic peak at 229.8 °C [2]. The thermogram of LBCD showed an endothermic peak at 221.5 °C and thermogram of LPVP showed an endothermic peak at 221.6. A slight but prominent shift in the peak of the drug was observed which may be due to the presence of the stabilizer. The crystallinity of the drug can be confirmed with the support from XRD data. Thus, the combined results from XRD and DSC studies show that nanosizing does not affect the crystallinity of lornoxicam.

Fig. 4: PXRD of a) lornoxicam b) LBCD c) LPVP

Fig. 5a: Differential scanning calorimetry of lornoxicam-Heating rate (2 °C/min)

Fig. 5b: Differential scanning calorimetry of LBCD

Fig. 5c: Differential scanning calorimetry of LPVP
Dissolution study in vitro drug release
The drug release profiles of the two formulations have been performed in two different media i.e. 0.1 N HCl and phosphate buffer, pH 6.8 and were compared to study the drug release pattern at different time intervals. The profiles presented in fig. 6a and 6b indicate the dissolution of pure as well as nanocrystals. The release was slow and % cumulative lornoxicam release was less and incomplete in acidic media. This could be due to slightly acidic nature of lornoxicam, with the pKa value of 4.7 [27], its solubility is pH dependent and it’s unable to dissolve completely under acidic conditions. With the increase of the pH of the dissolution medium to 6.8, the dissolution of the pure, as well as nanocrystals, has increased and complete dissolution was observed with nanocrystals. Though favorable pH condition was maintained for lornoxicam, the dissolution was still incomplete from pure drug owing to its larger size. Nano-sized crystals displayed a dramatic increase in the extent of dissolution in comparison with pure LOR, especially during the initial stage. LBCD, LPVP exhibited 71.23 %, 57.05 % drug dissolution within 20 min whereas only 23.46 % of raw LOR dissolved during the same period. After 60 min, LBCD, LPVP were almost dissolved completely but only 37.35 % of raw LOR had dissolved owing to its crystalline nature and larger crystal size. This increase in the extent of dissolution of the drug from nanocrystals was distinctly superior compared to the plain drug, which might be attributed to reduction of the particle size, increase in the surface area thus improving saturation solubility of nanocrystals and showing complete dissolution within minutes.

Fig. 6a: Dissolution profile of LOR, LBCD, LPVP in 0.1 N HCl (Results are expressed as mean, n=3)

Fig. 6b: Dissolution profile of LOR, LBCD, LPVP in phosphate buffer solution, pH 6.8 (Results are expressed as mean, n=3)
Drug release kinetics
Data obtained from in vitro drug release studies were plotted in various kinetics models for pure LOR, LBCD, and LPVP. Formulations showed higher R2 value (table 2) indicating first order drug release in both 0.1 N HCl and pH 6.8 phosphate buffer solution. Similarly, from the regression analysis using Ms Excel statistical functions for pure LOR and LBCD, LPVP formulations followed Higuchi’s model for release mechanisms. Though the lornoxicam release data indicated the Higuchi diffusion model it is difficult to reconcile the mechanism for an immediate release dosage form. Therefore, it was proposed to be the only dissolution rate limited mechanism (Hixson Crowell cube root law).
Table 2: Comparison of drug kinetics and mechanisms of LOR, LBCD and LPVP formulations in phosphate buffer solution, pH 6.8
| Formulation | Order/mechanism | R2 | Equation |
| LBCD | Zero | 0.801 | y = 1.5819x+24.526 |
| First | 0.9443 | y =-0.0327x+2.0984 | |
| Higuchi | 0.9441 | y = 14.424x-0.5676 | |
| Hixson Crowell cube root | 0.4608 | y =-0.0624x+2.6903 | |
| LPVP | Zero | 0.894 | y = 1.7549x+6.8494 |
| First | 0.9887 | y =-0.0231x+2.1068 | |
| Higuchi | 0.9274 | y = 15.012x-16.498 | |
| Hixson Crowell cube root | 0.6236 | y =-0.0744x+3.4044 |
In this study, nanocrystallisation technique was used to enhance the dissolution profile of the poorly soluble drug, lornoxicam. Antisolvent precipitation method was used using beta CD and PVP as stabilizers to inhibit particle growth and improve stability. Water was used as antisolvent. Nanocrystals of lornoxicam were successfully obtained with nano dimensions. The crystallinity of drug was confirmed by XRD analysis. SEM studies revealed the morphology of nanocrystals. Nanonisation improved the dissolution of the drug compared to pure form. Thus it can be stated that nanocrystal approach using antisolvent precipitation method is a simple and easy way to enhance the solubility of poorly soluble drugs.
Authors would like to acknowledge Aristo Pharmaceuticals Pvt Ltd for providing the gift sample and management of GRCP for providing the facilities to carry out the work.
All the author have contributed equally
Declared none
Balfour JA, Fitton A, Barradell LB. Lornoxicam: a review of its pharmacology and therapeutic potential in the management of painful and inflammatory conditions. Drugs 1996;51:639-57.
Martindale. The Complete Drug Reference. 4th edition. Pharmaceutical Press; London, Chicago: 2005;3:54.
Nawal AR. Preparation and in vitro evaluation of lacidipine oral liquid solid tablet as an approach of solubility and dissolution rate enhancement. Int J Appl Pharm 2018;10:145-53.
Patravale VB, Date AA, Kulkarni RM. Nanosuspensions: a promising drug delivery strategy. J Pharm Pharmacol 2004;56:827-40.
Shahira FE, Essam E, Adel AA, Ahmed AA. Enhancement of lornoxicam solubility by inclusion complexation with cyclodextrin: preparation and characterization. Int J Pharm Pharm Sci 2017;9:132-8.
Riehemann K, Schneider SW, Luger TA, Godin B, Ferrari M, Fuchs H. Nanomedicine-challenge and perspectives. Chem Int Ed Engl 2009;48:872-97.
Prakash K, Jieun RO, Hyeongmin K. Pharmaceutical particle technologies: an approach to improve drug solubility, dissolution and bioavailability. Asian J Pharm Sci 2014;9:304-16.
Ijeoma FU, Andreas GS, Woei PC, Aikaterini L. Fundamentals of Pharmaceutical Nanoscience. 1st edition. Springer-Verlag, New York; 2013. p. 277.
Xun W, Jing Z, Qing P, Yadong L. A general strategy for nanocrystal synthesis. Nature 2005;437:121–4.
Varaporn BJ, Boontida M. Nanocrystals for enhancement of oral bioavailability of poorly water-soluble drugs. Asian J Pharm Sci 2015;10:13-23.
Merisko LE, Liversidge GG, Cooper ER. Nanosizing: a formulation approach for poorly-water-soluble compounds. Eur J Pharm Sci 2003;18:113-20.
Anju G, Rupa M, Kamla P. Formulation, optimization and characterization of ziprasidone nanocrystals prepared by media milling technique. Int J Pharm Pharm Sci 2015;7:146-50.
Hanafy A, Spahn LH, Vergnault G, Grenier P, Tubic GM, Lenhardt T, et al. Pharmacokinetic evaluation of oral fenofibrate nanosuspensions and SLN in comparison to conventional suspensions of micronized drug. Adv Drug Delivery Rev 2007;59:419-26.
Ali HSM, York P, Ali AMA, Blagden N. Hydrocortisone nanosuspensions for ophthalmic delivery: a comparative study between microfluidic nanoprecipitation and wet milling. J Controlled Release 2011;149:175-81.
Gao L, Zhang D, Chen M, Duan C, Daia W, Jia L, et al. Studies on pharmacokinetics and tissue distribution of oridonin nanosuspensions. Int J Pharm 2008;355:321-7.
Mitri K, Shegokar R, Gohla S, Anselmi C, Müller RH. Lutein nanocrystals as antioxidant formulation for oral and dermal delivery. Int J Pharm 2011;420:141-6.
El-Gendy N, Pornputtapitak W, Berkland C. Nanoparticle agglomerates of fluticasone propionate in combination with albuterol sulfate as dry powder aerosols. Eur J Pharm Sci 2011;44:522-33.
Muller RH, Jacobs C. Buparvaquone mucoadhesive nanosuspension: preparation, optimisation and long-term stability. Int J Pharm 2002;237:151-61.
Krishna RSM, Shivakumar HG, Gowda DV, Banarjee S. Nanoparticles-a novel colloidal drug delivery system. Indian J Pharm Educ Res 2006;40:15-9.
Müller RH, Sven G, Cornelia MK. State of the art of nanocrystals–special features, production, nanotoxicology aspects and intracellular delivery. Eur J Pharm Biopharm 2011;78:1–9.
Biswadip S, Muller RH, Moschwitzera JP. Bottom-up approaches for preparing drug nanocrystals: formulations and factors affecting particle size. Int J Pharm 2013;453:126-41.
Eerdenbrugh VB, Van den MG, Augustijns P. Top-down production of drug nanocrystals: nanosuspension stabilization, miniaturization and transformation into solid products. Int J Pharm 2008;364:64–75.
Mitali K, Ranjita S, Nanda GS, Sven G, Lin L, Müller RH. Long-term stability of quercetin nanocrystals prepared by different methods. J Pharm Pharmacol 2012;64:1394–402.
Alessandra V, Jean J, Fabienneespitalier, Mariaines R, Vicosa A. An innovative antisolvent precipitation process as a promising technique to prepare ultrafine rifampicin particles. J Cryst Growth 2012;342:80–7.
Basavaraj KN, Ganesh KD, Hiren MB, Veerendra KN, Manvi FV. Design and characterization of nanocrystals of lovastatin for solubility and dissolution enhancement. J Nanomed Nanotechnol 2011;2:1-7.
Donald LP, Gary ML, James RV. Introduction to spectroscopy. 4th ed. USA: Brooks and Cole; 2009.
Maryadele JON. The Merck Index. 14th ed. USA: Merck and Co., Inc whitehouse station; 2006. p. 1000.