
Chemistry Department, Faculty of Science, Zagazig University, Zagazig 44519, Egypt
Email: dr.jihad2011@yahoo.com
Received: 21 Feb 2019, Revised and Accepted: 26 Apr 2019
ABSTRACT
Objective: To develop simplified, accurate and precise visible spectrophotometric strategies for the assay of chlorphenoxamine hydrochloride (CPX) in pure drug and in its pharmaceutical preparations.
Methods: The described methods depended on the formation of charge-transfer (CT) complexes of intense color between CPX as donor with three π-acceptors, chloranilic acid (CLA), 2,3-dichloro-5,6-dicyano-1,4-benzoquinone (DDQ), and 7,7,8,8-tetracyanoquinodimethane (TCNQ) and the colored reaction products were estimated spectrophotometrically at 520 nm, 460 nm and 840 nm for CLA, DDQ, and TCNQ complexes, individually. All the optimum conditions were established. The proposed methods were validated in term of linearity, limit of detection as per the international conference on harmonization guidelines ICH Q2 (R1).
Results: The complexes obeyed Beer’s law in the concentration range of 16-144, 6-54 and 4-76 μg/mlwith molar absorptivity at 0.30×104, 0.68×104 and 0.58×104 l/mol/cm for CLA, DDQ, and TCNQ, individually. According to Benesi-Hildebrand plots, the association constants and changes of standard free energy were determined. 1:1 was the ratio of composition of the formed CT-complex.
Conclusion: The obtained results revealed that the developed method can be applied successfully for the determination of CPX in drug formulations samples with good accuracy and precision.
Keywords: Spectrophotometry, Chlorphenoxamine hydrochloride, Charge transfer-complex, π-acceptors
© 2019 The Authors. Published by Innovare Academic Sciences Pvt Ltd. This is an open access article under the CC BY license (http://creativecommons.org/licenses/by/4.0/)
DOI: http://dx.doi.org/10.22159/ijap.2019v11i4.32715
Chlorphenoxamine hydrochloride (CPX) is a quick acting antiallergic agent with antipruritic properties and pleasantly cooling and sedative effect. Chemically, it is 2-[1-(4-chlorophenyl)-1-phenylethoxyl]-N, N-dimethylethanamine hydrochloride. (Molecular formula C18H23Cl2NO as in fig. 1 and molecular weight 340.29 g/mol) [1]. In recent years, a few analytical techniques have been accounted on the determination of (CPX) in pure and in tablet dosage forms such as potentiometric [2], spectrophotometric [3-6], derivative spectrophotometric [7-9], polarography [10] and differential pulse voltammetry [11]. Chromatographic methods including, TLC [12], GC [13] and LC [14] were also reported. These methods are costly, complicated, and time-consuming and require entirely controlled reaction conditions. Many of these methods are less sensitive.

Fig. 1: Chemical structure of chlorphenoxamine hydrochloride
The purpose of the present work was the development of a simple, economical, accurate, sensitive, time-saving and environmental friendly spectrophotometric techniques for the determination of CPX in bulk and in pharmaceutical formulation through the formation of charge transfer complexation reaction between CPX as n-electron donor and CLA, (DDQ), and (TCNQ) as π-acceptors. These techniques involved the formation of the intense color CT complexes between (CPX) and (CLA), (DDQ), and (TCNQ) by using acetonitrile as a proper solvent. The results obtained were compared with those obtained from the reference methods and this indicates that there was no significant difference between proposed and reference methods. The evolution of the standard free energy changes (ΔG °) and association constant (KCT) have been done. The standard conditions and the application of the proposed methods to the determination of CPX in the pharmaceutical formulation have established.
All the absorption spectral measurements were made using Shimadzu UV-160A, UV-VIS double beam spectrophotometer with scanning speed 400 nm/min and bandwidth 2 nm, equipped with 10 mm matched quartz cells.
Reagents and solutions
All chemicals and reagents utilized were of an analytical degree from the Egyptian Pharmaceutical Industries Company (EIPICO), chlorphenoxamine hydrochloride (CPX) was getting. (CPX) standard solution has been prepared as 0.05% in acetonitrile for CLA, DDQ and TCNQ methods. All solutions were prepared daily. The working solution was prepared as required by suitable dilution of the stock solution. Chloranilic acid (CLA) obtained from Fluka, Switzerland, 5.0×10-3 M in acetonitrile. 2,3-dichloro-5,6-dicyano-p-benzoquinone (DDQ) obtained from Aldrich, Sigma-Aldrich Chemie, Steinheim, Germany, 5.0×10-3 M in acetonitrile. 7,7,8,8-tetracyanoquinodimethane (TCNQ) obtained from Aldrich, Sigma-Aldrich Chemie, Steinheim, Germany, 5.0×10-3 M in acetonitrile. Allergex tablets obtained from Egyptian International Pharmaceutical Industries Company (EIPICO), Egypt. Each tablet was labeled to contain 20 mg of CPX.
Standard drug solution in free base form chlorphenoxamine hydrochloride (CPX)
Accurately weighed the amount of chlorphenoxamine-HC1 (CPX) (170.17 mg) equivalent to (151.92 mg) of CPX base which was dissolved in 50 ml water, transferred quantitatively to 250 ml separating funnel, the solution rendered alkaline by adding 5.0 ml of 0.5 M Na2CO3 and the content was shaken for 5.0 min. The free base (CPX) formed was extracted with three 20 ml portions of chloroform, the extract was passed over anhydrous sodium sulfate and evaporated to dryness. The dissolution of the residue was in acetonitrile and transferred quantitatively to 50 ml volumetric flask. To mark, the volume was completed with acetonitrile and the final solution was diluted with acetonitrile to get a working concentration.
Validation of methods
According to linearity, accuracy, and precision, limit of detection, and quantification, the developed methods are confirmed according to the rules set by the International Conference on Harmonization ICH Q2 (R1) [15].
Linearity of calibration graphs
Aliquots containing chlorphenoxamine-HC1 (CPX) in the working concentration range of 16-144 and 6-54, 4-76 µg/ml for CLA, DDQ, and TCNQ, respectively, were transferred into 10 ml volumetric flask. A 3.0 ml of 5.0×10-3M of each acceptor was added, the reaction, in the case of CLA and DDQ, was achieved instantaneously at room temperature (25±2 °C) and in the case of TCNQ heating at 40 °C for 30 min was used. Dilution of the solutions was achieved by using acetonitrile. The absorbance of the resulting solutions was measured at the wavelengths of maximum absorption of 520, 460 and 840 nm for CLA, DDQ, and TCNQ, respectively, against reagent blank, treated similarly. The calibration graph was prepared by plotting absorbance versus concentration of CPX.
Limit of detection, and quantification
LOD is the lowest amount of analyte in the study or test sample that can be detected. LOQ is the lowest amount of analyte in the study or test sample that can be quantitatively determined by suitable precision and accuracy [16]. LOD and LOQ were determined by using the following equations designated by ICH guidelines.


Where s is the standard deviation of the absorbance measurements and k is the slope of the related calibration curve [17].
Accuracy and precision
Accuracy and precision were determined by intraday and interday analysis of CPX. Accuracy was carried out to assure the closeness of the test results obtained by the analytical method to the true value [18] and precision was carried out to ascertain the reproducibility of results for the proposed method [19]. Samples were prepared in five replicates at three different concentrations within the Beer’s law limits and the absorbance of each concentration was recorded in five replicates (n=5). The results were reported as % RE and % RSD.
Stoichiometric relationship
Spectrophotometrically, by applying Job’s method of continuous variation [20] and mole ratio method [21], the reaction stoichiometry between chlorphenoxamine-HC1 (CPX) and CLA, DDQ, and TCNQ were determined. In Job’s method of continuous variations of equimolar solutions was employed: 5.0×10-3 M standard solutions of CPX and each of π-acceptors were used. A series of solutions was set up in which the whole volume of drug and acceptor was kept at 5.0 ml in the whole volume of 10 ml. The reagents were mixed in various ratios and completed as directed under the general methodology. In mole ratio method, the experiments were performed by mixing a fixed volume of CPX (2.0 ml of 5.0×10-3M CPX) with different volumes of each reagent separately (0.5-4.0 ml of 5.0×10-3 M of CLA, DDQ or TCNQ) and completed as described under the general procedure.
Recovery study was carried out to find the accuracy of the proposed method by addition of standard drug solution to a pre-analyzed tablet dosage form of CPX sample solution at three different concentration levels within the specified linearity and range [22].
About 20 tablets of the pharmaceutical dosage form “allergex tablets” were powdered, then amount equivalent to (151.92 mg) of CPX base were accurately weighed and the details under “Standard drug solution in the free base form”, were followed to obtain a working concentration, as detailed under the general procedure. The % recovery by the proposed method was calculated by using the formula as given below:

E: Total amount of drug estimated (μg/ml) after standard addition
T: Amount of drug found in pre-analyzed tablet dosage form (μg/ml)
P: Amount of pure drug added (μg/ml)
Absorption spectra
Chlorphenoxamine hydrochloride (CPX) yielded intense colors with CLA, DDQ, and TCNQ in acetonitrile, absorbing maximally at wavelengths, 520, 460 and 840 nm, respectively, and this was due to the reaction between CPX acting as n-donor (D) and CLA, DDQ, and TCNQ as π-acceptors [23] which lead to the formation of charge transfer complexes which showed in fig. 2.

Due to the high solvating power and high dielectric constant of acetonitrile as a solvent, the dissociation of DA complex was advanced [24].

Fig. 2: Absorption spectra of (a) CPX-CLA complex against reagent blank (b) CPX-DDQ complex against a reagent blank and (c) CPX-TCNQ complex against a reagent blank
Optimization of reaction conditions
So as to accomplish most sensitivity and selectivity, the proposed spectrophotometric techniques were optimized via carefully determining the different reaction factors affecting the reaction. The ideal experimental conditions were built up by studying the effect of one parameter on the absorbance values of colored species and in turn keeping the other parameter constant.
Effect of diluting solvents
Different solvents, for example, acetonitrile, acetone, methanol, water, ethyl acetate, diethyl ether, and dimethylformamide were used to determine the charge transfer reaction in order to optimize the most appropriate medium for that reaction. Acetonitrile was an ideal solvent for the charge transfer reaction due to its high dielectric constant which raises the maximum yield of radical anions, offering maximum sensitivity [24], high solvation power for CLA, DDQ and TCNQ and gave high absorbance power. Because of their low absorbance or being precipitated on dilution, the other solvents were not appropriate as in fig. 3.

Fig. 3: Effect of different solvents on color intensity of CPX complexes with CLA, DDQ, and TCNQ
Effect of reagent concentration
The effect of the reagent concentration on the intensity of the color developed at the selected wavelengths was studied by adding different amounts of the reagents to fixed concentrations of CPX. To produce maximum and repeatability color intensity, 3.0 ml of 5.0×10-3 M of each reagent was being sufficient for this purpose. To reach equilibrium rapidly, the higher concentrations of the reagents were used thus minimizing the time required to attain maximum absorbance readings at the corresponding maxima.


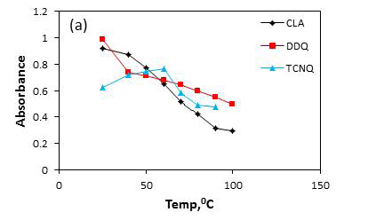
Fig. 4: (a) Effect of temperature on the color intensity of CPX complexes and (b) effect of heating time on color intensity of CPX-TCNQ complex at 40 °C
Effect of heating time and temperature
The optimum reaction time was determined by following the absorbance increment at the λmax of the formed complexes. Sample solutions containing CPX and blank were treated identically with the reagents within different time and temperature ranging from 25 to 90 °C. The results obtained indicated that complete color development was attained instantaneously at room temperature (25±2 °C), for CLA and DDQ. Heating at a higher temperature led to a decrease in color intensity, this is attributed to characteristics of CT complexes, positions of CT bands, stabilities and thermodynamic parameters which indicated that complexes can be stabilized for a longer time at low temperatures [25] as described in fig. 4a. TCNQ charge-transfer complex was completely developed after heating in a water bath at 40 °C for 30 min in fig. 4b.
However, heating at 40 °C was chosen to construct the calibration curve as the higher temperature was found to affect the linearity and reproducibility. The formed complex was stable for no less than 2.0 h, in this way allowing quantitative analysis to be done with good accuracy.
The stoichiometry of the CT-complexes
Job’s continuous variation [20] and mole ratio methods [21] were applied in order to determine the suitable ratio between chlorphenoxamine-HC1 (CPX) and CLA, DDQ, and TCNQ. The results showed that, the interaction between the investigated drug and each one of π-acceptors found to be 1:1 as shown in fig. 5a and 5b.
This finding was anticipated by the presence of one basic electron donating center (nitrogen atom) in the CPX structure. Based on this fact, the reaction pathway for the formation of the CT complex was proposed and shown in fig. 6.


Fig. 5: The stoichiometric ratios of CPX: π-acceptors obtained by (a) Job's continuous variation method and (b) mole ratio method

Fig. 6: Probable reaction mechanisms for the reaction between CPX and CLA, DDQ, and TNCQ

Fig. 7: Benesi-Hildebrand plots of CT complexes of CPX with CLA, DDQ, and TCNQ
Association constants and standard free energy
The association constant for the interaction of CPX with π-acceptors was estimated according to the Benesi-Hidelbrand equation when the concentration of acceptor is excess enough to regard [A0]>>[D0] [26]

Where [A0] and [D0] are the total concentrations of the acceptor and donor, respectively, AAD is the absorbance of the complex at the λmax, εAD is the molar absorptivity of the complex, and KCT is the association constant of the complex (l/mol). From the previous equation, on plotting the values of [A0]/AAD versus 1/[D0], a straight line was obtained in fig. 7, from which the association constant KCT were obtained in table 1. Due to the dissociation of the original donor-acceptor complex to the radical anion low values were obtained for the association constants which were characteristic for these complexes.
To calculate the standard free energy change of complexation (ΔG °) from the formation constant (KCT), this equation was used [27]:

Where, ΔG ° is the free energy change of the complex (kJ/mol), R is the gas constant (1.987 cal/mol/deg), T is the absolute temperature ( °C+273) and KCT is the formation constant of the CT complex (l/mol). The standard free energy of complexation, (ΔG °) was calculated as in table 1.
Linearity
Under the described experimental parameters for both the methods, by plotting the measured absorbance versus different concentration of the drug, calibration graphs were obtained and for getting the values of correlation coefficients, regression analysis was carried out. The proposed methods adhere to Beer’s law and linear plots with low intercept and good correlation coefficients were obtained in the concentration ranges of 16-144, 6-54 and 4-76 μg/ml for determination of CPX with CLA, DDQ, and TCNQ, respectively. Other statistical parameters, namely intercept (b), slope (a), molar absorptivity and Sandell's sensitivity values were calculated as well and given in table 1. The small values of Sandell's sensitivity indicate the high sensitivity of the proposed method. The low values of detection (LOD) and quantification limits (LOQ) indicate the possibility of applying the proposed method in the routine analysis of the drugs under investigation. These results showed that by using DDQ as π acceptor, it was the more sensitive one in comparison with CLA and TCNQ. A comparison of the performances between the proposed methods and those of reported [3, 4, 6] for the studied drug was summarized in table 2, and it indicated that there was no significant difference between proposed and reported methods based on comparing the results of molar absorptivity which confirmed the highest sensitivity of the method.
Table 1: Results obtained by the proposed methods for the determination of CPX using CLA, DDQ, and TCNQ
| Parameter | CLA | DDQ | TCNQ |
| Temperature, °C | 25 | 25 | 40 |
| λmax, nm | 520 | 460 | 840 |
| Beer's law limit, μg/ml | 16-144 | 6-54 | 4-76 |
| Molar absorptivity, ×104l/mol/cm | 0.30 | 0.68 | 0.58 |
| Sandell`s sensitivity, ng/cm | 113.12 | 50.28 | 89.10 |
| Regression equationa | ![]() |
||
| Regression coefficient (r2) | 0.9988 | 0.9991 | 0.9988 |
| Sy/x | 12.93×10-3 | 9.77×10-3 | 6.50×10-3 |
| Sb | 8.06×10-3 | 11.70×10-3 | 8.02×10-3 |
| Sa | 0.14 | 0.18 | 0.27 |
| SD of slope (Sb) | 1.93×10-4 | 3.90×10-4 | 1.94×10-4 |
| SD of intercept (Sa) | 4.42×10-3 | 3.34×10-3 | 1.90×10-3 |
| LOQb, μg/ml | 3.35 | 1.48 | 3.58 |
| LOD b, μg/ml | 1.11 | 0.49 | 1.18 |
| Association constant, K (l/mol) | 391.92 | 596.14 | 698.58 |
| Standard free energy, ΔG (kJ/mol) | -3.54×10-3 | -3.78×10-3 | -4.07×10-3 |
aA = a+bC, where A is the absorbance, C is the concentration in μg/ml, a is an intercept, b is a slope,blimit of quantification and detection was calculated according to the ICH guidelines.
Table 2: Comparison of linear range and molar absorptivity for the studied drug with reported methods
| Drug | Methods | Concentration range, μg/ml | Molar absorptivity, l/mol/cm |
Ref. |
| CPX | The colorimetric method by using rose bengal | 2-40 | 0.34×104 | 6 |
| Spectrophotometric determination by molybdenum(V) thiocyanate ions | 5-40 | 0.74×104 | 3 | |
| Spectrophotometric determination by using alizarin red S | 10-70 | 0.58×104 | 3 | |
| Spectrophotometric determination by using picric acid | 3.4-47.64 | 0.77×104 | 4 | |
| Spectrophotometric determination by using phenol red | 8.51-88.48 | 0.37×104 | 4 | |
| Spectrophotometric determination by CLA | 16-144 | 0.30×104 | Proposed method | |
| Spectrophotometric determination by DDQ | 6-54 | 0.65×104 | Proposed method | |
| Spectrophotometric determination by TCNQ | 4-76 | 0.58×104 | Proposed method |
Limit of detection and quantification
The limits of (LOD) and (LOQ) for the proposed methods were determined separately, with reliable accuracy and precision and the values were recorded in table 1 indicating that the methods developed were sensitive and without the interference of the excipients.
Accuracy and precision
The accuracy and precision of the proposed methods were presented in table 3. The results were reported as percentage relative error (RE %) and percentage relative standard deviation (RSD %) which indicated the accuracy and precision of methods, respectively. The RE % and RSD % values thus obtained was less than 1 % which gave good accuracy and precision of the methods.
Application to the dosage form
The proposed techniques were effectively applied to determine CPX in pharmaceutical preparations. To calculate the concentration of the studied drug, the corresponding calibration equation shown in table 1 was used. The ordinarily used excipients and additives in the pharmaceutical forms were found not to interfere in the analysis. The % recoveries of the examined drug in its formulation are summarized in table 4.
Table 3: Evaluation of intra-day and inter-day accuracy and precision
| Reagent | Taken μg/ml | Intra-day (n = 5) | Inter-day (n = 5) | ||||
| Recoverya, % | RE, % | RSD, % | Recoverya, % | RE, % | RSD, % | ||
| CLA | 32 | 99.999 | 0.500 | -3.12×10-4 | 99.999 | 0.287 | -3.12×10-4 |
| 48 | 99.999 | 0.243 | -2.08×10-5 | 99.999 | 0.428 | -2.08×10-4 | |
| 64 | 100.009 | 0.287 | 8.75×10-3 | 100.002 | 0.353 | 1.56×10-4 | |
| DDQ | 12 | 99.999 | 0.299 | -8.33×10-4 | 99.999 | 0.299 | -8.33×10-4 |
| 24 | 99.999 | 0.184 | -4.16×10-4 | 99.999 | 0.212 | -1.25×10-3 | |
| 36 | 99.999 | 0.137 | -2.77×10-4 | 99.999 | 0.137 | -2.77×10-4 | |
| TCNQ | 12 | 99.999 | 0.441 | -8.33×10-3 | 99.999 | 0.342 | -8.33×10-4 |
| 28 | 99.999 | 0.413 | -3.57×10-4 | 99.999 | 0.389 | -3.57×10-4 | |
| 44 | 99.999 | 0.209 | -2.27×10-4 | 99.999 | 0.209 | -2.27×10-4 | |
%RE: percent relative error, %RSD: relative standard deviation, n = number of measurements. amean value of five determinations.
Table 4: Recovery of CPX in tablets by the proposed methods
Drug formulation |
Reagent | Concentration, μg/ml | Recoverya, % |
RSDb, % |
REc, % |
| taken | found | ||||
Allergexd 20 mg/tablet |
CLA | 32 | 31.999 | 99.999 | 0.402 |
| 48 | 47.999 | 99.999 | 0.237 | ||
| 64 | 63.999 | 99.999 | 0.351 | ||
| DDQ | 12 | 11.999 | 99.999 | 0.292 | |
| 24 | 23.999 | 99.999 | 0.201 | ||
| 36 | 35.999 | 99.999 | 0.136 | ||
| TCNQ | 12 | 11.999 | 99.999 | 0.386 | |
| 28 | 27.999 | 99.999 | 0.389 | ||
| 44 | 43.999 | 99.999 | 0.290 |
amean value of five determinations, bRSD: relative standard deviation. cRE: relative error, dAllergex tablets, Egyptian International Pharmaceutical Industries Company (EIPICO), Egypt.
Three simple, accurate, sensitive and less time consuming visible spectrophotometric methods using CLA, DDQ, and TCNQ reagents were described for analyzing of CPX in pharmaceutical dosage forms. DDQ method was more sensitive than CLA, and TCNQ methods, as seen from the higher molar absorptivity. Thus, the proposed visible spectrophotometric methods were useful for the quality control and routine analysis of CPX in pharmaceuticals since there was no interference from the common excipients that might be found in pharmaceutical formulations.
The authors would like to express their gratitude to the researchers who have been referenced to successfully present this study. This research work is based on the personal contribution of the authors without any grant from any specific funding agency.
Akram M. El-Didamony: developed the original idea and design of work. The experimental work was carried out by Gehad M. Ramadan, Akram M. El-Didamony and Mounir Z. Saad: Data interpretation and manuscript writing. All authors read and approved the final manuscript.
The authors declare that there are no competing interests
Rahway NJ. The Merck Index, an encyclopedia of chemicals, drugs, and biologicals. 13th ed. Merck, USA; 2001.
Abdel Ghani N, Hussein S. Flow injection potentiometric determination of chlorphenoxamine hydrochloride. J Appl Electrochem 2010;40:2077-90.
Hassan WS, El-Henawee MM, Gouda AA. Spectrophotometric determination of some histamine H1-antagonists drugs in their pharmaceutical preparations. Spectrochim Acta A 2008;69:245-55.
Hassan AM, El-Asmy AF, Abd El-Raheem YB. Novel methods for the visible spectrophotometric determination of pipazethate HCl and chlorphenoxamine HCl in pure and tablet dosage forms. Int J Pharm Sci Res 2011;2:2589-601.
Ayad M, Saleh H, El-Mammli M, EL-Bolkiny M, EL-Henawee M. Determination of certain antihistamines through ternary complex formation. Anal Lett 1993;26:913-23.
Alaa SA, EL-Henawee MM. Colorimetric method for the simultaneous determination of chlorphenoxamine hydrochloride and anhydrous caffeine in pure and dosage forms with rose bengal. Mikrochim Acta 1995;118:177-83.
Kelani KM. Simultaneous determination of caffeine, 8-chlorotheophylline, and chlorphenoxamine hydrochloride in ternary mixtures by ratio-spectra zero-crossing first-derivative spectrophotometric and chemometric methods. J AOAC Int 2005;88:1126-34.
Magda M, El-Henawee H, Saleh M, EL-Bolkiny N. UV derivative spectrophotometric determination of chlorphenoxamine hydrochloride in combination with anhydrous caffeine. Spectro Lett 1990;23:273-83.
Dinc E, Palabiyik IM, Ustundag O, Yurtsever F, Onur F. Simultaneous spectrophotometric determination of chlorphenoxamine hydrochloride and caffeine in a pharmaceutical preparation using first derivative of the ratio spectra and chemometric methods. J Pharm Biomed Anal 2002;28:591-600.
Temizer A, Ozaltin N. Polarographic determination of antihistamines by complexation with Cd (II). J AOAC Int 1986;69:192-5.
Abdel Ghani NT, Abu Elenien GM, Hussein SH. Differential pulse voltammetric determination of chlorphenoxamine hydrochloride and its pharmaceutical preparations using platinum and glassy carbon electrodes. J Appl Electrochem 2010;40:499-505.
Bebawy LI, El-Kousy NM. Simultaneous determination of some multicomponent dosage forms by quantitative thin layer chromatography densitometric method. J Pharm Biomed Anal 1999;20:663-70.
Maurer H, Pfleger K. Screening procedure for the detection of alkanolamine antihistamines and their metabolites in urine using computerized gas chromatography-mass spectrometry. J Chromatogr 1988;428:43-60.
Wang YQ, Che WJ, Wang L, Xu CX, Lu J. Determination of nine anti-allergy drugs residue in cosmetics by solid phase extraction-rapid resolution liquid chromatography-tandem mass spectrometry. Chin J Anal Chem 2013;41:394-9.
International Conference on Harmonization I. Validation of analytical procedures: text and methodology, Q2(R1). Switzerland, Geneva; 1994.
Nash RA, Wachter AH. Pharmaceutical process validation. New York: Markel Dekker, Inc; 2008.
Kumar R, Chandra A, Gautam PK. Development and validation of UV spectrophotometric method for quantitative estimation of famotidine in bulk and tablet dosage form. Asian J Pharm Clin Res 2017;10:381-5.
Manasa P, Jaffer SK, Ashwini M, Kumar AA. A simple and a cheap UV assay method development and validation for the estimation of eplerenone in a tablet. Int J Pharm Pharm Sci 2015;7:348-51.
Davidson AG. Ultraviolet-visible absorption spectro-photometry. In: Beckett AH, Stenlake JB. Practical pharmaceutical chemistry. 4th ed. Part 2. New Delhi: CBS Publishers and Distributors; 2002. p. 275-337.
Job, P. Formation and stability of inorganic complexes in solution. Ann Chem 1928;9:113-203.
Vosburgh WC, Cooper GP. Complex ions I. The identification of complex ions in solution by spectrophotometric measurements. J Am Chem Soc 1941;63:437-42.
Ritesh K, Amrish C, Swati G, Pawan KG. Development and validation of UV spectrophotometric method for quantitative estimation of lafutidine in bulk and pharmaceutical dosage form. Int J Appl Pharm 2017;9:75-9.
Foster R. Organic charge transfer complexes, Academic Press: London; 1969. p. 51.
Abdel Hamid ME, Abdel Salam M, Mahrous MS, Abdel Khalek MM. Utility of 2, 3-dichloro-5, 6-dicyano p-benzoquinone in assay of codeine, emetine and pilocarpine. Talanta 1985;32:1002-4.
Kumar TV, Veeraiah T, Venkateshwarlu G. Molecular complexes of phenols with DDQ. Indian Acad Sci (Chem Sci) 2000;112:119-25.
Benesi HA, Hildebrand JH. A spectrometric investigation of the interaction of iodine with aromatic hydrocarbons. J Am Chem Soc 1949;71:2703-7.
Briegleb G, Czekalla J. Intensity of electron transition bands in electron donator acceptor complexes. Z-Physic Chem 1960;24:37-54.