
1Department of Pharmaceutics, JSS Academy of Higher Education and Research, Mysuru, Karnataka, India, 2 Department of Pharmaceutical Biotechnology, JSS College of Pharmacy, (A Constituent College of JSS Academy of Higher Education & Research) Udhagamandalam 643001. Tamil Nadu.
Email: nagasamyvenkatesh@jssuni.edu.in
Received: 20 Mar 2019, Revised and Accepted: 10 May 2019
ABSTRACT
Objective: The main aim of the present investigation was to develop sustained release microbeads of ritonavir that has a shorter half-life (3-5 h) and requires twice a day administration. These formulations exhibit a sustained release of ritonavir that would expect to improve the therapy, better drug utilization, and patient compliance.
Methods: Gellan-chitosan and calcium chloride reinforced beads of ritonavir were prepared by ionotropic gelation method employing different concentrations of gellan, chitosan, calcium chloride and drug. The prepared beads were evaluated for various physicochemical parameters such as particle size determination, drug entrapment efficiency, swelling studies, infrared spectroscopy study, differential scanning calorimetry, x-ray diffraction analysis, scanning electron microscopy, in vitro drug release study and in vivo bioavailability studies.
Results: From the results, formulation GC-II exhibited higher drug entrapment efficiency (79.65±0.012), higher swelling index, sustained drug release over a period of 24 h, increased oral bioavailability (2.07 times higher than that of pure drug) and decreased elimination rate (2.15 times lesser for ritonavir microbeads) with prolonged elimination half-life (2.15 times more than pure drug) as compared to pure drug.
Conclusion: Ritonavir microbeads have demonstrated as a better delivery system for the sustained release of the drug; which may in turn circumvent the drawbacks associated with the conventional therapy.
Keywords: Ritonavir, Gellan, Chitosan, Ionotropic gelation, Oral bioavailability
© 2019 The Authors. Published by Innovare Academic Sciences Pvt Ltd. This is an open access article under the CC BY license (http://creativecommons.org/licenses/by/4.0/)
DOI: http://dx.doi.org/10.22159/ijap.2019v11i4.33149
INTRODUCTION
Developing a sustained release drug delivery system is an approach that offers a uniform concentration of drug available at the site of absorption. Due to this unique property, the system maintains an adequate plasma concentration in the therapeutic range [1]. During the past few decades, a great effort has been contributed for the development of novel drug delivery systems, which ensures the targeting of drug to a particular site and maintaining the required concentration to exhibit better pharmacological response [2]. In most of the incidences, the optimal therapeutic response is observed when adequate blood levels are maintained with minimal variation. Sustained release formulations are gained importance for the oral administration of drug owing to their more consistent blood levels. Polymeric beads are particulate carriers in which the drug is dispersed in solution or crystalline form that facilitates the sustained release profile of the drug moiety incorporated into it [3]. Among them the microencapsulation technology facilitates an effective administration of drugs by improving their solubility, minimizing side effects and improving therapeutic response [4]. It is desired that an improved therapeutic efficacy coupled with the reduced adverse effect is considered to be the most significant aspects in future research work [5]. The application of natural biodegradable polymers in sustained drug delivery still continues to be of great research area owing to their abundant availability, the capability to undergo any chemical modification and compatibility [6-7]. Ritonavir, a protease inhibitor approved by USFDA in 1996 for the treatment of HIV infection, has elimination half-life was reported to be in the range of 3-5 h [8]. Ritonavir is administered 300 mg twice daily regimen. Converting a twice a day administration into once a day could facilitate the effectiveness in the anti-HIV therapy, better drug utilization and better patient compliance. Therefore, the main purpose of this study was to formulate and evaluate ritonavir microbeads for ritonavir by ionotropic gelation method, so as to improve the sustained release of the drug. Various parameters such as particle size determination, drug entrapment efficiency, swelling studies, infrared spectroscopy study, differential scanning calorimetry, x-ray diffraction analysis, scanning electron microscopy, in vitro drug release study and in vivo bioavailability studies were systematically investigated.
MATERIALS AND METHODS
Materials
Ritonavir was obtained as a gift from Dr. Reddy’s Lab (Hyderabad, India). Gellan gum was purchased from Sigma-Aldrich Ltd, (Mumbai, India) and chitosan were procured from Sigma-Aldrich Ltd, (Mumbai, India). All other chemicals used were of pharmaceutical or analytical grade.
Preparation of ritonavir microbeads
The beads were prepared by ionotropic gelation technique. Initially, gellan gum solution was prepared by dissolving gellan in deionized water and followed by heating at 60 °. About 50 ml of the gellan gel from each batch was taken separately and a different concentration of drug was dispersed uniformly in the gel maintained at 40 ° with continuous stirring. The stirring was further continued until uniform dispersion of drug was achieved. The resultant homogenous slurry was dropped in to a 50 ml solution containing different concentrations of calcium chloride and chitosan, using a syringe (21G) under stirring condition. The stirring was continued for certain period of time to improve the mechanical strength of the beads and also to prevent aggregation. The formed beads were separated from the solution by filtration and dried at 40 °. The gellan beads with the exception of chitosan were also prepared using aforesaid procedure [9]. The details of the composition of microbeads, particle size and drug encapsulation efficiency of different formulations were shown in table 1.
Particle size determination
The particle size of the beads was measured using a micrometer (Mitotuyo, Japan). The average diameter of 100 particles per batch was estimated [9].
Drug entrapment efficiency (DEE)
The drug content in the beads was estimated by digestion method, where a known quantity of ritonavir loaded beads (20 mg) were pulverized in a glass mortar with pestle and incubated in 0.1 N HCl at room temperature for 2 h to extract the drug completely. The clear supernatant solution was assayed spectrophotometrically for drug content at the wavelength of 245 nm. Supernatant from the empty beads was taken as blank. All samples were analyzed triplicate [9].
Swelling studies
The swelling properties of the beads were determined my mass measurement. Samples of beads of known weight (25 mg) were incubated with 25 ml of swelling solution (0.1 N HCl) and allowed to swell at 37 ° C. The swollen beads were then removed periodically, an excess swelling solution was wiped using a dry filter paper and their final weight was determined using an electronic balance. The percentage swelling of the beads was calculated using the formula [9].
…. (1)
Infra red spectroscopy study (FTIR)
Infrared spectra of ritonavir, blank gellan and chitosan microbeads and drug loaded beads were obtained in KBr pellets using a FTIR spectrophotometer (Perkin-Elmer, Japan). The samples were scanned between in the range of 4000 to 400 cm-1.
Differential scanning calorimetric analysis (DSC)
DSC analysis was undertaken to observe the changes if any during the preparation of beads. DSC of ritonavir, blank gellan and chitosan microbeads and drug loaded beads were examined by using a thermal analyzer (TA instruments, Bangalore). The samples were heated from 40-200 ° at a heating rate of 10 ° C/min under constant purging of nitrogen at a flow rate of 50 ml/min respectively.
X-ray diffraction analysis (XRD)
X-ray powder diffraction analysis of ritonavir, drug loaded beads were carried out using the X-ray diffractometer (Jeol JDX 8030 X-ray diffractometer Tokyo, Japan) using Ni-filtered, CuKα radiation, a voltage of 40 kV and a 25-mA current. The scanning rate employed was 1 °/min and scanned over 2θ range of the 10 to 80 °.
Scanning electron microscopy (SEM)
The surface morphology of the beads was investigated using scanning electron microscope (Jeol, JSM, 35CF, Japan). The beads were mounted onto individual stab and then coated with carbon and gold (100 and 50 Å thickness respectively). The coated samples were then observed under scanning electron microscope operated at 7KV.
In vitro drug release study
In vitro drug release studies of ritonavir from beads were carried out using 0.1 N HCl (500 ml) USP paddle type dissolution apparatus (USP XXIII, Electrolab, Mumbai) at 50 rpm. A weighed quantity of beads equivalent to 50 mg was used in each test. At predetermined time intervals a 5 ml of samples were withdrawn and same volume of fresh media was replaced. The amount of drug release was analyzed at 245 nm after proper dilution if required.
Release kinetics
Different kinetic equations (zero order, first order and Higuchi’s equations) were applied to interpret the release rate of the drug from the matrix system. The best fit with higher correlation (r2>0.98) was found with Higuchi’s equation for all the formulations. Two factors, however, diminish the applicability of Higuchi’s equation to matrix systems [10]. This model fails to allow for the influence of swelling of the matrix (upon hydration) and gradual erosion of the matrix. Therefore, the dissolution data were also fitted to the well-known exponential Koresmeyer–Peppa’s equation [11].
(2)
Mt/Mα is the fraction of drug release at time ‘t’, ‘k’ is the kinetic constant and ‘n’ is the release exponent (indicating release mechanism). In addition, for determination of the exponent ‘n’, one must use only the initial portion of the release cure (Mt/Mα<0.6) [11]. Ritger and Peppa’s have defined the exponent ‘n’ as a function of the aspect ratio (2a/l) defined as the ratio of diameter (2a) to thickness (l). For tablets, depending on the aspect ratios, ‘n’ values between 0.43 and 0.5 indicates fickian (case I) diffusion mediated release, non-fickian (anomalous) release, coupled diffusion and polymer matrix relaxation occurs if 0.5<n<0.89, purely matrix relaxation or erosion-mediated release occurs for n=1 (zero order kinetics) and super case II type of release occurs for n>0.89 [12].
Bioavailability studies
Albino Wister rats (male) weighing 200±50 g were used for the oral bioavailability studies [13]. The protocol of the study was approved by the institutional animal ethics committee (JSSCP/IAEC/M. PHARM/PH. CEUTICS/01/2014-15 dated 10/10/2014). The animals were divided into three groups of six animals each. Group I served as control, group II pure drug in suspension form at a dose of 7.5 mg and group III received microbeads containing drug of 15 mg by oral administration. A randomized, two treatments, two period, two sequence, single dose cross over bioavailability study was carried out for the formulations in order to prove the safety and efficacy of the formulations. Prior to the study, the animals were kept under fasting condition and free access for water ad libitum. 0.5 ml of blood was withdrawn from the marginal ear vein of the animals at the predetermined time intervals of 0, 0.5, 1, 1.5, 2, 3, 4, 6, 8, 12 and 24 hour using a sterilized disposable syringe. The blood sample were collected in a ria vial containing the anticoagulant (1 ml of 11% sodium citrate) were centrifuged at 4000 rpm for 4 min to separate plasma. The plasma samples were deprotinised using an equal volume of 10% perchloric acid and vortexed for 2 min. It was further centrifuged at 4000 rpm for 4 min and the supernatant liquid was separated. A reproducible analytical technique was developed for the estimation of the drug in the plasma samples. The HPLC optimized chromatographic conditions consisted of a stationary phase Hiber C18 (250×4.6 mm i.d., 5µ), mobile phase acetonitrile: methanol: phosphate buffer (PH 5.8) in the ratio of 50:20:30, with a flow rate of 1 ml/min with a sample volume of 20 µl. The detection was performed at 245 nm using Shimadzu HPLC: Model LC-2010 A-HT auto sampler. Darunavir was used as an internal standard. Various pharmacokinetic parameters such as Cmax, Tmax, t½, Kel, AUCo-t and AUCo-α were estimated using PK1 and PK2 solutions software.
Statistical analysis
Statistical analysis was performed using SPSS version 13.0. The pharmacokinetic parameters like Cmax, Tmax, t½, Kel, AUCo-t and AUCo-α of the both the formulations are presented in mean±SD One way ANOVA (analysis of variance) was employed in the statistical analysis of the determined parameters in this study. Statistical significance was defined at p<0.05.
RESULTS AND DISCUSSION
Particle size determination
The microbeads were found to be smooth and free flowing in nature. The average particle size of the different batches of the formulation was varied from 624±2.32 to 802±2.21 µm. This revealed that as the quantity of gellan increases the sizes of the beads also increases due to the increase in the microviscosity of the polymer.
Drug entrapment efficiency (DEE)
The DEE was found to be in the range of 46.35±0.017% to 79.65±0.012%. These results indicated that the DEE of beads increases with an increase in the concentration of the polymer. This could be explained by the fact that the ionized state of the polymer at a higher concentration enables intense cross-linking results in higher encapsulation efficiency of drug. While increasing the concentration of the drug resulted in decrease in encapsulation efficiency. Formulations containing chitosan exhibited higher encapsulation efficiency than the formulations not containing chitosan.
Table 1: Composition of ritonavir loaded microbeads, bead size and encapsulation efficiency
| Code of formulation | Drug (mg) | Gellan gum (mg) | Chitosan (mg) | Calcium chloride (%w/v) | Bead Size (µm)* | Drug entrapment efficiency (DEE)% ** |
| GC-I | 50 | 50 | 50 | 2 | 748±3.2 | 58.4±0.034 |
| GC–II | 50 | 100 | 50 | 2 | 792±3.1 | 79.65±0.012 |
| GC–III | 100 | 50 | 50 | 2 | 802±2.2 | 65.5±0.033 |
| GC–IV | 50 | 50 | 50 | 4 | 660±2.3 | 58.1±0.012 |
| GC–V | 50 | 100 | 50 | 4 | 679±3.6 | 77.02±0.026 |
| GC–VI | 100 | 50 | 50 | 4 | 703±2.6 | 63.05±0.012 |
| GC–VII | 50 | 50 | - | 2 | 624±2.3 | 46.32±0.017 |
| GC-VIII | 50 | 100 | - | 2 | 651±2.6 | 58.21±0.013 |
| GC-IX | 100 | 50 | - | 2 | 734±3.6 | 47.89±0.052 |
*(mean±SD, n=100), **(mean±SD, n=3)
Swelling studies
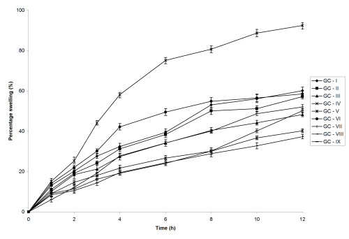
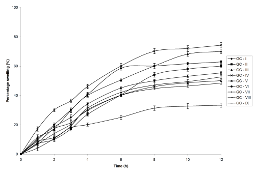
In order to evaluate the swelling ability of beads at different pH conditions, the cross-linked beads exhibited higher degree of swelling at acidic pH (0.1 N HCl) than the alkaline pH (7.4) as shown in fig. 1 and 2. The increase in swelling at acidic pH is mainly due to the protonation of chitosan; whereas decrease in swelling at alkaline pH is due to the ionization of carboxyl group in the gellan as inner layer in beads. The rate of swelling is also governed by the concentration of the polymer and strength of calcium chloride solution used. Swelling of beads decreased with increased concentration of gellan in the gelling solution and increase with the concentration of calcium chloride solution.

Fig. 1: Swelling studies of ritonavir microbeads in 0.1 N HCl (mean±SD, n=3)

Fig. 2: Swelling studies of ritonavir microbeads in phosphate buffer (PH 7.4), (mean±SD, n=3)
Fourier transform infra red spectroscopy study (FTIR)
The infrared spectra of drug, blank gellan and chitosan microbeads and drug loaded beads are shown in fig. 3-5. These spectra’s revealed that no shifting of peaks was observed, indicating the stability of the drug during the encapsulation process. The principle peaks of ritonavir, N-H at 3328.28 cm-1, Ar-H at 3041.84 cm-1, CH-stretching 2868.24 cm-1, C=N at 1455.34 cm-1 and O-H at 3507.67 cm-1. After interpretation through the above spectra with the drug loaded MB, it was confirmed that there was no major shifting as well as no loss of functional peaks. From the spectra it was concluded that the polymer gellan gum and chitosan is found to be compatible in entrapping the drug. The decrease in the peak intensity of the formulation may be attributed to the fine dispersion of drug in the polymer matrix.

Fig. 3: Fourier transform Infra red spectroscopy study (FTIR) of ritonavir

Fig. 4: Fourier transform infra red spectroscopy study (FTIR) of blank gellan and chitosan microbeads
Differential scanning calorimetry analysis (DSC)
Fig. 6-8 illustrates the comparative DSC Thermogram of Rt, gellan-chitosan bead, Rt loaded gellan-chitosan bead. The DSC Thermogram of Rt showed a sharp endothermic peak corresponding to melting of crystalline at 125.46 °C. The sharp endothermic peak of drug in loaded beads has not appeared indicating that the drug was dispersed in an amorphous state in the polymer.

Fig. 5: Fourier Transform Infra red spectroscopy study (FTIR) ritonavir loaded microbeads

Fig. 6: Differential scanning calorimetry of ritonavir

Fig. 7: Differential scanning calorimetry of gellan-chitosan beads

Fig. 8: Differential scanning calorimetry of ritonavir microbeads

Fig. 9: X-ray diffraction analysis of ritonavir

Fig. 10: X-ray diffraction analysis of ritonavir microbeads
X-ray diffraction analysis (XRD)
The X-ray powder diffraction patterns of drug and drug-loaded formulation are compared. The X-ray powder diffraction pattern of pure drug showed its own crystal peaks between 2θ of 10 ° and 80 °. It was observed that the characteristic peaks of drug were found to be absent in the drug entrapped gellan-chitosan beads indicates the probable decrease in the crystallinity of drug. The undefined, broad, diffused peaks with the low intensities for drug entrapped beads revealed that the conversion of drug from crystalline to amorphous form in the formulation fig. 9-10.
Scanning electron microscopy (SEM)
The SEM of the drug loaded beads was found to be irregular in shape having smooth and dense surface with inward dent and shrinkage due to collapse of the wall during dehydration. The fibrous network was also observed on the surface of the beads as shown in fig. 11-13.

Fig. 11: Scanning electron microscopy (SEM) of ritonavir microbeads

Fig. 12: Scanning electron microscopy (SEM) of ritonavir microbeads with dense surface

Fig. 13: Scanning electron microscopy (SEM) of ritonavir microbeads with fibrous network
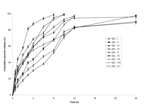
In vitro drug release study
The in vitro release profile of drug loaded beads was depicted in fig. 14. From the results it can be observed that the drug release from the beads significantly decreased with an increase in the concentration of the polymer. This could be explained as an increase in the concentration of polymer substantially increases the density of the matrix and diffusional path in which allows the drug molecules have to traverse. A biphasic pattern of drug release was observed with initial burst effect followed by the sustained release due to the process of gelation as a result of cross linking, which is a characteristic feature of matrix diffusion. It was observed that the initial burst effect of drug was substantially decreased in case of beads coated with chitosan over non-coated beads. The fact could be due to the coating of chitosan exhibited better incorporation efficiency and offered a thick coating over the beads. This could be resulted in the decrease burst effect of drug from the beads.

Fig. 14: In vitro release profiles of ritonavir from microbeads (n-3±SD)
Release kinetics
In order to elucidate the mechanism of drug release, the data were fitted into various models such as zero order, first order, Higuchi and Koresmeyar Peppa’s. The data’s are shown in table 2. The examination of the co efficient of correlation (r2) values indicated that the prepared beads followed first order kinetics with non fickian diffusion mechanism of drug release.
Table 2: Regression coefficient (r2) of ritonavir data from studied matrices according to different kinetic models, diffusion exponent (n) of Peppa’s model
| Code of formulation | Zero order (r2) | First order (r2) | Higuchi (r2) | Peppa’s |
| n | ||||
| GC-I | 0.75 | 0.972 | 0.92 | 0.62 |
| GC–II | 0.81 | 0.961 | 0.91 | 0.67 |
| GC–III | 0.76 | 0.971 | 0.97 | 0.61 |
| GC–IV | 0.79 | 0.959 | 0.96 | 0.6 |
| GC–V | 0.81 | 0.947 | 0.95 | 0.68 |
| GC–VI | 0.7 | 0.978 | 0.94 | 0.69 |
| GC–VII | 0.82 | 0.981 | 0.97 | 0.61 |
| GC-VIII | 0.85 | 0.94 | 0.93 | 0.71 |
| GC-IX | 0.81 | 0.97 | 0.97 | 0.81 |
Bioavailability studies
The relative bioavailability of the developed ritonavir microbeads (CG-2) was compared with drug in suspension form. The ritonavir microbeads produced a plasma concentration time profile typical of the prolonged dissolution characteristic of a SR formulation as evident from fig. 15 and table 3. The Rt MB demonstrated a longer time to reach a peak concentration than the pure drug in suspension form and appeared to be more consistent in overall performance. This was indicated by lower variation in plasma concentrations, longer time to peak plasma concentration. There was a significant difference in the extent of absorption as assessed by measurements of AUCo-t. However, AUCo-α value for the ritonavir microbeads was 2.07 times higher than that of pure drug. The ritonavir microbeads indicated more efficient and sustained drug delivery, which would maintain plasma levels better. This was also evident by the lower elimination rate (Kel) (2.15 times lesser for ritonavir in microbeads) and higher t½ values (2.15 times more than pure drug). The pharmacokinetic parameters of the two different formulations of ritonavir were compared statistically by one way ANOVA (analysis of variance) using SPSS version 13.0. The pharmacokinetic parameters such as Cmax, Tmax, t½, Kel, AUCo-t and AUCo-α of the pure drug and Rt MB were found to be significantly different (p<0.05) by one way ANOVA.
Table 3: Pharmacokinetic profile of ritonavir (pure drug) and ritonavir loaded microbeads (mean±SD, n=6)
| Pharmacokinetic parameters | Type of formulations | |
| Ritonavir | Ritonavir loaded microbeads | |
| Cmax (ng/ml) | 0.272±0.045 | 0.248±0.0432.72 |
| Tmax(h) | 4±0.5 | 6±1.2 ‡ |
| AUCo-t(ng. h/ml) | 1.565±0.42 | 3.171±0.22 ‡ |
| T1/2 (h) | 2.54±0.16 | 5.46±0.12 ‡ |
| Kel (h-1) | 0.2728±0.003 | 0.1268±0.005† |
| AUC0-α(ng. h/ml) | 1.641±0.012 8.83 | 3.3916±0.015 ‡ |
‡ Significantly higher than pure drug (p<0.05), † Significantly lower than IR pure drug (p<0.05)

Fig. 15: Mean plasma concentration of ritonavir and ritonavir microbeads, (mean±SD, n=6)
CONCLUSION
Ritonavir microbeads were successfully prepared using ionotropic gelation method with good entrapment efficiency. A change in the drug crystallinity during the formulation was revealed by DSC and XRD study. FTIR spectral study revealed no chemical change in the microbeads formulation. The microbeads exhibited higher drug entrapment efficiency, higher swelling index, sustained drug release, increased oral bioavailability and decreased elimination rate with prolonged elimination half-life as compared to pure drug. The present investigation demonstrated microbeads as a potential drug delivery system for improving the oral bioavailability of ritonavir.
AUTHORS CONTRIBUTION
First author conceived the idea, second author carried out the research work under the supervision of first author. First author drafted the manuscript with the help of second author.
CONFLICTS OF INTERESTS
Authors declare no conflicts of interest
REFERENCES
Shefrin S, Sreelaxmi CS, Vishnu V, Sreeja CN. Enzymosomes: a rising effectual tool for targeted drug delivery system. Int J Appl Pharm 2017;9:1-9.
Revathy BM, Lakshmi VS, Aishwarya MU, Keerthana R, Sreeja CN. Porphysomes: a paradigm shift in targeted drug delivery. Int J Appl Pharm 2018;10:1-6.
Vaizoglu O, Speiser P. Intelligent drug delivery systems. Trends Pharmacol Sci 1982;3:28-30.
Oluwatoyin AO, Adenike O, Alf L. Formulation and in vitro evaluation of natural gum-based microbeads for delivery of ibuprofen. Trop J Pharm Res 2014;13:1577-83.
Rajinikanth PS, Sankar C, Mishra B. Sodium alginate microspheres of metoprolol tartarate for intranasal systemic delivery. Drug Delivery 2003;10:21-8.
Zhang J, XU S, Zhang S, Du Z. Preparation and characterization of tamarind gum/sodium alginate composite gel beads. Iranian Polym J 2008;17:899-906.
Odeku OA, Lamprecht A, Okunlola A. Characterization and evaluation of four natural gums as polymers in the formulations of diclofenca sodium microbeads. Int J Biol Macromol 2013;58:113-20.
Prakash S, Vidyadhara S, Sasidhar RL, Abhijit D, Akhilesh D. Development and characterization of ritonavir nanosuspension for oral use. Der Pharm Lett 2013;5:48-55.
Patil JS, Kamalapur MV, Marapur SC, Shiralshetti SS. Ionotropically gelled novel hydrogel beads: preparation, characterization and in vitro evaluation. Ind J Pharm Sci 2011;73:504-9.
Higuchi T. Mechanism of sustained action medication: theoretical analysis of rate of solid drugs dispersed in solid matrices. J Pharm Sci 1963;52:1145-9.
Koresmeyer RW, Gurny R, Doelker E, Buri P, Peppas NA. Mechanism of solute release from porous hydrophilic polymers. Int J Pharm 1983;15:25-35.
Ritger PL, Peppas NA. A simple equation for description of solute release, I: Fickian and non-Fickian release from non-swellable devices in the form of slabs, spheres, cylinders (or) discs. J Controlled Release 1985;5:23-35.
Sawyer M, Ratain MJ. Body surface area as a determinant of pharmacokinetics and drug dosing. Invest New Drugs 2001;19:171-7.