
aGraduate School, Khon Kaen University, Khon Kaen, 40002, Thailand, bDivision of Pharmaceutical Technology, Faculty of Pharmaceutical Sciences, Khon Kaen University, Khon Kaen, 40002, Thailand, cCenter for Research and Development of Herbal Health Products, Khon Kaen University, Khon Kaen, 40002, Thailand, dDivision of Pharmacognosy and Toxicology, Faculty of Pharmaceutical Sciences, Khon Kaen University, Khon Kaen, 40002, Thailand
Email: ekapol@hotmail.com
Received: 02 May 2019, Revised and Accepted: 01 Jun 2019
ABSTRACT
Objective: The objective was to develop the semisolid preparations containing extract of Thai polyherbal recipe with anti-inflammatory effect.
Methods: Polyherbal ethanolic extract was prepared by maceration and determined for phytochemicals and antioxidant activity. Effects of extract on the production of pro-inflammatory mediator-nitric oxide (NO)-were examined in RAW 264.7 cells. Semisolid preparations, balm, and gel, were prepared and evaluated. In vitro release profiles and mechanisms of phenolic compounds, phytochemical markers, from the preparations were investigated.
Results: Polyherbal ethanolic extract was dark yellow-green, viscous liquid with the yields of 8.2%. Total phenolic and total flavonoid contents were 121.21±1.60 mg GAE/g and 26.55±1.38 mg QE/g, respectively. Antioxidant assay showed that polyherbal extract can scavenge the radical to a certain extent, with DPPH IC50 of 160.75±3.43 µg/ml and FRAP values of 91.94±4.17 mg FeSO4/g. In vitro anti-inflammatory test revealed that the extract inhibited NO production in a dose-dependent manner, with IC50 of 145.65±3.26 µg/ml. The yellowish-green color, homogenous and suitable for skin application polyherbal balm and gel was obtained. The higher release of phenolics from the gel was observed, with the cumulative release at 8 h of 119.0±4.3 µg GAE, whereas that from the balm was only 39.7±2.0 µg GAE. The phenolic release profile was found to be best fitted with the Higuchi model.
Conclusion: The semisolid preparations containing Thai polyherbal recipe extract with anti-inflammatory effect were successfully prepared. The proper semisolid base and compositions are crucial for effective skin delivery as they influence the release rates of phytochemical markers.
Keywords: Polyherbals, Phenolics, Balms, Gels, Release Mechanisms
© 2019 The Authors. Published by Innovare Academic Sciences Pvt Ltd. This is an open access article under the CC BY license (http://creativecommons.org/licenses/by/4.0/)
DOI: http://dx.doi.org/10.22159/ijap.2019v11i4.33902
Traditional medicine has a crucial role in the health care system in both developing and industrialized countries. The use of herbs in Thai traditional medicine can either be single herb or combination of herbs, a so-called polyherbal recipe. Polyherbal recipe strategy exploits the combination of several medicinal herbs in order to optimize the therapeutic efficacy with reduced toxicity through the use of multiple herbal compositions. The use of polyherbal combinations has been also found in Ayurvedic and Chinese traditional medicine practices [1, 2]. In recent years, several pharmacological activities related to human health of traditional polyherbal combinations have been reported.
Polyherbal recipes can be used to treat various ailments and problems, including arthritis [3]. For topical application, herbs can be processed into different forms such as essential oils, decoctions, tinctures, ointments, pastes, liniments, and poultices. The components and quality of these herbal products are likely to vary significantly between batches and practitioners.
Pharmaceutical dosage forms are a delivery system compounded with the active substance and a number of ingredients to facilitate ease of administration and induce therapeutically effective response each time they are administered. Appropriate dosage forms must be designed with suitable excipients to ensure stability, accurate dose delivery, and product performance [4]. Semisolid preparations are the dosage forms used commonly for the dermal route. They can contain oil-based ingredients like ointments or balms or aqueous ingredients such as gels. Depending on physicochemical properties and formulation strategies, the active compounds incorporated into semisolid preparations can be on the skin surface layers or penetrate into deeper layers to reach the site of action or through systemic delivery [5]. It is known that both qualitative and quantitative compositions of preparation bases affect the delivery and stability of the active compounds as well as the consumer’s acceptance.
In this study, the semisolid preparations containing ethanolic extract of the polyherbal recipe were developed. This polyherbal recipe, used by Thai folklore medicine practitioners as a poultice in treating knee arthritis, composed of Zingiber cassumunar Roxb., Citrus hystrix DC., Drypetes roxburghii (Wall.) Hurusawa, Tamarindus indica L., Acacia concinna (Willd.) DC., Piper nigrum L., Plumbago indica L., Piper longum L., Zingiber officinale Roscoe, Zingiber zerumbet (L.) Smith., Alpinia galanga (L.) Willd., Curcuma aromatica Salisb., Globba malaccensis Ridl., Acorus calamus L., Gloriosa superba L., Cleome viscosa L., Crinum asiaticum L., Tradescantia zebrina Loudon, salt and camphor. The polyherbal recipe ethanolic extract was prepared and characterized for its phytochemical contents, antioxidant, and anti-inflammatory activities. The semisolid preparations, namely, balm and gel containing polyherbal recipe extract were prepared and characterized. The profiles and mechanisms of the release of phenolic compounds from the balm and gel bases were also investigated.
Materials
Zingiber cassumunar Roxb. (Z. cassumunar) dried rhizome, Zingiber officinale Roscoe (Z. officinale) dried rhizome, Zingiber zerumbet (L.) Smith. (Z. zerumbet) dried rhizome, Alpinia galanga (L.) Willd. (A. galanga) dried rhizome, Curcuma aromatica Salisb. (C. aromatica) dried rhizome, Globba malaccensis Ridl. (G. malaccensis) dried rhizome, Acorus calamus L. (A. calamus) dried rhizome, Gloriosa superba L. (G. superba) dried tubers, Plumbago indica L. (P. indica) dried roots, Piper nigrum L. (P. nigrum) dried seeds, Piper longum L. (P. longum) dried seeds, Citrus hystrix DC. (C. hystrix) dried fruit peels, Putranjiva roxburghii Wall. (P. roxburghii) dried leaves, Tamarindus indica L. (T. indica) dried leaves, Acacia concinna (Willd.) DC. (A. concinna) dried leaves, Crinum asiaticum L. (C. asiaticum) dried leaves, Cleome viscosa L. (C. viscosa) and Tradescantia zebrina Loudon (T. zebrina) were obtained from a traditional pharmacy, Ei Sae Pharmacy (Khon Kaen, Thailand). 1,1-Diphenyl-2-picrylhydrazyl hydrate (DPPH), aluminum chloride, Folin-Ciocaleu reagent, iron (II) sulfate or ferrous sulfate (FeSO4), sulfanilamide, phosphoric acid, gallic acid, shogaol, piperine, 6-gingerol, 10-gingerol were purchased from Sigma (St. Louis, USA). Quercetin, indomethacin, and 3-(4,5-diamethylthiazol-2-yl)-2,5-diphenyltetrazolium bromide (MTT) was purchased from Fluka (St. Gallen, Switzerland). Iron (III) chloride (FeCl3) was received from Aps Chemicals (Sydney, Australia). 2,4,6-Tris(2-pyridyl)-s-triazine (TPTZ) was obtained from Tokyo Chemical Industry Co., Ltd. (Japan). Methyl salicylate BP, menthol crystal BP/USP, eucalyptus oil BP, sodium chloride, camphor, lavender oil, white soft paraffin, and propylene glycol were purchased from S. Tong Chemicals Co., Ltd. (Thailand). Tocopherol acetate, cetyl alcohol, carbomer (Carbopol 940), sodium ethylenediaminetetraacetic acid (sodium EDTA), and triethanolamine were purchased from NamSiang International Co., Ltd. (Thailand). Silicone CS-1600 silicone elastomer blend (Cyclopentasiloxane and dimethicone crosspolymer; silicone elastomer) was received from Chem Sources Ltd. (Thailand). Iscaguard FPX (a blend of paraben esters namely methylparaben, ethylparaben, butylparaben, propylparaben and isobutylparaben in phenoxyethanol) was purchased from Chemipan Corporation Co., Ltd. (Thailand). Ethyl alcohol was purchased from the Liquor Distillery Organization (Chachoengsao, Thailand). All of the other chemicals and reagents were used as received.
Polyherbal extract preparation
Polyherbal recipe crude extract was prepared using maceration method. 45.8 g of Z. cassumunar, 22.5 g of camphor and 4.5 g of Z. officinale, Z. zerumbet, A. galangal, C. aromatica, G. malaccensis, A. calamus, G. superba, P. indica, P. nigrum, P. longum, C. hystrix, P. roxburghii, T. indica, A. concinna, C. asiaticum, C. viscosa, T. zebrine and sodium chloride each were ground and thoroughly mixed. This mixture was then macerated with 1.5 l of 95% ethyl alcohol for 7 d, with frequent stirring. After filtering through Whatman No.1 paper, the liquid filtrate was collected and evaporated under rotary vacuum evaporator (SB-1000, Eyela, Japan) at 45 °C to a constant weight. The extraction yield was calculated. The obtained extracts were collected and kept at -40 °C until used.
Phytochemical determination of polyherbal extract
Determination of total phenolic content
Total phenolic content of the extract was determined using the modified Folin-Ciocalteu method [6-7]. Briefly, the polyherbal extract was dissolved in ethyl alcohol (0.1-0.5 mg/ml). The extract solution (0.5 ml) was mixed with 0.25 ml of the Folin-Ciocalteau’s reagent and 1.25 ml of 20% sodium carbonate solution. The mixture was incubated for 40 min at room temperature. The optical density of the blue-colored samples was measured at 725 nm by a UV–VIS spectrophotometer (Pharmaspec UV-1700, Shimadzu, Japan). Gallic acid was used as a calibration standard and the total phenolic content was expressed as mg of gallic acid equivalents/g of the extract (mg GAE/g).
Determination of total flavonoid content
Total flavonoid content of the crude extract was determined using the aluminum chloride colorimetric method [8]. The polyherbal extract was dissolved in 50% ethyl alcohol at various concentrations (0.1-0.5 mg/ml), and then the extract solution (1 ml) was mixed with 2% aluminum chloride solution (1 ml). After incubation at room temperature for 1 h, the absorbance was measured at 420 nm using a UV–VIS spectrophotometer (Pharmaspec UV-1700, Shimadzu, Japan). Quercetin was used to construct the standard curve. The total flavonoid content was expressed as mg of quercetin equivalents/g of the extract (mg QE/g).
Antioxidant activities
DPPH assay method
The free radical-scavenging capacity of the extract was evaluated using the 2,2-diphenyl-1-picrylhydrazyl (DPPH) radical in accordance with a previous publication [9]. The polyherbal extract was dissolved in methanol to complete various sample concentrations (20-300 μg/ml). Each 196 μl of the extract solution was mixed with 14 μl of freshly prepared 1 mmol DPPH in methanol and allowed to stand in the dark for 15 min at room temperature. The absorbance was measured at 515 nm using a microplate reader (Beckman Coulter DTX 880 multimode detector, Austria). The DPPH free radical-scavenging ability was calculated as half maximal effective concentration (IC50, μg/ml), and obtained by interpolation from the linear regression analysis. Ascorbic acid was used as a positive control.
Ferric reducing ability of plasma (FRAP)
Reducing the power capacity of polyherbal extract was determined using the FRAP assay [10]. Briefly, 30 µl of five different concentrations of polyherbal extract were mixed with 180 µl of FRAP reagent (containing 300 mmol/l acetate buffer, 10 mmol/l TPTZ, and 20 mmol/l FeCl3, in a volume ratio of 10:1:1). The mixture was then incubated in the dark for 20 min, and its absorbance at 593 nm was measured using a microplate reader (Beckman Coulter DTX 880 multimode detector, Austria). Fresh working solutions of FeSO4 were used for calibration. The antioxidant capacity based on the ability to reduce ferric ions of the sample was calculated from the linear calibration curve and expressed as mg FeSO4 equivalents per gram of the extract (mg FeSO4/g) [11].
In vitro anti-inflammatory activity
The polyherbal extract was dissolved in 0.5% DMSO to make a final concentration of 1 mg/ml and then filtered through 0.22 µm PVDF membrane (Biomed Scientific, USA) before further analysis. Standard compounds, namely, indomethacin, quercetin, shogaol, piperine, 6-gingerol, and 10-gingerol were also prepared in the same manner as the extract.
Cell culture
The RAW 264.7 murine macrophage cells were purchased from the American Type Culture Collection (American Type Culture Collection (ATCC), USA). The cells were carefully grown and maintained in complete media containing RPMI 1640 medium supplemented with 10 % heat-inactivated fetal bovine serum, 100 µg/ml of streptomycin, 100 U/ml of penicillin and 25 µg/ml amphotericin B in a humidified 5% CO2 atmosphere at 37 °C.
Cell viability test
The effect of the polyherbal extract and standard compounds on the viability of RAW 264.7 macrophage cells was determined using the MTT assay. RAW 264.7 cells (1 × 105 cells/ml) were seeded in a 96-well plate and allowed to attach overnight. Then the various concentrations of the extract or standard compounds (16-2000 µg/ml) were added and incubated at 37 °C in the humidified atmosphere with 5 % CO2 for 24 h. After incubation for 24 h, RAW 264.7 cell viability was determined using the MTT assay [12]. Cell viability, in terms of absorbance at 570 nm (Beckman Coulter DTX 880 multimode detector, Austria), was evaluated by comparing their absorbance with those of the control (incubated with 0.5% DMSO).
Measurement of nitric oxide (NO)
RAW 264.7 cells (1 × 105 cells/ml) were seeded in a 96-well plate and allowed to attach overnight. Then, media was removed, and polyherbal extract or standard compound solutions (16-250 µg/ml) was added in the cultured cells. After that, LPS was filled to stimulate NO formation before continuously incubated under the same conditions for 24 h. Produced NO as nitrite formation was determined through lightly mixing using cell media with Griess reagent (2% sulfanilamide in 4% phosphoric acid and 0.2% napthylethylenediamide) in the ratio of 1:1, before being incubated in a CO2 incubator for 10 min. Subsequently, the absorbance was measured at 540 nm using a microplate reader (Beckman Coulter DTX 880 multimode detector, Austria). The NO production was calculated as a percentage of control [12].
Development of polyherbal preparations
Preparation of polyherbal balm and gel
The semisolid preparations in the form of balm and gel containing polyherbal extract (table 1) were prepared. To prepare the base for polyherbal balm, cetyl alcohol was melted using a water bath, and then mixed with white soft paraffin, silicone elastomer, tocopherol acetate and Iscaguard FPX. Polyherbal extract and menthol were dissolved in the mixture of methyl salicylate, eucalyptus oil, and lavender oil before adding into the balm base with constant stirring. For the preparation of polyherbal gel, carbomer was dispersed slowly in 64.4 g of deionized water with constant stirring. Then, sodium EDTA was dissolved in 10 g of deionized water before adding into the carbomer dispersion. Polyherbal extract, menthol, methyl salicylate, eucalyptus oil, lavender oil and Iscaguard FPX were dissolved in the mixture of ethyl alcohol and propylene glycol. This clear solution of polyherbal extract mixture was slowly added into carbomer dispersion with constant stirring. Triethanolamine was then added to the polyherbal extract-carbomer mixture with constant stirring until a consistent gel base was obtained. The blank formulations, i.e., formulations without polyherbal extract, were also prepared.
Table 1: Compositions of polyherbal balm and gel
| Polyherbal balm | %w/w | Polyherbal gel | %w/w | |
| Polyherbal extract | 1.0 | Polyherbal extract | 1.0 | |
| Methyl salicylate | 0.5 | Methyl salicylate | 0.5 | |
| Menthol | 1.0 | Menthol | 1.0 | |
| Eucalyptus oil | 0.5 | Eucalyptus oil | 0.5 | |
| Lavender oil | 0.5 | Lavender oil | 0.5 | |
| White soft paraffin | 15.0 | Carbomer | 0.5 | |
| Cetyl alcohol | 15.0 | Sodium EDTA | 0.1 | |
| Iscaguard FPX | 1.0 | Ethyl alcohol | 10.0 | |
| Tocopherol acetate | 0.05 | Propylene glycol | 10.0 | |
| Silicone elastomer qs to | 100.0 | Triethanolamine | 0.5 | |
| Iscaguard FPX | 1.0 | |||
| Deionized water qs to | 100.0 |
Evaluation of polyherbal preparations
Appearance and homogeneity
Physical appearance, color, texture, phase separation, homogeneity and spreadability of the prepared balm and gel were evaluated by visual perception. The immediate feel, including stiffness, grittiness, and greasiness after applying the preparations onto the skin was also evaluated.
pH
The pH values were determined at room temperature using a digital pH meter, coupled with surface pH electrode (Mettler Toledo, Switzerland).
Viscosity
The viscosity values under room temperature of polyherbal balm and gel were evaluated using a Brookfield digital rheometer (model DV-III, Brookfield Engineering Laboratories, Inc., MA, USA) at the rotational speed of 0.3 rpm.
Determination of total phenolic compounds
The amount of total phenolic compounds in the polyherbal preparations was determined by Folin–ciocalteu's method using gallic acid as a standard compound. 0.1 g of polyherbal balm or gel was mixed with 10 ml of ethyl alcohol. This mixture was thoroughly vortexed and sonicated for 30 min to dissolve and extract the phenolic compounds from the preparation bases completely. After filtration with 0.45 µm nylon filter (CNW® technology, China) and appropriate dilutions were made, the samples were analyzed for the total phenolic compounds using the modified Folin-Ciocalteu method. The percentages of total phenolic compounds were calculated and compared to the theoretical contents.
In vitro release study
The in vitro release of phenolic compounds from the polyherbal balm and gel was conducted using a Franz diffusion cell with a diffusion area of 0.636 cm2 (Crown Glass Company, Q1 Branchburg, NJ). The system was connected to a water bath maintained at a temperature of 32.0±0.5 °C. Artificial membranes of cellulose acetate (Filtrex, USA) with a declared mean pore diameter of 0.45 μm were soaked overnight in the receptor media and then mounted on the diffusion cell, which contained phosphate buffer pH 5.5 as a receptor medium. After superficial drying of the membranes, approximately 0.20 g of each formulation was placed over the membranes [13]. At predetermined times, 0.4-ml samples were taken from the receptor compartment, and equal volume medium was immediately added after each sampling. The concentration of phenolic compounds was analyzed by Folin–ciocalteu's method. The cumulative amount of phenolic compound released was plotted against time.
The release rates of phenolic compounds from the polyherbal preparations were analyzed using the zero order, first order and Higuchi models [14-15], which can be expressed as equations 1, 2 and 3, respectively, as follows:
(1)
……………...(2)
and
(3)
Where, Q is the cumulative amount of phenolic compound release, t is time, and K0,
and KH are the zero-order, first-order and Higuchi release constants, respectively [15].
Statistical analysis
The statistical analysis was performed using the SPSS program for Microsoft Windows, release 19 (SPSS (Thailand) Co. Ltd., Bangkok, Thailand). The results were expressed as the mean±SD. One-way ANOVA and independent samples t-test were used to test the statistical significance of differences among groups. The significance was determined with 95% confidence limits (α=0.5) and was considered significant at a level of P less than 0.05.
Natural products are a valuable source of structurally diverse compounds such as simple phenolics, phenolic acids, anthocyanins, hydroxycinnamic acid derivatives and flavonoids, which possess therapeutic potential including free radical scavenging, anti-mutagenic, anti-carcinogenic and anti-inflammatory effects [11]. In recent years, several pharmacological activities of traditional polyherbal recipes related to human health have been reported. The strategy of using multiple herbal combinations in the traditional recipe is to optimize the therapeutic efficacy with reduced toxicity. According to Thai folk medicine practitioners, the polyherbal recipe, which is composed of Z. cassumunar rhizome, camphor, Z. officinale rhizome, Z. zerumbet rhizome, A. galangal rhizome, C. aromatica rhizome, G. malaccensis rhizome, A. calamus rhizome, G. superba tubers, P. indica root, P. nigrum seeds, P. longum seeds, C. hystrix fruit peels, P. roxburghii leaves, T. indica leaves, A. concinna leave, C. asiaticum leaves, C. viscosa, T. zebrine and sodium chloride, is used for inflammation-related ailment treatment. In the case of knee osteoarthritis pain and inflammation, the polyherbal recipe is prepared by macerating the mixture of herbs with rice and rice whisky. The fluid obtained by filtering the macerated mixture is then soaked on the piece of cloth and laid on the knee. The poultice may be bonded to the area with a light cotton bandage. The complicate preparation and use of this recipe restricts its uses to the local communities in which such recipe was developed as well as self-medication. In order to develop such an intervention, the present study was conducted to ensure readiness for the use of topical preparations containing the ethanolic extract of the polyherbal recipe for anti-inflammatory effect.

Fig. 1: The polyherbal ethanolic extract
Polyherbal crude extract was dark yellow-green viscous extract as seen in fig. 1. The yield of extract was 8.24 %w/w (table 2). Phytochemical analysis was performed to determine total phenolic and total flavonoid contents of the polyherbal extract. Total phenolic determination was performed using the Folin-Ciocalteu method and the results were expressed in mg of gallic acid/g of extract. The flavonoid contents, expressed as mg of quercetin/g of extract, were determined using a spectrophotometric method based on the complex formation with aluminum chloride. It was found that total phenolic and total flavonoid contents of polyherbal extract were 121.21±1.60 mg GAE/g and 26.55±1.38 mg QE/g, respectively (table 2).
In this study, two in vitro model systems, namely, DPPH radical scavenging activity and reducing power were used for assessing the antioxidant activity of the extract and the results are shown in table 2. DPPH is a stable nitrogen-centered free radical commonly used for determining the radical scavenging activity of the pure compound as well as crude extracts. When the stable DPPH radical accepts an electron from the antioxidant compound, the violet color of the DPPH radical was reduced to yellow colored diphenyl-picrylhydrazine radical, which was measured colorimetrically. Substances capable of performing this reaction can be considered antioxidants, and thus radical scavengers [16]. The ability of the polyherbal extract to scavenge the DPPH radical was expressed as the concentration required to inhibit radical formation by 50% or IC50 value, where a lower value of IC50 indicated a higher antioxidant activity. It was found that the polyherbal extract, as well as the positive control-ascorbic acid-showed a dose-dependent inhibition of the DPPH radicals with the IC50 of 160.75±3.43 and 4.54±0.46 µg/ml, respectively. Compared with the positive control. DPPH radical scavenging activity of the extract was much weaker than that of ascorbic acid, with polyherbal extract 1 g having DPPH scavenging capacity equivalent to 28.6 mg of ascorbic acid.

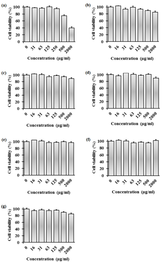
Fig. 2: Effects of polyherbal extract and standard compounds on the viability of RAW 264.7 cell line performed using the MTT assay. The cells were treated with different concentrations of (a) polyherbal extract, (b) quercetin, (c) piperine, (d) shacaol, (e) 6-gingerol, (f) 10-gingerol and (g) indomethacin. Data represent means±SD of three independent experiments
Table 2: Percent yield, phytochemical analysis and antioxidant activity of the polyherbal ethanolic extract
| Polyherbal ethanolic extract | |
| % yields | 8.24 % |
| Total phenolic contents * | 121.21±1.60 mg GAE/g |
| Total flavonoid contents * | 26.55±1.38 mg QE/g |
| Antioxidant activity | |
| DPPH (IC50) * | 160.75±3.43 µg/ml |
| FRAP * | 91.94±4.17 mg FeSO4/g |
GAE/g: gallic acid equivalent per gram extract, QE/g: quercetin equivalent per gram extract, IC50 means the effective concentration of sample that can decrease DPPH concentration by 50%, FeSO4/g: ferrous sulfate equivalent per gram of the extract, *Data represent mean±SD, n = 3.
FRAP assay was used to determine the reducing potential of an antioxidant reacting to a ferric tripyridyltriazine (FeIII-TPTZ) complex and producing a blue colored ferrous tripyridyltriazine (FeII-TPTZ). The free radical chain breaking took place through hydrogen atom donation. Ferric to ferrous ion reduction at low pH caused an intense blue color ferrous-TPTZ complex to form. FRAP values were obtained by comparing the absorbance change at 593 nm in the test reaction mixtures with those containing ferrous ions in the known concentration [10, 17]. FRAP values of the extract were 91.94±4.17 mg FeSO4/g. This reducing property is linked to the presence of compounds which exert their action by breaking free radical chain through hydrogen atom donation.
The results from the antioxidant assay showed that polyherbal extract could scavenge the radical to a certain extent. A considerable high phenolic content level of the polyherbal extract might respond to its antioxidant capability. A significant correlation between phenolic and flavonoid contents with antioxidant activity in several plants had also been revealed [17, 18]. Because of their redox properties, phenolic compounds could act as antioxidants [11, 17].
To evaluate the anti-inflammatory activity of polyherbal extract as well as standard compounds, the cytotoxicity of the extract and each compound to RAW 264.7 cells was determined using the MTT assay. The cells were treated for 24 h with various concentrations of polyherbal extract as well as standard compounds at 16-2000 μg/ml. The percentage of cell viability treated with LPS was taken as 100% viability. The results indicated that polyherbal extract with concentration<250 μg/ml, and the standard compounds with concentration<125 μg/ml did not affect cell viability (*P<0.05) (fig. 2). Therefore, these percentages were chosen for further experiments.

Fig. 3: Effects of polyherbal extract and standard compounds on the inhibition of nitric oxide (NO) production in LPS-stimulated macrophages (RAW 264.7 cells). Cells were treated with LPS and different concentrations of (a) polyherbal extract and standard compounds: (b) quercetin, (c) piperine, (d) shacaol, (e) 6-gingerol, (f) 10-gingerol and (g) indomethacin for 24 h. Data represent means±SD of three independent experiments

Fig. 4: IC50 values for nitric oxide (NO) inhibitory activity of polyherbal extract and standard compounds. Data represent means±SD of three independent experiments
The anti-inflammatory action of the polyherbal extract was investigated based on the inhibitory effect on the production of proinflammatory mediators in LPS activated macrophage (RAW 264.7). After inflammation of RAW 264.7 was induced by LPS for 24 h, polyherbal extract and standard compounds could reduce the production of NO in a concentration-dependent manner (fig. 3). Polyherbal extract at concentrations of 31-250 μg/ml significantly decreased NO secretion from 9.9±1.9% to 86.4±0.2%. The standard compounds at concentrations of 16-125 μg/ml decreased NO secretion from 24.5-75.5%, 36.9-86.3%, 19.4-76.1%, 32.2-87.0%, 32.2-81.3%, and 12.9-89.7% for quercetin, piperine, shacaol, 6-gingerol, 10-gingerol and indomethacin, respectively.
Fig. 4 shows the IC50 values for NO inhibitory activity of polyherbal extract and standard compounds. The data showed that the ability to reduce NO production of polyherbal extract was the lowest with an IC50 value of 145.7±3.3 μg/ml, whereas those of standard compounds were in the range of 37.7±0.3 to 63.3±1.9 μg/ml. Indomethacin is a well-known non-steroidal anti-inflammatory drug. Quercetin is a polyphenolic flavonoid possessing potent antioxidant, anti-inflammatory, and neuroprotective activities. It was found abundantly in fruits (mainly citrus), green leafy vegetables, herbs, as well as seeds [19, 20]. Piperine is a major alkaloid found in the seed of P. nigrum [21, 22] and P. longum [23]. Shogaols and gingerols are the major bioactive compounds present in Z. officinale [24]. The potent anti-inflammatory activity ofthese standard compounds has been reported [20-22, 24]. The lower anti-inflammatory effect of polyherbal extract compared to the standard compounds might relate to the fact that the crude extract contains numerous ingredients without the ability to inhibit NO production.
Our study of relevant literature revealed that the anti-inflammatory activities of the polyherbal extract were due to the anti-inflammatory activities of the herbs used in this recipe. Z. cassumunar rhizome, the major herbal fraction of this recipe, has been widely used as a traditional medicine in Thailand to treat inflammation, muscle and joint problems, menstrual disorders, abscesses, skin diseases and wounds. Phytochemical investigations of Z. cassumunar rhizomes revealed the presence of phenylbutanoids, cyclohexene derivatives, naphthoquinones, vanillin, vanillic acid, veratric acid, terpenoids, 𝛽-sitosterol, and curcuminoids. Several biological activities of Z. cassumunar rhizomes such as anti-asthmatic, smooth muscle relaxant, uterine relaxant, antioxidant, antihistaminic, analgesic and anti-inflammatory activities have been reported. Its analgesic and anti-inflammatory activities were related to essential compounds, namely, compound D, compound B′, compound B, compound C′, compound C, and curcumin [25-28]. The anti-inflammatory activities of the extract or constituents obtained from Z. officinale rhizome [24], Z. zerumbet rhizome [29], A. galangal rhizome [30, 31], C. aromatica rhizome [32, 33], A. calamus rhizome [34], G. superba tubers [35], P. indica root [36, 37], P. nigrum seed [21, 22], P. longum seed [38], C. hystrix fruit peels [39], P. roxburghii leaves [40], T. indica leaves [41, 42], C. asiaticum leave [43, 44], C. viscosa [45], have also been reported.
Polyherbal semisolid preparations
The semisolid preparations, namely, balm and gel containing 1%w/w of polyherbal recipe ethanolic extract were prepared. Similar to ointments, balm is greasy, semisolid, non-aqueous base preparation in which the active ingredient is dissolved or dispersed in the base. Balms can influence topical bioavailability due to occlusive properties of the stratum corneum. Aqueous gels are transparent or translucent semisolid preparations in which the active ingredient is dissolved or dispersed in the hydrophilic base. Gels may be clear or opaque and hydroalcoholic [46]. For polyherbal preparations in this study, methyl salicylate and menthol were added for counterirritant effect. Eucalyptus and lavender oil were used as flavoring agents. Iscaguard® FPX, which is a blend of paraben esters in phenoxyethanol, was used as a preservative. For the balm base, the mixture of white soft paraffin and cetyl alcohol was used in combination with silicone elastomer to modify the greasiness. Tocopherol acetate was added as an antioxidant. In the case of the gel base, carbomer was used as a gelling agent, while triethanolamine was used as a neutralizer. Ethyl alcohol and propylene glycol functioned as co-solvents for polyherbal extract and volatile oils. Sodium EDTA was used as a stabilizer for its chelating ability.
Physical appearance and characteristics of polyherbal balm and gel are presented in fig. 5 and table 3. Because of the color of the polyherbal extract, both the polyherbal balm and gel were yellowish-green color and opaque, whereas the blank preparations were white and opaque. The opacity of the gel preparation was due to the volatile oil content (2.5 %w/w). The smooth and homogenous texture of polyherbal balm and gel was revealed by the absence of lump or coarse particle. They are consistent with no phase separation. When applying with friction and rubbing on the skin, the balm was easy to spread on the skin and suitable for rubbing due to the greasiness and non-absorbing ingredient of the preparation, which allowed the film to form on the skin. It should be noted that, due to the silicone elastomer composition, the balm did not leave any tackiness feeling on the skin after application. For polyherbal gel, its spreadability was excellent. After applying, it gave dry, cooling, non-greasy and non-tackiness feel. Due to the nonaqueous characteristic, the pH of polyherbal balm could not be determined, whereas that of the polyherbal gel was 6.2±0.0, which is suitable for skin application. The viscosity of polyherbal balm was 1,205.1±25.8 x10³ cP, whereas that of the polyherbal gel was less viscous with a viscosity value of 356.7±25.9 x10³ cP.

Fig. 5: Physical appearance of polyherbal balm and gel
Table 3: Physical characteristics of polyherbal balm and gel
| Physical characteristics | Polyherbal balm | Polyherbal gel |
| Physical appearance | Yellowish-green color, opaque, homogenous, smooth but matt surface | Yellowish-green color, opaque, homogenous, smooth and glossy surface |
| Spreadability | Good | Excellent |
| Immediate feel after applying on the skin | Film formed after application, no grittiness, greasiness, non-tackiness | Moisturizing and refreshing, cool, light, no grittiness, non-greasy, non-tackiness |
| pH* | N/A | 6.2±0.0 |
| Viscosity (x10³ cP)* | 1,205.1±25.8 | 356.7±25.9 |
| Phenolic content (%)* | 92.50±1.34 | 96.99±3.21 |
N/A not applicable, *Data represent mean±SD, n = 3.
Herbal extract contains a large number of diverse bioactive compounds, including phenolic classes. Many phenolic compounds play dynamic roles in pharmacological functions, including anti-inflammatory effects [47]. Therefore, the phenolic compounds were used as bioactive markers in this study. The phenolic compound contents in the polyherbal preparations were investigated by extracting the total phenolic contents with ethyl alcohol before determining the contents using the modified Folin-Ciocalteu method. The results revealed that polyherbal balm and gel had phenolic contents equal to 1.12±0.03 and 1.20±0.04 mg GAE per gram of preparations, respectively. When compared to the theoretical content, it was found that the percentages of phenolic compounds were 92.50±1.34% and 96.99±3.21%, respectively.

Fig. 6: In vitro release profiles of total phenolics (expressed as mg GAE) from the polyherbal balm and gel. Data represent means±SD of three independent experiments
Release behaviors and mechanisms
To investigate the effect of semisolid preparation bases on the release of phenolic compounds, the in vitro release was conducted using a Franz diffusion cell. The Franz cell apparatus has been the standard system used for the semisolid preparation study and is recommended by the USP. In this study, the release test was performed at the skin temperature, 32±0.5°C, using phosphate buffer pH 5.5 as a receiver medium [15]. Fig. 6 depicts the release of phenolic compounds against time from the balm and the gel. The test demonstrated that both preparations had the ability to release the phenolic compounds to a certain extent. The higher release of phenolic compounds from the gel preparation was observed with the cumulative release at 8 h of 119.0±4.3 µg GAE. In other words, about 47.5±1.7% of phenolic compounds in the applied dose was released to the receptor medium in 8 h. For polyherbal balm, only 39.7±2.0 µg GAE, or approximately 18.3±0.9% of phenolic compounds in the applied dose, was released after 8 h.
The releases of active compounds from the preparations, when the Fickian diffusion laws are considered, could be evaluated using three major models, namely, zero order, first order, or Higuchi kinetics. Zero-order release kinetic model describes a system where the drug release does not depend on the initial concentration of the compounds and the rate is constant over a period of time. On the other hand, the first order model best characterizes a release process that is directly proportional to the concentration of the compounds embedded in the system, with the plot of log cumulative percentage release against time being linear. The Higuchi model is based on the assumption that the compounds are homogeneously dispersed in a planar matrix and under perfect sink conditions, and describes a pure diffusion release mechanism of the active compounds from a preparation base, without matrix erosion or swelling, with the plot of cumulative percentage release versus square root of time being linear [15]. To define the release kinetics of phenolic compounds from the polyherbal preparations, the release profiles were fitted to these three kinetic models and the results are shown in table 4. As shown, the phenolic compound release did not fit the zero order or first order kinetics. The release profiles could be best explained by the Higuchi model, as the plot showed the highest linearity with the correlation coefficients (Rsq) equal to 0.961±0.029 and 0.975±0.016 for polyherbal balm and gel, respectively. These mean that 96.1% and 97.5% of the dependent variables can be explained by the regression present in the Higuchi model. The diffusion-controlled release mechanism of active compounds from semisolid preparation has been reported [48-49].
Table 4: In vitro release kinetic parameters of the total phenolic release from polyherbal balm and gel
| Preparations | Zero-order | First order | Higuchi | |||
| Rsq | K0 | Rsq | K1 | Rsq | KH | |
| Polyherbal balm | 0.778±0.079 | 8.52±1.13 | 0.877±0.057 | 0.17±0.06 | 0.961±0.029 | 19.17±1.92 |
| Polyherbal gel | 0.840±0.078 | 33.32±0.32 | 0.864±0.125 | 0.19±0.05 | 0.975±0.016 | 72.90±2.32 |
Rsq is the correlation coefficient; K0, 
and KH are the zero-order, first-order and Higuchi release constants, respectively. Data represent mean±SD, n = 3.
With regard to the Higuchi release constant, it clearly showed that the release of phenolic compounds from the polyherbal gel was much faster than that from the polyherbal balm. The Higuchi release constant of the polyherbal gel was approximately 3.8 times higher than that of the polyherbal balm. The results of the release of the phenolic compound were in line with the published data, demonstrating that the release of compounds from semisolid bases was influenced by the properties of the bases. The hydrophilicity of the semisolid base determines the penetration ability of the receiver medium into the preparation bases. When the hydrophilic base such as the aqueous gel was used, the active compounds were able to diffuse directly from the aqueous phase of the base to the aqueous receiver medium. On the other hand, when the hydrophobic base like balm was used, the partitioning of the compounds between oil and aqueous phases needed to be taken place before being released due to the immiscibility with the receiver medium [50]. This resulted in the slower release rate of phenolic compounds compared to the gel. Other studies also showed that gel provided a faster release of compounds compared to other hydrophobic bases [50-53].
Additionally, the slower release rate of phenolic compounds from polyherbal balm may be contributed to the higher viscosity of the balm compared to the gel. It is known that the rheological properties, including the viscosity of semisolid preparation, may affect the rate of the diffusion of the compounds at the microstructural level, and thus their releases.
In this study, the semisolid preparations containing an ethanolic extract of the polyherbal recipe used by Thai folklore medicine practitioners as a poultice in treating knee arthritis were prepared and characterized for the first time. For phytochemical analysis, the total content of phenolic compounds, which were used as bioactive markers in this study, as well as the total flavonoid content was investigated. In vitro antioxidant and anti-inflammatory assay revealed that the polyherbal extract was able to scavenge the free radical and inhibit NO production to a certain extent. The polyherbal extract semisolid preparations considered here included two different hydrophilicity formulations: nonaqueous balm and aqueous gel. In terms of appearance, homogeneity, and viscosity, both balm and gel were found to be optimal. The phenolic compound release data, irrespective with the preparation composition, suggested a pure diffusion release mechanism from both polyherbal formulations. Because of the higher release rate and extent of phenolic compounds, the polyherbal gel was considered for further studies, including in vitro permeation, stability and in vivo skin irritation as well as anti-inflammatory activity.
The authors gratefully acknowledge the scholarship from the Faculty of Pharmaceutical Sciences and the Center for Research and Development of Herbal Health Products, Khon Kaen University, Thailand.
All the authors have contributed equally
The authors report no conflicts of interest
Benzie IFF, Wachtel Galor S. editors. Herbal medicine: biomolecular and clinical aspects. 2nd ed. Boca Raton (FL): CRC Press/Taylor and Francis; 2011.
Chanthasri W, Puangkeaw N, Kunworarath N, Jaisamut P, Limsuwan S, Maneenoon K, et al. Antioxidant capacities and total phenolic contents of 20 polyherbal remedies used as tonics by folk healers in Phatthalung and Songkhla provinces, Thailand. BMC Complementary Altern Med 2018;18:73.
Aiyalu R, Govindarjan A, Ramasamy A. Formulation and evaluation of topical herbal gel for the treatment of arthritis in an animal model. Braz J Pharm Sci 2016;52:493-507.
Allen LV, Zanowiak P. Pharmaceutical dosage forms. In: Elvers B. editor. Ullman’s encyclopedia of industrial chemistry Hamburg (Germany): Wiley-VCH; 2014. p. 1–45.
Chang RK, Raw A, Lionberger R, Yu L. Generic development of topical dermatologic products: formulation development, process development, and testing of topical dermatologic products. AAPS J 2013;15:41-52.
Banlangsawan N, Sripanidkulchai B, Sanoamuang N. Investigation of antioxidative, antityrosinase and cytotoxic effects of an extract of irradiated oyster mushroom. Songklanakarin J Sci Technol 2016;38:31–9.
Singleton VL, Orthofer R, Lamuela Raventos RM. Analysis of total phenols and other oxidation substrates and antioxidants by means of folin–ciocalteau reagent. Methods Enzymol 1999;299:152–78.
Woisky R, Salatino A. Analysis of propolis: some parameters and procedures for chemical quality control. J Apic Res 1998;37:99–105.
Brand Williams W, Cuvelier ME, Berset C. Use of a free radical method to evaluate antioxidant activity. LWT-Food Sci Technol 1995;28:25–30.
Benzie IFF, Strain JJ. The ferric reducing ability of plasma (FRAP) as a measure of “antioxidant power”: the FRAP assay. Anal Biochem 1996;239:70-6.
Adebiyi OE, Olayemi FO, Ning-Hua T, Guang-Zhi Z. In vitro antioxidant activity, total phenolic and flavonoid contents of ethanol extract of stem and leaf of Grewia carpinifolia. Beni Suef University J Basic Appl Sci 2017;6:10-4.
Phosri S, Mahakunakorn P, Lueangsakulthai J, Jangpromma N, Swatsitang P, Daduang S, et al. An investigation of antioxidant and anti-inflammatory activities from blood components of crocodile (Crocodylus siamensis). Protein J 2014;33:484-92.
Ruiz Martinez MA, Lopez Viota Gallardo J, de Benavides MM, de Dios García Lopez Duran J, Gallardo Lara V. Rheological behavior of gels and meloxicam release. Int J Pharm 2007;333:17-23.
Partha N, Snigdha P, Laxmidhar M. Formulation development and in vitro evaluation of dental gel containing ethanol extract of Tephrosia purpurea linn. Int J Pharm Pharm Sci 2016;8:132-41.
Olejnik A, Goscianska J, Nowak I. Active compounds release from semisolid dosage forms. J Pharm Sci 2012;101:4032-45.
Prior RL, Wu X, Schaich K. Standardized methods for the determination of antioxidant capacity and phenolics in foods and dietary supplements. J Agric Food Chem 2005;53:4290-302.
Rajurkar NS, Hande SM. Estimation of phytochemical content and antioxidant activity of some selected traditional Indian medicinal plants. Indian J Pharm Sci 2011;73:146-51.
Djeridane A, Yousfi M, Nadjemi B, Boutassouna D, Stocker P, Vidal N. Antioxidant activity of some Algerian medicinal plants extracts containing phenolic compounds. Food Chem 2006;97:654-60.
Anand David AV, Arulmoli R, Parasuraman S. Overviews of the biological importance of quercetin: a bioactive flavonoid. Pharmacogn Rev 2016;10:84-9.
Garcia Mediavilla V, Crespo I, Collado PS, Esteller A, Sanchez Campos S, Tunon MJ, et al. The anti-inflammatory flavones quercetin and kaempferol cause inhibition of inducible nitric oxide synthase, cyclooxygenase-2 and reactive C-protein, and down-regulation of the nuclear factor kappaB pathway in chang liver cells. Eur J Pharmacol 2007;557:221-9.
Meghwal M, Goswami TK. Piper nigrum and piperine: an update. Phytother Res 2013;27:1121-30.
Tasleem F, Azhar I, Ali SN, Perveen S, Mahmood ZA. Analgesic and anti-inflammatory activities of Piper nigrum L. Asian Pac J Trop Med 2014;7S1:S461-8.
Hamrapurkar PD, Jadhav K, Zine S. Quantitative estimation of piperine in Piper nigrum and Piper longum using high-performance thin layer chromatography. J Appl Pharm Sci 2011;1:117-20.
Dugasani S, Pichika MR, Nadarajah VD, Balijepalli MK, Tandra S, Korlakunta JN. Comparative antioxidant and anti-inflammatory effects of [6]-gingerol, [8]-gingerol, [10]-gingerol and [6]-shogaol. J Ethnopharmacol 2010;127:515-20.
Ozaki Y, Kawahara N, Harada M. Anti-inflammatory effect of Zingiber cassumunar Roxb. and its active principles. Chem Pharm Bull 1991;39:2353-6.
Jeenapongsa R, Yoovathaworn K, Sriwatanakul KM, Pongprayoon U, Sriwatanakul K. Anti-inflammatory activity of (E)-1-(3,4-dimethoxyphenyl) butadiene from Zingiber cassumunar Roxb. J Ethnopharmacol 2003;87:143-8.
Panthong A, Kanjanapothi D, Niwatananun V, Tuntiwachwuttikul P, Reutrakul V. Anti-inflammatory activity of compounds isolated from Zingiber cassumunar. Planta Med 1990;56:655.
Koontongkaew S, Poachanukoon O, Sireeratawong S, Dechatiwongse Na Ayudhya T, Khonsung P, Jaijoy K, et al. Safety evaluation of Zingiber cassumunar Roxb. rhizome extract: acute and chronic toxicity studies in rats. Int Scholarly Res Not 2014;632608:1-14.
Chien TY, Chen LG, Lee CJ, Lee FY, Wang CC. Anti-inflammatory constituents of Zingiber zerumbet. Food Chem 2008;110:584-9.
Chudiwal AK, Jain DP, Somani R. Alpinia galanga willd-an overview on phytopharmacological properties. Indian J Nat Prod Resour 2010;1:143-9.
Ghosh S, Rangan L. Alpinia: the gold mine of future therapeutics. 3 Biotech 2013;3:173-85.
Angel GR, Vimala B, Nambisan B. Antioxidant and anti-inflammatory activities of proteins isolated from eight curcuma species. Phytopharmacology 2013;4:96-105.
Rajkumari S, Sanatombi K. Nutritional value, phytochemical composition, and biological activities of edible Curcuma species: a review. Int J Food Prop 2017;20:S2668-87.
Rajput SB, Tonge MB, Karuppayil SM. An overview on traditional uses and pharmacological profile of Acorus calamus Linn. (Sweet flag) and other Acorus species. Phytomedicine 2014;21:268-76.
John JC, Fernandes J, Nandgude T, Niphade SR, Savla A, Deshmukh PT. Analgesic and anti-inflammatory activities of the hydroalcoholic extract from Gloriosa superba Linn. Int J Green Pharm 2009;3:215-9.
Gangopadhyay M, Sircar D, Mitra A, Bhattacharya S. Hairy root culture of Plumbago indica as a potential source for plumbagin. Biol Plant 2008;52:533-7.
Luo P, Wong YF, Ge L, Zhang ZF, Liu Y, Liu L, et al. Anti-inflammatory and analgesic effect of plumbagin through inhibition of nuclear factor-κB activation. J Pharmacol Exp Ther 2010;335:735-42.
Kumar S, Kamboj J, Suman, Sharma S. Overview for various aspects of the health benefits of Piper Longum linn. fruit. J Acupuncture Meridian Studies 2011;4:134-40.
Kidarn S, Saenjum C, Hongwiset D, Phrutivorapongkul A. Furanocoumarins from Kaffir lime and their inhibitory effects on inflammatory mediator production. Cogent Chem 2018;4:1529259.
Reanmongkol W, Noppapan T, Subhadhirasakul S. Antinociceptive, antipyretic, and anti-inflammatory activities of Putranjiva roxburghii Wall. leaf extract in experimental animals. J Nat Med 2009;63:290-6.
Bhadoriya SS, Mishra V, Raut S, Ganeshpurkar A, Jain SK. Anti-inflammatory and antinociceptive activities of a hydroethanolic extract of Tamarindus indica leaves. Sci Pharm 2012;80:685-700.
Kuru P. Tamarindus indica and its health-related effects. Asian Pac J Trop Biomed 2014;4:676-81.
Kim YH, Kim KH, Han CS, Park SH, Yang HC, Lee BY, et al. Anti-inflammatory activity of Crinum asiaticum Linne var. japonicum extract and its application as a cosmeceutical ingredient. J Cosmet Sci 2008;59:419-30.
Rahman MA, Hossain SMA, Ahmed NU, Islam MS. Analgesic and anti-inflammatory effects of Crinum asiaticum leaf alcoholic extract in animal models. Afr J Biotechnol 2013;12:212-8.
Mali RG. Cleome viscosa (wild mustard): a review on ethnobotany, phytochemistry, and pharmacology. Pharm Biol 2010;48:105-12.
Garg T, Rath G, Goyal AK. A comprehensive review on additives of topical dosage forms for drug delivery. Drug Delivery 2015;22:969-87.
Ambriz Perez DL, Leyva Lopez N, Gutierrez Grijalva EP, Basilio Heredia J. Phenolic compounds: natural alternative in inflammation treatment. a review. Cogent Food Agric 2016;2:1131412.
Kassab HJ, Thomas LM, Jabir SA. Development and physical characterization of a periodontal bioadhesive gel of gatifloxacin. Int J Appl Pharm 2017;9:31-6.
Oyedele AO, John OO, Ogungbemi HO, Olateju SO. Ocular tolerance and in vitro release of chloramphenicol in prospective eye ointment bases. Int J Pharm Pharm Sci 2015;7:306-11.
Jankowski A, Dyja R, Sarecka Hujar B. Dermal and transdermal delivery of active substances from semisolid bases. Indian J Pharm Sci 2017;79:488-500.
Źilius M, Ramanauskienė K, Briedis V. Release of propolis phenolic acids from semisolid formulations and their penetration into the human skin in vitro. J Evidence Based Complementary Altern Med 2013:958717:1-7.
Dua K. Application of model-independent approach on in vitro release of extemporaneously prepared semisolid formulations containing metronidazole with marketed silver sulfadiazine 1% cream, USP: a comparative investigation. Bull Pharm Res 2013;3:1-5.
Gardavska K, Vitkoca Z, Cizmarik J. The influence of ointment bases on the liberation of some derivatives of phenylcarbamic acids. Acta Pol Pharm 1999;56:375-80.