
1Departement of Pharmaceutics, Faculty of Pharmacy, Gadjah Mada University, Yogyakarta 55281 Indonesia, 2Bhakti Pertiwi, School of Pharmacy Science, Palembang 30128 Indonesia
Email: tn.saifullah@gmail.com
Received: 23 Jul 2019, Revised and Accepted: 02 Sep 2019
ABSTRACT
Objective: This study aims to optimize PCL-PEG-PCL (PCEC) triblock copolymer micelles as a hydrophobic drug carrier, simvastatin (SV).
Methods: PCEC triblock copolymer was prepared by the ring-opening polymerization method (ROP) with different ɛCL/PEG ratio (2 and 5). SV was incorporated into the PCEC triblock copolymer micelles with a concentration of 2.5 and 10 % w/w by the solvent evaporation method (film formation). The influence of the ɛCL/PEG ratio and concentration of SV effect on the responses particle size (PS), polydispersity index (PI) and entrapment efficiency (EE) was assessed using 22 full factorial design method. The test results were analyzed using Design-Expert software to obtain the optimum formula.
Result: The selection of the optimum formula is based on the desirability value, the formula with the largest desirability value is chosen as the optimum formula. The results showed the optimum formula chosen had a desirability value of 0.860 consisting of a ɛCL/PEG ratio of 5 and SV concentration of 10 % w/w, with the PS, PI dan EE value was 322.1±3.51 nm, 0.471±0.09 and 87.08±1.17 %, respectively.
Conclusion: The 22 full factorial design has been proven to be used as an optimization method to determine the optimum formula of SV-loaded PCEC triblock copolymer micelles with a good result of the PS, PI and EE responses.
Keyword: Factorial design, Triblock copolymer, PCL, PEG, Simvastatin
© 2019 The Authors. Published by Innovare Academic Sciences Pvt Ltd. This is an open access article under the CC BY license (http://creativecommons.org/licenses/by/4.0/)
DOI: http://dx.doi.org/10.22159/ijap.2019v11i6.35036
INTRODUCTION
Polymeric micelles have been received much attention in recent decades as a potential drug carrier. There are many advantages of using polymers as drug carriers including increasing drug stability, increasing drug solubility and having the potential to deliver targeted drugs [1]. The polymers can be used as a single or triblock with three constituent polymer blocks. Triblock copolymers will form a core-shell structure, where the core as a hydrophobic block will be a place to accommodate the hydrophobic drug, while the shell as a hydrophilic block lining the core will maintain the stability of micellar polymer in an aqueous environment and affect its solubility in water. This type of triblock copolymer can be an ideal drug carrier candidate with the aim of improving poorly drug solubility [1, 2].
SV is a statin group that belongs to the class of 3-hydroxy-3-methyl glutaric-coenzyme A reductase (HMG-CoA reductase) inhibitors, which is used in the treatment of hyperlipidemia and hypercholesterolemia. SV is a hydrophobic drug, with practically insoluble in pure water (0.01 g/l) [4]. Modification of SV by using triblock copolymers would form micelles polymeric. This system may improve its solubility as to be expected.
A biocompatible and biodegradable polymer such as polyethylene glycol (PEG for short) as a hydrophilic block and poly ɛ-caprolactone (PCL for short) as a hydrophobic block have been selected, because they are non-toxic material which will be degraded by reactions in the body [5].
The composition of the triblock copolymer will affect the structure and characteristics of the polymer form. While the number of drugs incorporated into the micelle system will also affect the characteristics of the micelles produce [6, 7]. The parameters such as PS, PI and EE can be used to assess the influence of the composition of the triblock copolymer micelles, so that the composition of the optimum formula was obtained according to the desired target. Herein, we report the optimization of the composition of triblock copolymer micelles was carried out by the 22 full factorial design method where the factors would be seen their effect was the ratio of ɛCL/PEG and concentration of SV.
MATERIALS AND METHODS
Materials
SV was given to authors by Dexa Medica (Palembang, Indonesia), PEG, with Mw = 6000 g/mol, ɛ-caprolactone and stannous 2-ethyl hexanoate (Sn(Oct)2) was purchased from Sigma-Aldrich (Singapura), diethyl ether was purchased from local company Smart-Lab (Tangerang, Indonesia), methanol and dichloromethane were purchased from Merck (Germany).
Optimization method
A two-level of full factorial design method was used to evaluate the effect of two factors on the observed responses (PS, PI, and EE), the experimental condition was shown in table 1. The two factors were the ratio of ɛCL/PEG and concentration of SV with each of two levels, low (-1) and high (1). Optimize the experimental condition and analyze all of the results was used Design-Expert software (Stat-Ease Inc., Minneapolis, MN, US).
Table 1: Experimental condition of two-level factorial design for preparation of simvastatin-loaded polymeric micelles
| Coded | Variables | Level | |
| Low (-1) | High (1) | ||
| X1 | The ratio of ɛCL/PEG | 2 | 5 |
| X2 | Concentration of SV (%) | 2.5 | 10 |
| Response | Target | ||
| Y1 | Particle size (nm) | Minimum | |
| Y2 | Polydispersity index | Minimum | |
| Y3 | Entrapment efficiency (%) | Maximum | |
Preparation of PCEC triblock copolymer
The two different ratios of ɛCL/PEG of PCEC triblock copolymer were prepared by the ring-opening polymerization method (ROP). In the first step, the PEG was stirred at 130 °C for 30 min. After that, ɛCL and Sn (Oct)2 was added and the mixture was further stirred and heated for another 6 h. The copolymer was cooled at room temperature. The copolymer obtained was dissolved in dichloromethane, precipitated in cold ether followed by two-time washing and then dried [8].
Characterization methods
The functional group analysis was carried out using a Fourier transform infrared-attenuated total reflectance instrument (FTIR-ATR, Thermo-Nicolet i510) with a deuterated triglycine sulfate (DTGS) detector. The absorption of samples was reading at a wavenumber of 4000-400 cm-1, with a resolution of 1 cm-1 and 32 times of repetitions [7].
The thermal properties analysis was performed using a differential scanning calorimetry instrument (DSC-60 Plus, Shimadzu, Japan). A total of 2 mg of sample was put into an aluminum pan and heated with a heating rate of 10 ˚C/min. Measurements were made in the temperature range of 25-200 °C [9].
Preparation of SV-loaded PCEC triblock copolymer micelles
SV was incorporated into the polymeric micelles by the solvent evaporation method (film formation). The PCEC copolymer blocks of 50 mg with different ratio of ɛCL/PEG was dissolved in 1 ml dichloromethane solution of SV with known concentration (1.25 and 5 mg/ml), organic solvents were evaporated to form polymer/drug film layers. 2 ml of aqua dest was added to the film layer formed, then heated to a temperature of 60 °C until it melted and then cooled in the ice bath for the next 1 min. Aqua dest up to 20 ml was added, then the mixture was homogenized by the vortex [8].
Particle size (PS) and polydispersity index (PI)
PS and PI were determined by particle size analyzer-HORIBA SZ 100 instrument (Tokyo, Japan). Measurements were made at 25 °C using dynamic light scattering (DLS) technique at a wavelength of 633 nm and an angle of 90 ° [5].
Entrapment efficiency (EE)
A number of polymeric micelles sample was centrifuged at 6000 rpm for 30 min. The supernatant was filtered by membrane filter 0,45 µm then determined by UV spectrophotometer (Thermo Scientific, Genesys 10S UV) at a wavelength of 239 nm to known unloaded drug. Concentration drug in the micelles was estimated by the difference between the concentration of initial drug and unloaded drug [10, 11].
EE was calculated using the following equation:
EE (%) =
x 100 %
RESULTS AND DISCUSSION
Characterization of PCEC triblock copolymer
FTIR was used to analyze functional groups of material. The results of the analysis were FTIR spectra which showed the peaks of specific vibrations of each functional group. Fig. 1 presents the FTIR spectra of the ɛCL, PEG homopolymer, and PCEC triblock copolymer. The absorption bands at 1723.40 cm-1 in the FTIR spectra of ɛCL was assigned to the ester groups (C=O) stretching vibration. The bands due to hydroxyl groups (OH) of PEG have occurred at 3420.97 cm-1. The bands at 2932.95 cm-1 and 2881.90 cm-1, 1162.79 cm-1 and 1097.17 cm-1 were due to stretching vibration of alkane groups (C-H) and ether groups (C-O-C) of ɛCL and PEG. The emergence of strong absorption in the area of 1050 cm-1–1300 cm-1, 1690 cm-1–1760 cm-1, 2850 cm-1–2970 cm-1 and 3200 cm-1–3600 cm-1 were attributed to the characteristic absorption of C-O-C, C=O, C-H stretching vibration and hydroxyl groups of PCEC triblock copolymer [6, 7].

Fig. 1: FTIR spectra of ɛCL, PEG and PCEC with different ɛCL/PEG ratio

Fig. 2: DSC thermograms of PEG (a), ɛCL (b), PCEC 2 (c) and PCEC 5 (d)
DSC measurements were carried out to study the thermal properties of the material. The measurement results consisted of DSC thermogram data (temperature melting/Tm). Fig. 2 shows the DSC thermograms of the ɛCL, PEG and PCEC triblock copolymer. The PEG and ɛCL thermograms exhibited a melting peak at 59.75 °C and 37.66 °C. At the structure of PCEC triblock, ɛCL was in the form of a polymer (PCL), according to the literature the melting point of PCL was ranging from 59 °C to 64 °C. The PCEC triblock with ɛCL/PEG ratio of 2 appeared two melting peaks at 43.66 °C and 56.23 °C related to the melting point of PEG and PCL blocks. While triblock PCEC with a greater ratio of ɛCL/PEG (5) showed one melting peak at 59.39 °C, it was related to the melting point of PCL block. The melting peaks at 44.01 °C–64 °C were assigned as the melting point of PCEC triblock copolymer in the literature [8, 9, 12-14].
Optimization study
The 22 full factorial is one of the designs of experimental (DoE) approach commonly use for optimization study [15]. In this design, we used two-level for each factor. The factors that can be controlled by the investigator. Several factors that can be used such as concentration, temperature, pressure and time. While the level is the limit of the value applied to a factor [16].
In this study, the ratio of ɛCL/PEG and concentration of SV was used as a factor in the formula of SV-loaded PCEC triblock copolymer micelles, where it was known that the composition of polymeric micelles would affect the characteristics of micelles produced [6]. The results of the analysis of the effect of the ratio of ɛCL/PEG and concentration of SV on PS, PI and EE were shown in table 2.
Table 2: Experiment design and observed responses
| Std | Run | Factor | Response | |||
X1: The ratio of ɛCL/PEG |
X2: The concentration of SV (%) |
Y1: Particle size (nm) |
Y2: Polydispersity index |
Y2: Entrapment efficiency (%) | ||
| 9 | 1 | 2 | 10 | 334.5 | 0.502 | 87.97 |
| 3 | 2 | 2 | 2.5 | 489.5 | 0.714 | 74.36 |
| 8 | 3 | 2 | 10 | 341.6 | 0.539 | 87.20 |
| 6 | 4 | 5 | 2.5 | 312.7 | 0.493 | 77.16 |
| 11 | 5 | 5 | 10 | 341.9 | 0.409 | 88.48 |
| 1 | 6 | 2 | 2.5 | 445.6 | 0.757 | 77.64 |
| 10 | 7 | 5 | 10 | 329.2 | 0.543 | 87.66 |
| 12 | 8 | 5 | 10 | 307.7 | 0.381 | 89.40 |
| 7 | 9 | 2 | 10 | 344.7 | 0.472 | 87.92 |
| 4 | 10 | 5 | 2.5 | 293.6 | 0.489 | 79.33 |
| 2 | 11 | 2 | 2.5 | 487.9 | 0.609 | 80.69 |
| 5 | 12 | 5 | 2.5 | 333.0 | 0.372 | 79.57 |
The influence of both factors on PS (Y1), PI (Y2) and EE (Y3) were more deeply analyzed using analysis of variance (ANOVA). The result of the analysis showed that the three responses gave significant results (p<0.05) (Y1: p =<0.0001, Y2: p = 0.0072, Y3: p =<0.0001) so the equation model of the three responses observed could be used to predict the optimum formula of triblock copolymer micelles. The goodness of fit parameters was R2, adjusted R2, predicted R2, adequate precision was used to determine the most appropriate model. The model in each response meets the criteria if the R2 value must more than 0.7 (Y1 = 0.9496, Y2 = 0.7612 and Y3 = 0.9230), the difference between the adjusted R2 and predicted R2 values must less than 0.2 (Y1 = 0.0442, Y2 = 0.2090 and Y3 = 0.0674) and the adequate precision value must more than 4 (Y1 = 15.291, Y2 = 6.234 and Y3 = 10.703) [15, 17]. The results of the statistical analysis of the three responses were presented in table 3. Overall, the statistical evaluation showed that the three models were obtained met al. l the acceptance criteria, Y2 on the difference between the adjusted R2 and predicted R2 values criteria was excepted.
Table 3: The result of the statistical analysis of the experimental design
| Parameter | Y1: Particle size |
Y2: Polydispersity index |
Y3: Entrapment efficiency |
| R2 | 0.9496 | 0.7612 | 0.9230 |
| Adjusted R2 | 0.9307 | 0.6717 | 0.8942 |
| Predicted R2 | 0.8865 | 0.4627 | 0.8268 |
| Adequate precision | 15.291 | 6.234 | 10.703 |
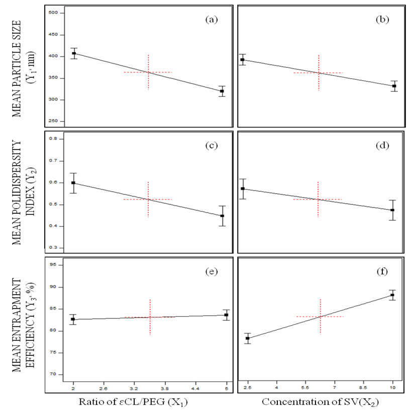
The graphs in fig. 3 showed the changes in the mean of all responses on these factors from min to max value. Also, the graphs can be known as the contribution of each factor on the increase or decrease of the observed responses. The first graphs, X1 (Y1)(a) and X2 (Y1)(b), shows that PS significantly decreases with increasing the ratio of ɛCL/PEG and also increasing the concentration of SV. That was contradictory to the research conducted by Hu et al. [7] previously, showed that the Y1 was increased gradually with the increasing the X1 and X2 factors [7, 13].
The second graph, X1 (Y2)(c) and X2 (Y2)(d), indicated an increase in the ratio of ɛCL/PEG and also increasing in concentration of SV was caused a significantly decreases on PI value. The PS and PI are the most important characteristics in a nanoparticle-based drug delivery system, One of this system is polymeric micelles. The PI is used to express the particle size distribution value of a drug delivery system. The mixture is considered homogeneous if the PI value is close to zero (PI<0.5) [20].
The third graphs, X1 (Y3)(e), shows that the EE value a slight increase, although not significant, with increasing the ratio of ɛCL/PEG. Feng et al. [14] had reported that increasing the X1 factor would induce an increased of EE value. Also, in the third graphs, X2 (Y3)(f) shows that the EE was very increased when increasing the concentration of SV. Azouz et al. [6] reported that the X2 had a great influence on EE. It is mean more drug was incorporated the larger EE.

Fig. 3: Influence of the factors (ratio of ɛCL/PEG X1 and concentration of SV X2) on the mean of responses (particle size Y1, polydispersity index Y2 and entrapment efficiency Y3)

Fig. 4: Contour plot interaction of factors (ratio of ɛCL/PEG and concentration of SV) on responses particle size (a), polydispersity index (b) and entrapment efficiency (c)
Optimum formula
The interaction of the ratio of ɛCL/PEG and concentration of SV on PS, PI and EE in the form of contour plot can be seen in fig. 4. Also, the regression equation in table 3 can be used to assess the interaction effect of each factor on the increase or decrease of the observed responses marked by negative and positive signs, respectively.
Table 4 presents that the interaction between the ratio of ɛCL/PEG vs. concentration of SV shows a negative effect on the EE value. Its mean interaction of the two factors caused a decreased EE value. While the interaction of both showed a positive effect on PS and PI responses. The result was indicated that the interaction of the two factors caused an increased PS and PI value.
Table 4: The regression equation of particle size (Y1), polydispersity index (Y2) and entrapment efficiency (Y3)
| Response | Regression equation |
| Y1: Particle size (nm) | Y1= 659.23–70.10 X1–30.96 X2+6.54 X1 X2 |
| Y2: Polidispersity index | Y2= 0.96–0.10 X1–0.04 X2+8.09 X1 X2 |
| Y3: Entrapment efficiency (%) | Y3= 73.37+0.41 X1+1.38 X2–0.01 X1 X2 |
Optimum formula
There were 9 solutions suggested by design-expert software (table 5). The formula with maximum desirability value was chosen as the optimum formula. Desirability is considered a maximum if its value is close to 1 [19].
The solution number 1 in table 5 was chosen as a formula that was predicted to given good results with the highest of desirability value of 0.860. The composition of the selected formula was the ratio of ɛCL/PEG of 5 and the concentration of SV of 10 % w/w, with the prediction values of 326.27 nm for PS response, 0.444 for PI response and 88.52 % for EE response.
The verification study was conducted by comparing the observed values and the predicted values. The results are considered verified if the value is in the range of 95 % CI (confidence interval). Also, base on the one-sample t-test result indicates that the observed values and predicted values are not significantly different with the p-value is more than 0.05 (p>0.05) (using R-free software). The result of the verification study was presented in table 6. The result of observed values for responses of PS and PI were 322.1±3.5 nm and 0.471±0.09, which were in the range of 95 % CI (301.95–350.58 nm and 0.353–0.536). The statistical test of PS and PI using a one-sample t-test showed that the p-value was 0.1783 and 0.6348, respectively. The p-value of PS and PI was indicated that they were not significantly different between observed values and predicted values. The result of the observed value for the response of EE was 87.08±1.17 %, that value was theoretically also in the range of 95 % CI (86.16–90.88 %).
The observed value of PS response of 322.1±3.5 nm is in the range of nanoparticle (1–1000 nm). The PS has a great influence on its ability to penetrate the gastrointestinal membrane, which can not be penetrated by particle larger than 500 nm [20]. The optimum formula has a good of particle size distribution with the PI value of 0.471±0.09 (less than 0.5) indicates a homogeneous system. The homogeneity of the system will affect its stability [21]. The EE value of an optimum formula of 87.08±1.17 %. The drug/polymers interaction is one of the factors that influence on EE value. The high EE values indicate a strong interaction between PCL as a hydrophobic block and hydrophobic drug, such as SV [14].
Table 5: Prediction of the optimum formula of SV-loaded PCEC triblock copolymer micelles
| No | The ratio of ɛCL/PEG | Concentration of SV | Particle size | Polydispersity index | Entrapment efficiency | Desirability | Status |
| 1 | 5.000 | 10.000 | 326.27 | 0.444 | 88.52 | 0.860 | Selected |
| 2 | 4.985 | 10.000 | 326.34 | 0.445 | 88.52 | 0.860 | |
| 3 | 4.962 | 10.000 | 326.44 | 0.445 | 88.51 | 0.859 | |
| 4 | 4.936 | 10.000 | 326.56 | 0.446 | 88.50 | 0.858 | |
| 5 | 5.000 | 9.915 | 326.12 | 0.444 | 88.41 | 0.858 | |
| 6 | 4.879 | 10.000 | 326.83 | 0.447 | 88.49 | 0.857 | |
| 7 | 4.840 | 10.000 | 327.01 | 0.448 | 88.48 | 0.855 | |
| 8 | 4.770 | 10.000 | 327.34 | 0.449 | 88.46 | 0.853 | |
| 9 | 4.717 | 10.000 | 327.59 | 0.450 | 88.44 | 0.851 |
Table 6: The verification result of prediction and observation value
| Response | Prediction | Observation* | 95% CI | One sample t-test** |
|
| Low | High | ||||
| Y1: Particle size (nm) | 326.27 | 322.1±3.51 | 301.95 | 350.58 | 0.1783 |
| Y2: Polydispersity index | 0.444 | 0.471±0.09 | 0.353 | 0.536 | 0.6384 |
| Y3: Entrapment efficiency (%) | 88.52 | 87.08±1.17 | 86.16 | 90.88 | 0.0004 |
*All values are expressed as mean of n=3±standard deviation (SD) **p>0.005
CONCLUSION
The optimization study to obtain the optimum formula of SV-loaded PCEC triblock copolymer micelles has been successfully carried out using the 22full factorial method. The PCEC triblock copolymer was prepared using a ring-opening polymerization method (ROP) with Sn (Oct)2 as a catalyst. SV was incorporated into PCEC copolymers using a solvent evaporation method (film formation). The optimum formula selected was the ratio of ɛCL/PEG (X1) of 5 and the concentration of SV (X2) of 10 % w/w, which showed the good results on the responses of PS, PI dan EE (Y1 = 322.1±3.51 nm, Y2 = 0.471±0.09, Y3 = 87.08±1.17 %).
ACKNOWLEDGMENT
The authors would like thank to the Yayasan Notari Bhakti Pertiwi Palembang has funded this research.
AUTHORS CONTRIBUTIONS
All of the authors listed in this manuscript have contributed equally
CONFLICT OF INTERESTS
The author declares that there is no conflict of interest related to this report
REFERENCES
Priya VSV, Roy HK, Jyothi N, Prasanthi NL. Polymers in drug delivery technology, types of polymers and applications. Sch Acad J Pharm 2016;5:305-8.
Narang AS, Mahato RI. Targeted delivery of a small and macromolecular drug. New York: CRC Press; 2010.
Zamani S, Khoee S. Preparation of core-shell chitosan/PCL-PEG triblock copolymer nanoparticles with aba and bab morphologies: effect of intraparticle interactions on physicochemical properties. Polymer 2012;53:5723-36.
Jiang T, Han N, Zhao B, Xie Y, Wang S. Enhanced dissolution rate and oral bioavailability of simvastatin nanocrystal prepared by sonoprecipitation. Drug Dev Ind Pharm 2012;38:1230-9.
Cuong NV, Hsieh MF, Chen YT, Liau I. Synthesis and characterization of peg–PCL–peg triblock copolymers as carriers of doxorubicin for the treatment of breast cancer. J Appl Polym Sci 2010;117:3694-703.
Azouz L, Dahmoune F, Rezgui F, G’Sell C. Full factorial design optimization of anti-inflammatory drug release by PCL–PEG–PCL microspheres. Mater Sci Eng C 2016;58:412-9.
Hu C, Chen Z, Wu S, Han Y, Wang H, Sun H, et al. Micelle or polymersome formation by PCL-PEG-PCL copolymers as drug delivery systems. Chin Chem Lett 2017;28:1905-9.
Alami-milani M, Zakeri-milani P, Valizadeh H, Salehi R, Jelvehgari M. Preparation and evaluation of PCL-PEG-PCL micelles as potential nanocarriers for ocular delivery of dexamethasone. Iran J Basic Med Sci 2018;2:153-64.
Barghi L, Asgari D, Barar J. Nakhlband A, Valizadeh H. Synthesis, characterization and in vitro anti-tumoral evaluation of erlotinib-PCEC nanoparticles. Asian Pac J Cancer Prev 2015a;15:10281-7.
Danafar H, Rostamizadeh K, Hamidi M. Polylactide/ poly(ethylene glycol)/polylactide triblock copolymer micelles as a carrier for delivery of hydrophilic and hydrophobic drugs: a comparison study. J Pharm Investig 2018;48:381-91.
Danafar H. Preparation and characterization of PCL-PEG-PCL polymersomes for delivery of clavulanic acid. Cogent Med 2016;3:1-11.
Yao J, Ruan Y, Zhai T, Guan J, Tang G, Li H, et al. ABC block copolymer as “smart” pH-responsive carrier for intracellular delivery of hydrophobic drugs. Polymer 2011;5:3396-404.
Barghi L, Asgari D, Barar J, Valizadeh H. Synthesis of PCEC copolymers with controlled molecular weight using full factorial methodology. Adv Pharm Bull 2015b;5:51-6.
Feng R, Song Z, Zhai G. Preparation and in vivo pharmacokinetics of curcumin-loaded PCL-PEG-PCL triblock copolymeric nanoparticles. Int J Nanomed 2012;7:4089-98.
Khanam N, Alam MI, Ali QMAIMY, Siddiqui A. A review on optimization of drug delivery system with experimental designs. Int J Appl Pharm 2018;10:7-12.
Bolton S, Bon C. Pharmaceutical statistics: practical and clinical applications, 4th ed rev and expanded. New York: M. Dekker; 2004.
Kumar RS, Yagnesh TNS, Kumar VG. Optimization of ibuprofen fast dissolving tablets employing starch xanthate using 23 factorial design. Int J Appl Pharm 2017;9:51-9.
Danaei M, Dehghankhold M, Ataei S, Hasanzadeh Davarani F, Javanmard R, Dokhani A, et al. Impact of particle size and polydispersity index on the clinical applications of lipidic nanocarrier systems. Pharmaceutics 2018;10:1-17.
Candioti LV, De Zan MM, Camara MS, Goicoechea HC. Experimental design and multiple response optimization using the desirability function in analytical methods development. Talanta 2014;124:123–38.
Pandey SK, Haldar C, Patel DK, Maiti P. Biodegradable polymers for potential delivery systems for therapeutics. In: Dutta PK, Dutta J. editors. Multifaceted development and application of biopolymers for biology, biomedicine, and nanotechnology. Berlin: Springer Berlin Heidelberg; 2013. p. 169-202.
Musmade KP, Deshpande PB, Musmade PB, Maliyakkal MN, Kumar AR, Reddy MS, et al. Methotrexate-loaded biodegradable nanoparticles: preparation, characterization, and evaluation of its cytotoxic potential against U-343 MGa human neuronal glioblastoma cells. Bull Mater Sci 2014;37:945–51.