
1Department of Chemistry, SDNB Vaishnav College for Women, Chromepet, Chennai-44, Tamilnadu, India, 2*Department of Analytical Chemistry, University of Madras, Guindy Campus, Chennai-25, Tamilnadu, India
Email: kvenkatchemistry@gmail.com
Received: 06 Aug 2019, Revised and Accepted: 05 Oct 2019
ABSTRACT
Objective: The main objective was to develop simple, cost-effective, rapid and selective spectrophotometric methods for the determination of atorvastatin calcium and pitavastatin calcium in pure and pharmaceutical formulations using acid dyes like bromothymol blue, bromocresol purple and bromocresol green and also in human urine samples.
Methods: The developed methods were based on the formation of ion-pair complexes between statin drugs and acid dyes after studying the optimization conditions. The association constants of the developed ion-pair complexes were evaluated using Benesi–Hildebrand equation. The methods were validated according to ICH guidelines.
Results: The formed ion-pair complexes showed maximum absorbance which was measured at 637 nm for both methods A and D, 601 nm, 606 nm for methods B and E and 631 nm for both methods C and F respectively with correlation coefficients 0.999. The analytical parameters and their effects in the developed methods were investigated. The ion-pair complexes were stable up to 24 h and showed good linearity. The molar absorptivity, Sandell sensitivity, detection, and quantification limits were also calculated. The stoichiometry ratio in all the cases was 1:2 by using Job’s method of continuous variation. The recovery studies again showed good results because co-formulated substances did not interfere for the determination of ATC and PTC in the developed methods.
Conclusion: The developed methods were applicable for routine quality control analysis of ATC and PTC in pure and pharmaceutical dosage forms. Good results were obtained when the developed methods were applied in healthy human urine samples.
Keywords: Pitavastatin calcium, Atorvastatin calcium, Acid dyes, Spectrophotometry, Ion-pair complex, Validation
© 2019 The Authors. Published by Innovare Academic Sciences Pvt Ltd. This is an open-access article under the CC BY license (http://creativecommons.org/licenses/by/4.0/)
DOI: http://dx.doi.org/10.22159/ijap.2019v11i6.35246
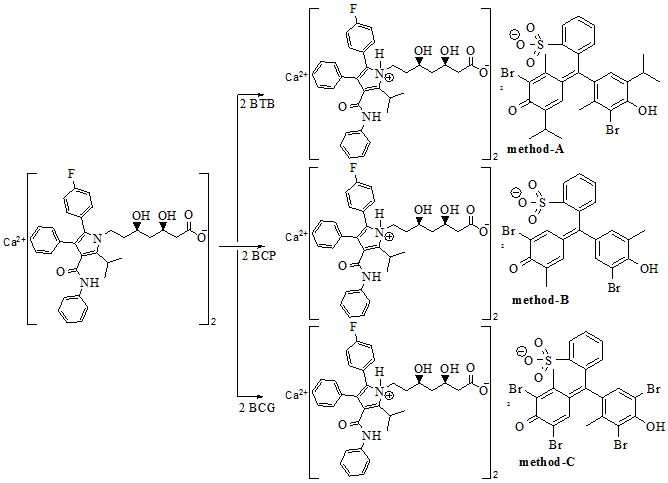
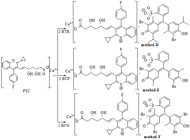
Atorvastatin calcium (ATC) is chemically [R-(R,R)]-2 (4-fluorophenyl)-β,δ-dihydroxy-5(1-methylethyl)-3-phenyl-4-(phenylamino)]-1H-pyrrole-1-heptonoic acid, calcium salt (2:1) with molar mass 1115.36 g/mol whereas pitavastatin calcium (PTC) is monocalcium (3R,5S,6E)-7-[2-cyclopropyl-4-(4-fluorophenyl)-3-quinolinyl]-3,5-dihydroxy-6-heptenoic acid with molar mass 880.98 g/mol. The chemical structures of them are shown in the fig. 1. They are the statin drugs and are a potent inhibitor of 3-hydroxy-3-methylglutaryl coenzyme A (HMG-CoA) reductase. They are used to reduce serum levels of LDL-cholesterol; apolipoprotein B and triglycerides and to increase serum levels of HDL-cholesterol in the treatment of hyperlipidemias and prevent of cardiovascular diseases in patients with multiple risk factors [1]. ATC is official in USP 34, IP [2, 3].

Fig. 1: Chemical structures of atorvastatin calcium (ATC) and pitavastatin calcium (PTC)
The literature survey revealed several analytical methods for the determination of both ATC and PTC. Chloroform extractable ion-pair complexes of AT with BCG, AR, BPB at 618.7, 512.8, 596.4 nm [4] and 1,2-dichloroethane extractable ion-pair complexes of statin drugs with Mo(V) thiocyanate [5], were reported. Colorimetric determination of ATC-green complex with ferric chloride, potassium ferricyanide at 787 nm [6], acetylation of ATC with p-dimethylaminobenzaldehyde, sulphuric acid at 540 nm [7], a red-colored charge-transfer complex of ATC with DDQ at 460 nm [8] have also been reported. In potentiometry, modified carbon paste ion-selective electrodes were developed in which ion-pair of ATC with 5,6-diaminouracil hydrochloride, picric acid methods were tested [9]. Oxidative coupling reaction of statin drugs with 3-methyl-2-benzothiazolinone hydrazone hydrochloride monohydrate, Ce(IV) at 566 nm [10], pale green-colored species formed with potassium ferrocyanide, ferric chloride by statin drugs [11], Oxidation reactions of ATC and PTC with ferric chloride in o-phenanthroline, ferric chloride in 2,2’-bipyridyl, ferric chloride in potassium ferricyanide [12,13], purple colored complex of PTC with Sulpho-Phospho-vanillin reagent at 414 nm [14], CTC with TCNQ in acetonitrile at 843 nm by ATC and PTC [15], PTC reaction with H2O2 and KI liberating iodine which was measured at 630 nm [16], PTC reduction in acidic KMnO4 giving unreacted oxidant measured at 550 nm [17], chromatographic methods for PTC [18] were the various methods developed for the study of lipid-lowering drugs.
The reported methods suffered from various disadvantages like heating step, slow reaction, extraction step, multi-step reactions, tedious control of experimental variables and less sensitivity. From the literature survey, it was found that the developed methods weren’t reported. The aim of this study was to develop and validate an accurate, reproducible and sensitive spectrophotometric methods based on the formation of ion-pair complexes between ATC/PTC with sulphonphthalein dyes namely bromothymol blue (BTB), bromocresol green (BCG) and bromocresol purple (BCP) for determination of ATC and PTC. The developed methods were applied for its determination in pharmaceutical formulations and also in human urine samples with good accuracy and precision. These methods were economically cheap, time-saving and more sensitive compared to other reported spectrophotometric methods.
Instrument
Double beam UV-visible spectrophotometric measurements were done using an Aglient 8453 model with a diode array detector (DAD) in the range 190-1100 nm was used for all experiments. UV and visible spectra of reference and sample solutions were recorded in 1 cm diameter quartz cells.
Reagents and solvents
Pharmaceutical grade atorvastatin calcium (ATC) (purity 99.8 %) and pitavastatin calcium with purity 99.5 % (PTC) were gifted from Orchid Pharmaceutics, India and Shasun Pharmaceuticals, India which was used as received. The following formulations were obtained from commercial local pharmacies in Chennai and subjected to analysis: Atorva containing 10 mg and pivasta containing 2 mg (Zydus Cardiva, India). Bromothymol blue (BTB), bromocresol purple (BCP) and bromocresol green (BCG) (Sisco Research Laboratories (SRL) Private Limited) were used without further purification. Dimethyl sulfoxide (DMSO), N, N-dimethyl formamide (DMF) and acetonitrile were of spectroscopy grade solvents purchased from Merck, India.
Preparation of standard ATC and PTC solutions
The standard solution of ATC was prepared by dissolving accurately weighed 0.01 g of pure ATC with DMSO and diluted with the same solvent in a 100 ml calibrated flask which was equivalent to 100 µg/ml used for method A. This solution was further diluted to get the working concentration of 25 µg/ml used for both the methods B and C. The standard solution of PTC was prepared by dissolving accurately weighed 10 mg of API PTC with DMSO for method D and DMF for method E in a 100 ml volumetric flask to get the concentration in 100 µg/ml. The working solution required for method F was diluted stepwise to get the concentration in 25 µg/ml. These solutions were prepared daily.
Preparation of different reagent solutions
The solutions were prepared by dissolving accurately weighed 0.01 g, 0.05 g of BTB (0.01 % and 0.05 % BTB), 0.01 g of BCP (0.01 % BCP) and 0.01 g, 0.05 g of BCG (0.01 % and 0.05 % BCG) in 100 ml volumetric flask containing DMSO. 0.01 g of BCP (0.01 % BCP) was also prepared in 100 ml containing acetonitrile. 0.005 % BCP and 0.005 % BCG solutions were diluted from the above-prepared solutions. These solutions were stable for one week if kept in a refrigerator.
General recommended procedures
Method A-ATC: BTB ion-pair complex
Varying aliquots of the standard 100 µg/ml ATC solution from 2.50 ml to 3.25 ml were transferred to different 5 ml calibrated flasks using a micro burette and added 0.5 ml of 0.05 % BTB solution to each flask which was diluted up to the mark with DMSO. It was shaken well for getting the uniform concentration. The absorbance of the resulting colored complex was measured at 637 nm against the corresponding blank solution prepared in the same method without the addition of ATC.
Method B-ATC: BCP ion-pair complex
Different aliquots of 25 µg/ml ATC drug solutions (2.5 ml, 2.75 ml, 3.0 ml…4.0 ml) were transferred to 5 ml volumetric flasks. To each flask, 0.5 ml of 0.005 % BCP solution was added and diluted up to the mark with DMSO. The content was shaken well for the uniform concentration. The absorbance of the resulting colored complex was measured at 606 nm against the corresponding blank solution.
Method C-ATC: BCG ion-pair complex
In a series of aliquots 0.75 ml, 1.00 ml, 1.50 ml. 4.00 ml of 25 µg/ml ATC solutions in 5 ml volumetric flasks, 1.0 ml of 0.005 % BCG was added and diluted up to the mark with DMSO. They were shaken well for the uniform concentration. The absorbance of the resulting colored complex was measured at 631 nm against the corresponding blank solution.
Method D-PTC: BTB ion-pair complex
Aliquots of different dilutions (1.0, 1.5, 2.0, 2.5, 3.0, 3.5 and 4.0 ml) of 100 µg/ml PTC was transferred into a series of 5 ml volumetric flasks using a micro burette, then added 0.5 ml of 0.01 % BTB to each flask, diluted up to the mark with dimethyl sulphoxide and shaken well for uniform concentration. The absorbance of each solution was measured at 637 nm against the reagent blank prepared in a similar way without the addition of PTC.
Method E-PTC: BCP ion-pair complex
Aliquots of different dilutions (1.0, 1.5, 2.0, 2.5, 3.0, 3.5, 4.0 and 4.5 ml) of 100 µg/ml PTC were transferred into a series of 5 ml volumetric flasks using a microburette and 0.5 ml of 0.01 % BCP was added to each flask. They were diluted up to the mark with a 50:50 ratio of dimethylformamide and acetonitrile and shaken well for uniform concentration. The absorbance of each solution was measured at 601 nm against a reagent blank prepared in a similar way without the addition of PTC.
Method F-PTC: BCG ion-pair complex
Aliquots of different dilutions (1.0, 1.5, 2.0, 2.5, 3.0, 3.5 and 4.0 ml) of 25 µg/ml PTC solution were transferred into a series of 5 ml volumetric flasks using a micro burette and 1 ml of 0.01 % BCG solution was added to each flask. The mixture was diluted up to the mark with dimethyl sulphoxide and shaken well for uniform concentration. The absorbance of each solution was measured at 631 nm against a reagent blank prepared in a similar way without the addition of PTC.
In the developed methods, the linear graphs were drawn by plotting the absorbance versus concentrations of ATC or PTC. The concentration of unknown solutions was calculated by linear regression.
Procedure for the analysis of ATC/PTC in tablet dosage forms
Ten tablets, each containing 10 mg of ATC or 2 mg of PTC, were accurately weighted and crushed into a fine powder using mortar and pestle. A weight equivalent to 10 mg of the corresponding finely powdered drug tablet was transferred into 100 ml volumetric flask in DMSO for methods A-D, F and DMF for method E. The solutions were shaken thoroughly for about 20 min and diluted up to the mark with the respective solvents, again shaken well to get the uniform concentration. The filtrate was filtered using a Whatman No. 42 filter paper. The first 10 ml portions of filtrate were rejected and a suitable aliquot of the filtrate containing 100 µg/ml ATC or PTC was tested for the respective analysis. For methods B, C and F, 25 µg/ml solutions were diluted from the standard solution of 100 µg/ml.
Procedure for the selectivity study
The selectivity was tested by both placebo blank analysis and recovery studies using the developed methods for ATC and PTC. Placebo blank, commonly employed excipients added to the formulations, consisting of lactose monohydrate, low substituted hydroxypropyl cellulose, hypromellose, magnesium aluminometasilicate, magnesium stearate, and film coating containing the inactive ingredients like hypromellose, titanium dioxide, triethyl citrate and colloidal anhydrous silica was prepared and then subjected to the selectivity analysis. A synthetic mixture was prepared by adding 10 mg of pure ATC or PTC to the above-mentioned placebo blank and the mixture was homogenized. Following the same procedure for tablet analysis, the synthetic mixture solution was prepared and a suitable quantity was subjected to the analysis by the developed methods.
Procedure for Job’s method of continuous variation
The compositions of ATC/PTC and the reagents were determined by using Jobs methods of continuous variation. Equimolar solutions of both drugs and reagents in 1.86 × 10-4 M were prepared for methods A, D and E, whereas for methods B, C and F, 9.30 × 10-5M were used. A series of solutions were prepared in which the volume of statin drugs and reagents was kept as 3 ml and diluted up to the mark in 5 ml volumetric flask with the corresponding solvents. The various proportions (0:3, 0.5:2.5, 1:2, 1.5:1.5, 2:1, 2.5:0.5 and 3:0) were prepared and measured the absorbance values.






Fig. 2: Absorption spectra for methods (A-F)
Procedure for spiked human urine
10 ml of ATC/PTC free urine, which was collected from healthy volunteers, was taken in a 125 ml separating funnel and it was spiked with 15 ml of an aqueous solution containing 10 mg of pure ATC or 2 mg of pure PTC. To this solution, 5 ml of liquid ammonia followed by 20 ml of ethyl acetate was added. The contents were shaken for 20 min. The aqueous layer was discarded and the organic layer was collected in a beaker containing anhydrous sodium sulfate to remove the moisture. The water-free organic layer was transferred into a dried beaker and evaporated on a hot water bath. The dry residue was dissolved in 100 ml calibrated flask containing DMSO for methods A-D, F and DMF for method E separately. The solutions required for methods B, C and F were diluted from the solution obtained above. All these resulting solutions were analyzed following the given developed procedures.
Method validation
All developed methods were validated by linearity, sensitivity, precision, accuracy, robustness, ruggedness, recovery studies, according to the International Conference on Harmonization (ICH) guidelines [19].
Absorption spectra
The absorption spectra of the formed ion-pair complexes between ATC or PTC and each of BTB, BCP and BCG the at 190-1100 nm against the corresponding reagent blank. The different colored ion-pair complexes showed maximum absorbance at 637 nm for both ATC: BTB and PTC: BTB, 606 nm for ATC: BCP, 601 nm for PTC: BCP, 631 nm for both ATC: BCG and PTC: BCG, which was shown in the fig. 2. In all cases, a bathochromic shift occurred, i.e., shifted towards the longer wavelength from the shorter wavelength. These reactions were rapidly occurring at room temperature.
Optimization of reaction conditions
Preliminary tests were carried out for the formation of colored ion-pair complex, such as the effect of solvent nature, effect of reagent concentration, the effect of time and stability of the formed ion-pair complexes.
Effect of solvent nature
The first parameter which was carried out in the optimization of the reaction condition was the nature of the solvent. The reactions were carried out in DMSO, DMF, DCM, chloroform and acetonitrile. For methods A and D, DMSO showed the maximum wavelength at 637 nm whereas for methods B, C and F, it was at 606 nm, 631 nm and 631 nm. For method E, DMF: acetonitrile (1:1) showed the maximum absorbance at 601 nm. Therefore, DMSO, DMF and acetonitrile solvents were fixed for further investigation.
Effect of reagent concentration
The effect of the reagent’s concentration on the intensity of the color developed at selected wavelengths was studied by measuring the absorbance of solutions containing a fixed concentration of ATC and PTC (50 μg/ml for methods A, D; 15 µg/ml for methods B; 5 µg/ml for methods C; 30 µg/ml for methods E; 10 µg/ml for methods F) and different amounts of the respective reagents, 0.5 ml of 0.05 % BTB solution (method A), 0.5 ml of 0.005 % BCP (method B), 1 ml of 0.005 % BCG (method C), 0.5 ml from 0.01 % BTB (method D), 0.5 ml from 0.01 % BCP (method E) and 1.0 ml from 0.01 % BCG (method F) solutions were effective to produce maximum and reproducible color with minimum blank absorbance.
Effect of time and temperature
The effect of shaking time and temperature after the addition of reagents to drugs on the formation of the respective ion-pair complexes and its stability were studied by measuring the absorbance at increasing time and temperature intervals. The results showed that ion-pair complexes were formed almost instantaneously in all cases at room temperature (25±2 °C) even in 1.0 min shaking. The developed color complexes were stable for more than 24 h (i.e. no effect on the absorbance of the formed color complexes).
Stoichiometry composition of ion-pair complexes
The absorbance of forming ion-pair complexes in each composition was measured and plotted against the mole fraction of the drugs, which was shown in the fig. 3. The plot reached a maximum value at a molar ratio of ATC or PTC to reagents in the complexes was determined by applying Job’s method of continuous variations. In all cases, the plots reached a maximum value at a mole fraction of 0.3 which indicated the formation of 1:2 ion-pair complexes.
Association constants of ion-pair complexes
The association constants for the formed ion-pair complexes between ATC or PTC and the reagents were determined by using Benesi–Hildebrand equation where [BTB], [BCP], [BCG], [ATC] and [PTC] were the total concentration of the respective reagents and statin drugs. Ac is the absorbance of the complex, εc is the molar absorptivity of the ion-pair complex, and KIP is the association constant of the formed ion-pair complex. The values of KIP were obtained from the slope of lines by plotting [reagent]/Ac against 1/[ATC] or 1/[PTC] for all the developed methods. All the obtained plots were linear as shown in fig. 4.






Fig. 3: Job’s methods for the developed methods (A-F)






Fig. 4: Benesi-hildebrand plots for the association constants of the developed ion-pair complexes
Gibbs free energy (ΔG °) values were also computed from KIP values for the formed ion-pair complexes according to the relationship, ΔG° = −(RT) ln (KIP) where, KIP is the association constant of the formed ion-pair complex, R is the gas constant (8.314 J/mol K), and T is the temperature in Kelvin. Negative values of ΔG ° indicate that the reactions were spontaneous and thermodynamically favored, shown in table 2.
Table 2: Association constants for the developed ion-pair complexes
| Parameters | ATC: BTB | ATC: BCP | ATC: BCG | PTC: BTB | PTC: BCP | PTC: BCG |
| ΔG | ‒ 5.35×10-3 | ‒ 7.05×10-2 | ‒ 7.41×10-3 | ‒ 4.56 ×10-3 | ‒ 8.33×10-3 | ‒ 2.73×10-2 |
| KIP | 8.54 | 1.33 | 19.53 | 6.23 | 28.25 | 1.1153 |
| EIP | 1.9523 | 2.0522 | 1.9709 | 1.9523 | 2.0692 | 1.9709 |
| Ip | 3.5273 | 3.477 | 3.5884 | 3.5273 | 3.472 | 3.5884 |
Reaction mechanism
The ion-pair complexes were formed via electrostatic interaction between nitrogen moiety in ATC or PTC and oxygen moiety in the sulphonic acid group of the reagents.
Analytical characteristics of the developed methods
Under the optimum experimental conditions, linear correlations were obtained between the absorbance and concentration of ATC or PTC in the range of 50-65 μg/ml for method A, 12.5-20 μg/ml for method B and 3.75-20 μg/ml for method C, 20-80 μg/ml for method D, 20-90 μg/ml for method E and 5-20 μg/ml for method F by the method of least squares. In all developed methods, regression coefficients were 0.999 which indicated that excellent linearity was experimentally proved and shown in the fig. 7. The calculated slope and intercept values for the calibration data were described in table 3. Sensitivity parameters such as molar absorptivity and Sandell’s sensitivity values, LOD and LOQ were also evaluated [19].

Fig. 5: Mechanism of the formed ion-pair complexes between ATC and the reagents

Fig. 6: Mechanism of the formed ion-pair complexes between PTC and the reagents
Table 3: Summary of regression and analytical validation parameters
| Parameters | Method-A | Method-B | Method-C | Method-D | Method-E | Method-F |
| λmax max, nm | 637 | 606 | 631 | 637 | 601 | 631 |
| Beer’s law limits, µg/ml | 50-65 | 12.5-20 | 3.75-20 | 20-80 | 20-90 | 5-20 |
| Molar absorptivity (ε), L mol-1 cm-1 | 1.39 × 104 | 4.6 × 104 | 4.54 × 104 | 1.2 × 104 | 9.82 × 103 | 8.53 × 104 |
| Sandell sensitivitya, μg cm-2 | 8.01 × 10-8 | 2.40 × 10-8 | 2.45× 10-8 | 7.34 × 10-8 | 8.97 × 10-8 | 1.03 × 10-8 |
| Limit of detection, μg ml-1 | 9.30 | 10.04 | 2.96 | 9.30 | 10.04 | 2.96 |
| Limit of quantification, μg ml-1 | 28.17 | 30.43 | 8.98 | 28.17 | 30.43 | 8.98 |
| Regression equation, Yb | ||||||
| Intercept (a) | −1.9506 | −1.0689 | 0.1768 | −0.0435 | −0.0399 | 0.6041 |
| Slope (b) | 0.0425 | 0.0949 | 0.0321 | 0.0142 | 0.0115 | 0.0668 |
| Correlation coefficient | 0.9996 | 0.9999 | 0.9995 | 0.9996 | 0.9994 | 0.9999 |
| Standard deviation of intercept, a (Sa) | 0.028 | 0.009 | 0.005 | 0.0065 | 0.0067 | 0.0019 |
| Standard deviation of Slope, b (Sb) | 0 | 0.001 | 0 | 0.0001 | 0.0001 | 0.0001 |
aLimit of determination as the weight in µg per ml of solution, which corresponds to an absorbance of A= 0.001 measured in a cuvette of cross-sectional area 1 cm2 and l= 1 cm., bY = a+bX, where Y is the absorbance, a is the intercept, b is the slope and X is the concentration in µg/ml.






Fig. 7: Calibration plots for methods (A-F)
Accuracy and precision
Table 4 explained the intra-day (repeatability) and inter-day (intermediary) precision results as a percentage relative standard deviation (% RSD) and intra-day (on the same day) and inter-day (for five consecutive days) accuracy data as percent relative error (% RE) for the assay of statin drugs in pure form by the developed methods. The percentage RSD values were found to be ≤ 2.17 %, reflecting the usefulness of the methods in routine use, and % RE data was ≤ 0.96 % which also proofed the high accuracy and high precision results.
Table 4: Intra-day and inter-day precision and accuracy studies
| Developed methods | ATC/PTC taken (µg/ml) | Intra-day | Inter-day | ||||
| ATC/PTC founda (µg/ml) | % RSDb | % REc | ATC/PTC founda (µg/ml) | % RSDb | % REc | ||
| Method-A | 55.0 | 55.40 | 1.38 | 0.72 | 55.50 | 1.42 | 0.91 |
| 57.5 | 58.02 | 1.62 | 0.77 | 58.22 | 1.68 | 0.62 | |
| 60.0 | 59.89 | 1.74 | 0.40 | 70.12 | 1.85 | 0.67 | |
| Method-B | 13.75 | 13.12 | 1.24 | 0.60 | 13.10 | 1.28 | 0.40 |
| 16.25 | 16.20 | 1.51 | 0.48 | 16.26 | 1.58 | 0.64 | |
| 18.75 | 18.33 | 2.00 | 0.26 | 18.25 | 1.44 | 0.53 | |
| Method-C | 10.0 | 10.55 | 1.46 | 0.77 | 10.22 | 1.52 | 0.80 |
| 12.5 | 12.54 | 1.60 | 0.66 | 12.63 | 1.68 | 0.55 | |
| 15.0 | 15.82 | 1.37 | 0.57 | 15.60 | 1.44 | 0.69 | |
| Method-D | 30.0 | 30.10 | 1.42 | 0.33 | 30.15 | 1.47 | 0.50 |
| 50.0 | 50.10 | 1.59 | 0.20 | 50.12 | 1.61 | 0.24 | |
| 70.0 | 70.12 | 1.38 | 0.17 | 70.14 | 1.46 | 0.20 | |
| Method-E | 40.0 | 40.10 | 2.17 | 0.25 | 40.12 | 2.07 | 0.30 |
| 60.0 | 60.08 | 1.76 | 0.13 | 60.10 | 1.30 | 0.16 | |
| 80.0 | 80.05 | 2.08 | 0.06 | 80.01 | 1.42 | 0.12 | |
| Method-F | 07.5 | 07.55 | 1.33 | 0.66 | 07.56 | 1.41 | 0.80 |
| 12.5 | 12.59 | 1.48 | 0.72 | 12.62 | 1.52 | 0.96 | |
| 17.5 | 17.56 | 1.51 | 0.34 | 17.60 | 1.58 | 0.57 | |
aMean value of seven determinations, bRelative standard deviation (%), cRelative error (%); ATC used for methods A, B and C; PTC used for methods D, E and F.
Robustness and ruggedness
Robustness were assessed by using the standard solutions at three different concentrations of the reagents (n=3) in±0.2 ml variations at room temperature (25±2 °C). In order to demonstrate the ruggedness, the developed methods were evaluated by three different analysts applying the same developed procedures and also with three different spectrophotometer instruments by a single analyst in two laboratories. The % RSD with the altered reagent concentration was<1.94 % in pure drug which indicated that the absorbance value remained and unaffected. Regarding the evaluation of the ruggedness of the methods, % RSD of the inter-analysts were<2.09 %, whereas the inter-instrumental variation was<2.18 %. These low values of precision demonstrated the robustness and ruggedness of the developed methods shown in table 5.
Table 5: Robustness and ruggedness studies
| Developed methods | ATC/PTC taken (µg/ml) | Method robustness | Method ruggedness | |
| % RSD (n=3) | Inter-analyst (n=3) | Inter-instrument (n=3) | ||
| Method-A | 55.0 | 1.38 | 1.68 | 1.62 |
| 65.0 | 1.62 | 1.82 | 1.90 | |
| 75.0 | 1.74 | 1.85 | 1.93 | |
| Method-B | 13.75 | 1.24 | 1.54 | 1.78 |
| 16.25 | 1.51 | 1.62 | 1.69 | |
| 18.75 | 1.38 | 1.74 | 1.88 | |
| Method-C | 10.0 | 1.46 | 1.63 | 1.68 |
| 12.5 | 1.60 | 1.80 | 1.82 | |
| 15.0 | 1.37 | 1.89 | 1.81 | |
| Method-D | 30.0 | 1.53 | 1.52 | 1.65 |
| 50.0 | 1.68 | 1.69 | 1.78 | |
| 70.0 | 1.84 | 1.73 | 1.85 | |
| Method-E | 40.0 | 1.68 | 2.09 | 2.18 |
| 60.0 | 1.29 | 1.83 | 2.08 | |
| 80.0 | 1.89 | 1.78 | 1.98 | |
| Method-F | 07.5 | 1.60 | 1.63 | 1.59 |
| 12.5 | 1.78 | 1.80 | 1.82 | |
| 17.5 | 1.94 | 1.89 | 1.84 | |
Volumes of reagents used were 0.4 and 0.6 ml for BTB and BCP; 0.8 and 1.2 ml for BCG. ATC used for methods A, B and C; PTC used for methods D, E and F.
Tablet analysis
The results of the selectivity study confirmed that the developed methods were accurate and precise, even in the presence of various excipients. The analysis of synthetic mixture gave the percent recoveries ranged from 99.51-101.85 with a standard deviation of 0.91-1.83 in all the cases. From the results, it was clear that the inactive ingredients did not interfere with the analysis. For statistical comparison of the results of tablet analysis obtained by the developed methods with the reference methods, student’s t-test for accuracy and F-test for precision were applied to the experimental results. The results in table 6 showed that the Student’s t-and F-values at 95 % confidence level did not exceed the tabulated values of 2.57 and 5.05, which again confirmed that there was a good agreement between the results obtained by the proposed methods and the reference method [10, 14] with respect to accuracy and precision.
Table 6: Results of tablets analysis by the developed methods with the reference methods
| Tablet brandb | Nominal amount (mg) | Reference Method[10],c | Found % (of nominal amount±SD)a | ||
| Developed methods | |||||
| Method-A | Method-B | Method-C | |||
| Atorva | 10 | 97.24±1.50 | 100.06±0.86 | 100.25±1.19 | 99.99±1.66 |
| t=1.97 | t=1.52 | t=2.19 | |||
| F=3.87 | F=3.79 | F=4.28 | |||
| Tablet brandb | Nominal amount (mg) | Reference Method[14],c | Method-D | Method-E | Method-F |
| Pitvasta | 2 | 99.39±0.033 | 100.16±0.83 | 100.05±1.09 | 99.99±1.56 |
| t= 1.88 | t= 1,67 | t=2.11 | |||
| F=2.96 | F=3.55 | F=3.01 | |||
aMean value of five determinations, bManufactured by Zydus Medica (ATC), Zydus Cardiva (PTC), India, cTabulated t-value at the 95% confidence, level for four degrees of freedom is 2.57, Tabulated F-value at the 95% confidence level for four degrees of freedom is 5.05
Recovery studies
Table 7 explained recovery studies to determine accuracy and validity of the developed methods were carried out by a standard addition method. The pre-analyzed powdered tablet was spiked with pure ATC or PTC at three concentration levels and the total was determined by the developed methods. Each determination was repeated in three times. The recovery in the percentage of the pure drug was calculated as [(C1-C2)/C3] × 100, where C1 is the total statin drug concentration found, C2 is statin drug concentration in the tablet taken and C3 is the pure statin drug concentration added to the formulation. The percent recoveries of pure drugs ranged from 99.11-101.41 % with standard deviation of 1.08-1.92, indicated that the recovery was good and formulation did not interfere with the developed method.
Table 7: Accuracy assay by recovery experiments
| Developed methods | ATC/PTC in tablet (µg/ml) | Pure ATC/PTC added (µg/ml) | ATC/PTC found (µg/ml) | ATC/PTC recovereda percent±SD |
| Method-A | 40.0 | 15.0 | 55.20 | 101.33±1.68 |
| 40.0 | 25.0 | 65.10 | 100.40±1.48 | |
| 40.0 | 35.0 | 74.80 | 99.42±1.24 | |
| Method-B | 3.0 | 2.00 | 5.02 | 101.00±1.22 |
| 3.0 | 3.25 | 6.23 | 99.30±1.45 | |
| 3.0 | 4.50 | 7.51 | 100.22±1.38 | |
| Method-C | 4.0 | 2.25 | 6.23 | 99.11±1.64 |
| 4.0 | 3.50 | 7.54 | 101.14±1.44 | |
| 4.0 | 4.65 | 8.76 | 100.21±1.23 | |
| Method-D | 20.0 | 10.0 | 29.92 | 99.20±1.63 |
| 20.0 | 30.0 | 50.10 | 100.33±1.38 | |
| 20.0 | 50.0 | 70.60 | 101.20±1.19 | |
| Method-E | 30.0 | 10.0 | 39.98 | 99.80±1.72 |
| 30.0 | 30.0 | 60.12 | 100.40±1.89 | |
| 30.0 | 50.0 | 80.70 | 101.40±1.92 | |
| Method-F | 4.0 | 3.5 | 7.52 | 100.57±1.55 |
| 4.0 | 8.5 | 12.62 | 101.41±1.08 | |
| 4.0 | 13.5 | 17.48 | 99.85±1.59 |
aMean values of five determinations; ATC used for methods A, B and C; PTC used for methods D, E and F.
Validation of the developed methods in urine samples
The developed methods were further extended to the in vitro determination of ATC and PTC in human urine samples in the developed linearity range. A known volume of statin drugs was spiked into the urine samples prior to the developed analysis. The results of analysis of urine were summarized in table 8. The mean recoveries were in the range of 99.27–100.96 %. The obtained results clearly showed that the biological medium did not interfere with the absorbance. Overall, the developed methods were satisfactorily accurate and precise.
Table 8: Application of the developed spectrophotometric methods for the determination of ATC and PTC in urine samples
| Developed methods | Volume added (μg/ml) | Volume found (μg/ml) | Recovery (%)a |
| Method-A | 60.0 | 60.05 | 100.08 |
| Method-B | 15.0 | 14.89 | 99.27 |
| Method-C | 12.5 | 12.62 | 100.96 |
| Method-D | 50.0 | 50.10 | 100.20 |
| Method-E | 60.0 | 59.85 | 99.75 |
| Method-F | 12.5 | 12.45 | 99.60 |
aMean values of three determinations
The developed methods which established the feasibility of the use of visible spectroscopy using the three reagents BTB, BCP and BCG can be employed for the determination of atorvastatin calcium and pitavastatin calcium in pure and pharmaceutical dosage forms. The developed methods can be performed at room temperature and make use of simple reagents, economically cheap and less time consuming, which an ordinary analytical laboratory can afford. Moreover, the procedure does not involve any critical reaction conditions and no pH adjustment is required. The developed methods which can be used in routine analysis of statin drugs in quality control laboratories were statistically evaluated and results obtained are accurate, precise, sensitive and free from the interferences of other additives present in formulations.
All the author have contributed equally
Declared none
Lea AP, McTavish D. Atorvastatin: a review of its pharmacology and therapeutic potential in the management of hyperlipidaemias. Drugs 1997;53:828-47.
The United States Pharmacopoeia 37, NF 32. United States Pharmacopoeia Convention, Mack, Easton, PA; 2013. p. 1949.
Indian Pharmacopoeia, Government of India, The Ministry of Health and Family Welfare, the Indian Pharmacopoeia Commission, New Delhi; 2007. p. 749-1574.
Erk N. Extractive spectrophotometric determination of atorvastatin in bulk and pharmaceutical formulations. Anal Lett 2003;36:2699-711.
Frag EYZ, Mohamed GG, Gaber MH. Sensitive extractive spectrophotometric method for the determination of some statin drugs in pharmaceutical preparations. Insight Pharm Sci 2011;1:39-46.
Jadhav SD, Bhatia MS, Thamake SL, Pishawikar SA. Spectrophotometric methods for estimation of atorvastatin calcium form tablet dosage forms. Int J PharmTech Res 2010;2:1948-53.
Al-Adl SM, Abdel Aziz LM, Mohamed MAM. Spectrophotometric determination of atorvastatin calcium and rosuvastatin calcium in bulk and dosage form using p-dimethylaminobenzaldehyde. J Appl Pharm 2017;9:233.
Wani TA, Khalil NY, Abdel Rahman HM, Darwish IA. Novel microwell-based spectrophotometric assay for determination of atorvastatin calcium in its pharmaceutical formulations. Chem Cent J 2011;5:57.
Salwa Fares Rassi. Chemically modified carbon paste ion-selective electrodes for determination of atorvastatin calcium in pharmaceutical preparations. Anal Chem Res 2017;12:65-73.
Ashour S, Bahbouh M, Khateeb M. A novel use of oxidative coupling reactions for determination of some statins (cholesterol-lowering drugs) in pharmaceutical formulations. Spectrochim Acta Part A 2011;78:913-7.
Saradhi SV, Rao GD, Srinivasu P, Venkatesh BSS. Visible spectrophotometric assay for the determination of a lipid lowering drug in pharmaceutical dosage forms. J Pure Appl Microbiol 2007;1:313-5.
Nagaraju P, Pasumarthy, Gopal NV, Srinivas VDN, Padma SVN. Spectrophotometric methods for the determination of atorvastatin calcium in pure and it’s pharmaceutical dosage forms. Asian J Res Chem 2008;1:64-6.
Vamsi krishna M, Gowri Sankar D. Adaptation of color reactions for spectrophotometric determination of pitavastatin calcium in bulk drugs and in pharmaceutical formulations. Eur J Chem 2007;4:272-8.
Bernard S, Mathew M. Spectrophotometric method of estimation of atorvastatin calcium using sulfo-phospho-vanillin reaction. J Appl Pharm Sci 2012;2:150-4.
Ergin G, Caglar C, Onal A, Erturk Toker S. Spectrophotometric determination of 3-hydroxy-3-methylglutaryl coenzyme-a reductase inhibitors in pharmaceutical preparations. Turk J Chem 2013;37:171-81.
Virupaxappa BS, Shivaprasad KH, Latha MS. Spectrophotometric method for the determination of pitavastatin calcium. Asian J Res Chem 2010;3:643-5.
Virupaxappa BS, Shivaprasad KH, Latha MS. Novel spectrophotometric method for the assay of pitavastatin calcium in pharmaceutical formulations. Chem Sin 2011;2:1-5.
Goud SE, Krishnareddy V, Naresh Chandrareddy M. Development and validation of a reverse-phase liquid chromatographic method for determination of related substances of pitavastatin for 2 and 4 mg tablets. Int J Pharm Pharm Sci 2014;6:95-100.
International Conference on Hormonisation of Technical Requirements for Registration of Pharmaceuticals for Human Use, ICH Harmonised Tripartite Guideline, Validation of Analytical Procedures: Text and Methodology Q2(R1), Complementary Guideline on Methodology, London; 2005.