
1,2,3 Department of Pharmaceutics, College of Pharmacy, Qassim University, Buraidah, KSA, 4,5Pharm D Candidate, Pharmacy College, Qassim University, KSA
Email: dr_daliaahmed@hotmail.com
Received: 25 Nov 2019, Revised and Accepted: 02 Jan 2020
ABSTRACT
Objective: The therapeutic equivalence of generic brands is a great challenge for manufacturers. This study aimed to evaluate the bioequivalence of four different generic brands of atenolol tablets under biowaiver conditions.
Methods: Physiochemical properties of the tablet products namely uniformity of weight, hardness, disintegration, and drug content were assessed. The dissolution profiles of atenolol tablets were conducted in pH 1.2, 4.5, 6.8 and 7.6 buffers using USP dissolution apparatus II. Similarity and difference factors were calculated. Finally, four kinetic models have been offered to describe the release characteristics of atenolol under experiment conditions.
Results: All tablets showed accepted physiochemical characters. Dissolution profiles revealed that G2 showed the highest similarity to innovator (f2 91.86) in pH 7.6. Dissolution kinetics of G2 at the same pH could be best described as Higuchi model of release.
Conclusion: The study showed that excipients and manufacturing practices play an important role in marketing biowaiver generic products meet the international regulatory bodies criteria.
Keywords: Dissolution, Atenolol, Bioavailability, Biowaiver, Generic drugs, FDA
© 2020 The Authors. Published by Innovare Academic Sciences Pvt Ltd. This is an open-access article under the CC BY license (http://creativecommons.org/licenses/by/4.0/)
DOI: http://dx.doi.org/10.22159/ijap.2020v12i2.36477. Journal homepage: https://innovareacademics.in/journals/index.php/ijap
Proving similarity precisely in terms of efficacy and safety between innovator products and generic ones is an important step in granting authorization for marketing the generic products. Manufacturing variations including excipients, manufacturing process, types of equipment, work conditions and batches size can show variations in the bioavailability of the drug [1, 2]. In vivo bioavailability studies are amended for marketing the generic products [3]. Bioavailability studies conducted in animals or humans are time and money consuming [4, 5]. Today many regulatory authorities and organizations like the Food and Drug Administration (FDA) and the World Health Organization (WHO) accept wavier of in vivo bioequivalence studies using in vitro release dissolution data for immediate release oral solid dosage form for drugs from Biopharmaceutical Classification System (BSC) Class I and Class III drugs [1, 6-10]. Dissolution studies are easier, cheaper, less time consuming than in vivo studies in addition to its conduction in vitro, therefore it is an encouraging substitute to in vivo studies [11, 12]. Biowaiver studies are usually applied to approve that the safety and efficacy of two or more products are accepted based on confirmation of equivalence other than through in vivo testing [13-15]. It also permits the setting of the required conditions of the dissolution test [16, 17]. Atenolol is one of the cardio selective b-blocker drugs, which is widely used in the managing of hypertension, angina pectoris, cardiac arrhythmias, and myocardial infarction. It was listed as an essential medicine in the WHO model list of essential medicines [18]. On a Pharmaceutical base; Atenolol is classified as Class III drug; it can be defined as slightly soluble in water [19-21]. The solubility of atenolol was evaluated in different pH values; different solubility was shown at different pH media as reported by Vogelpoel H. in 2004 [22]. Many drugs in Class III have been reported as models for biowaiver studies [23, 24]. The study aimed to evaluate the bioequivalence of four different generic brands of atenolol tablets under biowaiver conditions, in vitro dissolution test were conducted for four generic products of atenolol immediate-release tablet in the market mentioned as G1, G2, G3 and G4 in comparison to innovator brand (Tenormin® 50) in four different pH media (1.2, 4.5, 6.4 and 7.5). In addition, four kinetic models Zero-order, First-order, Hixson-Crowell, and Higuchi model have been proposed to describe the release features of a drug from tablets formula under investigation conditions.
Materials
Reference Atenolol was a kind gift sample from (Tabouk Co., KSA). Four generic brands of atenolol 50 mg tablets (G1, G2, G3 and G4) and Innovator brand (IB) Tenormin®50 mg (AstraZeneca, United Kingdom) were purchased from a registered pharmacy. Hydrochloric acid (Loba Chemie Pvt. Ltd, India), acetic acid (BDH Chemicals LTD Poole, England), sodium acetate (BDH Prolanbo, England), potassium chloride (Avonchem limited, UK), potassium dihydrogen orthophosphate (Loba Chemie Pvt. Ltd, India), sodium hydroxide (May and Baker LTD, Bahenham, England), methanol (Sigma-Aldrich, USA).
Methods
Characterization of physiochemical parameters
Physiochemical properties of the tablet products namely uniformity of weight, hardness, disintegration test, and drug content were assessed according to United States Pharmacopeia [25].
Preparation of different buffer media
The buffer media used in the study (0.1N HCL and buffer pH 4.5, 6.8 and 7.6 were prepared based as mentioned in British Pharmacopoeia [26].
Ultraviolet scanning of atenolol in different pH media
Stock solutions of atenolol in methanol and the previously mentioned buffer media were scanned spectrophotometrically and the wavelength for maximum absorbance under experiment conditions was determined. The precision of the method was verified by inter-day and intra-day variation studies.
Preparation of standard calibration curves
Gradient atenolol standard concentrations ranged between 20 and 200 μg/ml were prepared from stock solutions and subjected to Ultra-violet spectrophotometric method at the predetermined maximum wavelength. Respective absorbances were recorded and lines of regression were plotted. The calibration made in methanol was used for content determination while that in 0.1N HCl, Buffer pH 4.5, 6.8 and 7.6 were used for the dissolution studies of the sample tablets.
Drug content assay
Ten tablets of each product were weighed to define the average weight. The tablets were powdered into a fine powder. The weight equivalent to 50 mg of atenolol was transferred to 100 ml volumetric flask, 100 ml of methanol was added and the solution was sonicated for 30 min. The resulting solution was filtered through Whatman filter paper 45 µm, and 2 ml of the filtrate was transferred to a 10 ml volumetric flask and diluted with methanol to 10 ml, 0.01% w/v of atenolol was obtained. The absorbance of the solution was measured by a UV/visible spectrophotometer and the concentrations of atenolol were determined from the calibration standard curve. The experiment was performed in triplicate for each brand; mean values and standard deviation were calculated [27].
Dissolution study
The dissolution profiles of atenolol tablets were assessed in 900 ml of 0.1NHCl and buffer pH4.5, 6.8 and 7.6 using an eight-station USP dissolution apparatus II (VK 7020 Vankel®, Canada). The temperature was kept as 37 °C±0.5 and 75 rpm. Five-milliliter samples were collected at predetermined time intervals 5, 10, 15, 30, 45 and 60 min. Five ml of fresh medium pre-warmed to 37 °C was replaced into dissolution medium after each sampling to maintain sink condition requirements. All samples were filtered using Whatman filter paper 45 µm and were assessed using a UV/VIS spectrophotometer at 273 nm. The experiment was carried out in triplicate and the mean values were plotted versus time. All results were stated as the percentage of the cumulative amount of drug released (%) as a function of time [28].
Analysis of data
The results of uniformity of weight, hardness, disintegration and drug content simple were analyzed and results were expressed as mean±standard deviation. The dissolution profile differences were assessed based on the similarity factor (f2) and the difference factor (f1) as:
(1)
f2; similarity factor and Rt and Tt are percent dissolved at each time point for reference and test products respectively. f2 Values of 50 or higher (50-100) confirm the similarity of the products.
(2)
f1 value of 0 to 15 confirms a slight difference between two products-Guidance, F. D. A, 2000 [7, 29].
Model dependent in vitro release characterization
Four kinetic models have been offered to describe the release characteristics of atenolol from different brands under experiment conditions [30-33].
Zero order:
(3)
Where Qt is the amount of drug released at time t, Q0 is the initial concentration of drug and k0 is the zero-order release rate constant. The cumulative amount of drug released was plotted versus time.
First order:
……. (4)
Where Qt is the amount of drug remaining as a solid-state at time t, Qo is the initial concentration of drug and k is the first-order release rate constant. The data obtained were plotted as log cumulative percentage of drug remaining versus time which would yield a straight line with a slope of–k/2.303.
Hixson-crowell model:
……. (5)
M0 is the initial amount of drug in the pharmaceutical dosage form, Mt is the remaining amount of drug in the pharmaceutical dosage form at a time‘t’ and κ is proportionality constant.
Higuchi model:
……. (6)
Where Qt is the amount of drug released in time t, and k is the Higuchi's release rate constant. The data obtained were plotted as cumulative percentage drug release versus square root of time.
RESULTS AND DISCUSSION
Physical characterization
Four generic brands G1, G2, G3, and G4 of atenolol immediate-release tablets were assayed in comparison to the innovator brand (IB). For tablet weight variation, friability, disintegration, hardness, and content tests, all products comply with the Pharmacopeial specification of immediate release dosage forms. Friability test showed that the highest loss in weight was 0.16 for G3. Tablets hardness was within the satisfactory limit (between 4.55–6.12 kg/cm2), the difference in tablet strength between the lowest (G3) and highest (IB) strength was 1.57 kg/cm2, this difference could be interoperated on the base of difference in weight between tablets which give them different ability to absorb crushing force. All generic tablets' strength showed a significant difference compared with the innovator at p-value<0.05. Although tablet strength is essential to withstand handling and packaging steps it should not affect the drug’s dissolution adversely. The tablets' uniformity of weight showed low variation (less than±3.0%). G2 weight was the lowest while G3 was the highest average weight (table 1).
Calibration curves plotting of atenolol in different pH media
Spectrums scan for Atenolol standard solution in four different pH mediums 1.2, 4.5, 6.8, and 7.6 were performed in a range between 200-400 nm. It showed a maximum wavelength absorption (λmax) at 273 nm for all media as shown in fig. 1.

Fig. 1: UV Spectrum scan for Atenolol standard in pH 6.8 medium
Linear equations in different media were shown as following:
R² = 0.9998 in 0.1N Hcl
R² = 0.9998 in 4.5 pH buffer media
R² = 0.9999 in 6.8 pH buffer media
R² = 0.9992 in 7.6 pH buffer media
Where y and x are the absorbance and the concentration respectively.
Table 1: Physicochemical characteristics of selected brands of atenolol tablets in comparison to IB
| Brand | Uniformity of weight (%) | Friability (%) | Disintegration | Hardness | Content assay (%) |
| G1 | 210.72±1.14 | 0.06 | 4.61±0.59 | 4.72±0.23 | 99.77±0.399 |
| G2 | 177.21±1.65 | 0.02 | 3.47±0.32 | 5.23±1.52 | 99.30±0.260 |
| G3 | 220.87±2.75 | 0.16 | 5.44±0.25 | 4.55±1.34 | 100.13±0.756 |
| G4 | 189.48±2.59 | 0.03 | 3.25±0.31 | 5.24±0.96 | 101.16±0.715 |
| IB | 210.065±1.98 | 0.03 | 2.39±0.12 | 6.12±1.22 | 100.69±4.23 |
Weights in mg, disintegration time in minutes, hardness in Kg/cm2, all results except friability expressed as mean±SD
Drug content assay
The content uniformity results are shown in table 1. All tablet samples were complying with pharmacopeial limits, i.e. the average drug content of all samples was within the range of 85% to 115% of the label statement.
Dissolution studies
The dissolution profiles are shown in fig. 2-5 in four dissolution medium at pH 1.2,4.5, 6.8, and 7.6. The statistical result of similarity factor (f2) and the difference factor (f1) is showed in table 2, the innovator brand was used as a reference. In hydrochloric acid buffer pH 1.2 all generic brands G1, G2, G3, and G4 met innovator requirement with similarity factor 64.90, 71.76, 69.69 and 55.99 respectively. The difference factors were 5.58, 3.46, 4.02, and 6.73 respectively but none of the brands including the innovator released more than 85% of API in 15 min. All the products meet the WHO requirement for class III bio wavier in acetate buffer pH 4.5 as all released more than 85% of API in 15 min while merely G2 crossed similarity factor f2=68.16. In contrast, the release of the drug in phosphate buffer pH 6.8 revealed that only G2 and G4 meet the WHO requirements. G1andG2 only showed a similarity factor of more than 50 ie. 58.25 and 59.15 respectively. The dissolution pattern of the IB, G2, G3, and G4 in phosphate buffer pH 7.6 is less than 66% in 60 min which indicates the poor release of API in slightly alkaline pH media. Only G1 released more than 85% of the drug in 30 min which may be due to the type of excipient and manufacturing process. From the results of dissolution profile in this study it observable that G2 is mostly similar to the innovator, and it released more than 85% of API in 15 min in buffer pH 6.8 and buffer pH4.5 and crossed similarity factor in all pH medium so it can be considered as bioequivalent with the IB under experiment conditions. The dissolution profiles of different products under investigation did not show a correlation between the strength and dissolution of tablets. ANOVA test results showed that different tablets had different strengths (p<0. 01). IB and G3 which had different strength values (table 1), had more than 85% of the drug released within 15 min. This is in well agreement with others finding that not only the manufacturing conditions but also formula factors, such as disintegrates and diluents types and quantity, play an important part in the breaking of tablet and dissolution profiles. Based on biowaiver study results, samples G1, G2, and G3 are not bioequivalent with the IB unless further an in vivo bioequivalent studies prove that. Also Reddy, N. H., et al., published that some but not all Acyclovir, Atenolol, and Ciprofloxacin Hydrochloride products met the biowaiver criteria [20]. Excipients and additives used in manufacturing tablets have great effects on their dissolution, therefore to achieve biowaiver according to regulatory rules, good manufacturing practice should be followed and careful selection of the excipients used is mandatory.
Table 2: Dissolution data comparison for G1, G2, G3, and G4 in comparison to IB in different pH media using similarity (f2) and difference factor (f1)
| Media/Sample | G1 | G2 | G3 | G4 |
| pH 1.2 | ||||
f2 f1 |
64.90 | 71.76 | 69.69 | 59.99 |
| 5.58 | 3.46 | 4.02 | 6.73 | |
| pH 4.5 | ||||
f2 f1 |
48.42 | 68.16 | 49.045 | 38.055 |
| 10.26 | 3.64 | 4.404 | 9.286 | |
| pH 6.8 | ||||
f2 f1 |
58.28 | 59.15 | 40.775 | 49.18 |
| 6.73 | 7.26 | 9.366 | 11.332 | |
| pH 7.6 | ||||
f2 f1 |
26.10 | 91.86 | 70.77 | 72.71 |
| 33.39 | 1.48 | 4.867 | 4.967 |
Model of in vitro release characterization
Various release models were applied to study the release kinetics and mechanism of drug release from different sample tables as shown in table 3 and fig. 6-9.
To study the dissolution kinetics and the mechanism of drug release for the five commercial brands of atenolol used in this study, four models were used, namely, Zero-order, Firs-order, Hixson-Crowell, and Higuchi models.
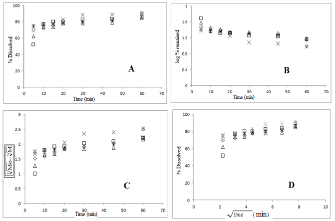
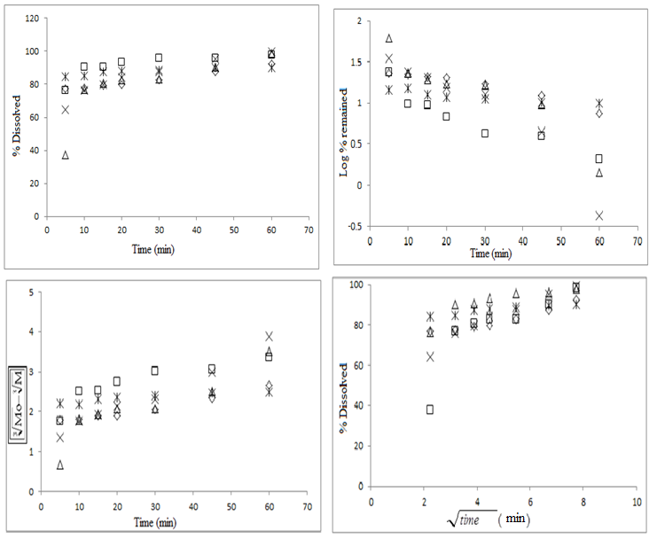
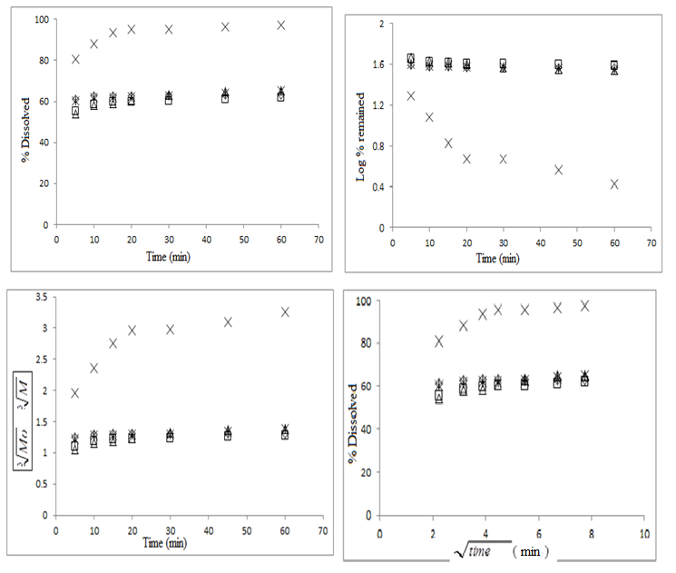
Table 3, showed that the dissolution kinetic of G2 at pH = 1.2 was best described by a zero-order equation with r2 equal to 0.965 and that the mechanism of release was best described by the Higuchi equation (r2= 0.942) which indicate that the release was diffusion controlled. By changing the pH of the dissolution medium, the dissolution kinetics for G2 was changed from zero-order to first-order kinetics at pH = 7.6 while the dissolution mechanism remained to be diffusion controlled. At pH 4.5 and 6.8, the mechanism of release was changed from a diffusion-controlled to dissolution controlled with an increase in the r2 values for the Hixson-Crowell model. G1 at pH 1.2 showed first-order kinetics and the mechanism of release was dissolution controlled while at pH 6.8 the dissolution mechanism was changed to diffusion control. The four models used in this study did not apply to the dissolution data obtained for G3 and G4 with r2 values less than 0.90 at all pH used in this study. The dissolution data for IB at pH 1.2 showed that the dissolution kinetics followed zero-order kinetics and the mechanism of drug release was diffusion controlled and that the change in the pH value from 1.2 to 6.8 and 7.6 was no change the dissolution kinetics as well as in the mechanism of release. Results revealed that the faster rate constant for all brands was at pH 4.5 and the slowest rate constant for all brands was at pH 7.6.

Fig. 2: Dissolution profiles of IB, G1, G2, G3 and G4 tablets at pH 1.2 dissolution medium (n=3±SD)

Fig. 3: Dissolution profiles of IB, G1, G2, G3 and G4 tablets at pH 4.5 dissolution medium (n=3±SD)

Fig. 4: Dissolution profiles of IB, G1, G2, G3 and G4 tablets at pH 6.8 dissolution medium (n=3±SD)

Fig. 5: Dissolution profiles of IB, G1, G2, G3 and G4 tablets at pH 7.6 dissolution medium (n=3±SD)

Fig. 6: Dissolution data at pH = 1.2 according to zero-order (A), First order (B), Hixson equation (C) and Higuchi equation (D), for IB (◊), G1 (X), G2 (ж), G3 (∆), and G4 (□)

Fig. 7: Dissolution data at pH = 4.5 according to zero-order (A), First order (B), Hixson equation (C) and Higuchi equation (D), for IB (◊), G1 (X), G2 (ж), G3 (∆), and G4 (□)

Fig. 8: Dissolution data at pH = 6.8 according to zero-order (A), First order (B), Hixson equation (C) and Higuchi equation (D), for IB (◊), G1 (X), G2 (ж), G3 (∆), and G4 (□)

Fig. 9: Dissolution data at pH = 7.6 according to zero-order (A), First order (B), Hixson equation (C) and Higuchi equation (D), for for IB (◊), G1 (X), G2 (ж), G3 (∆), and G4 (□)
CONCLUSION
Monitoring the generic product protects the patient from therapeutic failure and decrease the cost of the health care system. Biowaiver study is an easy and less time-consuming way for evaluating the equivalence of generic drugs to the innovator drug. The in vitro dissolution profile in our study showed that one generic brand has observable similarity with the innovator brand and it can be interchangeable with it. Excipients and manufacturing practice play an important role in marketing biowaiver generic drug products meet the international regulatory bodies criteria.
FUNDING
This research received no external funding.
All the authors have contributed equally.
The authors declare no conflict of interest.
Mishra V, Gupta U, Jain N. Biowaiver: an alternative to in vivo pharmacokinetic bioequivalence studies. Pharmazie 2010;65:155–61.
Kalantzi L, Reppas C, Dressman JB, Amidon G, Junginger HE, Midha KK, et al. Biowaiver monographs for immediate release solid oral dosage forms: acetaminophen (paracetamol). J Pharm Sci 2006;95:4–14.
Verbeeck RK, Junginger HE, Midha KK, Shah VP, Barends, DM. Biowaiver monographs for immediate release solid oral dosage forms based on a biopharmaceutics classification system (BCS) literature data: chloroquine phosphate, chloroquine sulfate and chloroquine hydrochloride. J Pharm Sci 2005;94:1389–95.
Potthast H, Dressman JB, Junginger HE, Midha KK, Oeser H. Biowaiver monographs for immediate release solid oral dosage forms: Ibuprofen. J Pharm Sci 2005;94:2121–31.
Kasim NA, Whitehouse M, Ramachandran C, Bermejo M, Lennerna H, Hussain AS, et al. Molecular properties of WHO essential drugs and provisional biopharmaceutical classification. Mol Pharm 2004;1:85–96.
Kortejarvi H, Yliperttula M, Dressman JB, Junginger HE, Midha KK, Shah VP, et al. Biowaiver monographs for immediate release solid oral dosage forms: ranitidine hydrochloride. J Pharm Sci 2005;94:1617–25.
FDA. Guidance for Industry: Waiver of in vivo bioavailability and bioequivalence studies for immediate-release solid oral dosage forms based on a biopharmaceutics classification system. US Food and Drug Administration, Center for Drug Evaluation and Research USA; 2000. Available from: http://www.fda.gov/cder/ guidance/3618fnl.pdf. [Last accessed on 10 Oct 2019].
WHO. Multisource (generic) pharmaceutical products: guidelines on registration requirements to establish interchangeability. Working document AS/04.093/Rev.4. World Health Organization; 2005. Available from: http://www.who.int/medicines/ services/expertcommittees/pharmprep/QAS04_093Rev4_final.pdf [Last accessed on 10 Oct 2019].
Yu LX, Amidon GL, Polli JE, Zhao H, Mehta MU, Conner DP, et al. Biopharmaceutics classification system: the scientific basis for biowaiver extensions. Pharm Res 2002;19:921–5.
Bergstrom CA, Luthman K, Artursson P. Accuracy of calculated pH-dependent aqueous drug solubility. Eur J Pharm Sci 2004;22:387–98.
Lindenberg M, Kopp S, Dressman JB. Classification of orally administered drugs on the world health organization model list of essential medicines according to the biopharmaceutics classification system. Eur J Pharm Biopharm 2004;58:265–8.
Wu CY, Benet LZ. Predicting drug disposition via application of BCS: Transport/absorption/elimination interplay and development of a biopharmaceutics drug disposition classification system. Pharm Res 2005;22:11–23.
The Merck Index. Version 12.1 on CD-ROM. Merck and Co., Whitehouse Station NJ, USA; 1996. p. 1151-63.
Nair A, Abrahamsson B, Barends DM, Groot DW, Kopp S, Polli JE, et al. Biowaiver monographs for immediate-release solid oral dosage forms: primaquine phosphate. J Pharm Sci 2012;101:936-45.
Hassan HA, Charoo NA, Ali AA, Alkhatem SS. Establishment of bioequivalence indicating dissolution specification for candesartan cilexetil tablets using a convolution model. Dissolution Technol 2015;36-45. Doi.org/10.14227/ DT220115P36.
Qureshi SA. In vitro-in vivo correlation (IVIVC) and determining drug concentrations in blood from dissolution testing–a simple and practical approach. Open Drug Delivery J 2010;4:38-47.
Blume EJ, Schug BS. The biopharmaceutical classification system (BCS): class III drugs-better candidates for BA/BE waiver? Eur J Pharm Sci 1999;9:117–21.
Nani P, Karina CR, Eilany M. The effect of co-processed super disintegrants ratio (crospovidone-sodium starch glycolate) to the physicochemical characteristics of atenolol orally disintegrating tablets. Asian J Pharm Clin Res 2018;11:318-24.
Hamad I, Arida A, Al-Tabakha M. Effect of the lubricant magnesium stearate on changes of the specific surface area of directly compressible powders under compression. Jordan J Pharm Sci 2015;8:21–33.
Reddy NH, Patnala S, Kanfer I. Investigation of biowaivers for immediate release formulations containing BCS III drugs, acyclovir, atenolol, and ciprofloxacin hydrochloride, using dissolution testing. AAPS PharmSciTech 2017;18:424-31.
Kumare MM, Marathe RP, Kawade RM, Ghante MH, Shendarkar RR. Design of fast dissolving tablet of atenolol using novel co-processed super disintegrants. Asian J Pharm Clin Res 2013;3:81-5.
Vogelpoel H, Welink J, Amidon GL, Junginger HE, Midha KK. Biowaiver monographs for immediate release solid oral dosage forms based on a biopharmaceutics classification system (BCS) literature data: verapamil hydrochloride, propranolol hydrochloride, and atenolol. J Pharm Sci 2004;93:1945–56.
Granero GE, Longhi MR, Junginger HE. Biowaiver monographs for immediate release solid oral dosage forms: furosemide. J Pharm Sci 2010;99:2544-56.
Dressman JB, Nair A, Abrahamsson B, Barends DM, Groot DW. Biowaiver monograph for immediate-release solid oral dosage forms: acetylsalicylic acid. J Pharm Sci 2012;101:2653-67.
United State Pharmacopoeia 24. United state pharmacopoeial convection. 4th edition. Pharmaceutical Press. London; 2003. p. 237-41.
British Pharmacopoeia Volume I and II. British Pharmacopoeia Commission. The stationery office limited, London; 2007. p. 249–67.
Rowe R, Sheske P, Weller P. Handbook of pharmaceutical excipients. In: Rockvilled MD. Asian edition; 2000. p. 843-65.
World Health Organization. Guidance on waiver of in vivo bioequivalence requirements. Available from: http://apps. who.int/medicinedocs/documents/s23056en/s23056en.pdf. [Last accessed 08 Sep 2019].
Costa P. An alternative method to the evaluation of similarity factor in dissolution testing. Int J Pharm 2001;220:77–83.
Costa P, Lobo J. Modeling and comparison of dissolution profiles. Eur J Pharm Sci 2001;13:123–33.
Higuchi T. Mechanism of sustained action medication. Theoretical analysis of the rate of release of solid drugs dispersed in solid matrices. J Pharm Sci 1963;52:1145–9.
Ritger RL, Peppas NA. A simple equation for the description of solute release. II. Fickian and anomalous release from swellable devices. J Controlled Release 1987;5:37–42.
Moore JW, Flanner HH. Mathematical comparison of dissolution profiles. Pharm Tech 1996;20:64–74.