
Department of Pharmaceutical and Toxicological Chemistry, Peoples Friendship University of Russia (RUDN University), 6 Miklukho-Maklaya St, Moscow, 117198, Russian Federation
Email: tvplet@mail.ru
Received: 03 Dec 2019, Revised and Accepted: 29 Jan 2020
ABSTRACT
Objective: Investigate the mechanisms of L-ascorbic acid transforтmation and formation of coloured enamines in N, N-dimethyl-formamide solutions.
Methods: An automatic polarimeter Atago POL-1/2 was used for polarimetric investigation. Electronic spectra were recorded by UV-spectrometer Cary 60 (Agilent). The statistical analysis was carried out using the OriginPro 9.1 packages.
Results: The Biot’s law violation was found in below 0.1% solutions of L-ascorbic acid (AA) in N, N-dimethylformamide (DMF). During the day, the specific rotation
of 1% AA solution varied from+37 to-1.0. Gradually, the solution acquired the red colour, and its intensity depended on the AA concentration. Spectrophotometrically, it was shown that after 15 min AA was absent in the n·10-3% solutions. The decomposition followed the first-order kinetics (k1=1.83·10-2с-1). At the same time, new absorption bands appeared at 273, 390, 533 nm. Model solutions containing dimethylamine (DMA) had a similar spectrum, and the intensity of the absorption bands increased in proportion to the concentration of DMA.
Conclusion: The results show that the first step in the decomposition of ascorbic acid AA in DMF follows first-order kinetics. Numerous decomposition products are optically active compounds and reverse the sign of the optical rotation of the solution. The water resulting from the decomposition of AA is involved in the hydrolysis of the solvent. The hydrolysis product, the secondary amine DMA, interacts with the carbonyl groups of the AA decomposition products to form coloured enamines. Magnesium (II) accelerates the formation of coloured products.
Keywords: Ascorbic acid, Dicyclic monomer, Dimer DHA, N, N-dimethylformamide, Dimethylamine, Enamines
© 2020 The Authors. Published by Innovare Academic Sciences Pvt Ltd. This is an open-access article under the CC BY license (http://creativecommons.org/licenses/by/4.0/)
DOI: http://dx.doi.org/10.22159/ijap.2020v12i2.36705. Journal homepage: https://innovareacademics.in/journals/index.php/ijap
About 25% of the world's total N, N-dimethylformamide (DMF) is used in pharmacy [1]. So, in the pharmaceutical industry, DMF is used as a solvent in the production and analysis of drugs such as hydrocortisone acetate, dihydrostreptomycin sulfate, amphotericin A, griseofulvin and several others.
A large series of studies is devoted to the analysis of drugs containing a primary amino group in the presence of ascorbic acid (AA) in different solvents. Among them, in particular, such pharmaceutical substances and finished dosage forms as lisinopril [2], aminocaproic acid [3], penicillins and cephalosporins [4], including ampicillin and amoxicillin [5]. The electronic spectra of solutions of the products of the AA interaction with biologically active compounds have two absorption bands with maxima at 390 and 530 nm [6, 7]. The authors interpret the mechanisms of the formation of coloured products as a result of the condensation of the primary amino group with the carbonyl groups of dehydroascorbic acid (DHAA). The catalysis of the process by metal cations — bismuth (III) and scandium (III) has also been reported [8]. Despite the widespread use of AA in the synthesis and analysis of pharmaceutical substances containing primary amino groups, the authors do not discuss the features of AA oxidation in DMF and the possibility of the solvent hydrolysis to N, N-dimethylamine (DMA). The formation of coloured compounds in a solution of AA in the presence of secondary amines in DMF is not described in the literature.
The article is devoted to elucidating the role of ascorbic acid in the appearance of colour solutions in DMF in the absence of pharmaceutical substances of the amines class. As it was discovered DMA as the product of DMF hydrolysis [9], is the only possible source of the coloured enamine formation. It is formed as a by-product from hydrolysis by trace amounts of water during AA degradation [1]. Hard acids, for example, Mg2+cations, should contribute to DMA formation [10]. Thus, the objective of this article is to investigate the mechanisms of L-ascorbic acid transforтmation and the formation of coloured enamines in DMF solutions.
Materials
L-ascorbic acid, N, N-dimethylformamide, dimethylamine hydro-chloride and magnesium chloride were obtained from Sigma-Aldrich.
Methods
The optical activity was determined using the Atago POL-1/2 polarimeter (https://www. atago. net/en/company-aboutus. php, Japan), in a 100 mm cell, the measurement accuracy of±0.002 ° and the resolution of 0.0001°. The electronic Peltier module was used for setting the required temperature (T=20 °C).
UV spectra were recorded using an Agilent Cary 60 Spectrometer (https://www.agilent.com/en/products/uv-vis-uv-vis-nir-systems/cary-60-uv-vis).
Statistics
Each experiment was performed repeatedly. Results are presented as the mean±SD. Statistical analysis of all data was performed by Origin Pro 9.1.
Due to the polarity of DMF molecules, it was of interest to study the initiation of optical activity in solvent associates under the influence of chiral substances, as was found for giant heterogeneous water clusters [9–12]. It turned out that in the region of low concentrations (≤0.1%), the specific optical activity of L-ascorbic acid solutions in DMF drops sharply (fig. 1). In the practice of pharmaceutical analysis of substances, it is not possible to identify a violation of Biot’s Law, since pharmacopoeia methods of polarimetric quality control involve the use of more concentrated solutions (2-10%) [13-15].

Fig. 1: Violation of Biot’s law: inconstancy of specific optical rotation
in DMF solutions of ascorbic acid immediately after preparation. Insert–the increase in the angle of optical rotation with increasing concentration of ascorbic acid. mean±SD (n= 5)
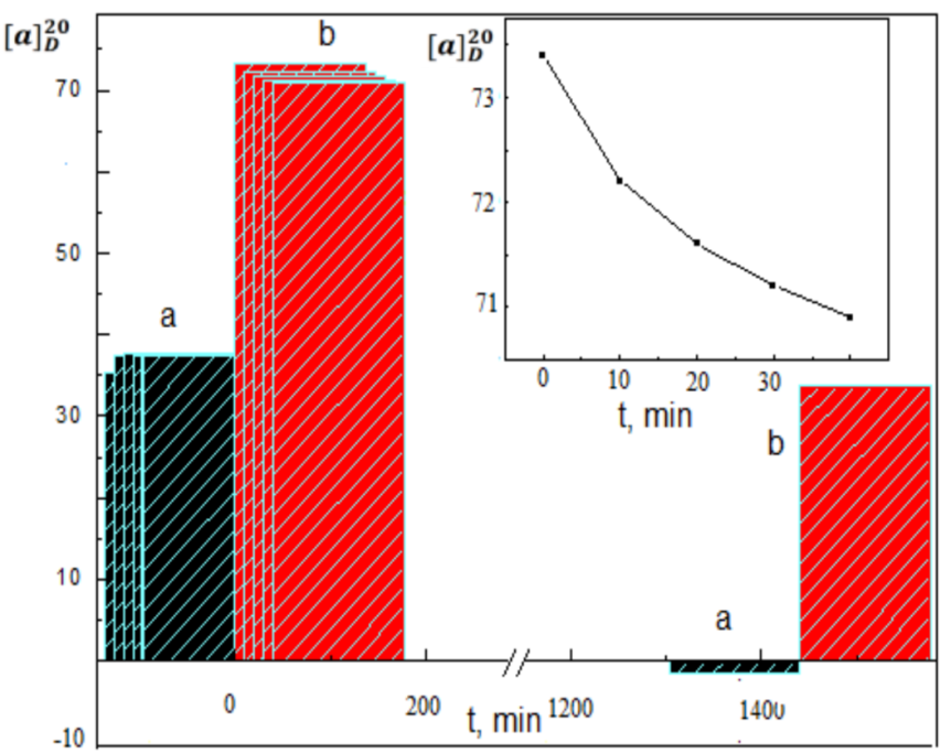
The change in optical rotation over time was found for more concentrated AA solutions (fig. 2). For example, the specific optical rotation of 1% AA during the first hour remained stable and had a positive value (
=+37.5±0.8). But in a day, the sign changed to the opposite (
=-1.6±0.9). The addition of magnesium salt into the test solution (
led to an increase in optical activity, which gradually decreased already from the first minutes of measurements. Measurements of α were carried out during the first hour and after 24 h. In the presence of Mg(II), the angle of optical rotation of the AA solution in DMF remained positive during the day.

Fig. 2: Daily kinetics of specific optical rotation of 1% ascorbic acid solution in DMF without the addition of catalyst–a and in the magnesium chloride presence–b. Insert–the change in specific optical rotation of the solution (b) during the first 40 min. mean±SD (n= 5)
Thus, the observed violation of the Biot law is explained by the instability of optically active AA in DMF. The kinetics of the optical rotation of solutions indicate a multistage mechanism of AA degradation with the formation of optically active products.
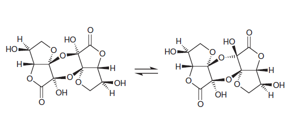
Indeed, according to NMR studies in DMF, AA is converted to the dimeric form of DHA [16-19]. The key point of the multistage dimerization process is the formation of a second five-membered ring, similar to the furanose ring of carbohydrates [20].
It should be noted that the DHA dimer is an optically active compound with a large number of chiral centres (N = 8). The symmetric dimer is in equilibrium with the asymmetric anomer having other chiral characteristics (fig. 3). Optical activity is also exhibited by dimer decomposition products, for example, hydrated monomer, numerous radical particles, and other compounds [21].
Thus, the observed sharp change in the optical activity of AA in a DMF solution is explained by its degradation by the formation of numerous chiral compounds.
To further study the behaviour of AA in DMF, the electronic spectra of solutions were recorded over time (fig. 4, table 1).

Fig. 3: Anomers of the dehydroascorbic acid dimer

Fig. 4: The kinetics of ascorbic acid degradation in DMF–a, in DMF with Mg(II) (С=3·10-3%): 1-0 min, 2-1 min, 3–3 min,4–5 min, 5-7 min, 6–10 min, 7–15 min
Table 1: Ascorbic acid degradation rate constants in DMF
| № | С*103,% | k1×102 s-1 |
| 1 | 1.61 | 1.7±0.2 |
| 2 | 2.03 | 2.13±0.12 |
| 3 | 2.41 | 1.6±0.13 |
| 4 | 3.03 | 1.83±0.18 |
| 5 | 3.45 | 1.9±0.12 |
| Average value of the rate constant | k1=(1.83±0.02)·10-2 s-1 |
mean±SD (n= 5)
As can be seen, AA has significantly less stability in DMF than in water, where its degradation has not minute but daily kinetics [22]. This is consistent with data for other organic solvents [23].
The absorption band of AA in DMF solutions (λmax = 270 nm) is asymmetric and decreases with time. After 15 min, its intensity decreases to almost zero, and the asymmetry increases. In this case, an unstable absorption band with a maximum of 255 nm appears in the short-wavelength region.
For five solutions with concentrations in the same order n·10-3%, the rate constants for the AA decomposition in DMF were calculated. Straight lines were obtained in a semi-logarithmic coordinates "lnA-t". The results showed that the decomposition followed the first-order reaction. The AA conversion rate constants presented in the table probably correspond to the formation of the second five-membered AA ring (fig. 5), the precursor of the DHAA dimer [20, 21].

Fig. 5: The formation of the second five-membered ring of ascorbic acid
The obtained values of the first-order rate constant indicating that the half-time of AA into the bicyclic monomer
does not depend on its initial concentration. This result made it possible to use more concentrated solutions for research.
The addition of magnesium chloride in a molar ratio
led to an increase in optical density (fig. 4). The change in absorption occurred at a lower rate than in the absence of magnesium (II). It is likely that AA degradation in the presence of Mg(II) proceeds according to completely different mechanisms. This may be due to the impossibility of the formation of the second five-membered AA ring due to the blocking by the coordination bond of the hydroxyl group at the C3 atom [20, 24]. Thus, AA in the presence of Mg(II) is less prone to degradation, which is consistent with the results of polarimetry.
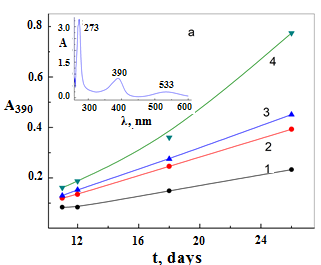
For some time after the preparation of AA solutions, a red colour appeared, the intensity of which gradually increased and depended on the concentration of AA, as well as on the presence of MgCl2 (fig. 6).

Fig. 6: The change in the optical density of solutions in DMF at 390 nm and 533 nm depending on the ascorbic acid concentration: in the absence of catalyst during 25 d–a (С%: 0.42-1; 0.85-2; 1.07-3; 1.22-4); with magnesium chloride in 6 d–b. Insert-the electronic spectrum of the solution №4. mean±SD (n= 5)
The addition of a magnesium salt to the AA solution accelerated the appearance of the colour. For example, in a 0.4% solution, the intensity of the absorption band with a maximum at 390 nm reached 0.6 after 6 d, while in the absence of Mg (II) the absorption remained close to zero even for 12 d.
The electronic spectra of the solutions in which the red colour was formed had three absorption bands of different intensities with maxima at 273 nm, 390 nm, and 533 nm. Due to the revealed degradation kinetics, the absorption band at 273 nm could not correspond to AA.
It is known [1, 25, 26] that in the presence of trace amounts of water, DMF slowly hydrolyzes to form dimethylamine:
HCON (CH3)2+H2O = (CH3)2NH+HCOOH
The source of water required for the hydrolysis of DMF may be the oxidation reaction of AA
2C6H8O6+O2 = C12H12O12+2H2O,
As well as the second five-membered AA ring, preceding the formation of the DHA dimer (fig. 5).
The detected effect of magnesium salt on the formation of the colour of solutions can be related to the influence of the Mg2+ion on the rate of DMF hydrolysis. According to the HSAB theory [26], a magnesium ion as a hard acid form strong bonds with a rigid base-formate ion. In this case, the equilibrium of hydrolysis is shifted towards the reaction products and the amount of DMA increases. This explanation is confirmed by the fact that the addition of copper(II) and zinc(II) salts did not affect the reaction rate since the soft acids Cu2+ and Zn2+ did not form strong bonds with the carboxyl group of formic acid.

Fig. 7: Electronic spectra of DMA·HCl solutions in the presence of AA (1%) in DMF, 24 h after mixing the reagents in molar ratios of
: 1-4: 1, 2-7: 1, 3-10:1
To confirm this hypothesis and find out the nature of the band at 273 nm, a series of experiments was carried out. Different amounts of DMA· HCl were introduced into the solution with a constant concentration of AA (fig. 7).
Absorption bands did indeed appear at 273 nm, 390 nm, and 533 nm in the solutions. In this case, the intensity of all three absorption bands increased in proportion to the DMA content in the solution. Thus, it was proved that the formation of a coloured product occurred with the participation of DMA.
The resulting secondary amine interacts with carbonyl groups of various AA degradation products [27], with the formation of enamines:

The mechanism of enamines formation with DMA participation can be presented in five stages (table 2).
The resulting enamines exist in the form of resonance structures:

The presence of enamines mesomers enhances the solution colour [28].
The degradation of ascorbic acid in aqueous solutions has been studied in sufficient detail [29], but information on its behavior in organic solvents is limited. The study of the participation of AA dissolved in DMF in the formation of a secondary amine with its subsequent interaction with the carbonyl groups of AA decomposition products is difficult to overestimate [30]. The processes described in the article can occur during the synthesis of pharmaceutical substances, their quality control and in lipophylic sites in vivo. Vitamin C in the human organism can undergo degradation by mechanisms different from the aquatic environment [25, 31]. In mammals, the non-enzymatic interaction that binds amines with carbonyl groups of various compounds (Maillard reaction) can lead to the formation of multicomponent mixtures of various chiral products. For example, in humans, diabetes complication is associated, inter alia, with the interaction of glucose carbonyl groups with amino groups of proteins [30].
Table 2: Reaction mechanism between dimethylamine and carbonyl groups of the products of ascorbic acid degradation
| Reaction stage | Mechanism |
|
![]() |
|
![]() |
|
![]() |
|
![]() |
|
![]() |
The results show that the first step in the decomposition of ascorbic acid in N, N-dimethylformamide follows first-order kinetics. Numerous decomposition products are optically active compounds and reverse the sign of the optical rotation of the solution. The water resulting from the decomposition of AA is involved in the hydrolysis of the solvent. The hydrolysis product, the secondary amine DMA, interacts with the carbonyl groups of the AA decomposition products to form coloured enamines. Magnesium (II) accelerates the formation of coloured products.
The publication has been prepared with the support of the “RUDN University Program 5-100”.
All the authors have contributed equally
The authors declare that there is no conflict of interests.
Marsella JA. Kirk-Othmer encyclopedia of chemical technology. Dimethylformamide. New York: John Wiley and Sons; 2003.
Rahman N, Singh M, Hoda MN. Optimized and validated spectrophotometric methods for the determination of lisinopril in pharmaceutical formulations using ninhydrin and ascorbic acid. J Braz Chem Soc 2005;16:1001-9.
Adam MA, Shantier SW, Alfangari SA, Gadkariem EA. Development of a spectrophotometric method for the assay of aminocaproic acid in dosage forms using ascorbic acid. Chem Sci Trans 2015;4:478-82.
El-Obeid HA, Gad-Kariem EA, Al-Rashood KA, Al-Khamees HA, El-Shafie FS, Bawazeer GAM. A selective colourimetric method for the determination of penicillins and cephalosporins with α-aminoacyl functions. Anal Lett 1999;32:2809–23.
El-Shafie FS, Gad-Kariem EA, Al-Rashood KA, Al-Khamees HA, El-Obeid HA. Colourimetric method for the determination of ampicillin and amoxicillin. Anal Lett 1996;29:381-93.
Hayashi T, Terao A, Ueda S, Namiki M. Red pigment formation by the reaction of oxidized ascorbic acid and protein in a food model system of low moisture content. Agric Biol Chem 1985;49:3139-44.
Larisch B, Pischetsrieder M, Severin T. Reactions of dehydroascorbic acid with primary aliphatic amines including nr-acetyllysine. J Agric Food Chem 1996;44:1630-4.
Zhang Y, Xie S, Yan M, Ramström O. Dynamic covalent chemistry of aldehyde enamines: Bi(III)-and Sc(III)-catalysis of amine-enamine exchange. Chem Eur J 2017;23:11908-12.
Juillard J. Dimethylformamide: purification, tests for purity and physical properties. Pure Appl Chem 1977;49:885-92.
Trotta F, Mele A. Nanosponges synthesis and applications. Weinheim: John Wiley and Sons; 2019.
Syroeshkin AV, Pleteneva TV, Uspenskaya EV, Levitskaya OV, Tribot-laspiere MA, Zlatsky IA. Polarimetric research of pharmaceutical substances in aqueous solutions with different water isotopologues ratio. Int J Appl Pharm 2018;10:243-8.
Green MM, Reidy MP, Johnson RD, Darling G, O’Leary DJ, Willson G. Macromolecular stereochemistry: the out-of-proportion influence of optically active comonomers on the conformational characteristics of polyisocyanates. The sergeants and soldiers experiment. J Am Chem Soc 1989;111:6452-4.
Van Dijken DJ, Stacko P, Stuart MCA, Browne WR, Feringa BL. Chirality controlled responsive self-assembled nanotubes in water. Chem Sci 2017;8:1783-9.
Goncharuk VV, Syroeshkin AV, Pleteneva TV, Uspenskaya EV, Levitskaya OV, Tverdislov VA. On the possibility of chiral structure-density submillimeter inhomogeneities existing in the water. J Water Chem Technol 2017;39:319-24.
European Pharmacopoeia 8.0 V.1-2. Strasbourg: Council of Europe; 2014.
U. S. Pharmacopoeia 40-National Formulary 35. USA; 2017.
Japanese Pharmacopoeia. 17th ed. Japon; 2016.
Hvoslef J, Pedersen B. The structure of dehydroascorbic acid in solution. Acta Chem Scand B 1979;33:503-11.
Hvoslef J, Pedersen B. Structure of dehydroascorbic acid isomers in solution. Carbohydr Res 1981;92:9-20.
Hvoslef J, Hope H, Murray BD. On the stability of symmetric dimers of dehydroascorbic acid: a study of the esters in the crystalline and the solute state. Carbohydr Res 1986;147:11-9.
Parfenov EA, Zaikov GE. Biotic type antioxidants: the prospective search area for novel chemical drugs. London: TaylorandFrancic Group; 2000.
Kerber RC. As simple as possible, but not simpler-the case of dehydroascorbic acid. J Chem Educ 2008;85:1237-42.
Tu YJ, Njus D, Schlegel HB. A theoretical study of ascorbic acid oxidation and HOO˙/O2˙-radical scavenging. Org Biomol Chem 2017;15:4417-31.
Syroeshkin AV, Pleteneva TV, Uspenskaya EV, Levitskaya OV, Barsegyun SS, Zlatsky IA, et al. The effect of thermal sterilization and excipients on the stability of ascorbic acid in aqueous solutions. Int J Appl Pharm 2019;11:313-6.
Toral MI, Lara N, Richter P, Tassara A. Simultaneous determination of ascorbic acid and acetylsalicylic acid in pharmaceutical formulations. J AOAC Int 2001;84:37-42.
Tajmir Riahi HA. Coordination chemistry of vitamin C. Part I. Interaction of L-ascorbic acid with alkaline earth metal ions in the crystalline solid and aqueous solution. J Inorg Biochem 1990;40:181-8.
Enders D, Schaumann E. editors. Science of Synthesis: Houben-Weyl Methods of Molecular Transformations. Vol. 40a. New York: Thieme; 2014.
Christie R. Colour chemistry. Cambridge: Royal Society of Chemistry; 2001.
Klu MW, Addy BS, Oppong EE, Sakyi ES, Mintah DN. Effect of storage conditions on the stability of ascorbic acid in some formulations. Int J Appl Pharm 2016;8:26-31.
Ledl F, Beck J, Seng M, Osiander H, Estendorfer S, Severin T, et al. Chemical pathways of the malliard reaction. Prog Clin Biol Res 1989;304:23-42.
Hsu HY, Tsai YC, Fu CC, Wu JSB. Degradation of ascorbic acid in ethanolic solutions. J Agric Food Chem 2012;60:10696-701.