
Section of Pharmaceutical Technology, School of Health Sciences, National and Kapodistrian University of Athens, Zografou 15784, Athens, Greece
Email: asiamidi@pharm.uoa.gr
Received: 13 Apr 2020, Revised and Accepted: 25 May 2020
ABSTRACT
Objective: The aim of the present work was to develop new solid pharmaceutical delivery systems of mesalazine (5-aminosalicylic acid, 5-ASA) for its colon targeted release.
Methods: Four different types of tablets of the same consistency (matrix and three-layered, with 5-ASA and dextran or pectin as excipients) were placed in a hard gelatin capsule. The 5-ASA release behavior from these formulations was compared to the release of the commercially available Asalazin® in three pH aqueous media in the presence of enzymes.
Results: The produced tablet formulations conformed to the Pharmacopoeia standards. The results showed delayed-release (<10%) during the first two hours, in acidic media (pH 1.5), and modified-release thereafter (pH 6 and 7.4). When dextran was used, the drug release showed more extended-release characteristics, in comparison to pectin formulations, due to the formation of a thicker hydrogel.
Conclusion: The new dosage forms could serve as a per os administration alternative dosage form for the delayed release of mesalazine to the colon
Keywords: Mesalazine, Delayed release, Pectin, Dextran, Tablets-in-capsule, Pectinex® Ultra SPL
© 2020 The Authors. Published by Innovare Academic Sciences Pvt Ltd. This is an open access article under the CC BY license (http://creativecommons.org/licenses/by/4.0/)
DOI: http://dx.doi.org/10.22159/ijap.2020v12i4.37816. Journal homepage: https://innovareacademics.in/journals/index.php/ijap
INTRODUCTION
Irritable bowel syndrome (IBD) is a group of inflammatory conditions mostly specified in the intestinal area. Crohn's disease (CD) and Ulcerative colitis (UC) are the two most common forms of IBD, which affect millions of people worldwide. Even though UC and CD are two different diseases, they may have similar symptoms, such as abdominal pain, rectal bleeding and diarrhea. Their exact causes remain uncertain, but research suggests that the disease involves various genetic abnormalities, imbalance in intestinal microflora and environmental factors (lifestyle, stress levels, etc.) [1, 2].
Mesalazine (5-aminosalicylic acid, 5-ASA) is a drug substance with anti-inflammatory activity, used as the first-line drug treatment for the management of CD and UC. The exact mechanism of 5-ASA is not defined, but theory suggests that its anti-inflammatory properties are related to the therapeutic effect at the colon area [3]. Research indicates that 5-ASA exerts its effect locally in the inflamed colonic mucosa and not through systematic absorption. Long-term usage of 5-ASA may be accompanied with adverse effects, such as drug intolerance and hypersensitivity. Furthermore, the 5-ASA’s electronic features are altered in the stomach, due to the acidic pH, and therefore, it becomes therapeutically inefficient in the targeted colon site [4] (Campregher, Gasche, 2011). In view of this, researchers are designing novel orally administered 5-ASA formulations, using various excipients that delay the drug release to the targeted area. 5-ASA colon delivery systems can be achieved by various approaches; chemical modification of the drug molecule for prodrug production [5-10], but also pH/time dependent formulations and bacterial degradation [11-15], as a single unit or multiparticulate dosage forms [16-19].
Scientists use multiparticulate dosage forms in order to control the 5-ASA’s release. These pharmaceutical dosage forms, such as pellets and tablets that are further compressed into larger tablets or inserted to capsules, have many advantages, including less inter-and intra-variability and a higher degree of dispersion in the gastrointestinal tract [20, 21]. Multilayer tableting is another approach of drug release modification; multilayer tablets can be consisted of the same or different active pharmaceutical ingredient(s) and/or excipient(s) in each layer, and therefore, provide modified release kinetics. Drug release modification may also be attained by using various polymers [22, 23]. The hydrophilic polymeric excipients take up water, on exposure to aqueous media, and swell to form a gel layer. Using hydrogels, the drug release is controlled by diffusion barriers and surface erosions, depending on the polymeric network structure [24].
When studying drug release in the intestinal area, it is of great importance to mimic the colon area micro-environment. Therefore, buffer solutions containing enzymes that are usually present in the gastrointestinal tract, are used. Many researchers have previously used enzymatic dispersions in dissolution tests in various concentrations; 86600PG/l [25], 44200PG/l [26], 61800PG/l [27, 28], 45600 PG/l [29].
As already mentioned, the objective of the present work is to formulate new delivery systems of 5-ASA for colon targeted release based on the combination of time and bacterial degradation approaches, using capsules filled with tablets. The tablets were composed either of layers or of physical mixtures of excipients (dextran or pectin) and 5-ASA.
MATERIALS AND METHODS
Materials
5-ASA, dextran (from Leuconostoc mesenteroides, av. MW: 5x106-40x106) and pectin were obtained from Sigma-Aldrich Chemie GmbH, Steinheim, Germany. The commercially available drug Asalazin®, 500 mg enteric-coated tablets (Medichrome S. A., Athens, Greece), was obtained from a community pharmacy store. Pectinase from Aspergillus aculeatus (Pectinex® Ultra SP-L) was donated by Novo Nordisk Hellas Ltd, Athens, Greece.
Methods
Formulations’ preparation
Multilayer and matrix tablets (6.5 mm diameter) were produced by direct compression using a hydraulic press (Carver 3393, Carcer Inc, Wabash, USA). The multilayer tablets consisted of three layers; the upper layer was formed from either pectin or dextran (25 mg), the internal layer contained 5-ASA (50 mg), and the lower layer was formed using either pectin or dextran (25 mg). Matrix tablets consisted of a mixture of 5-ASA (50 mg) and either pectin or dextran (50 mg). Four identical tablets were used to fill the hard gelatin (Syndesmos SA, Athens, Greece) and enteric-coated size zero (Capsugel, Colmar, France) capsules.
Characterization of tablets (weight, thickness, crushing strength uniformity and friability test)
The weight uniformity was determined on 10 samples for each tablet formulation; the mean value and the standard deviation (SD) were calculated and expressed in mg. The tablets’ thickness was determined on 10 samples for each tablet formulation on a Vernier caliper; the mean value (±SD) was calculated and expressed in mm.
The tablets’ crushing strength was measured with a hardness tester (Erweka 24992 TBH 28, Erweka Gmbh, Heusenstamm, Germany). Ten samples of each tablet formulation were evaluated; the mean hardness (±SD) was calculated and expressed in kp.
Tablet friability has been determined on 10 samples for each tablet formulation using a friabilator (Erweka, type TA3R Gmbh, Heusenstamm, Germany). The friability was expressed in terms of weight loss and calculated as % of the initial weight; friability under 1% was considered acceptable.
In vitro drug release studies in stimulated gastrointestinal fluids
The release of 5-ASA from each formulation was tested using a dissolution paddle apparatus (PharmaTest-D17, Hainburg, Germany). The consistency of the dissolution media used is depicted in table 1. Samples were withdrawn at predetermined time intervals, filtered and analyzed using a UV-1700 PharmaSpec spectrophotometer (Kyoto, Japan). The dissolution experiments were performed in triplicate. In order to test the effect of the colonic enzymes, the dissolution tests were performed again, but this time with the addition of 45600 PG/l Pectinex® Ultra SPL in the final dissolution medium. To evaluate the dissolution profiles, 5-ASA % release (mean±SD) vs time graphs were constructed using GraphPad Prism 3.0, t20%, t50% t90%, (times at 20%, 50% and 90% 5-ASA release) and the values of Mean Dissolution Time (MDT) [30] and Dissolution Efficiency (D. E. %) [31] were recorded. Furthermore, D. E % results were analyzed using the Student’s t-test (P<0.05) and the comparison indices (difference (f1) and similarity (f2) factors) were also calculated [32, 33].
RESULTS AND DISCUSSION
The results of weight, thickness, crushing strength uniformity and the friability test are depicted in table S1. All formulations were found to meet the Pharmacopoeia standards [34].
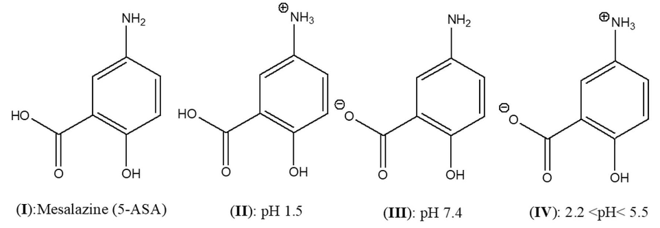
As previously reported [35, 36] 5-ASA (fig. 1, structure Ι) in the acidic environment (pH 1.5) is transformed to structure (ΙΙ) due to NH2 protonation. As a result, 5-ASA’s solubility, at this pH, is enhanced (around 3 mg/ml). In the non-acidic environment (pH around 7), its solubility becomes even higher due to its transformation to structure (ΙΙΙ). In this case, its solubility is approximately 18 mg/ml. Conversely, in the pH region 2.2<pH<5.5, its amphoteric structure IV (fig. 1) prevails. The prevalence of the particular structure of 5-ASA, in this pH region, leads to reduced solubility (around 1 mg/ml) [37].The use of enteric-coated tablets delayed the 5-ASA’s initial release; in the first 2 h, in the acidic medium, no drug release was observed. Conversely, hard gelatin capsules dissolved immediately after their contact with the aqueous media releasing the containing tablets instantly.

Fig. 1: Chemical structures of 5-ASA at various pHs [35,36]

Fig. 2: % Release (mean±SD) (n=3) of 5-ASA vs time (min) from capsules containing four 3-layered tablets with pectin (a) and dextran (b), four tablets containing mixtures of pectin (c) and dextran (d), from simple (○) or enteric-coated capsules (●) and Asalazin® (×) in pH media (—) or in pH media where the enzymatic solution is added (---)
Table 1: Experimental parameters for in vitro drug release
| Simulated area of the GI tract | pH | Final dissolution medium (ml) | Solution added: pH/volume (ml) | Time from the test start (min) |
| Stomach | 1.5 | 400 | S1: 1.5/400 | 0-120 |
| Small intestine | 7.4 | 800 | S2: 9.4/400 | 120-300 |
| Large intestine | 6.0 | 1000 | S3: 1.5/200 | 300-720 |
Pectin and dextran polymers, when in contact with the aqueous fluids, swell and turn into a hydrogel that act as a barrier to drug release. Comparing the drug release through these two different polymeric layers, it could be concluded that pectin produced a thinner layer than dextran allowing for faster drug dissolution. The t20%, t50%, t90% and MDT values were lower when pectin was used (table 2), demonstrating a more rapid drug release. Pectin hydrogels release the entrapped drug through diffusion [38]. Dextran hydrogels showed very promising modified release characteristics, as they also have with other active ingredients, such as hydrocortisone, peptide and protein drugs [39-41].
Table 2: Type of 5-ASA 200 mg formulations
| Exp. code | Capsule type | Excipient | Formulation type | Pectinex® Ultra SPL | t20% | t50% | t90% | MDT | D. E.(%) |
| 1c | c | Pectin | Four 3-layered Tablets in capsule |
- | 200 | 310 | 460 | 330.58 | 58.25 (±0.64) |
| 1c-X | √ | 200 | 310 | 400 | 280.65 | 59.99 (±0.87) | |||
| 1ec | ec | - | 250 | 330 | 600 | 391.29 | 49.82 (±0.35) | ||
| 1ec-X | √ | 250 | 310 | 460 | 335.98 | 57.5 (±0.18) | |||
| 2c | c | Dextran | - | 310 | 360 | 540 | 369.24 | 48.59 (±0.4) | |
| 2c-X | √ | 310 | 340 | 460 | 369.68 | 52.82 (±0.36) | |||
| 2ec | ec | - | 355 | 420 | >720 | 436.78 | 34.68 (±0.63) | ||
| 2ec-X | √ | 340 | 380 | 570 | 428.93 | 44.59 (±0.74) | |||
| 3c | c | pectin | Four mixture tablets in capsule | - | 140 | 235 | 475 | 289.77 | 64.58 (±0.34) |
| 3c-X | √ | 140 | 230 | 340 | 258.97 | 68.19 (±0.87) | |||
| 3ec | ec | - | 310 | 330 | 510 | 354.52 | 50.57 (±0.24) | ||
| 3ec-X | √ | 310 | 330 | 355 | 351.02 | 55.41 (±0.17) | |||
| 4c | c | dextran | - | 310 | 360 | 660 | 396.82 | 44.46 (±0.72) | |
| 4c-X | √ | 310 | 340 | 460 | 334.25 | 53.58 (±0.24) | |||
| 4ec | ec | - | 330 | 530 | 720 | 463.75 | 32.41 (±1.13) | ||
| 4ec-X | √ | 330 | 450 | 570 | 451.32 | 41.48 (±0.86) | |||
| Asalazin® | - | 130 | 150 | 160 | 150.00 | 79.17 (±0) |
c: hard gelatin capsule, ec: enteric-coated capsule) used and Asalazin®500 mg, the experimental conditions during dissolution (presence (√)/absence (-) of Pectinex® Ultra SPL), time at 20%, 50% and 90% of drug release (t20%, t50% and t90%), the Mean Dissolution Time (MDT) and the Dissolution Efficiency D. E.(%) (mean±SD) (Number of experiments, n=3)
Table S1: Results of weight, thickness, crushing strength uniformity and friability test
| Formulation | Weight (mg) | Thickness (mm) | Crushing test (kp) | % Friability |
| 1 3L-P | 101.2±1.2 | 1.88±0.32 | 11.58±0.56 | 0.51 |
| 2 3L-D | 100.3±0.9 | 1.81±0.11 | 12.01±0.43 | 0.46 |
| 3 Matrix-P | 101.2±1.3 | 1.82±0.31 | 11.94±0.56 | 0.68 |
| 4 Matrix-D | 100.1±0.8 | 1.79±0.24 | 12.13±0.28 | 0.75 |
3L-P: 3layered tablet with pectin, 3L-D: 3layered tablet with dextran, Matrix-P: matrix tablet with pectin, Matrix-D: matrix tablet with dextran. Values indicated in weight, thickness and crushing tests are mean±SD, number of experiments, n=10.
Table S2: f1 and f2 indices and P-value of ANOVA comparison of D. E.(%)
| Formulation | f1 | f2 | P-value D. E.(%) |
| 1c vs 1c-X | 10.28 | 54.44 | P<0.001 |
| 1ec vs 1ec-X | 19.46 | 42.84 | P<0.001 |
| 2c vs 2c-X | 18.88 | 41.99 | P<0.001 |
| 2ec vs 2ecX | 23.11 | 39.89 | P<0.001 |
| 3c vs 3c-X | 13.54 | 49.91 | P<0.001 |
| 3ec vs 3ec-X | 16.65 | 45.31 | P<0.001 |
| 4c vs 4c-X | 26.02 | 35.36 | P<0.001 |
| 4ec vs 4ec-X | 26.43 | 35.37 | P<0.001 |
The fact that at the gastric environment (pH 1.5) the 5-ASA % release from pectin containing capsules is higher than in the respective dextran formulations is probably due to the presence of the methyl ester groups in pectin, which form hydrogen bonds with the-NH2 and-OH groups of 5-ASA, thus facilitating its solubility. In the case of the more esterified pectins, this effect is more pronounced, as the number of the non-esterified-COOH groups is less. Conversly, in the case of dextran, which bears secondary-OH groups, the above hydrogen bond-due solubility enhancing effect is much less important.
In most cases, when matrix tablets were used, the 5-ASA’s release rate was faster than from the 3-layered tablets (comparison of the times t 20%, t 50% and t 90% in table 2). This could be attributed to the gel layer produced from the outer tablet’s layers that are exclusively composed of the polymer, thus retarding the 5-ASA’s release.
Asacol® encapsulates 5-ASA in an enteric coat, which consists of a resin film that is intended to release the active pharmaceutical ingredient only at a designated pH. That way the site of drug release can be controlled. The coating is the methacrylate copolymer Eudragit-S, which allows 5-ASA’s release at pH ≥ 7 [42]. A possible concern with this type of drug delivery systems is that the intestinal pH varies in patients with IBD [43], setting back the 5-ASA released from the pH-dependent enteric coating and reduce its efficacy.
The enzyme-triggered 5-ASA release was evaluated by the addition of an enzymatic solution to the dissolution media; both hydrogels produced by dextran and pectin have a potential for specific delivery to the colon by undergoing degradation at the site, allowing drug release only in the case that microbial enzyme(s) is/are present at the colonic area. Drug release was lower in the medium, which did not contain the enzymatic solution, as the excipients’ gel layer remained thicker, and a longer time was needed for its erosion, resulting to reduced drug release. Conversely, the addition of the enzymatic solution, at 300 min, increased the 5-ASA’s release in all cases (most of f1 and f2 indices showed different release rates and the comparison of D. E.(%) values showed significantly different results, P<0.05 (vide table S2). The increased release noticed was mainly ascribed to the cleavage of the polymeric bonds of pectin and dextran. Similar results have been mentioned in the literature [35, 44]. Asalazin® 500 mg tablets were not tested with the enzymatic solution, as 100% release was achieved within 180 min (fig. 2, table 2).
CONCLUSION
Enzymatically sensitive formulation systems were produced with 5-ASA and pectin or dextran, as excipients. The results showed delayed-release,<10% during the first two hours and modified-release thereafter. When dextran was used, the drug exhibited an extended-release profile, due to the thicker hydrogel produced in comparison to the pectin formulations. The data obtained revealed that the release of 5-ASA, from the 3-layered tablets, is slower when compared to the matrix tablets.
FUNDING
Nil
AUTHORS CONTRIBUTIONS
Authors declare that the work done by the names mentioned in the article and all the liabilities and claims related to the content of the article will be borne by the authors.
CONFLICT OF INTERESTS
The authors declare that no conflict of interest associated with this work.
REFERENCES
Sartor RB. Mechanisms of disease: pathogenesis of crohn’s disease and ulcerative colitis, nat. Clin Pract Gastroenterol Hepatol 2006;3:390–407.
Ali Baig MM, Fatima S, Fatima M, Siddiqui S, Ali SA, Ilyas MN. Prescription pattern and cost of illness (COI) of inflammatory bowel disease (IBD) in a tertiary care hospital. Int J Pharm Pharm Sci 201;9:44-7.
Sharma N, Sharma A, Bhatnagar A, Nishad D, Karwasra R, Khanna K, et al. Novel gum acacia based macroparticles for colon delivery of mesalazine: development and gammascintigraphy study. J Drug Delivery Sci Technol 2019;54:101224.
Campregher C, Gasche C. Aminosalicylates. Best Pract Res Clin Gastroenterol 2011;25:535-46.
Cesar ALA, Abrantes FA, Farah L, Castilho RO, Cardoso V, Fernandes SO, et al. New mesalamine polymeric conjugate for controlled release: preparation, characterization and biodistribution study. Eur J Pharm Sci 2018;111:57–64.
Hartzell AL, Maldonado Gomez MX, Yang J, Hutkins RW, Rose DJ. In vitro digestion and fermentation of 5-formyl-aminosalicylate-inulin: a potential prodrug of 5-aminosalicylic acid. Bioact Carbohydrates Diet Fibre 2013;2:8–14.
Nam J, Kim W, Lee S, Jeong S, Yoo JW, Kim MS, et al. Dextran-5-(4-ethoxycarbonylphenylazo) salicylic acid ester, a polymeric colon-specific prodrug releasing 5-aminosalicylic acid and benzocaine, ameliorates TNBS-induced rat colitis. J Drug Target 2016;24:468–74.
Zou M, Cheng G, Okamoto H, Hao XHH, An F, De Cui FD, Danjo K. Colon specific drug delivery systems based on cyclodextrin prodrugs: in vivo evaluation of 5-aminosalicylic acid from its cyclodextrin conjugates. World J Gastroenterol 2005;11:7457–60.
Yokoe JI, Iwasaki N, Haruta S, Kadono K, Ogawara KI, Higaki K, et al. Analysis and prediction of absorption behavior of colon-targeted prodrug in rats by GI-transitabsorption model. J Controlled Release 2003;86:305–13.
Canevari M, Castagliuolo I, Brun P, Cardin M, Schiavon M, Pasut G, et al. Poly (ethylene glycol)-mesalazine conjugate for colon specific delivery. Int J Pharm 2009;368:171–7.
Bautzova T, Rabiskova M, Beduneau A, Pellequer Y, Lamprecht A. Bioadhesive pellets increase local 5-aminosalicylic acid concentration in experimental colitis. Eur J Pharm Biopharm 2012;81:379–85.
Patole VC, Pandit AP. Mesalamine-loaded alginate microspheres filled in enteric-coated HPMC capsules for local treatment of ulcerative colitis: in vitro and in vivo characterization. J Pharm Investig 2018;48:257–67.
Jain V, Prasad D, Jain D, Mishra SK, Singh R. Factorial design-based development of measlamine microspheres for colonic delivery. Biomatter 2011;1:182–8.
Jin L, Ding Y, Zhang Y, Xu X, Cao Q. A novel pH–enzyme-dependent mesalamine colon-specific delivery system. Drug Des Dev Ther 2016;10:2021–8.
Mohanty S, Panigrahi AK. Multiparticulate drug delivery system for colon targeting. Int J Pharm Pharm Sci 2015;7:433–6.
Sardo HS, Saremnejad F, Bagheri S, Akhgari A, Garekani HA, Sadeghi F. A review on 5-aminosalicylic acid colon-targeted oral drug delivery systems. Int J Pharm 2019;558:367-79.
Rajesh K, Deveswaran R, Bharath S, Basavaraj BV. Development of mesalazine microspheres for colon targeting. Int J Appl Pharm 2017;9:1-9.
Bahekar J, Wadher S. Formulation development of colon targeted mesalamine pellets: in vitro-in vivo release study. Int J Appl Pharm 2019;11:125-32.
Sirisha VN, Eswariah MC, Rao AS. A novel approach of locust bean gum microspheres for colonic delivery of mesalamine. Int J Appl Pharm 2018;10:86-93.
Efentakis M, Koutlis A, Vlachou M. Development and evaluation of oral multiple unit and single unit hydrophilic controlled release systems. AAPS PharmSciTech 2000;1:62-70.
Lopes CM, Lobo JMS, Pinto JF, Costa P. Compressed mini-tablets as a biphasic delivery system. Int J Pharm 2006;323:93–100.
Efentakis M, Peponaki C. Formulation study and evaluation of matrix and three-layer tablet sustained drug delivery systems based on Carbopols with isosorbite nitrate. AAPS PharmSciTech 2008;9:917-23.
Vaithiyalingam SR, Sayeed VA. Critical factors in manufacturing multilayered tablets–assessing material attributes, in-process controls, manufacturing process and product performance. Int J Pharm 2010;398:9–13.
Gupta P, Vermani K, Garg S. Hydrogels: from controlled release to pH-responsive drug delivery. Drug Discovery Today 2002;7:569–79.
Wakerly Z, Fell JT, Attwood D, Parkins D. In vitro evaluation of pectin-based colonic drug delivery systems. Int J Pharm 1996;129:73-7.
Fernandez Hervas MJ, Fell JT. Pectin/chitosan mixtures as coatings for colon-specific drug delivery: an in vitro evaluation. Int J Pharm 1998;169:115–9.
Macleod GS, Fell JT, Collett JH, Sharma HL, Smith AM. Selective drug delivery to the colon using pectin: chitosan: hydroxypropyl methylcelluslose film-coated tablets. Int J Pharm 1999;187:251-7.
Macleod GS, Fell JT, Collett JH. An in vitro investigation into the potential for bimodal drug release from pectin/chitosan/ HPMC-coated tablets. Int J Pharm 1999;188:11-8.
Vlachou M, Siamidi A, Efentakis M. Investigation of a novel “Tablets in Capsule” theophylline formulation system for modified release. Pharm Pharmacol In J 2017;5:51-6.
Rinaki E, Dokoumetzidis A, Macheras P. The mean dissolution time depends on the dose/solubility ratio. Pharm Res 2003;20:406-8.
Khan KA. The concept of dissolution efficiency. Communications J Pharm Pharac 1975;27:48-9.
Shah VP, Tsong Y, Sathe P, Liu JP. In vitro dissolution profile comparison–statistics and analysis of the similarity factor, f2. Pharm Res 1998;15:889–96.
Costa P, Sousa Lobo JM. Modeling and comparison of dissolution profiles. Eur Pharm Sci 2001;13:123–33.
Pharmacopeoa US USP 29-NF24 Rockville MD: USP; 2005.
Vlachou M, Siamidi A, Dotsikas Y. Desirability based optimization of new mesalazine modified release formulations: mini tablets in capsules and compression coated tablets. Lett Drug Des Discovery 2019;16:1-10.
Siamidi A, Konstantinidou S. Investigation of a novel ‘tablet in capsule’ formulation system for the modified release of mesalazine in gastrointestinal–like fluids. Am Pharm Rev 2018;21:1-3.
French DL, Mauger JW. Evaluation of the physicochemical properties and dissolution characteristics of mesalamine: relevance to controlled intestinal drug delivery. Pharm Res 1993;10:1285.
Chourasia MK, Jain SK. Polysaccharides for colon targeted drug delivery. Drug Delivery 2004;11:129-48.
Sharpe LA, Daily AM, Horava SD, Peppas NA. Therapeutic applications of hydrogels in oral drug delivery. Expert Opin Drug Delivery 2014;11:901–15.
Basan H, Gumusderelioglu M, Orbey MT. Release characteristics of salmon calcitonin from dextran hydrogels for colon-specific delivery. Eur J Pharm Biopharm 2007;65:39–46.
Hovgaard L, Brøndsted H. Dextran hydrogels for colon-specific drug delivery. J Controlled Release 1995;36:159–66.
Ye B, van Langenberg DR. Mesalazine preparations for the treatment of ulcerative colitis. World J Gastrointest Pharmacol Ther 2015;6:137–44.
Nugent SG, Kumar D, Rampton DS, Evans DF. Intestinal luminal pH in inflammatory bowel disease: possible determinants and implications for therapy with aminosalicylates and other drugs. Gut 2001;48:571-7.
Wei X, Lu Y, Qi J, Wu B, Chen J, Xu H, et al. An in situ crosslinked compression coat comprised of pectin and calcium chloride for colon-specific delivery of indomethacin. Drug Delivery 2015;22:298-305.