
1Department of Pharmaceutical Chemistry, Noida Institute of Engineering and Technology (Pharmacy Institute), Knowledge Park-II, Greater Noida 201306, India, 2Department of Pharmaceutics, Noida Institute of Engineering and Technology (Pharmacy Institute), Knowledge Park-II, Greater Noida 201306, India
Email: rakeshsahu1100@gmail.com
Received: 06 Jul 2020, Revised and Accepted: 15 Aug 2020
ABSTRACT
Objective: The research work unveils the use of nuclear magnetic resonance (NMR) technique for quantitative determination and method validation of obeticholic acid. As standard expository methodology for more up to date medications or formulations may not be available in pharmacopeias, hence it is fundamental need to create novel analytical procedures which should be precise and accurate.
Methods: Proton (1H) and carbon (13C) NMR analysis were initially performed to confirm the preliminary authenticity of obeticholic acid API. Method validation was accomplished on the basis of standard guidelines for the parameters, in which tetramethylbenzene as an internal standard and deuterated dimethyl sulfoxide as a diluent were used to assess the obeticholic acid.
Results: For the quantification of the drug, the proton nuclear magnetic resonance signals at 0.602 ppm and 6.86 ppm corresponding to the analyte proton of drug and internal standard respectively were used. The curve equation calculated from the regression method, the relative-standard-deviation and correlation-coefficient were found to be 0.743% and 0.9989 respectively, indicating good linearity. Consequently, the quantitative assay of the drug was found to be 99.91% in linearity with limit of detection and quantification values as 0.0773 mg and 0.2344 mg respectively, making successful the study of method validation for obeticholic acid.
Conclusion: The advantage of the method was that no reference standard of analyte drug was required for quantification and method validation. The method is non-destructive and can be applied for quantification of drug in commercial pharmaceutical formulation products.
Keywords: NMR, 1H, Obeticholic acid, Tetramethylbenzene, Quantitative NMR, Method validation
© 2020 The Authors. Published by Innovare Academic Sciences Pvt Ltd. This is an open access article under the CC BY license (http://creativecommons.org/licenses/by/4.0/)
DOI: http://dx.doi.org/10.22159/ijap.2020v12i6.38944. Journal homepage: https://innovareacademics.in/journals/index.php/ijap
NMR spectroscopy is a well-accepted analytical technique for structure elucidation of simple as well complex molecules and engaged in many branches of biochemistry [1, 2]. It has been deliberated as a rapid, precise, reliable, non-destructive and convenient method for quantitative estimation and is a strategic analytical tool for the unidentified synthetic as well as natural compounds [3, 4]. As, it has demonstrated the distinguishing benefits of providing instantaneous access to both quantitative as well qualitative evaluation; later on is demarcated by prime ratio rule in that the intensity (signal) is straightly equivalent to the nuclei number which engender due to a specific resonant [5, 6].
Obeticholic acid (C26H44O4) is a semi-synthetic chenodeoxycholic acid (CDCA) derivative and is also known by various terms or names such as OCA, 6-ethyl-CDCA, INT-747 and 6α-ethyl-3α,7α-dihydroxy-5-cholan-24-oic acid (fig. 1). In 2002, Pellicciari et al. [7] reported this semi-synthetic ligand, has agonistic action for farnesoid-X reeptor (FXR) [8]. A major revolution toward the synthetic bile acid compounds was the finding of this potent and selective FXR agonist obeticholic acid which has 100 ~fold greater activity than natural agonist [8, 9]. It is an approved drug by the federal regulatory agencies (US FDA) in 2016 for the treatment of primary-biliary-cholangitis (PBC) patients who have insufficient response to UDCA, and also it is on phase III and II trial for treatment of nonalcoholic steato-hepatitis (NASH) and PSC (ClinicalTrials. gov, number NCT01265498 and NCT02177136) [10, 11]. A numerous analytical method has been reported over time for the determination of obeticholic acid in biological fluids or individually in which mainly includes chromatographic-based HPLC/lC-MS [12-14] and other analysis like volumetric with visual end-point detection [15].
Although, the proposed method is relatively fast, simple, precise, selective and sensitive sufficient for all observed related compounds of obeticholic acid compared with previously published studies mainly had used HPLC-MS [12-14] to define the concentration of obeticholic acid in plasma, and its methods were not explained whatsoever because they didn’t perform comprehensive method validation, detailed method optimization as per international council for harmonisation (ICH) parameters like Malz et al., El-Sheikh et al. and Harahap et al. performed [16-18]. Thus, the research has been undertaken and this paper reflect the work of developing advantageous and competitive selective NMR method for the determination of the drug in formulation as well as in active pharmaceutical ingredient (API) samples that complies well with the validation requirements in the pharmaceutical industry as per standard guidelines by ICH guidelines Q2 (R1) [19].

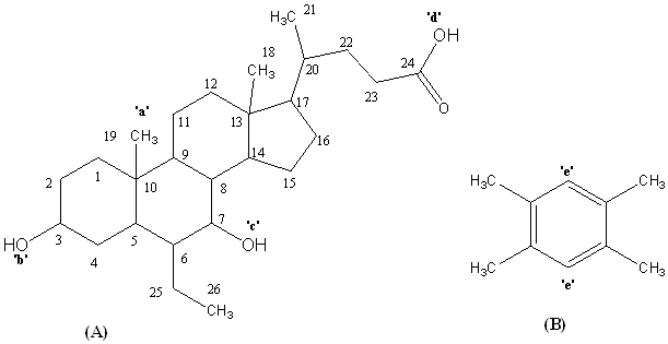
Fig. 1: Molecular structure of obeticholic acid
Chemicals and standards
Analytically graded pure substances were utilized all through the work. Authentic sample of obeticholic acid API was got from local Mankind Pharma, Gurugram, as gift sample and used as a standard as such. Tetramethylbenzene (TMB) (98%) (lot #MKBQ2241V) purchased from Sigma Aldrich chemicals was used as internal standard, deuterated dimethyl sulfoxide (DMSO-d6) (99.99%) (lot #MKBR3576V) and deuterium oxide (D2O) (99.99%) (lot #S2BC1895V) purchased from Sigma Aldrich chemicals were utilized as a solvent. Obetix 5 tablets (Marketed drug) containing 5 mg obeticholic acid were bought from the local supplier (Manufactured: Beacon Pharmaceuticals Limited, Bangladesh).
Instrumentations
NMR experiments were performed on Bruker Avance-III HD 400 MHz and Avance-II 400 MHz ultra-shield spectrometer (JCL/ANAL/NMR/02 and 03) equipped with a 5 mm multinuclear broad-band-observe (BBO) probe-head and 5 mm 1H-13C dual probe-head respectively. Other instruments were also used for drug characterization, sample preparations and comparison of assay result that are FT-IR instrument: Perkin Spectrum Two FT-IR 114570 spectrometer (GCD FIR 02 2020), LC-MS: ultra-high-performance liquid chromatography-mass spectrometry (ID: UHPLC-MS-01) equipped with a dual agilent jet stream electrospray ionization (AJS-ESI) and evaporative light scattering detector (ELS1 A), Melting point: Buchi Melting Point (QCD/MPT-01), weighing machine: mettler Toledo XS 205 dual range (JCL/ANAL/BALANCE/03) and Sonicator: Ultrasonicator (JCL/ANAL/US/01).
Procedural condition for protonnuclear magnetic resonance spectroscopy method
The NMR experiments were concluded for standard preparation in the six replicate (n=6) preparation, under the acquisition parameters or experimental circumstances for the quantitative analysis which were as: 32 scans, 90 ° pulse (pulse-program: zg), acquisition time (aq) of 1.99 seconds, relaxation delay (d1) 10.00 seconds, a spectrum width (swh) of 10416.66 Hz, exponential line-broadening function (lb) = 0.3Hz were applied for all spectra erstwhile with manual baseline and phasing adjustment, and integrated areas were fixed within 20 times width of the signal on half-height. All acquired data were processed via TopSpin 3.2 (Bruker) software.
Procedure for liquid chromatography-mass spectrometry
For this experiment, 1 mg of obeticholic acid was accurately weighed and transferred to a 10 ml volumetric flask and then introduced 10μl in the mobile phase stream.
Preparation of standard and test solutions
Stock solution of internal standard
Accurately weighed 666.66 mg of TMB (10.00 mg/0.6 ml) was transferred into volumetric flask in which added DMSO-d6 solvent and volume made upto 40 ml with the same solvent and mixed-well by sonicating the flask.
Standard preparation for specificity
8.11 mg obeticholic acid standard was balanced accurately, transferred into NMR tube in which 0.6 ml of DMSO-d6 was added. This solution was well-mixed until completely dissolved.
Internal standard preparation for specificity
Accurate 0.6 ml of previously prepared stock solution of TMB internal standard was utilized directly.
Sample preparation
Five tablets of Obetix 5 were weighed, crushed and triturated thoroughly into fine powder. Portion equivalent to 10 mg obeticholic acid drug was weighed accurately and transferred to NMR tube. Then 0.6 ml of stock solution of TMB internal standard was added. Solution was thoroughly mixed well and sonicated but due to lots of excipient it was not complete dissolved and even solvent lock problem appeared during acquisition.
Calculation
The percentage purity (Px) of drug and their actual amount can be calculated from the below equation [19, 20]:
……. (1)
Where, Px = percentage purity of the analyte (obeticholic acid) drug (%w/w), Ix = Integral mean value of the obtained analyte proton signal, Istandard = Integral mean value of the obtained proton signal of internal standard, Nstandard = Number of internal standard protons, Nx = Number of analyte drug protons, Mx = Molar mass of the obeticholic acid, Mstandard = Molar mass of the internal standard, mstandard = Weight of the internal standard (mg), mx = Taken amount of the analyte drug (mg), Pstandard = Known purity of the internal standard.
Quantitative method validation
The relevant analytical methods validation has turn into a crucial part in drug characterization and development. Method validation involves experimental strategy to demonstrate that the method could yield accurate and precise results within the limit of its envisioned use [21]. However, the method is based on the provisions established in ICH guideline Q2(R1). The parameters of validation includes specificity, selectivity, precision, linearity, LOD, LOQ, accuracy, and robustness were studied.
Selectivity and specificity
Specificity and selectivity is a practice denotes to the way of performing the identification and evaluation of signals such as interference by other peaks, overlapping etc. to ensure the desired signal for quantification purpose is well separated and has good intensity. This can be done by several experiments like 2D dimensional experiments such as 1H-1H COSY and 1H-13C HMQC may employ to verify whether the signals of the internal standard and analyte proton is proper isolated by individually in test and standard sample preparations [19].
Linearity
The percentage ranging amount from 70% to 120% of obeticholic acid was covered to plot a linearity curve using the regression/least-squares method. It was performed by preparing six different concentrated standard solutions and this analysis of statistics recommended by Junqueira and De-Souza [22] was engaged for linearity evaluation. The method evidences for homoscedasticity, normality and individuality of residuals were statistically proven after taking out.
Precision and intermediate precision
In analytical method the precision stated as proximity of a settlement between sequences of evaluation acquired from numerous sampling of the identical consistent sample. It is depends on the integration procedure of quantitative NMR such as the S/N share of the concern signals. S/N share necessary minimal 150:1 for each resonant line that must be assimilated for a precision superior than 99% or a variability of 1% [16]. The ICH guidelines stated that precision shall be obtained by six repetitive evaluations (n=6) and intermediate precision shall be analyzed by an altered analyzer on altered day and or altered NMR probe and or an altered NMR spectrometer with an altered strength of magnetic-field.
Accuracy
In analytical method the accuracy denoted that the proximity of agreement between a recognized standard value and the found value. The ICH guidelines stated that the accuracy must be evaluated by utilizing a minimal nine preparations concludes at least three concentration levels, to cover the stated spectrum (for example: 3 concentrations and 3 multiples of every concentration) [19].
LOD and LOQ
The LOD and LOQ are obtained by employing the curve factors acquired in the linearity. The proportion between the standard deviation (SD) and the coefficient of angular was multiply with 3.3 to get the LOD and multiply with 10 to get the LOQ [23].
Robustness
The robustness of an analytical method is evaluated by via Plackett-Burman strategy for eleven factors. The examined features are parameters which can probably influence on quantification, among those the frequently selected parameters are the number of scans and dummy-scans, pulse angle, relaxation delay, number of data points, pulse calibration and zero-filling as discussed in the literature [16, 20].
As standard expository methodology for more up to date medications or formulations may not be available in pharmacopeias, hence it is fundamental need to create novel analytical procedures which should be precise and accurate. The proposed method is relatively fast, simple, precise, selective and sensitive sufficient for all observed related compounds of obeticholic acid compared with previously published studies mainly had used HPLC-MS [12-14] to define the concentration of obeticholic acid in plasma, and its methods were not explained whatsoever because they cannot perform broad method validation, detailed method optimization as according to ICH parameters. The main advantage of this proposed method was that no reference standard of drug was required for quantification and method validation, this high simplicity, reliability, simultaneously measurement enable it to apply for quantitation of obeticholic acid in future as well as existing commercial products.
Nuclear magnetic resonance experiments for confirmation of structure characterization
Structure of the analyte drug and the internal standard shown in fig. 2, a various experiments such as 13C NMR, APT, 1H-1H COSY and 1H-13C HMQC were performed in DMSO-d6 for the structural characterization of obeticholic acid drug. From these experiments it was noted that there are three hydroxyl (OH) protons are present in molecule which was further ensured by performing D2O exchange/shake analysis in which all exchangeable protons disappeared. These assessments help in accurate and precise assignment of all protons and carbon of Obeticholic acid, as resultant number of proton and carbon were found to be as 44 and 26 respectively (fig. 3 and 4), justifying the preliminary identification and confirmation of drug API. The 1H NMR analysis of internal standard TMB was also done in DMSO-d6 solvent for confirmation of its structure.

Fig. 2: Chemical structure of (A) obeticholic acid and, (B) tetramethylbenzene internal standard with proton signal assigned

Fig. 3: Proton spectra of obeticholic acid in deuterated dimethyl sulfoxide (DMSO-d6) solvent. 1H NMR interpretation (DMSO-d6, 400 MHz): δ= 0.602 (S, 3H, Methyl), 3.125 (S, 1H, CYHA), 3.493 (S, 1H, CYHA), 4.033 (D, 1H, J= 4.8 Hz,-OH {due to coupling with attached–CH}), 4.2873 (D, 1H, J= 3.88 Hz,-OH {due to coupling with attached–CH}) (11.94 (S, 1H,-OH), 0.803-2.224 (clubbed peaks due to CYHA: cyclohexane)

Fig. 4: Carbon (13C) spectra of obeticholic acid in deuterated dimethyl sulfoxide solvent. 13C NMR interpretation (DMSO-d6, 100 MHz): 12.8 (CH3, C-19), 23.101 (CH2, C-15), 27.848 (CH2, C-16), 30.756 (CH2, C-2 and CH2, C-22 {merged}), 32.642 (CH2, C-23), 33.555 (C, C-10), 34.953 (CH, C-5), 35.21 (CH, C-20 and CH2, C-4 {merged}), 35.538 (CH2, C-1), 41.278 (CH2, C-12), 42.026 (C, C-13), 45.336 (CH, C-9), 50.103 (CH, C-14), 55.539 (C, C-17), 68.402 (CH, C-3), 70.608 (CH, C-7), 174.903 (C, C-24 carboxylic acid), 38.893-39.935 (remaining carbon’s signal peaks are clubbed with solvent signal that is at 39.52)
Assignment of proton signals of the drug and internal standard
The 1H NMR spectra for obeticholic acid in DMSO-d6 shows in fig. 3 in which the sharp singlet was observed at 0.602 ppm (singlet, 3H) due to methyl group assigned as ‘a’ of carbon (C-19). The two well separated and doublet signals appeared at 4.03 ppm (1H) and 4.28 ppm (1H) (due to coupling with attached–CH) were assigned as ‘b and c’ respectively. These attached of cyclic aliphatic carbon (–CH) were confirms via 13C NMR as well in attached proton test (APT) NMR by observing signal at 70.59 and 68.39 ppm (C-3 and C-7). One well isolated carboxylic hydroxy group (–OH) signal appeared at 11.94 ppm was assigned as‘d’. The other signals of obeticholic acid drug are not well separated due to cholesterol moiety and appeared as clubbed signals in between 0.803-2.224 ppm. Apart from obeticholic acid signals, residual peak and moisture of the solvent (DMSO-d6) were also obtained at 2.50 ppm and 3.33 ppm respectively. These above signals further confirm through higher experiments.

Fig. 5: Proton nuclear magnetic resonance spectra of obeticholic acid in dimethyl sulfoxide solvent, and deuterium-oxide shake which disappeared all exchangeable protons (like Hydroxy group) signal and appeared only singlet peak at 3.9 ppm due to moisture or deuterium hydroxide. 1H: proton; D2O: deuterium oxide; DMSO-d6: deuterated dimethyl sulfoxide
All assigned protons were also checked in D2O exchange/shake analysis in which test solution contents drug in 0.6 ml DMSO-d6 with 2 to 3 drops of D2O solvent. There were observed that all–OH protons signals at 4.03, 4.28 ppm and 11.94 ppm disappeared or exchanged due to D2O solvent. So, there was only single sharp singlet observed at 3.9 ppm which is due to deuterium hydroxide (HOD) or moisture as shown in fig. 5.

Fig. 6: Attached proton test (APT) spectrum of obeticholic acid in deuterated dimethyl sulfoxide (DMSO) solvent to which the peak at 11.69 confirmed that it has odd number of protons

Fig. 7: Proton nuclear magnetic resonance spectrum of tetramethylbenzene internal standard in deuterated dimethyl sulfoxide solvent. 1H NMR interpretation (DMSO, 400 MHz): δ in ppm = 2.1217 (S, 3H, Methyl), 6.8682 (S, 1H, Benzene)
The isolated, sharp singlet signal ‘a’ in 1H NMR followed by 13C NMR and APT (fig. 6) signal at 11.695 ppm of drug indicates and confirms the presence of odd number of protons due to methyl group (C-19) was selected for the purpose of quantification of the drug. The well isolated, sharp singlet signal at 6.86 ppm (2H) was due to two-CH group of TMB internal standard assigned as ‘e’ was taken as reference signal for quantitative determination (fig. 7).


Fig. 8: Correlated and heteronuclear multiple quantum coherence spectra of obeticholic acid in deuterated dimethyl sulfoxide solvent. 1H-1H: proton-proton; 1H-13C: proton-carbon; COSY: correlated spectroscopy; HMQC: heteronuclear multiple quantum coherence; DMSO: deuterated dimethyl sulfoxide
Additionally, all assigned protons of drug molecule had been further confirmed through higher experiments such as 1H-1H correlated spectroscopy (COSY) and 1H-13C heteronuclear multiple quantum coherence (HMQC) experiments in DMSO-d6 solvent (fig. 8).
Quantitative method validation
The peak sharpness of a known sum of internal standard was equated to the region of the signals initiating from the drug. In this study, the internal standard picked was TMB; meanwhile it acquired a well-isolated signal position with minor meddling at 2.12 ppm from analyte drug due to clubbed peaks in the integration areas. From, the commonly available internal standards, it was the excellent picked in sense of both chemical shifts as well the solubility. The assigned signal ‘e’ of TMB selected in each spectra for quantification.
For obeticholic acid, the signal at 0.602 ppm (3H) initiating from 3 protons of the methyl groups was picked for quantification, as this signal appeared well-isolated by other peaks. Sample of marketed drug in DMSO-d6 was thoroughly mixed well and sonicated but due to lots of excipient it was not completely dissolved and even in other solvent, and lock problem also appeared during acquisition. So, the filtered test solution taken for acquisition of spectrum and these issues refrain us to not gone for further parameters evaluation. The 1H NMR spectrum of standard drug API with TMB internal standard in DMSO-d6 solvent shows a well-isolated signal and especially desired peaks (fig. 9).
The method was validated as stated by ICH guidelines [19] and it oblige all parameters; system-suitability, selectivity and specificity, reproducibility, accuracy, linearity, LOQ, LOD, robustness and stability.
System suitability
A system suitability scrutinize is obligatory to display that the control procedures have been trailed for the particular analysis at a given day. Such action can be applied on a method and spectrometer to ensure the expected trait and sensibility be reached, for instance, employing S/N share or line-width data in the spectrum. Due to great intrinsic accuracy and system precision is not mandatory for NMR. However, the system was performed precisely for each parameter via repeating the standard preparations acquisition. It was asked as a system suitability test, to scrutinize the agreement with the acceptance standards below.
The percentage RSD of integral value of the signal should be<2.00, difference of δ value (in ppm) of the signal should be<0.2 ppm and S/N share of the signal should be>150 [16, 24]. All the three recognition criteria are defined in-house, as in quantification. Furthermore, an optional critical parameter; chemical shift must be included here, to identified properly, the analyte signal. Thus, system suitability results meet standard limitations in each validation study.
Selectivity and specificity
The selectivity and specificity of the offered method were assessed via potential interventions down to excipients in formulations. Specificity studies were achieved by studying the TMB internal standard, blank diluent (DMSO-d6), obeticholic acid standard, and marketed sample (tablet) preparations. It was settled that there were no interventions at the peaks attained at 0.602 ppm (3H) and 6.86 ppm (2H) from drug and TMB internal standard, respectively, just because of solvent. Moreover, selected signals of drug proton and TMB internal standard were well-isolated in sample and standard preparations (fig. 10).

Fig. 9: Proton nuclear magnetic resonance spectrum of obeticholic acid with tetramethylbenzene in deuterated dimethyl sulfoxide solvent




Fig. 10: Comparison of proton nuclear magnetic resonance spectra of (a) blank deuterated dimethyl sulfoxide solvent, (b) obeticholic acid, (c) tetramethylbenzene internal standard and (d) sample preparation of marketed drug
Precision and intermediate precision
The precision was estimated by six distinct sample preparations, the quantity of drug in each is calculated in % purity (Px) and statistical results were tabulated. The S/N share for each admeasurement must be ˃150:1 [16]. This study evaluated intermediate precision on three dissimilar occasions by preparing six distinct samples, analyzed on two separate probe-head namely 5 mm multinuclear BBO and 5 mm dual1H-13C probe by different analyst on different day. The average SD and RSD means from both the studies are documented in table 1. The overall results from precision and intermediate precision haven’t shown any differences.
Table 1: Precision and intermediate precision test results
| Precision | Intermediate precision | |||||
| Preparation | Taken amount of drug (in mg) | Found amount of drug (in mg) | % purity (as such) | Taken amount of drug (in mg) | Found amount of drug (in mg) | % purity (as such) |
1. 2. 3. 4. 5. 6. mean±SD %RSDa |
10.02 10.08 10.29 10.32 10.36 10.65 |
10.06 10.06 10.23 10.41 10.41 10.58 |
100.48 99.88 99.50 100.87 100.48 99.34 100.09±0.611 0.610 |
10.00 10.16 10.29 10.45 10.51 10.61 |
10.06 10.06 10.23 10.41 10.58 10.58 |
100.68 99.10 99.50 99.61 100.67 99.72 99.88±0.6504 0.6512 |
aMean of six determination %RSD, SD: standard deviation, RSD: relative standard deviation.
Accuracy
This parameter was evaluated from 9 determinations at 3 concentration scales casing a specified range. It was studied at 80, 100 and 120% scales in relation to the preparing sample solution in triplicate at each scale. According to the tabulated results in table 2, it was established that the method for assay was accurate between 80 and 120% scales and the %RSD was found 0.6325% that is<2.00 as stated by ICH and It is also shown in the comparative column chart fig. 11.
Table 2: Accuracy test results obtained at 80, 100 and 120% levels with triplicate at each level
| Preparation | Accuracy level (in %) | Taken amount of drug (in mg) |
Integration mean (Ix) | Found amount of drug (in mg) | % purity (as such) |
1. 2. 3. 4. 5. 6. 7. 8. 9. mean±SD %RSDa |
80 80 80 100 100 100 120 120 120 |
8.11 8.21 8.30 10.07 10.35 10.82 12.07 12.16 12.52 |
0.48 0.49 0.49 0.59 0.61 0.64 0.71 0.71 0.74 |
8.19 8.36 8.36 10.06 10.41 10.92 12.11 12.11 12.62 |
101.00 101.85 100.74 99.98 100.58 100.94 100.38 99.64 100.86 100.66±0.6367 0.6325 |
aMean of nine determination %RSD, SD: standard deviation, RSD: relative standard deviation, Ix: integration mean.

Fig. 11: Comparison of accuracy result across the % range and it was found that the %RSD at each replicate level was<2%. RSD: relative standard deviation
Linearity
Quantitative NMR method is linear in itself because the strength of the outcome peak is directly proportionate to the aggregate of contributing nuclei. This was checked by making standard solutions at six altered concentration scales from 70% to 120%. Its curve was drawn for drug amount (in mg) versus found drug amount (in mg). The curve equation calculated from the regression method in which y-axis represented found drug (in mg) and x-axis represented taken drug (in mg) as resultant it found that y = 0.9893x+0.087. The RSD and correlation coefficient (R2) was found 0.743 and 0.9989 respectively, indicating good linearity (table 3 and fig. 12).

Fig. 12: Linearity curve of obeticholic acid obtained by different concentration levels ranging from 70% to 120%. R2: correlation coefficient; y: slope-intercept
Table 3: Linearity studied results acquired at different concentration levels
| Preparation | Concentration levels (in %) | Taken amount of drug (in mg) | Integration mean (Ix) | Found amount of drug (in mg) | % purity (as such) |
| 1. | 70 | 7.39 | 0.43 | 7.33 | 99.29 |
| 2. | 80 | 8.27 | 0.49 | 8.36 | 101.2 |
| 3. | 90 | 9.37 | 0.55 | 9.38 | 100.17 |
| 4. | 100 | 10.27 | 0.60 | 10.23 | 99.70 |
| 5. | 110 | 11.36 | 0.66 | 11.26 | 99.14 |
| 6. | 120 | 12.46 | 0.73 | 12.45 | 99.98 |
mean±SD %RSDa |
99.91±0.7426 0.7433 |
aMean of six determination %RSD, Ix: integration mean, RSD: relative standard deviation,SD: standard deviation.
Limit of detection (LOD) and quantitation (LOQ)
In this method with Lorentzian line as respond peaks, the LOQ and LOD to be calculated by way of the slope (s) and the SD of the intercept (σ) of a calibration curve acquired in the linearity. The SD of intercept was calculated as 0.0231 by multiplying square-root of total number of preparation with standard error of intercept that is acquired as 0.0094 by regression model in which y-axis represented integration mean and x-axis represented taken amount of drug. The final amount LOD and LOQ were studied with equation (2) and (3) respectively [23].
. (2)
. (3)
The calculated detection and quantitation limits were found to be 0.0773 mg and 0.234 mg, respectively.
Stability of solution
The stability of the drug analyzed during the study period itself should not alter during the acquisition. The solution is believed to be stable, if percentage variance in purity is<1.0 once equated with initial value. In case of test solutions are not stable at ambient temperature, same should be recurring at refrigerated temperature (about 2-8 °C) [19].
Preparation was analyzed at temperature (~25 ℃) on 0 (Initial), 6, 12 and 24 h pauses and calculated percent purity for every pause. Evaluated percent variance for preparation at altered time pause with regard to the initial value, as resultant no major change was found. Results are tabulated in table 4 and also compared the pairs of value with each other in fig. 13.
Table 4: Stability results of test solution studied at different time intervals
No. of readings |
Time interval (h) | Taken amount of drug (in mg) | Integration mean (Ix) | Found amount of drug (in mg) | % purity (as such) | % Difference |
| 1. | Initial | 10.36 | 0.60 | 10.23 | 98.83 | NA |
| 2. | 6 | 10.36 | 0.60 | 10.23 | 98.82 | 0.01 |
| 3. | 12 | 10.36 | 0.60 | 10.23 | 98.83 | 0.00 |
| 4. | 24 | 10.36 | 0.60 | 10.22 | 98.73 | 0.10 |
mean±SD %RSDa |
98.80±0.048 0.049 |
aMean of four determination %RSD, Ix: integration mean, NA: not applicable, No. of readings: number of readings, RSD: relative standard deviation, SD: standard deviation.

Fig. 13: Comparison of stability of test solution at room temperature and it was noted that the % difference is less than 1% at each interval (per 6 h) which indicates good stability
Robustness
It is an analytical procedure that is a degree of its aptitude to stay untouched via little but a deliberate variant in practical parameters listed in the process and provides a sign of its appropriateness at normal practice. This method was assessed by varying 3 parameters individualistically:
1) The number of scan±16 (32, 48, 64 scans),
2) The pulse program zg and zg30, and
3) The standard internal TMB amount variation ~20% (10±2.0 mg)
According to the tabulated in table 5, ran the experiment by varying number of scan namely 32, 48, and 64 rather than 32 only didn’t affect the determination. A 20% variation in TMB internal standard quantity didn’t noticeably change the measures of drug. And by changing the pulse program also did not get any significant difference. Thereby, this study is fairly robust in terms of above parameters; it is also represented in comparative column charts in fig. 14.
Table 5: Robustness studied results obtained by varying three parameters
No. of reading |
Parameter changes | Taken amount of drug (in mg) | Integration mean (Ix) | Found amount of drug (in mg) | % Purity (as such) | Mean±SD of each changed parameter | % Diff |
|
1. 2. 3. |
No. of scans | 32 48 64 |
10.45 10.45 10.45 |
0.61 0.61 0.61 |
10.41 10.41 10.41 |
99.62 99.62 99.64 |
99.62±0.0115a | NA 0.00 0.02 |
1. 2. |
Pulse program | zg zg30 |
10.45 10.45 |
0.61 0.61 |
10.41 10.41 |
99.62 99.62 |
99.62±0b | 0.00 0.00 |
1. 2. 3. |
20% variation in TMB conc. | 8.37 10.39 12.25 |
10.03 10.11 10.30 |
1.17 1.01 0.82 |
10.02 10.74 10.28 |
99.95 100.58 99.83 |
100.12±0.4028a | NA 0.63 0.75 |
aMean of three determination, bMean of two determination, Diff: difference, Ix: integration mean, NA: not applicable, No. of readings: number of readings, SD: standard deviation, zg: Pulse program of NMR.

Fig. 14: Comparison of robustness of the method in which three parameters were changed: (a) number of scans, (b) pulse program and (c) amount of internal standard, and it was found that the %difference is<1% at each parameter. TMB: Tetramethylbenzene, No.: number, zg: Pulse program of NMR
Comparison with other technique
The assay results accomplished by quantitative NMR were also ratified through comparison with another in-house UHPLC-MS tool. To assure the molecular weight and purity of the drug (1 mg drug sample) is solubilized in the diluent DMSO-d6. Structure was confirmed by observing mass spectroscopy fragment at m/z value 385.2 after subtracting–COOH group m/z value 45 (in MS+VE) and it found that standard drug was 99.85% pure with retention time 2.949 min which results of UHPLC-MS method didn’t shown any differences with quantitative NMR method as mentioned in fig. 15.

Fig. 15: Liquid chromatography-mass spectrometry spectra of obeticholic acid acquired after method validation by quantitative nuclear magnetic resonance to compare the assay result. UHPLC-MS: ultra-high performance liquid chromatography-mass spectrometry; RT: retention time
The quantitative NMR method employed herein proved to be rapid as well as easy to implement. The different aspects of performance of the method, such as linearity, precision and accuracy, satisfied our requirements well. For initial confirmation of obeticholic acid API, various NMR techniques are employed for the evaluation of the drug as preliminary authenticity and sample assessment by several experiments. For the quantification of the drug obeticholic acid and internal reference standard TMB, the proton NMR signals at 0.602 ppm and 6.86 ppm were used as. The curve equation calculated from the regression method, the RSD and correlation coefficient (R2) was found to be 0.743 and 0.9989 respectively, indicating good linearity. Assay results obtained by quantitative NMR were also confirmed by comparing with in-house UHPLC-MS method in which it found 99.85%. Thus quantitative determination of drug purity was found to be 99.91% in linearity with LOD and LOQ values as 0.0773 mg and 0.2344 mg respectively, making the study of method validation for drug obeticholic acid successful. Furthermore, modern NMRs operating in the field of 400MHz can be used for data processing. The gain of the method, that there was no standard reference of the drug was requisite for quantitation and its high reliability, simultaneously, simplicity of measurement enable it to apply for quantitation of obeticholic acid in commercial products.
The authors would like to thank Kartikeya Dwivedi, senior research scientist-II in Jubilant Chemsys for his valuable technical skills, and are grateful to the master Abhisek Nag senior research scientist-I in Jubilant Chemsys. Authors are also obliged to management of Pharmacy Institute, NIET, Greater Noida for providing all necessary facilities to compile the work successfully.
Nil
I Rakesh Sahu (corresponding author) have done entire research work under the guidance of Dr. Rakhi Mishra and Mrs. Chandana Majee. The preparation of this manuscript is contributed by Dr. Rupa Mazumder and Mr. Ajay Kumar. I also confirm that there are no conflicts of interest between the authors in any respect.
The authors confirm that there are no conflicts of interest exist.
Bharti SK, Roy R. Quantitative 1H NMR spectroscopy. TrAC 2012;35:5-26.
Roberts GC. Applications of NMR in drug discovery. Drug Discovery Today 2000;5:230-40.
Van Halbeek H. NMR developments in structural studies of carbohydrates and their complexes. Curr Opin Struc Biol 1994;4:697-709.
Gawrisch K, Eldho NV, Polozov IV. Novel NMR tools to study structure and dynamics of biomembranes. Chem Phys Lipids 2002;116:135-51.
Holzgrabe U, Deubner R, Schollmayer C, Waibel B. Quantitative NMR spectroscopy-applications in drug analysis. J Pharm Biomed Anal 2005;38:806-12.
Wells RJ, Hook JM, Al-Deen TS, Hibbert DB. Quantitative nuclear magnetic resonance (QNMR) spectroscopy for assessing the purity of technical grade agrochemicals: 2, 4-dichlorophenoxyacetic acid (2, 4-D) and sodium 2, 2-dichloropropionate (Dalapon sodium). J Agric Food Chem 2002;50:3366-74.
Pellicciari R, Fiorucci S, Camaioni E, Clerici C, Costantino G, Maloney PR, et al. 6α-ethyl-chenodeoxycholic acid (6-ECDCA), a potent and selective FXR agonist endowed with anticholestatic activity. J Med Chem 2002;45:3569-72.
Pellicciari R, Costantino G, Camaioni E, Sadeghpour BM, Entrena A, Willson TM, et al. Bile acid derivatives as ligands of the farnesoid X receptor. Synthesis, evaluation, and structure− activity relationship of a series of body and side chain modified analogues of chenodeoxycholic acid. J Med Chem 2004;47:4559-69.
Pellicciari R, Costantino G, Fiorucci S. Farnesoid X receptor: from structure to potential clinical applications. J Med Chem 2005;48:5383-403.
Markham A, Keam SJ. Obeticholic acid: first global approval. Drugs 2016;76:1221-6.
Shah RA, Kowdley KV. Obeticholic acid for the treatment of nonalcoholic steatohepatitis. Expert Rev Gastroenterol Hepatol 2020;14:311-21.
Dousa M, Slavíkova M, Kubelka T, Cerny J, Gibala P, Zezula J. HPLC/UV/MS method application for the separation of obeticholic acid and its related compounds in development process and quality control. J Pharm Biomed Anal 2018;149:214-24.
Li XY, Zhu SH, Yang F, Hu GX, Yuan LJ. An ultra-performance liquid chromatography-tandem mass spectrometry method for the determination of obeticholic acid in rat plasma and its application in preclinical pharmacokinetic studies. J Chromatogr B 2019;1121:82-8.
Edwards JE, LaCerte C, Peyret T, Gosselin NH, Marier JF, Hofmann AF, et al. Modeling and experimental studies of obeticholic acid exposure and the impact of cirrhosis stage. CTS Clin Transl Sci 2016;9:328-36.
Olthof PB, Huisman F, Schaap FG, Van LKP, Bennink RJ, Van GRF, et al. Effect of obeticholic acid on liver regeneration following portal vein embolization in an experimental model. Br J Surg 2017;104:590-9.
Malz F, Jancke H. Validation of quantitative NMR. Biomed Anal 2005;38:813-23.
Harahap Y, Irawan H, Kuswardani. Development and validation of analytical method of 3, 4-methylenedioxy-n-ethylamphetamine in dried blood spot using gas chromatography-mass spec-trometry. Int J Appl Pharm 2020;12:94-9.
El-Sheikh R, Hassan WS, Fahmy R, Gouda AA. Validated spectrophotometric methods for determination of montelukast sodium in pure and dosage forms using n-bromosuccinimide and dyes. Int J Appl Pharm 2020;12:152-9.
Guideline IH. Validation of analytical procedures: text and methodology Q2 (R1). Vol. 11. InInternational conference on harmonization, Geneva, Switzerland; 2005.
Pauli GF, Chen SN, Simmler C, Lankin DC, Gödecke T, Jaki BU, et al. Importance of purity evaluation and the potential of quantitative 1H NMR as a purity assay: miniperspective. J Med Chem 2014;57:9220-31.
Bridwell H, Dhingra V, Peckman D, Roark J, Lehman T. Perspectives on method validation: importance of adequate method validation. Qual Assur J 2010;13:72-7.
De-Souza SV, Junqueira RG. A procedure to assess linearity by ordinary least squares method. Anal Chimica Acta 2005;552:25-35.
Mocak J, Bond AM, Mitchell S, Scollary G. A statistical overview of standard (IUPAC and ACS) and new procedures for determining the limits of detection and quantification: application to voltammetric and stripping techniques (technical report). Pure Appl Chem 1997;69:297-328.
Maniara G, Rajamoorthi K, Rajan S, Stockton GW. Method performance and validation for quantitative analysis by 1H and 31P NMR spectroscopy: applications to analytical standards and agricultural chemicals. Anal Chem 1998;70:4921-8.