
1Sri Satya Sai University of Technology and Medical Science sehore M. P. India, 1Dean Pharmacy, Sri Satya Sai University of Technology and Medical Science Sehore M. P., 2Rungta Institute of Pharmaceutical Science and Research, Bhilai Durg C. G. India, 3Gulabkali Memorial College of Pharmacy Chakghat Rewa M. P India, 4Aditya College of Pharmacy Satna M. P. India
Email: rajeevrewa86@gmail.com
Received: 14 Jul 2020, Revised and Accepted: 23 Sep 2020
ABSTRACT
Pharmaceutical analysis plays a very prominent role in quality assurance as well as quality control of bulk drugs and pharmaceutical formulations. Rapid increase in pharmaceutical industries and production of drug in various parts of the world has brought a rise in demand for new analytical techniques in the pharmaceutical industries. As a consequence, analytical method development has become the basic activity of analysis. From the times of yore, people were trying to find safe and sound ways to treat viral infections. In the current scenario, due to the emerging of new viruses, the development of drugs for their treatment is also gaining equal importance. Before launching to the market, these drugs should undergo a validation process. High-performance liquid chromatography (HPLC) coupled with ultraviolet (UV), Photodiode array detectors (PDA), Mass spectrophotometer (MS) detectors etc. is one of the fastest, safe and precise technologies used for determination and separation of pharmaceutical drugs, impurities and biological samples. HPLC is versatile and it takes less time for quantification of drugs as compared to old liquid chromatography techniques. Tenofovir disoproxil fumarate (TDF), Emtricitabine (FTC) and Efavirenz (EFV) is antiretroviral medicine used treat AIDS as well as chronic Hepatitis-B. It is used alone or with other HIV medications to help control HIV infection. The present review article assesses the published analytical methods and a variety of approach for investigation of TDF, FTC and EFV in bulk drug as well as pharmaceutical formulations including combinations. The present studies revealed that HPLC technique along with the spectroscopic have been most widely explored for the analysis. The investigatory review may provide the comprehensive details to the researchers who are working in the area of analytical research of TDF, FTC and EFV.
Keywords: Pharmaceutical analysis, High-performance liquid chromatography, Tenofovir disoproxil fumarate, Emtricitabine, Efavirenz
© 2020 The Authors. Published by Innovare Academic Sciences Pvt Ltd. This is an open access article under the CC BY license (http://creativecommons.org/licenses/by/4.0/)
DOI: http://dx.doi.org/10.22159/ijap.2020v12i6.39040. Journal homepage: https://innovareacademics.in/journals/index.php/ijap
The main goal of the pharmaceutical industry is to provide drug products with sufficient quality, efficacy and safety. The development of a new drug product and its production consist of many pharmaceutical processes, including analytical testing. The analytical data generated support further decisions on how development should be pursued or provide information on whether a drug product should be released. It is important that each such development or production process provide credible results with constant quality and therefore, it needs to be controlled and, if necessary, continually improved. By improvement of the quality of a pharmaceutical process, the quality of a drug product is also improved. Analytical methods are among the most critical processes in drug product development and production. They play a key role in supporting other development and production processes throughout all stages of a drug product’s life cycle. It is essential that an analytical method be precise, accurate and reliable, making it suitable for its intended purpose [1, 2]. In most cases, the main working principle of an analytical method is separation of the analytes present in the sample. Liquid chromatography (LC) techniques are most commonly employed, such as HPLC or ultraperformance liquid chromatography (UPLC), often in reversed-phase mode with UV absorbance detection. The purposes of analysis differ depending on the number, importance and relation of analytes that are required to be determined. Analytical methods for the assay of an active pharmaceutical ingredient (API) or determination of its related substances and degradation products are most commonly applied [2]. Development of a specific and robust stability-indicating LC method for the determination of related substances and degradation products is a complex process. It requires a deliberate forced degradation of a drug substance and/or a drug product under various stress conditions, such as hydrolytic, oxidative, photolytic, or thermal conditions, to provide stressed samples containing the analyte and its degradation products. The stress conditions are more severe than the accelerated and long-term stability conditions prescribed in the ICH guidelines for stability testing. An analytical method for determination of degradation products should be capable of detecting their increase during the product’s shelf life and the method for the assay should be capable of detecting any decrease in the drug substance’s content during its shelf life. Such methods are stability indicating [3-6].
Recent estimates indicate that 34 million people are currently living with HIV/AIDS worldwide, with approximately 2.5 million new infections occurring annually [7]. The virus is transmitted through the exchange of virus containing fluids, including blood, breast milk, semen and genital secretions [8-10]. Routes of viral infection include sexual contact, injection drug use, from mother to child during pregnancy, childbirth, or breast-feeding, and exposure of infected body fluids to exposed membranes or tissue [10, 11]. Antiretroviral therapy (ART) is the primary modality for the treatment and management of the disease and can substantially reduce HIV-related morbidity and mortality [12-14]. ART is strongly recommended for all HIV-infected individuals, regardless of pretreatment CD41 T cell count. Furthermore, ART has shown efficacy not only in disease management but also in viral prevention as pre-exposure prophylaxis in high-risk populations [15-18]. There are currently more than 25 antiretroviral (ARV) agents approved for HIV treatment by the U. S. Food and Drug Administration (FDA) in both single-and multi-drug formulations [19]. Combinatorial ART regimens are typically required for the sustained suppression of viral replication and clinical benefit [20]. Currently, more than 100 regimens exist for the treatment of HIV [21]. ARVs elicit their therapeutic effects through the targeted inhibition of various stages of the viral infection cycle. Thus, drug classes are stratified as CCR5 antagonists, viral fusion inhibitors, nucleoside/nucleotide reverse transcriptase inhibitors (NRTIs/NtRTIs), non-nucleoside reverse transcriptase inhibitors (NNRTIs), integrase strand transfer inhibitors (INSTIs), and protease inhibitors (PIs). Many combinatorial ART regimens incorporate drugs from more than one ARV class, and the U. S. Department of Health and Human Services (DHHS) has indicated recommended and alternative regimens for disease management [22]. In addition, new therapies are continually being sought that exploit new viral targets, have activity against resistant viral strains, have a lower incidence of adverse effects, and offer convenient dosing. New agents of existing classes are currently in advanced stages of clinical development [23]. The growing demand for these agents stimulates a search for new even more effective drugs, but also calls for higher level of quality control of these therapeutic substances and preparations, so that they are in the highest possible degree free from any impurities that may come from the production process, as well as from decompositions products of active or auxiliary substances. Therefore, it seems appropriate to develop new analytical methods regarding their qualitative and quantitative analysis. For this aim, different analytical methods are used for determining anti-HIV drugs. Anti-HIV drugs are the recent developments of drugs and there is a great need to review the analytical work reported so far in the literatures. Efforts have been made to collect the literature from 2000 up to the present. Analytical methods allowing the determination of TDF, FTC and EFV drugs in various media, such as pharmaceutical formulations, biological matrices and environmental samples, is discussed. At present, there are five major classes of ARV drugs viz. nucleoside reverse transcriptase inhibitor [NRTI], non-nucleoside reverse transcriptase inhibitor [NNRTI], Protease inhibitors [PI], fusion inhibitor and integrase inhibitor [IIs].
The first single-tablet fixed-dose combination (FDC) antiretroviral (ARV) has been commercially available since 2006 and is marketed as Atripla® [24]. A generic product has been commercially available in South Africa since April 2013 [25, 26] and consists of efavirenz (EFV), emtricitabine (FTC) and tenofovir disoproxil fumarate (TDF) in a ratio of 600 mg/200 mg/300 mg. TDF in this quantity is equivalent to 245 mg tenofovir disoproxil (TNF) and 136 mg of tenofovir [27]. The tablet is taken once daily for the treatment of HIV-1 infection [28, 29]. Once-daily FDC tablets are the simplest antiretroviral therapy available [30]. FDC ARV therapy is convenient for patients as it reduces the “pill burden” which in turn improves adherence to therapy [28-30]. FDC were initially indicated for treating HIV-positive antiretroviral naïve patients and HIV-positive pregnant women and those who are breastfeeding. It is now available to all patients on the recommendation of a physician [26]. Treatment with EFV, FTC and TNF is the preferred first-line therapy for antiretroviral naïve HIV-1-infected persons [30]. Bioequivalence between the dosage form containing a single molecule and the FDC in addition to favourable pharmacokinetics facilitates once daily dosing of EFV, FTC and TNF [24, 30].
Nucleoside reverses transcriptase inhibitors (NRTIs)
The first generation of ARV drugs is NRTIs permitted to treat HIV [31]. Reverse transcriptase is an HIV enzyme that converts viral RNA into DNA in host CD4 cells and the process is known as reverse transcription. NRTIs inhibit the enzyme reverse transcriptase and prevent the synthesis of DNA. Without reverse transcriptase, HIV cannot replicate and infection cannot spread. Nucleoside analogues possess structural similarity with the natural building blocks of DNA and have to undergo phosphorylation to become active in the body. NRTIs are falsely chosen by reverse transcriptase to build the faulty DNA that denies further addition of natural nucleotides. Thus, the new DNA built incorrectly led to halt HIV replication [32]. Following are some NRTIs used for HIV therapy: Zidovudine, Didanosine, Stavudine, Lamivudine, Abacavir, Adefovir, Emtricitabine (FTC), Tenofovir disoproxil fumarate (TDF).
Emtricitabine (FTC)
FTC is a synthetic fluoro derivative of thiacytidine with potent antiviral activity approved in 2003. Chemically it is a 4-amino-5-fluoro-1-[[2R, 5S]-2-[hydroxymethyl]-1, 3-oxathiolan-5-yl] pyrimidin-2-one, the solubility of which in water is 112 mg/ml with logP value of-1.4. FTC is a white to off white, crystalline powder [33, 35]. FTC has an empirical formula of C8H10FN3O3S and a relative molecular mass of 247.2 g/mol [34, 36]. FTC contains no less than 99.0 percent and not more than 101.0 percent of emtricitabine (C8H10FN3O3S), calculated with reference to the anhydrous reference material [34]. FTC, when combined with TDF, has shown together greater HIV RNA suppression compared to the combination of Zidovudine and Lamivudine [37, 38]. Co administration of FTC/TDF with antiviral drugs that eliminate through kidney by means of active tubular discharge may enhance plasma TDF or FTC concentrations and/or those of simultaneously given drugs [39]. FTC undergoes phosphorylation to form active FTC triphosphates metabolite using cellular kinase enzymes. FTC and phosphorylated metabolite give varying pharmacokinetic results [40]. The molecules mimic normal nucleos(t)ides that are incorporated into DNA at the 3’ terminus. However FTC and TNF lack the 3’-OH and their incorporation at the 3’ terminus of the DNA therefore terminates chain elongation by preventing incorporation of additional nucleotides [28, 41, 42]. TDF diphosphate and FTC 5’-triphosphate are weak inhibitors of α, β, ϒ cellular DNA polymerases and FTC 5’-triphosphate weakly inhibits DNA polymerase ε [28]. The combination of TNF and FTC has been the preferred NRTI regimen since 2003 since approval by FDA [30]. A single-tablet combination has been approved by the FDA and more recently by the Medicines Control Council (MCC) of South Africa for pre-exposure prophylaxis (PrEP) although it is not widely used clinically [43, 44]. The HIV-1 reverse transcriptase (RT) mutation K65R is a common multi-drug resistance mutation that confers resistance to NRTI including TNF and FTC [11, 42, 45, 46] and this mutation may be responsible for cross-resistance between different NRTI [42, 46]. Cases of acute renal failure and Fanconi syndrome (FS) have been reported in patients treated with TNF [47] although clinically important renal toxicity is rare [48]. FTC and TNF undergo limited systemic metabolism [49].
Tenofovir disoproxil fumarate (TDF)
TDF is the acyclic nucleotide analogue of adenosine monophosphate approved for HIV treatment in 2004 [50]. Chemically, it is an [[2R]-1-[6-aminopurin-9-yl]propan-2-yl]oxymethyl phosphonic acid, the solubility of which in water is 13.4 mg/ml at 25 °C with a logP value of-1.6. TDF has an empirical formula of C19H30N5O10P, C4H4O4 and a relative molar mass of 635.5 g/mol. It occurs as a white to almost white crystalline powder [51-53]. TDF contains no less than 98.5 percent and not more than 101.0 percent of TDF (C19H30N5O10P, C4H4O4), calculated with reference to an anhydrous reference material [52]. TDF refers to the solid/raw material whereas TNF refers to TDF in solution and tenofovir peaks in chromatograms. TDF is phosphorylated twice to the active diphosphate form. High fat meal increases the bioavailability of TDF and remains unaffected by normal meal [54]. As TDF is eliminated through the kidney and is not a substrate for CYP45, its dosage regimen needs to be modified in renal complications [55, 56]. Gervasoni et al. showed that HIV-infected females with diminished body weight are in danger to be exposed to elevated TDF plasma trough concentrations, eventually bringing about a huge threat to produce long-term TDF complications [55].
Non-nucleoside reverse transcriptase inhibitor [NNRTI]
NNRTIs restrain the process of viral DNA synthesis by directly binding to the hydrophobic pocket of reverse transcriptase enzyme [31]. Unlike NRTIs, which must be phosphorylated to prevent HIV from infecting the cell, NNRTIs are active in the form administered. NNRTIs are classified as 1st generation and 2nd generation NNRTIs. 1st generation NNRTIs include Nevirapine and Efavirenz [EFV] and 2nd generation NNRTIs are Etravirine and Rilpivirine. HIV-2 is naturally resistant to NNRTIs.
Efavirenz (EFV)
EFV is a benzoxazin analogue approved by FDA in 1998 for the treatment of patients infected with HIV [57]. Chemically, it is an [4S]-6-chloro4-[2-cyclopropylethynyl]-4-[trifluoromethyl]-1H3,1-benzoxazin-2-one and occurs as a white to slightly pink crystalline powder [58-60]. The empirical formula for EFV is C14H9ClF3NO2 and the relative molar mass is 315.7g/mol [58, 60, 61]. EFV contains no less than 97.0 percent and not more than 103.0 percent of C14H9ClF3NO2 calculated with reference to the anhydrous reference material [58]. The solubility of which in water is 0.093 mg/l at 25 °C with logP value of 4.6. The dosing of EFV is once-daily due to its long half-life. EFV is usually preferred to treat HIV patients co-infected with tuberculosis [TB]. Both the diseases are life-threatening and treatment becomes very difficult due to drug-drug interactions between EFV and rifampicin [62, 63]. Side effects of EFV are found to be associated with the EFV plasma concentration. Various side effects are associated with high and low plasma levels of EFV particularly in HIV-TB co-infected patients for which TDM studies become necessary. EFV levels are directly correlated with optimum therapeutic output and central nervous system side effects. Therefore, TDM of EFV in clinical practice is essential for optimum therapeutic output, especially in HIV-TB co-infected patients who are under treatment with the combination of EFV and rifampicin. On the other hand, EFV possesses high protein binding property [>99%] and thus gets penetrated into male genital tract through blood. High penetration in male genital tract makes it an important candidate to study its concentration for prophylaxis use. HIV replication took place inside the cell, so ARV drugs have to enter the cells at an adequate concentration to restrain viral replication. Subsequently, studying intracellular drug concentration is a valuable tool to ascertain effective levels of ARVs in target cells mainly in virological failure regardless of efficient plasma level concentrations.
Dissociation constant (pKa)
EFV is a weak acid with a pKa of 10.2. It is therefore ionised at high pH, at which the carbonate moiety undergoes deprotonation to form a negatively charged species. The trifluoromethyl and ethylene moieties are most likely responsible for the lowering of the pKa [64, 65]. The pKa of FTC and TNF are 2.65 and 3.75 respectively [35, 36, 66]. EFV is a weak acid whereas FTC and TNF are weak bases.
Solubility
EFV is practically insoluble in water (9.0μg/ml) but is freely soluble in methanol [14, 31, 38, 39]. FTC is freely soluble in methanol and water (112 mg/ml) and is practically insoluble in dichloromethane R [34-36, 58]. TNF has a solubility of 13.4 mg/ml in distilled water at 25 °C [51].
Biopharmaceutical classification system (BCS)
The BCS provides a framework to classify molecules into categories based on their aqueous solubility and membrane permeability. Class 1 drugs have high solubility and high permeability, class 2 drugs low solubility and high permeability, class 3 drugs high solubility and low permeability and class 4 drugs low solubility and low permeability. EFV has low aqueous solubility and high intestinal permeability and is classified as a Class 2 molecule. FTC has high aqueous solubility and high intestinal permeability and is classified as a Class 1 molecule. TNF, the form of tenofovir that is aborbed, has high aqueous solubility and low intestinal permeability and is classified as a Class 3 molecule [67, 68].
Melting range
EFV melts within the range of 139-141 °C [69]. FTC melts within the range of 136-140 °C [70]. TNF melts within the range of 276-280 °C [71].



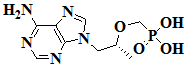
(A) (B) (C)
Fig. 1: Chemical structure of (A) Emtricitabine, (B) Tenofovir, (C) Efavirenz, reported analytical methods for TDF, FTC and EFV
Spectrophotometric methods
Many analytical methods involving spectroscopic analysis of the drug individually and as multicomponent samples have been reported. These methods include a simultaneous equation method, derivative spectrophotometric method, absorption ratio and a method based on Q analysis.
Chromatographic method
Liquid chromatographic analysis for the determination of TDF, FTC and EFV individually and in combination has been reported covering different phases of analytical research viz; profiling of impurities, stability indicating analytical methods, bioanalytical method development in different biological fluids to determine the concentration of TDF, FTC and EFV in human serum and to determine simultaneously in synthetic mixture or combination dosage form.
Stability indicating method
Stability indicating method is used to check drug stability under different conditions. Here, TDF, FTC and EFV are studied by RP-HPLC and UPLC for stability studies.
Table 1: RP-HPLC/UPLC methods for determination of TDF, FTC and EFV
| S. No. | Name of drug/formulation /biological fluid | Column | Mobile phase composition | Detection (nm) | Ref. |
| 1 | FTC-Tablet | Peerless basic C18 (50 mm x 4.6 mm, 3μm) | Buffer (pH 3.0): methanol-90:10% (v/v) | 280 nm | 72 |
| 2 | FTC-Nanoparticles | Phenomenex C18 (250 mm × 4.6 mm, 5𝜇m) | 40 mmol phosphate buffer (pH 6.8), methanol and 2% acetonitrile (83: 15: 2, v/v/v) | 280 nm | 73 |
| 3 | FTC-Tablet | Phenomenex C18 (250 mm × 4.6 mm, 5𝜇m) | 10 mmol phosphate buffer (pH 6.8) methanol-2% acetic acid (73: 25: 2, v/v/v) | 280 nm | 74 |
| 4 | FTC-Capsule | Luna RP-18(2),250X4.6 mm, 5 µm | Buffer: acetonitrile (85:15 %v/v) | 280 nm | 75 |
| 5 | FTC-Capsule | Phenomenex (Torrance, CA) C8 250× 4.6 mm | 0.03M Phosphate buffer (pH 4.86±0.02): acetonitrile: methanol (40:20:40 v/v/v) | 280 nm | 76 |
| 6 | FTC/TDF/Elvitegravir/Cobicistat-Tablet | Inertsil ODS 3V C18 (250 mm×4.6 mm, 5 μm, 100Å) | A =KH2PO4 (0.02M) pH 2.5, B= acetonitrile | 240 nm | 77 |
| 7 | FTC/TDF-Tablet | Hypersil, 250 X 4.6 mm, 5µ | Buffer (pH 3.7): acetonitrile 60:40 (v/v) | - | 78 |
| 8 | FTC/TDF/Rilpivirine-Tablet | Inertsil C18 (150x4.6 mm, 5 µm) | 0.1N Phosphate buffer(pH: 4): acetonitrile (40:60v/v) | 275 nm | 79 |
| 9 | FTC/TDF-Tablet | Inspire C18 (150×4.6 mm) 5.0 µm | Buffer (pH 2.5): methanol (30:70 v/v) | 272 nm | 80 |
| 10 | FTC/TDF-Tablet | Inspire C18 (4.6×250 mm) 5 µm | Mixed buffer (KH2PO4 and K2HPO4) pH 3: ACN (30:70v/v) | 273 nm | 81 |
| 11 | FTC/TDF/Rilpivirine–Tablet | Kromasil C18 (250 mm × 4.6 mm, 5µ) | 0.01N Potassium dihydrogen phosphate and acetonitrile 65:35 (v/v/) | 279 nm | 82 |
| 12 | FTC/TDF/Elvitegravir/Cobicistat-Tablet | Atlantis C18 (100×4.6 mm, 5 μm) | Gradient mixture of 0.1% trifluoroacetic acid and acetonitrile | 240 nm | 83 |
| 13 | FTC/TDF–Plasma | Hypersil C18 (250 mm×4.0 mm, 5 μm) | sodium dihydrogen orthophosphate buffer (pH 6.9) and methanol (96:4) | 259, 265,280 nm | 84 |
| 14 | FTC/TDF/Rilpivirine | Thermo Hypersil ODS C18 (150×4.6 mm, 5µ) | Acetonitrile and Phosphate buffer pH 3 (60:40) | 260 nm | 85 |
| 15 | FTC/TDF-Tablet | DIKMA (50 x 2.1 mm, 1.7µ) | Phosphate buffer (pH 5.6) and methanol 60:40 | 240 nm | 86 |
| 16 | FTC/TDF-Tablet | Hypersil TM BDS C18 120A (250 × 4.60 mm, 5µ) | Methonal and phosphate buffer pH 2.5 (65:35 % v/v) | 261 nm | 87 |
| 17 | FTC/TDF/Bictegravir-Tablet | Zodiac C18 150x4.6 mm, 5µ | Buffer and Acetonitrie (55:45 v/v) | 272 nm | 88 |
| 18 | FTC/TDF-Tablet | Phenomenex-Luna C18 (25 cm x 4.60 mm, 5 µm) | 10 mmol phosphate buffer (pH 6.8): acetonitrile; 40: 60 (v/v) | 260 nm | 89 |
| 19 | FTC/TDF/Elvitegravir/Cobicistat-Tablet | ODS (250 × 4.6 mm, 5 µm) | A= (potassium dihydrogen orthophosphate, pH 2.5) B= (acetonitrile) 55:45% v/v |
250 nm | 90 |
| 20 | FTC/TDF-Tablet | Phenomenax Luna C18 (150 mm x 4.6 mm, 5 µm) | Acetonitrile: methanol: water 30:50:20 (v/v) | 258 nm | 91 |
| 21 | FTC/TDF-Tablet | BEH C18 (100 mm × 2.1, 1.8 µm) | 0.68% potassium dihydrogen orthophosphate buffer of pH = 6 and methanol 45:55 v/v | 261 nm | 92 |
| 22 | FTC/TDF-Tablet | Luna C18 (25 cm x 4.60 mm, 5 µm) | Acetonitrile: potassium dihydrogen phosphate buffer (pH 3.0±0.05): triethylamine 70:30:0.5(v/v) | 260 nm | 93 |
| 23 | FTC/TDF-Tablet | Promosil C18, (250 mm, 4.6 mm, 5 µm) | Methanol: Phosphate cushion 68:32 % v/v. | 259 nm | 94 |
| 24 | FTC/TDF-Tablet | Inertsil ODS C18 (250 mm x 4.6 mm, 5 µm) | 0.1% triflouro acetic acid (TFA) buffer and methanol 39:61 (v/v) | 261 nm | 95 |
| 25 | FTC/TDF/Cobicistat/Elvitegravir-Tablet | Kromasil C18 (250×4.6 mm, 5 µm) | Orthophosphoric acid buffer: acetonitrile (55:45 %v/v) | 240 nm | 96 |
| 26 | FTC/TDF-Tablet | Phenomenax Luna C18 (250 mm x 4.6 mm, 5 µm) | Methanol: phosphate buffer pH-3 (70:30 v/v) | 258 nm | 97 |
| 27 | FTC/TDF/Dolutegravir-Tablet | Phenomenex kinetex Biphenyl 250x4.6 mm, 5 µm | A= ammonium acetate (10 mmol) pH 3.0, B= Acetonitrile, ammonium acetate (10 mmol) pH 3.0 and methanol 70:15:15%v/v/v | 260 nm | 98 |
| 28 | FTC/TDF/Cobicistat, Elvitegravir-Tablet | Kromasil C18 (250 mm x 4.6 mm x5 µm) | 0.01N KH2PO4(pH 2.5) and acetonitrile (43:57v/v) | 254 nm | 99 |
| 29 | FTC/TDF/Cobicistat, Elvitegravir-Tablet | Hypersil BDS C18 250x4.6 mm, 5 µ, 100A. | 0.05M Phosphate buffer pH 3.0 and acetonitrile 95:5 | 240 nm | 100 |
| 30 | FTC/TDF/Rilpivirine-Tablet | Agilent C18 (250 × 4.6 mm, 5 μm) | 0.1%Formic acid: acetonitrile (65:35%, v/v) | 250 nm | 101 |
| 31 | TDF-Tablet | Phenomenex Luna C18 (250 x 4.6 mm x 5 μm) | Orthophosphoric acid (pH 3.0): acetonitrile: aethanol (40:50:10% v/v) | 254 nm | 102 |
| 32 | TDF/lamivudine-Tablet | HypersilTM BDS C18 120A (250×4.60 mm, 5µ) | Acetonitrile and phosphate buffer pH 3.5 (80:20% v/v) | 260 nm | 103 |
| 33 | TDF/lamivudine-Tablet | Inertsil C18 column (15 cm x 4.6 mm, 5 µm) | 6.5 mmol Phosphate buffer pH 2.5 and acetonitrile (50:50 v/v) | 260 nm | 104 |
| 34 | TDF-Tablet | Acquity UPLC BEH C18 (1.7 µm, 1 mm X 50 mm) | 0.1% Formic acid and acetonitrile | - | 105 |
| 35 | TDF/lamivudine | Waters X-terra RPC18 (150 x 4.6 mm, 3.5 µm) | A= (ammonium acetate buffer, pH 5.0±0.05) and B= (methanol and ammonium acetate buffer 20:80) | 260 nm | 106 |
| 36 | TDF/lamivudine-Tablet | C18 (Inertsil ODS 3V, 250 mm x 4.6 mm; 5µ) | Phosphate buffer (pH3.5) and acetonitrile 55:45 v/v | 264 nm | 107 |
| 37 | TDF-Tablet | HiQ Sil C18HS (250 mm×4.6 mm, 5.0 µm) | Methanol: water (60:40, v/v) | 260 nm | 108 |
| 38 | EFV-Tablet | Welchrom C18 (4.6 X 250 mm, 5 µm) | 10 mmol Phosphate buffer (pH3.0): acetonitrile (50:50 v/v) | 246 nm | 109 |
| 39 | EFV-Plasma | Waters X-Terra Shield, C18 50 x 4.6 mm, 3.5 μm | Phosphate buffer pH 3.5 and acetonitrile | 260 nm | 110 |
| 40 | EFV/Lamivudine/Stavudine-Tablet | Inertsil ODS C18(4.6 X 250 mm, 5.0μm) | Phosphate Buffer (pH 4): methanol 30:70 v/v | 254 nm | 111 |
| 41 | EFV-Tablet | C18 250 x 4 mm (10 µm) | ACN: water: 85% H3PO4 (70:30:0.1) | 252 nm | 112 |
| 42 | EFV-Tablet | Develosil ODS HG-5 RP 150 mm × 4.6 mm 5 µm | Phosphate buffer (pH 3.1) and acetronitrile 40:60. | 249 nm | 113 |
| 43 | EFV-Tablet | Waters XBridge (4.6× 250 mm, 5 µm) | Ammonium format buffer (pH 5): ACN (28:72 v/v) | 247 nm | 114 |
| 44 | EFV/Lamivudine-Tablet | Acquity UPLC BEH Shield RP18 (50 × 3 mm, 1.7 µm) | 10% acetonitrile in methanol and 10 mmol phosphate buffer (pH 4.0) | 254 nm | 115 |
| 45 | EFV/TDF/lamivudine-Tablet | Kromasil C18 analytical column (150 × 4.6 mm, 5 μm) | 10 mmol phosphate buffer (pH 5.0) and methanol (30:70) | 254 nm | 116 |
| 46 | EFV/TDF/lamivudine-Plasma | Luna C18 (250 × 4.6 mm, 5µ) | A: Water with 0.1% (THF); B: acetonitrile with 0.1% THF | 254 nm | 117 |
| 47 | EFV/TDF/lamivudine-Tablet | SHISEIDO C18 (250 x 4.6 mm, 5µ) | Acetonitrile: 50 mmol phosphate buffer (pH 5.0) | 256 nm | 118 |
| 48 | FTC/TDF/EFV-Tablet | Zorbax SB-Phenyl, (250 mm X 4.6 mm), 5 µm | A: Buffer pH 3.7 B: methanol, acetonitrile and tetrahydrofuran (50: 50: 2 v/v/v) | 265 nm | 119 |
| 49 | FTC/TDF/EFV-Tablet | Inertsil ODS 3V (250 x 4.6 mm, 5µ) | A: 0.02M Sodium dihydrogen orthophosphate monohydrate B: methanol and water (85:15) | 265 nm | 120 |
| 50 | FTC/TDF/EFV-Plasma | Chromolith Performance RP-18e (100 × 4.6 mm) | A: (0.1% formic acid), B: acetonitrile | - | 121 |
| 51 | FTC/TDF/EFV | Acquity UPLC BEH m) cµPhenyl (2.1×100 mm, 1.7 | A: (Buffer, 1.0 ml of TEA in 1000 ml of water pH 4.0±0.05) and B: (buffer: acetonitrile (20:80, v/v) | 265 nm | 122 |
| 52 | FTC/TDF/EFV-Tablet | Phenomenex C8 (250 mm ×4.6 mm, 5 µm) | Buffer pH: 7.0 acetonitrile and methanol (40:40:20 v/v) | 262 nm | 123 |
| 53 | FTC/TDF/EFV-Tablet | Kromosil C18 100 x 4.6,3.5µ | 0.1M ortho phosphoric acid buffer and acetonitrile in 60:40 v/v | 265 nm | 124 |
| 54 | FTC/TDF/EFV-Tablet | XTerra symmetry C18 (4.6 x 150 mm, 3.5 µm) | Di hydrogen sulphate: methanol | 270 nm | 125 |
| 55 | FTC/TDF/EFV-Tablet | Zorbax C8 column (150 mm x 4.6 mm, 5 µm) | Buffer pH 2.4±0.02 and acetonitrile 70:30 v/v | 252 nm | 126 |
| 56 | FTC/TDF/EFV-Tablet | Acquity 50 mm×m 2.1 µUPLC BEH Phenyl 1.7 | A: 0.2% TEA in water pH 6.5±0.05, B: methanol and acetonitrile 50: 50 (v/v) | 260 nm | 127 |
| 57 | FTC/TDF/EFV-Tablet | Hypersil BDS C18 column (25 cm × 4.6 mm 5 µm) | Acetonitrile, phosphate buffer and water | 280 nm | 128 |
| 58 | FTC/TDF/EFV-Tablet | Thermosil C18 (100*4.6 mm, 5µ) | Methanol and Triethylamine (pH 7) (70:30 V/V | 260 nm | 129 |
| 59 | FTC/TDF/EFV-Tablet | Inertsil ODS 3 V C18 (150 mm × 4.6 mm 5 𝜇m) | Phosphate buffer (pH 3.5): acetonitrile (70: 30 v/v) | 256 nm | 130 |
| 60 | FTC/TDF/EFV-Tablet | Zorbax SB CN, (250 × 4.6 mm, 5 µm) | A: methanol, B: buffer at pH 4.5 | 260 nm | 131 |
| 61 | FTC/TDF/EFV-Tablet | HSS C18 (100 × 3 mm, 1.7 µ) | 0.01 N Phosphate buffer (pH 4.5) and acetonitrile (40:60, v/v) | 265 nm | 132 |
| 62 | FTC/TDF/EFV-Tablet | Inerstil ODS C18 250x4.6 mm, 5 µm | A: Buffer (0.05% Trifluro acetic acid in water) B: methanol | 262 nm | 133 |
| 63 | FTC/TDF-Tablet | C18 (250 x 4.6 mm) | Methanol: distill water 60:40 v/v (pH-3) | 260 nm | 134 |
| 64 | FTC/TDF/Rilpivirine-Tablet | Inertsil ODS 3V C18 (250 mm×4.6 mm, 5 µm), | 0.01M phosphate buffer (pH 4) and acetonitrile (30:70 v/v) | 265 nm | 135 |
| 65 | FTC/TDF-Tablet | Hi Q C18 W (150 mm: 4.6 mm, 5 μ) | Buffer, methanol and acetonitrile (40: 50: 10) | 265, 278 nm | 136 |
| 66 | FTC/TDF/Rilpivirine-Tablet | Acquity BEH C18 (50 x 2.1 mm, 1.7 µm) | Acetonitrile and phosphate buffer (pH 3)55:45(v/v). | 261 nm | 137 |
| 67 | FTC/TDF/Lamivudine-Plasma | ACE 5 CN (150 mm × 4.6 mm, 5 µm) | 0.5% Formic acid in water and acetonitrile (55:45, v/v) | - | 138 |
| 68 | FTC/TDF-Tablet | Premsil C18 (250 mm×4.6 mm, 5 μm) | Methanol: water (70:30 v/v) pH 3 | 273 nm | 139 |
| 69 | FTC/TDF-Tablet | Zorbax SB-C8 5 μm, 4.6 × 250 mm | 50 mmol Phosphate buffer (pH 6.0)-acetonitrile (50:50, v/v) | 260, 280 nm | 140 |
| 70 | FTC | RP C18 (25 cm×4.6 mm), 5 μm | ACN, phosphate buffer (pH 4.4), and water | 280 nm | 141 |
| 71 | FTC/TDF-Plasma | Synergi Polar-RP, 2.0 mm×150 mm, | 3% Acetonitrile/1% acetic acid, aq.) | - | 142 |
| 72 | FTC/TDF-Plasma | Chromolith Speed Rod RPC18 (50 mm×4.6 mm) | Methanol,acetonitrile and ammonium acetate (pH 3.0, 40 mmol) (20:80, v/v) | - | 143 |
| 73 | FTC/TDF-seminal plasma | Atlantis T3 C18 (2.1 × 100 mm, 3 µm) | A: Deionized water with 0.05% formic acid, B: methanol with 0.05% formic acid | - | 144 |
| 74 | FTC/TDF-Tablet | Agilent TC-C18 5 mm, 4.6´250 mm | Methanol and phosphate buffer (30:70 v/v, pH 4) | 261 nm | 145 |
| 75 | FTC/TDF-Tablet | Inertsil ODS C18, (4.6 × 250 mm, 5 µm) | Buffer: Acetonitrile (80:20) | 259 nm | 146 |
| 76 | FTC/TDF/EFV-Tablet | Hypersil BDS C18, 250x4.6 mm, 5 μm | Acetonitrile and 0.03M KH2PO4 (pH 3.2) 60:40 v/v | 260 nm | 147 |
Table 2: Spectrophotometric methods used for determination of TDF, FTC and EFV alone and in combined dosage form
| S. No. | Name of drug | Sample matrix | Method | Detection (nm) | Ref. |
| 1 | EFV | Tablet | Zero order | 247 | 148 |
| 2 | TDF | Tablet | Zero order | 260 | 149 |
| 3 | EFV/TDF/Lamivudine | Tablet | Simultaneous equation | 247, 260, 272 nm | 150 |
| 4 | FTC | Tablet | Zero order and area under curve | 280 nm, 272-286 nm | 151 |
| 5 | TDF | Tablet | Zero order | 260 nm | 152 |
| 6 | EFV/TDF/Lamivudine | Tablet | Zero order | 247, 260, 272 nm | 153 |
| 7 | FTC/TDF | Bulk | Simultaneous equation, Q–absorbance ratio method | (1)280 nm, 260 nm (2) 251,237 nm | 154 |
| 8 | FTC/TDF | Tablet | Simultaneous equation eethod | 282,261 nm | 155 |
| 9 | FTC/TDF | Tablet | Simultaneous Equation Method | 281, 210 nm | 156 |
| 10 | FTC/TDF/EFV | Tablet | Simultaneous equation method | 260, 241, 240 nm | 157 |
| 11 | FTC/TDF/Cobicistat/Elvitegravir | Tablet | Simultaneous equation method | 283, 259, 240, 258 nm | 158 |
| 12 | FTC | Tablet | Zero order, first order derivative | 241.1 and 232.7 nm | 159 |
| 13 | FTC/TDF | Tablet | Least square, first order, area under curve | 281,260.5 nm; 234.5, 281 nm; 278-283 nm,258-262 nm | 160 |
| 14 | TDF | Tablet | Zero order, first order | 260 nm, 273 nm | 161 |
| 15 | EFV/TDF/Lamivudine | Tablet | Simultaneous equation method, multicomponent analysis and derivative spectroscopy method | 247, 259 and 272 nm | 162 |
| 16 | EFV/TDF/Rilpivirine | Tablet | Simultaneous equation method | 240.8, 257.6, and 305.6 nm | 163 |
| 17 | EFV/TDF | Tablet | Simultaneous equation and Absorbance ratio method | 250, 274 nm; 255, 274 nm; | 164 |
| 18 | EFV/TDF | Tablet | Ratio derivative spectra, first-order, absorption corrected method | 271.07 and 302.17 nm; 224.38 and 306.88 nm | 165 |
| 19 | EFV/TDF | Tablet | Zero order | 298 nm | 166 |
| 20 | TDF/Lamivudine | Tablet | Simultaneous equation method | 271and 261 nm | 167 |
Table 3: HPTLC methods for determination of TDF, FTC and EFV
| S. No. | Name of drug | Formulation | Stationary phase plates | Mobile phase composition | Rf | Ref. |
| 1 | EFV/Lamivudine | Tablet | silica gel 60G F254 | Ethyl acetate: methanol: formic acid 7.0:2.5:0.5 (v/v) | Lamivudine= 0.57±0.02 EFV= 0.72±0.01 | 168 |
| 2 | FTC/TDF/EFV | Tablet | silica gel 60F 254 | Chloroform: methanol (90:10) | FTC =0.15, TDF =0.34, EFV =0.55 | 169 |
| 3 | FTC/TDF/Rilpivirin | Tablet | silica gel 60 F254 | Methanol: toluene: ethylacetate: ammonia (1.5:5.5:1.5:0.1 v/v/v/v) | Rilpivirin= 0.59, FTC= =0.29, TDF= 0.41 | 170 |
| 4 | TDF/Lamivudine | Tablet | silica gel 60 F254, (20 × 10 cm) | Chloroform: methanol: toluene (8: 2: 2, v/v/v) | TDF= 0.51, Lamivudine= 0.27 | 171 |
| 5 | EFV | Tablet | silica gel 60 F 254 | Toluene: ethyl acetate: formic acid (10: 3: 1 v/v) | 0.41±0.01 | 172 |
| 6 | EFV | Plasma | silica gel 60F254 | Dichloromethane: methanol (5:0.3 v/v) | 0.69±0.01 | 173 |
| 7 | TDF | Tablet | silica gel GF aluminum | Ethyl acetate: methanol: formic acid(7:2.5:0.5 %v/v) | 0.78 | 174 |
| 8 | FTC/TDF/Rilpivirin | Tablet | silica gel 60 F254 | Chloroform: ethyl acetate: methanol: glacial acetic acid (5:2:1:0.1 v/v/v/v) | FTC =0.28, TDF =0.52, Rilpivirin= 0.70 | 175 |
The present review discussed about different analytical approach employed for the assessment of TDF, FTC and EFV. Profuse examinations have been accomplished including, Bio-analytical, HPLC, UPLC, HPTLC, UV/Vis-Spectroscopy, LC-MS, LC-ESI-MS etc. for evaluation of TDF, FTC and EFV in bulk and in its combination with other drugs from pharmaceutical formulations and also biological fluids. Liquid chromatography with UV detection has been found to be most studied for estimation of TDF, FTC and EFV in bulk as well as pharmaceutical dosage forms, while hyphenated LS-MS, LSMS/MS methods reported for determination of TDF, FTC and EFV and its metabolite in plasma and other biological fluids. Few chromatography approaches like HPTLC and Stability-indicating HPLC, UPLC and HPTLC are also reported. Few simple UV-Spectrophometric methods may be used for routine analysis of TDF, FTC and EFV alone and in combination with other drugs. These compiled data may of use for research for further studies in analysis of TDF, FTC and EFV.
Nil
All the authors have contributed equally.
Declared none
Parr MK, Schmidt AH. Life cycle management of analytical methods. J Pharm Biomed Anal 2018;147:506-17.
Gaudin K, Ferey L. Quality by design: a tool for separation method development in pharmaceutical laboratories. LC-GC 2016;29:16-25.
Maggio RM, Vignaduzzo SE, Kaufman TS. Practical and regulatory considerations for stability-indicating methods for the assay of bulk drugs and drug formulations. TrAC, Trends Anal Chem 2013;49:57-70.
Blessy M, Patel RD, Prajapati PN, Agrawal YK. Development of forced degradation and stability indicating studies of drugs-a review. J Pharm Anal 2014;4:159-65.
Singh S, Junwal M, Modhe G, Tiwari H, Kurmi M, Parashar N, et al. Forced degradation studies to assess the stability of drugs and products. TrAC, Trends Anal Chem 2013;49:71-88.
ICH Harmonised Tripartite Guideline: Stability Testing of New Drug Substances and Products Q1A (R2), current Step 4 version; International Conference on Harmonisation: Geneva; 2003.
Global report: UNAIDS report on the global AIDS epidemic; 2012.
Zagury D, Bernard J, Leibowitch J, Safai B, Groopman JE, Feldman M, et al. HTLV-III in cells cultured from semen of two patients with AIDS. Science 1984;226:449-51.
Vogt MW, Witt DJ, Craven DE, Byington R, Crawford DF, Schooley RT, et al. Isolation of HTLV-III/lAV from cervical secretions of women at risk for AIDS. Lancet 1986;1:525-7.
Friedland GH, Klein RS. Transmission of the human immunodeficiency virus. N Engl J Med 1987;317:1125-35.
Chermann JC. Sexual and mother-to-child transmission of the human immunodeficiency virus type 1: a review. Am J Reprod Immunol 1998;40:183-6.
Mocroft A, Vella S, Benfield TL, Chiesi A, Miller V, Gargalianos P, et al. Changing patterns of mortality across Europe in patients infected with HIV-1. Euro SIDA Study Group. Lancet 1998;45:1093-9.
Palella FJ, Delaney KM, Moorman AC, Loveless MO, Fuhrer J, Satten GA, et al. Declining morbidity and mortality among patients with advanced human immunodeficiency virus infection. HIV outpatient study investigators. N Engl J Med 1998;338:853-60.
Vittinghoff E, Scheer S, O’Malley P, Colfax G, Holmberg SD, Buchbinder SP. Combination antiretroviral therapy and recent declines in AIDS incidence and mortality. J Infect Dis 1999;179:717-20.
Grant RM, Lama JR, Anderson PL, McMahan V, Liu AY, Vargas L, et al. Preexposure chemoprophylaxis for HIV prevention in men who have sex with men. N Engl J Med 2010;363:2587-99.
Cohen MS, Chen YQ, McCauley M, Gamble T, Hosseinipour MC, Kumarasamy N, et al. Prevention of HIV-1 infection with early antiretroviral therapy. N Engl J Med 2011;365:493-505.
Centers for Disease Control and Prevention (CDC). Interim guidance: preexposure prophylaxis for the prevention of HIV infection in men who have sex with men. MMWR Morb Mortal Wkly Rep 2011;60:65-8.
Baeten JM, Donnell D, Ndase P, Mugo NR, Campbell JD, Wangisi J, et al. Antiretroviral prophylaxis for HIV prevention in heterosexual men and women. N Engl J Med 2012;367:399-410.
Food, Drug Administration, FDA-approved ARV drugs; 2020.
Volberding PA, Deeks SG. Antiretroviral therapy and management of HIV infections. Lancet 2010;376:49-62.
Capetti A, Astuti N, Cossu MV, Rizzardini G, Carenzi L. The role of therapeutic drug monitoring and pharmacogenetic testing in the management of HIV infection: a review. J Aids Clin Res 2015;6:11-9.
Panel on Antiretroviral Guidelines for Adults and Adolescents. Guidelines for the use of antiretroviral agents in HIV-1-infected adults and adolescents. Department of Health and Human Services; 2015.
Burcin B, Bengi U, Ozkan SA. A review of electroanalytical techniques for determination of anti-HIV drugs. Int J Electrochem 2011. https://doi.org/10.4061/2011/343947
Echenique IA, Rich JD. EFV/FTC/TDF-associated hepatotoxicity: a case report and review. AIDS Patient Care STDs 2013;27:493–7.
Aspen Pharmacare, “TribussTM,”; 2011.
Zamisa T. HIV patients revel in the one pill a day age; 2014.
European Medicines Agency, Summary of product characteristics: Viread 245 mg film-coated tablets; 2007.
Deeks ED, Perry CM, Efavirenz/emtricitabine/tenofovir disoproxil fumarate single tablet regimen (Atripla®): a review of its use in the management of HIV infection. Drugs 2010;70:2315–38.
Takahashi M, Kudaka Y, Okumura N, Hirano A, Banno K, Kaneda T. Determination of plasma tenofovir concentrations using a conventional LC-MS method. Biol Pharm Bull 2007;30:1784-6.
Llibre JM, Clotet B. Once-daily single-tablet regimens: a long and winding road to excellence in antiretroviral treatment. AIDS Rev 2012;14:168–8.
Pedersen OS, Pedersen EB. Non-nucleoside reverse transcriptase inhibitors: the NNRTI boom. Antivir Chem Chemother 1999;10:285-314.
Nadal T, Ortuno J, Pascual JA. Rapid and sensitive determination of zidovudine and zidovudine glucuronide in human plasma by ion-pair high-performance liquid chromatography. J Chromatogr A 1996;721:127-37.
Food and Drug Administration. Full prescribing information, ATRIPLA® (efavirenz/emtricitabine/tenofovir disoproxil fumarate) tablets. Gilead Sciences; 2013.
World Health Organisation, Emtricitabine monograph, 4th ed. The International Pharmacopoiea; 2009.
AIDS Info, Emtricitabine; 2014.
National Center for Biotechnology Information, Emtricitabine; 2005.
Dando TM, Wagstaff AJ. Emtricitabine/tenofovir disoproxil fumarate. Drugs 2004;64:2075-82.
Avihingsanon A, Lewin SR, Kerr S, Chang JJ, Piyawat K, Napissanant N, et al. Efficacy of tenofovir disoproxil fumarate/emtricitabine compared with emtricitabine alone in antiretroviral-naive HIV-HBV coinfection in Thailand. Antivir Ther 2010;15:917-22.
Moody W. Truvada works to block HIV transmission. Echo Mag 2012;24:66-7.
Wang LH, Wiznia AA, Rathore MH, Chittick GE, Bakshi SS, Emmanuel PJ, et al. Pharmacokinetics and safety of single oral doses of emtricitabine in human immunodeficiency virus-infected children. Antimicrob Agents Chemother 2004;48:183-91.
Hamarapurkar PD, Parate AN, HPLC method for the determination of emtricitabine and related degradation substances. J Chromatogr Sci 2013;51:419–24.
Menendez Arias L. Mechanisms of resistance to nucleoside analogue inhibitors of HIV-1 reverse transcriptase. Virus Res 2008;134:124–46.
Chen A, Dowdy DW. Clinical effectiveness and cost-effectiveness of HIV pre exposure prophylaxis in men who have sex with men: risk calculators for real-world decision-making. PLoS One 2014;9:108742.
Medicines Control Council, Press release: Medicines Control Council approves fixed-dose combination of tenofovir disoproxyl fumarate and emtricitabine for pre-exposure prophylaxis of HIV. Department of Health; 2015.
Varghese V, Wang E, Babrzadeh F, Bachmann MH, Shahriar R, Liu T, et al. Nucleic acid template and the risk of a PCR-Induced HIV-1 drug resistance mutation. PLoS One 2010;5:10992.
Boucher S, Recordon Pinson P, Ragnaud JM, Dupon M, Fleury H, Masquelier B. HIV-1 reverse transcriptase (RT) genotypic patterns and treatment characteristics associated with the K65R RT mutation. HIV Med 2006;7:294–8.
Gallant JE, Parish MA, Keruly JC, Moore RD. Changes in renal function associated with tenofovir disoproxil fumarate treatment, compared with nucleoside reverse transcriptase inhibitor treatment. Clin Infect Dis Publ Infect Dis Soc Am 2005;40:1194–8.
Calza L, Trapani F, Salvadori C, Magistrelli E, Manfredi R, Colangeli V, et al. Incidence of renal toxicity in HIV-infected, antiretroviral-naïve patients starting tenofovir/emtricitabine associated with efavirenz, atazanavir/ritonavir, or lopinavir/ritonavir. Scand J Infect Dis 2013;45:147–54.
Deeks SG, Barditch Crovo P, Lietman PS, Hwang F, Cundy KC, Rooney JF, et al. Safety, pharmacokinetics, and antiretroviral activity of 114 intravenous 9-[2-(R)-(Phosphonomethoxy)propyl]adenine, a novel anti-human immunodeficiency virus (HIV) therapy, in HIV-infected adults. Antimicrob Agents Chemother 1998;42:2380–4.
Chapman T, McGavin J, Noble S. Tenofovir disoproxil fumarate. Drugs 2003;63:1597-608.
World Health Organisation, Tenofovir monograph; 2010.
AIDS Info, Tenofovir disoproxil fumarate; 2013.
Food and Drug Administration, “Full prescribing information, COMPLERA® (emtricitabine/rilpivirine/tenofovir disoproxil fumarate).” Gilead Sciences; 2014.
Kearney BP, Flaherty JF, Shah J. Tenofovir disoproxil fumarate: clinical pharmacology and pharmacokinetics. Clin Pharmacokinet 2004;43:595-612.
Gervasoni C, Meraviglia P, Landonio S, Baldelli S, Fucile S, Castagnoli L, et al. Low body weight in females is a risk factor for increased tenofovir exposure and drug-related adverse events. PLoS One 2013;8:8-13.
Delahunty T, Bushman L, Fletcher CV. Sensitive assay for determining plasma tenofovir concentrations by LC/MS/MS. J Chromatogr B: Anal Technol Biomed Life Sci 2006;830:6-12.
Maggiolo F. Efavirenz: a decade of clinical experience in the treatment of HIV. J Antimicrob Chemother 2009;64:910-28.
Food and Drug Administration, “Full prescribing information, ATRIPLA® (efavirenz/emtricitabine/tenofovir disoproxil fumarate) tablets.” Gilead Sciences; 2013.
World Health Organisation, Efavirenz monograph; 2005.
AIDS Info, Efavirenz; 2014.
Sathigari S, Chadha G, Lee YHP, Wright N, Parsons DL, Rangari VK, et al. Physicochemical characterization of efavirenz-cyclodextrin inclusion complexes. AAPS PharmSciTech 2009;10:81–7.
McIlleron HM. Effects of rifampin-based antituberculosis therapy on plasma efavirenz concentrations in children vary by CYP2B6 genotype. AIDS 2013;27:1933-40.
Friedland G, Khoo S, Jack C, Lalloo U. Administration of efavirenz [600 mg/day] with rifampicin results in highly variable levels but excellent clinical outcomes in patients treated for tuberculosis and HIV. J Antimicrob Chemother 2006;58:1299-302.
Cristofoletti R, Nair A, Abrahamsson B, Groot DW, Kopp S, Langguth P, et al. Biowaiver monographs for immediate release solid oral dosage forms: efavirenz. J Pharm Sci 2013;102:318–29.
Rabel SR, Patel M, Sun S, Maurin MB. Electronic and resonance effects on the ionization of structural analogues of efavirenz. AAPS Pharm Sci 2001;3:28.
AIDS Info, Emtricitabine/tenofovir disoproxil fumarate; 2015.
Takagi T, Ramachandran C, Bermejo M, Yamashita S, Yu LX, Amidon GL. A provisional biopharmaceutical classification of the top 200 oral drug products in the United States, Great Britain, Spain, and Japan. Mol Pharm 2006;3:631–43.
World Health Organisation. General notes on biopharmaceutics classification system (BCS)-based biowaiver applications; 2011.
Drug Bank, Efavirenz; 2013.
Drug Bank, Emtricitabine; 2013.
Drug Bank, Tenofovir; 2013.
Rele RV, Patil SP. Development of analytical method by RP-HPLC method for validation of emtricitabine in api and pharmaceutical dosage form. Asian J Res Chem 2019;12:143-7.
Singh G, Pai RS. Optimization (Central Composite Design) and validation of HPLC method for investigation of emtricitabine loaded poly (lactic-co-glycolic acid) nanoparticles: in vitro drug release and in vivo pharmacokinetic studies. Sci World J 2014. DOI:10.1155/2014/583090
Singh G, Pai RS. High-performance liquid chromatographic method for analysis of emtricitabine in rat plasma: method development, validation and application to a pharmacokinetic study. ISRN Chromatography 2013;3:1-16.
Kumar P, Dwivedi SC, Kushnoor A. A validated stability indicating RPHPLC method for the determination of emtricitabine in bulk and capsules. Farmacia 2012;60:402-10.
Patel BN, Suhagia BN, Patel CN. Development and validation of HPLC method for the estimation of emtricitabine in capsule dosage form. Asian J Chem 2010;3:869-71.
Jampala RR, Kumar VK, Nemala AR. Development and application of liquid chromatographic method for simultaneous determination of elvitegravir, tenofovir disoproxil fumarate, emtricitabine, and cobicistat in fixed dosage form. Pharm Methods 2014;5:7-13.
Venkatesh M, Sumanth ALMN, Rao PV. Analytical method development and validation of simultenious estimation of tenofovir and emtricitabine in bulk and pharmaceutical dosageforms by using RP-HPLC. Asian J Pharm Anal Med Chem 2013;1:60-9.
Kiran KK, Rao AS, Sankar DG. New validated, optimized and forced degradation study for the simultaneous estimation of rilpivirine, emtricitabine, and tenofovir alafenamide in bulk and pharmaceutical dosage preparations by RP-HPLC. Asian J Pharm Anal Med Chem 2017;5:170-87.
Sattar MDA, Achanta S. Analytical method development and validation for the determination of emtricitabine and tenofovir disoproxil fumarate using reverse phase HPLC method in bulk and tablet dosage form. J Pharm Sci Res 2018;10:1207-12.
Akram NMD, Umamahesh M. A new validated RP-HPLC method for the determination of emtricitabine and tenofovir af in its bulk and pharmaceutical dosage forms. J Chem Pharm Sci 2017;10:54-9.
Ashok G, Mondal S. Development and validation of stability indicating method for the simultaneous quantification of emtricitabine, tenofovir disoproxil fumarate and rilpivirine hydrochloride in pharmaceutical dosage forms by RP-HPLC. Saudi J Med Pharm Sci 2018;4:175-83.
Gummaluri RK, Parthasarathi TVN, Anjanamadhulika G. Simultaneous method for determination of emtricitabine, tenofovir disoproxil fumarate, elvitegravir and cobicistat in tablets by HPLC. Indian J Pharm Sci 2016;78:532-7.
Soni A, Thakral S. Simultaneous estimation of tenofovir and emtricitabine in human plasma using HPLC after protein precipitation extraction. J Anal Bioanal Tech 2013;4:170.
Pranitha D, Vanitha C, Francis P, Raja MA, Vardan PV, Surendar M, et al. Simultaneous estimation of emtricitabine, tenofovir disoproxil fumarate, and rilpivirine in bulk form by RP-HPLC method. J Pharm Res 2012;5:4600-2.
Gopal NM, Sridhar C. Reverse phase UPLC method for simultaneous estimation of emtricitabine and tenofovir in tablet dosage form. J Sci Res Pharm 2017;6:11-7.
Basha A, Sireesha D, Anil D, Talla R, Haque MA, Harshini S, et al. Method development and validation for simultaneous estimation of tenofovir disoproxil fumarate and emtricitabine in pharmaceutical dosage form by RP-HPLC method. Int J Innovative Pharm Sci Res 2015;3:1537-45.
Muthyala S, Kumari RVV. Stability indicating RP-HPLC method for simultaneous estimation of emtricitabine, bictegravir and tenofovir alafenamide in bulk and formulation. Int J Pharm Anal Res 2019;8:281-92.
Reddy BRY, Reddy MT, Reddy BSC. Simultaneous estimation of emtricitabine and tenofovir disoproxil fumarate in tablet dosage form by reverse phase high-performance liquid chromatography. SOJ Chromatograph Sci 2015;1:6.
Runja C, Kumar PR, Avanapu SR. A validated stability indicating RP-HPLC method for the determination of emtricitabine, tenofovir disoproxil fumarate, elvitegravir and cobicistat in pharmaceutical dosage form. J Chromatographic Sci 2016;54:759–64.
Karunakaran AK, Kamarajan K, Thangarasu V. A validated RP-HPLC method for simulataneous estimation of emtricitabine and tenofovir disoproxil fumarate in pure and in tablet dosage form. Pharm Sinica 2010;1:52-60.
Purnima BV, Reddy TVB, Rao YS, Ramu G, Ramachandran D. Stability indicating RP-UPLC method for assay of emtricitabine and tenofovir disoproxil fumarate in bulk and dosage forms. Am J Anal Chem 2015;6:807-21.
Sharma R, Gupta P. A validated RP-HPLC method for simulataneous estimation of emtricitabine and tenofovir disoproxil fumarate in a tablet dosage form. Eurasian J Anal Chem 2009;4:276-84.
Joshi NC, Kumar P, Jat RK. Development and validation of RP-HPLC method for the estimation of antiretroviral drugs and their pharmaceutical formulations. Pharmacophore 2016;7:152-65.
Purnima VB, Reddy TVB, Suneetha Y, Ramachandran D. Simultaneous determination of antiretroviral drugs emtricitabine and tenofovir desoproxil fumerate by a stability indicating RP-HPLC method. Int J Pharm Pharm Sci 2015;7:390-8.
Khaleel N, Rahaman SA. A validated stability indicating RP-HPLC method for simultaneous estimation of tenofovir disoproxil fumarate, cobicistat, emtricitabine and elvitegravir in bulk and pharmaceutical dosage form. Int J Pharm 2015;5:991-1002.
Komaroju D, Reddy GN, Dhanalakshmi K. Method development and validation for simultaneous estimation of emtricitabine and tenofovir disoproxil fumarate in pure and tablet dosage form by using RP-HPLC. Int J Pharma Res Rev 2013;2:1-11.
Jagadabi V, Kumar PVN, Pamidi S, Ramaprasad LA, Pavani G. Identification and quantification of potential impurities using LC-PDA coupled with new qda mass detector in a new single tablet regimen containing dolutegravir, emtricitabine and tenofovir disoproxil fumarate tablets used in hiv-1 prevention. Int Res J Pharm 2019;10:91-104.
Kuna M, Dannana GS, Prasad SVUM. Development and validation of a new RP-HPLC method for simultaneous estimation of emtricitabine, tenofovir, cobicistat, elvitegravir and its comparision with a reported method. Indo Am J Pharm Sci 2017;4:1599-612.
Nagasarapu MR, Dannana GS. Development and validation of stability-indicating HPLC-DAD method for simultaneous determination of emtricitabine, elvetegravir, cobicistat and tenofovir in their tablet dosage forms. Indian J Pharm Edu Res 2016;50:205-11.
Saidulu P, Mastanamma SK, Suresh PV, Rani AP. Development and validation of stability-indicating HPLC-DAD method for simultaneous determination of emtricitabine, rilpivirine, and tenofovir alafenamide in bulk and their pharmaceutical dosage forms. Int J ChemTech Res 2018;11:329-39.
Nandini K, Muneer S, Sekhar KBC, Kiran BSS. Stability indicating RP-HPLC method development and validation for the quantification of tenofovir disoproxil fumarate in bulk and its dosage form. Int J PharmTech Res 2016;9:240-9.
Dubbaka A, Sireesha D, Bakshi V. Analytical method development and validation for the simultaneous estimation of lamivudine and tenofovir disoproxil fumarate by RP-HPLC method. MOJ Proteomics Bioinform 2016;4:306‒9.
Sonawane PH, Panzade PS, Kale MA. Simultaneous estimation of lamivudine and tenofovir disoproxil fumarate in bulk and combined pharmaceutical dosage form by HPLC method. Asian J Biomed Pharm Sci 2013;3:27-30.
Saha C, Gupta NV, Chandan RS, Priya SP. Development of a validated stability indicating LC-MS method for the determination of tenofovir disoproxil fumarate using quality by design approach. Int J Appl Pharm 2019;11:406-17.
Babu C, Devanna N, Reddy KVNS. Validated gradient stability indicating RP-HPLC method for the simultaneous quantification of 11 related substances in the combined dosage forms of lamivudine and tenofovir disopeoxil fumarate. Int J Appl Pharm 2017;9:61-8.
Diana BH, Bibi SK, Kumari KS. New validated RP-HPLC method for simultaneous estimation of lamivudine and tenofovir disproxil fumarate in tablets. Int J Adv Pharm Anal 2015;5:10-3.
Havele S, Dhaneshwar SR. Development and validation of a stability-indicating LC method for the determination of tenofovir disoproxil fumarate in pharmaceutical formulation. Songklanakarin J Sci Technol 2012;34:615-22.
Ravisankar P, Mounika G, Devadasu CH, Rao GD. Novel analytical method development and validation for the quantitative analysis of efavirenz in bulk and pharmaceutical dosage forms by RP-HPLC. Pharma Innovation J 2014;3:32-9.
Gupta S, Kesarla R, Chotai N, Omri A. Development and validation of reversed phase HPLC gradient method for the estimation of efavirenz in plasma. PLoS One 2017;12:0174777.
Suneetha A, Bhavana G, Siddikha ASK. Development and validation of stability indicating RP-HPLC method for simultaneous estimation of efavirenz, lamivudine, and stavudine in pharmaceutical dosage forms. BAOJ Pharm Sci 2017;3:41.
Viana OS, Medeiros FPM, Grangeiro Junior S, Albuquerque MM, Soares MFR. Development and validation of a HPLC analytical assay method for efavirenz tablets: a medicine for HIV infections. Brazilian J Pharm Sci 2011;47:97-102.
Kumar GS, Patnaik P, Patnaik A, Subrahmanyam KV. A new method development and validation of efavirenz by RP-HPLC. Int J Innovative Pharm Sci Res 2014;2:2962-70.
Waghmare SA, Kashid AM. Reverse phase-high performance liquid chromatography method development and validation for estimation of efavirenz by quality by design approach. J Drug Delivery Ther 2019;9:319-30.
Induri M, Mantripragada BR, Yejella RP. Development and validation of UPLC method for simultaneous estimation of Efavirenz and Lamivudine in pharmaceutical formulations. J Appl Pharm Sci 2016;6:29-33.
Bhavsar DS, Patel BN, Patel CN. RP-HPLC method for simultaneous estimation of tenofovir disoproxil fumarate, lamivudine, and efavirenz in combined tablet dosage form. Pharmaceutical Methods 2012;3:73-8.
Panchagiri S, Begum A, Valupadas C, Ciddi V. Quantitative bio-analysis of tenofovir disoproxil fumarate, lamivudine and efavirenz simultaneously in human plasma using reverse-phase liquid chromatography. Acta Sci Pharm Sci 2018;2:17-27.
Sumanth KS, Rao AS, Shankar DG. A new gradient RP-HPLC method development and validation for simultaneous estimation of lamivudine, tenofovir disoproxil fumarate and effavirenz in pharmaceutical dosage forms. Int J Pharm Chem Biol Sci 2018;8:195-203.
Maniyar UR, Koshe K, Katariya MV, Karva GS, Katariya VR, Jaiswal S. Stability indicating RP-HPLC method development and validation for the determination of potential degradation impurities of efavirenz, emtricitabine and tenofovir in combined pharmaceutical dosage form. Asian J Pharm Technol Innovation 2015;3:117-28.
Raju NA, Begum S. Simultaneous RP-HPLC method for the estimation of the emtricitabine, tenofovir disoproxil fumerate and efavirenz in tablet dosage forms. Res J Pharm Tech 2008;1:522-5.
Nirogi R, Bhyrapuneni G, Kandikere V, Mudigonda K, Komarneni P, Aleti R, et al. Simultaneous quantification of a non-nucleoside reverse transcriptase inhibitor efavirenz, a nucleoside reverse transcriptase inhibitor emtricitabine and a nucleotide reverse transcriptase inhibitor tenofovir in plasma by liquid chromatography positive ion electrospray tandem mass spectrometry. Biomed Chromatogr 2009;23:371–81.
Babu C, Rao LNK, Devanna N, Reddy SKVN. RP-UPLC method for the simultaneous quantification of related substances in emtricitabine, tenofovir disoproxil fumarate and efavirenz pharmaceutical dosage forms. J Chem Pharm Res 2017;9:45-52.
Rezaei M, Ramazani A, Hokmabadi F. Simultaneous estimation and validation of tenofovir disoproxil fumarate, emtricitabine and efavirenz by RP-HPLC method in combined tablet dosage form. Curr Pharm Anal 2019;15:561-7.
Sreelatha P, Devi BR. Development and validation of stability-indicating HPLC method for simultaneous estimation of tenofovir, emtricitabine and efavirenz in fixed dose combination drug product. Asian J Res Chem 2018;11:23-31.
Kumar KB, Ayele Y, Motbatnor B. A novel validated stability indacating method for simultaneous estimation of emtricitabine, tenofovir and efavirenz in tablet dosage form by RP-HPLC. Int J Med Pharm Res 2019;7:71-82.
Varma PSRCHNPD, Rao AL. Stability-indicating RP-HPLC method for the simultaneous estimation of efavirenz, tenofovir and emtricitabine in pharmaceutical formulations. Indian J Pharm Pharmacol 2014;1:1-19.
Tiwari P, Yadav R, Avinash KV, Vaidya PA, Sathe, Gangrade D. Development and validation of UPLC method for emtricitabine, tenofovir and efavirenz in pharmaceutical preparation. Anal Chem Indian J 2010;9:247-51.
Ashenafi D, Ungerbock M, Hoogmartens J, Adams E. Liquid chromatographic analysis of various formulations containing emtricitabine. Chromatographia 2013;76:1495–503.
Rao SA, Kumar NG, Srilekha K, Kumari AN. Stability indicating method for the simultaneous estimation of tenofovir, emtricitabine and efavirenz in pure and pharmaceutical dosage form by RP-HPLC. Int J Adv Res Sci Eng 2016;5:188-200.
Devrukhakar PS, Borkar R, Shastri N, Surendranath KV. A validated stability-indicating RP-HPLC method for the simultaneous determination of tenofovir, emtricitabine, and an efavirenz and statistical approach to determine the effect of variables. ISRN Chromatography 2013. https://doi.org/10.1155/2013/878295
Ramaswamy A, Arul AS, Dhas G. Development and validation of analytical method for quantitation of emtricitabine, tenofovir, efavirenz based on HPLC. Arabian J Chem 2018;11:275-81.
Sravanthi T, Madhavi N. Stability indicating UPLC method to quantify emtricitabine, tenofovir, and efavirenz simultaneously in tablets: method establishment. Int J Res Pharm Sci 2020;11:120-8.
Nadig S, Jacob JT, Bhat I, Kishoreraju V. A stability indicating RP-HPLC method for simultaneous estimation of Emtricitabine, Tenofovir disoproxil fumarate and Efavirenz in pharmaceutical dosage forms. Int J Res Pharm Sci 2013;4:391-6.
Badgujar BP, Mahajan MP, Sawant SD. Development and validation of RP-HPLC method for the simultaneous estimation of tenofovir alafenamide and emtricitabine in bulk and tablet dosage form. Int J Chem Tech Res 2017;10:731-9.
Panigrahy UP, Reddy AS. A novel validated RP-HPLC method for the simultaneous estimation of emtricitabine, tenofovir disoproxil fumarate and rilpivirine in bulk and pharmaceutical tablet dosage forms. Pharm Lett 2015;7:303-14.
Sayyed ZM, Sheikh AA, Shaikh ZA, Shinde SA. Development and validation of analytical method for simultaneous estimation of tenofovir and emtricitabine in pharmaceutical dosage forms by HPLC. Int J Pharm Drug Anal 2016;4:24-9.
Kavitha KY, Geetha G, Hariprasad R, Venkatnarayana R, Kaviarasu M. Development and validation of RP-UPLC analytical method for simultaneous estimation of emtricitabine, rilpivirine, tenofovir disoproxil fumarate and its pharmaceutical dosage forms. Int Res J Pharm 2013;4:150-5.
Yadav M, Singhal P, Goswami S, Pande UC, Sanyal M, Shrivastav PS. Selective determination of antiretroviral agents tenofovir, emtricitabine, and lamivudine in human Plasma by a LC-MS-MS method for a bioequivalence study in healthy Indian subjects. J Chromatographic Sci 2010;48:704-13.
Ahmad S, Rageeb M, Usman M. Analytical method development and validation for the simultaneous estimation of emtricitabine and tenofovir by reversed-phase high performance liquid chromatography in bulk and tablet dosage forms. Asian J Pharm Clin Res 2017;10:59-64.
Abdelhay MH, Gazy AA, Shaalan RA, Ashour HK. Selective RP-HPLC dad method for determination of tenofovir fumarate and emtricitabine in bulk powder and in tablets. Acta Chromatographica 2015;27:41–54.
Ashenafi D, Verbeek A, Hoogmartens J, Adams E. Development and validation of an LC method for the determination of emtricitabine and related compounds in the drug substance. J Sep Sci 2009;32:1823-30.
Delahunty T, Bushman L, Robbins B, Fletcher CV. The simultaneous assay of tenofovir and emtricitabine in plasma using LC/MS/MS and isotopically labeled internal standards. J Chromatography B 2009;877:1907-14.
Gomes NA, Vaidya VV, Pudage A, Joshi SS, Parekh SA. Liquid chromatography–tandem mass spectrometry (LC–MS/MS) method for simultaneous determination of tenofovir and emtricitabine in human plasma and its application to a bioequivalence study. J Pharm Biomed Anal 2008;48:918-26.
Illamola SM, Valade E, Hirt D, Dulioust E, Zhengb Y, Wolfd JP, et al. Development and validation of a LC–MS/MS method for the quantification of tenofovir and emtricitabine in seminal plasma. J Chromatography B 2016;1033:234–41.
Venkateswararao B, Vidyadhara S, Nagaraju B, Jhonbi SK. A novel stability indicating RP-HPLC method development and validation for the determination of tenofovirdisoproxilfumarate and emtricitabine in bulk and pharmaceutical formulations. Int J Pharm Sci Res 2017;8:2168-76.
Mastanamma SK, Reddy VD, Saidulu P, Varalakhimi M. Development and validation of stability indicating RP-HPLC method for the simultaneous estimation of emtricitabine tenofovir alafenamide bulk and their combined dosage form. J Chem Pharm Res 2017;9:70-80.
Raju NA, Rao JV, Prakash KV, Mukkanti K, Srinivasu K. Simultaneous estimation of tenofovir disoproxil, emtricitabine and efavirenz in tablet dosage form by RP-HPLC. Orient J Chem 2008;24:645-50.
Cholke P, Chemate SZ, Joshi RS, Raskar MA, Sawant RL. Development and validation of spectrophotometric method for efavirenz in pure and in film coated tablet dosage form. Res J Pharm Technol 2011;4:1816-8.
Kumar P, Mittan DS, Kumar N. Development of UV spectroscopic method for the estimation of tenofovir in bulk and solid dosage forms. Anal Chem Indian J 2013;13:33-5.
Vidyadhara S, Sasidhar RLC, Rao BV, Kumari PR. Simultaneous UV spectrophotometric method for the determination of tenofovir, efavirenz and lamivudine in bulk and combined dosage form. Asian J Pharm Anal 2016;6:253-8.
Rajan RV. UV spectrophotometric estimation of emtricitabine by zero order and area under curve methods in bulk and pharmaceutical dosage form. Asian J Res Chem 2019;12:263-7.
Rajavel P. Analytical method development and validation of tenofovir by UV spectrophotometry. Asian J Res Pharm Sci Biotechnol 2016;4:88-94.
Srinath A, Sneha B, Alladi A, Ahmed R, Kulkarni RG. Method development and validation for simultaneous estimation of lamivudine, tenofovir and efavirenz in combined tablet dosage form by RP-HPLC and UV-spectroscopic method. Int J Pharm Sci Res 2014;5:5491-7.
Shelke A, Shinde M, Mogal R, Sable R, Jadhav A. Application of UV spectrophotometric methods for simultaneous estimation of emtricitabine and tenofovir alafenamide fumarate in bulk. Asian J Pharm Tech 2018;8:103-7.
Lavanya B, Hariprasad P, Venkatapraveen A, lakshmi DP, Dhanalakshmi. Method development and validation of combined tablet dosage form of emtricitabine and tenofovir disproxil fumerate by ultraviolet spectroscopy. Int Res J Pharm 2012;3:104-8.
Anandakumar K, Kannan K, Vetrichelvan T. Development and validation of emtricitabine and tenofovir disoproxil fumerate in pure and in fixed dose combination by uv spectrophotometry. Digest J Nanomaterials Biostructures 2011;6:1085-90.
Sri KV, Yadla DK, Shalem M, Sirisha VRK. Simultaneous estimation and validation of emtricitabine, tenofovir disproxil fumarate and efavirenz in pharmaceutical dosage form by UV-spectrophotometry. Chem Sci Rev Lett 2017;6:2581-9.
Harini U, Pawar AKM. Development and validation of stability indicating simultaneous uvspectrophotometric method for determination of emtricitabine, tenofovir disoproxil fumarate, cobicistat, and elvitegravir in pure and pharmaceutical dosage form. Asian J Pharm Clin Res 2018;11:177-84.
Nagaraju PT, Channabasavaraj KP, Shantha KPT. Development and validation of spectrophotometric method for estimation of emtricitabine in tablet dosage form. Int J ChemTech Res 2011;3:23-8.
Behera A, Parida A, Meher AK, Dannana GS, Moitra SK, Chandra SS. Development and validation of spectrophotometric method for determination of emtricitabine and tenofovir disoproxil fumarate in bulk and tablet dosage form. Int J PharmTech Res 2011;3:1874-82.
Shirkhedkar AA, Bhirud CH, Surana SJ. Application of uv-spectrophotometric methods for estimation of tenofovir disoproxil fumarate in tablets. Pak J Pharm Sci 2009;22:27-9.
Sharma R, Mehta K. Simultaneous spectrophotometric estimation of tenofovir disoproxil fumarate and lamivudine in three component tablet formulation containing efavirenz. Indian J Pharm Sci 2010;72:527-30.
Venkatesan S, Kannappan N. Simultaneous spectrophotometric method for determination of emtricitabine and tenofovir disoproxil fumarate in three-component tablet formulation containing rilpivirine hydrochloride. Int Scholarly Res Notices 2014. https://doi.org/10.1155/2014/541727
Ingale KD, Barhate AL, Kale AN, Bobade CD, Choudhari VP, Kuchekar BS. Spectrophotometric estimation of emtricitabine and tenofovir disoproxil fumarate in tablet dosage form by simultaneous equation and absorbance ratio methods. J Pharm Res 2010;9:11-3.
Choudhari VP, Ingale S, Gite SR, Tajane DD, Modak VG, Ambekar A. Spectrophotometric simultaneous determination of tenofovir disoproxil fumarate and emtricitabine in combined tablet dosage form by ratio derivative, first order derivative and absorbance corrected methods and its application to dissolution study. Pharm Methods 2011;2:47–52.
Ashour HK, Belal TS. New simple spectrophotometric method for determination of the antiviral mixture of emtricitabine and tenofovir Disoproxilfumarate. Arabian J Chem 2017;10:1741-7.
Dubbaka A, Sireesha D, Basha SA, Talla R, Haque MA, Harshini S, et al. Analytical method development and validation for the simultaneous estimation of lamivudine and tenofovir disoproxil fumarate in bulk and spectrophotometric method. Int J Innovative Pharm Sci Res 2015;3:1529–36.
Induri M, Mantripragada BR, Yejella RP. Development and validation of a HPTLC method for simultaneous estimation of efavirenz and lamivudine in pharmaceutical formulations. World J Pharm Sci 2016;4:189-94.
Pratima NA, Ajhar M, Shaikh O. HPTLC method development, validation for simultaneous determination of efavirenz, emtricitabine and tenofovir in combined tablet formulation and forced degradation studies. Am J PharmTech Res 2013;3:650-60.
Chitlange SS, Kanthale SB, Choudhary B, Bhole RP. Stability indicating HPTLC method for the simultaneous estimation of rilpivirin, emtricitabine and tenofovir in bulk and combined pharmaceutical dosage form. J Adv Drug Delivery 2014;1:157-72.
Chandra P, Rathore AS, Sathiyanarayanan L, Mahadik KR. Application of high performance thin-layer chromatographic method for the simultaneous determination of lamivudine and tenofovir disoproxil fumarate in pharmaceutical dosage form. J Chil Chem Soc 2011;56:702-5.
Kumar P, Dwivedi SC, Kushnoor A. Development and validation of HPTLC method for the determination of Efavirenz in bulk drug and tablet dosage form. Res J Pharm Biol Chem Sci 2011;2:160-8.
Shinde NV, Tompe PU, Damle MC, Madgulkar AR. Development and validation of HPTLC method for estimation of efavirenz in human plasma. J Chem Pharm Res 2013;5:85-90.
Mardia RB, Suhagia BN, Pasha TY, Chauhan SP, Solanki S. Development and validation of HPTLC method for estimation of tenofovir disoproxil fumarate in tablet dosage form. J Pharm Sci Biosci Res 2012;2:73-6.
Saminathan J, Vetrichelvan T. Development and validation of HPTLC method for simultaneous estimation of emtricitabine, rilpivirine and tenofovir disoproxil fumarate in combined dosage form. Bangladesh Pharm J 2016;19:114–21.