
1Pharmacology and Toxicology Department, College of Pharmacy, Al-Farahidi University, Baghdad, Iraq, 2Pharmacology and Toxicology Department, College of Pharmacy, University of Al-Qadisiyah, Al-Qadisiyah, Iraq, 3Department of Chemistry, College of Education, University of Al-Qadisiyah, Al-Qadisiyah, Iraq
Email: waleed.abdelsahib@alfarahidiuc.edu.iq
Received: 18 Jul 2020, Revised and Accepted: 24 Aug 2020
ABSTRACT
Objective: Preparation of novel, safe, and low-cost composite by addition of graphene oxide (GO) to polyvinylpyrrolidone-acrylic acid composite (PVP-AAc) to remove the doxycycline hydrochloride (D) from polluted aquatic environment.
Methods: Different concentrations of D were used to study the adsorption process of the antibiotic on the surface of GO/(PVP-AAc) hydrogel composite. The aquatic solution of D was used for studying the adsorption process through a series of different experiments to determine the contact time, adsorbate amount, appropriate temperature, the preferred pH, ionic strength, adsorption kinetics and isotherms on the adsorbent surface of GO/PVP-AAc composite. Fourier transform infrared (FT-IR) spectroscopy and Field-emission scanning electron microscopy (FE-SEM) were used to detect the structure, functional groups and surface morphology of the composite before and after D adsorption.
Results: Doxycycline is adsorb on the surface of GO/PVP-AAc hydrogel composite through by physical interactions. The adsorption kinetics correlated to the pseudo-second-order model, contact time studies of D equal to 180 min and the high R2 value of 0.98 indicates that Langmuir isotherm model better fitted to the data for the removal of D at 15 °C. The results of thermodynamic parameters show that the nature of the adsorption process is physical, exothermic, orderly and spontaneous. The adsorption capacity of D favors the acidic media. When NaCl is added to the solution, the adsorption capacity of D will increase.
Conclusion: Graphene oxide/PVP-AAc composite is a novel, worthy and efficient adsorbent for the removal of the doxycycline polluted the water because of its low cost, hydrophilic properties, large surface area and special structure that give impressive dispersible activity in aquatic solutions.
Keywords: Doxycycline, Adsorption, Graphene oxide, Composite and removal.
© 2020 The Authors. Published by Innovare Academic Sciences Pvt Ltd. This is an open access article under the CC BY license (http://creativecommons.org/licenses/by/4.0/)
DOI: http://dx.doi.org/10.22159/ijap.2020v12i6.39118. Journal homepage: https://innovareacademics.in/journals/index.php/ijap
Antibiotic's invention really enhanced our ability to manage and inhibit many of diseases. Nevertheless, antibiotics misuse can lead to deficit in immunity and reliable toxic side effects [1, 2].
Doxycycline hydrochloride (D) belongs to the group of antibiotics known as tetracycline [2-4], from the second generation and has twice the effectiveness of tetracycline [5]. Structure of D consist of the quadri-ring core with dimethyl amino group attached at the forth carbon on the top location of the molecule [6]. Besides its anti-microbial activity, new remarks have shown that D has a cytotoxic activity on malignancy cells [7]. However, D could cause probable ecological threats on non-target living things in the environment due to its high biological activity [7, 8]. There are four common ways in which the environment is contaminated with antibiotics: synthesis and production of antibiotics, sewerage, ground use of municipal bio solids and unsuitable discard of unused or out of date drugs [1]. Doxycycline used widely in veterinary and became essential in food industry of the growing animals [9]. Because of imperfect absorption and metabolism of doxycycline and their metabolites may be discharged into the environment via animals dungs and human byproducts [1].
Antibiotic contamination indicates a possible hazard to human wellness, so the elimination of antibiotics is of unlimited worth [10]. Many methods used to eliminate D from wastewaters, e. g., treatment by adsorption process, microbial dissolution, separation using membrane, oxidation reaction, and treatment using activated sewage [11-14]. The removal of D by adsorption treatment method has been rated a favorable method due to its easy design, work simply, somewhat low price and comparatively lower quantities of poisonous byproducts [15]. Numerous adsorbents, comprising grapheme [16], carbon nanotubes, activated carbon, kaolinite and montmorillonite, have been detected for the elimination of D from aquatic media [17-19].
Graphene oxide (GO), recently consider the most prevalent carbon substance, consist of a dual-dimensional leaf-like carbon body and poses many carboxyl, epoxy and hydroxyl groups spreads indiscriminately on its edges and surfaces. These characteristics convey impressive dispersible activity in aquatic solutions, bonding of hydrogen, cationic bond interactions with adsorbate, besides a big specific surface area, and exclusive properties including mechanical and physic-chemical [20].
Graphene oxide and its composites have been applied in the removal of many substances like Hg2+, tetracycline, and dyes [21, 22]. In this work, GO was added to polyvinylpyrrolidone/acrylic acid composite (PVP-AAc) hydrogel in order to lower the nanotoxicity of GO and decreased the pore size [23]. For these reasons GO/PVP-AAc hydrogel composite was used as adsorbent for removing D from the aqueous media, where adsorbent process and also some parameters associated with that removal studied such as:, temperature effect, pH, contact time, ionic strength, adsorption isotherm and kinetics.
Chemical agents
Doxycycline hydrochloride ≥95 % and natural graphite powders was purchased from sigma (Germany). Calcium carbonate, Potassium chloride (analytical grade) and Sodium chloride were purchased from (BDH, Chemicals, England). Sodium hydroxide was supplied from (Fluka, Germany). Polyvinylpyrrolidone (PVP), acrylic acid (AAc), potassium persulfate (KPS) and N, N-methylene bis-acrylamide (MBA) were purchased from (BDH, Chemicals, England). Concentrated sulfuric acid, hydrogen peroxide (30%), Potassium permanganate, hydrochloric acid (99% purity), sodium nitrate were supplied from (Supelco, Germany). In this study, chemical materials were used as received without additional purification and deionized water was used for the preparation of all experimental solutions.
Preparation of (PVP/AAc) hydrogel and GO/PVP-AAc hydrogel composite
Synthesis of (PVP / AAc) hydrogel require many steps; begin with the preparation of solutions that needed for the synthesis of hydrogel. In ultrasonic bath, the PVP in concentration of (4 % w/v), and AAc in concentration of (8 % w/v) were dissolved in distilled water, after that (20%) and (80%) of PVP and AAc were mixed, respectively. Then mixture of PVP and AAC were moved well using a steel stirrer, and then MBA (0.20 mol / L) was added as cross-linking agent, during this time KSP (0.0361 mol / L) was added as a initiator agent. The mixture then putted in test tube synthesizes from a polyethylene, in which the nitrogen gas passed to it for about 15 minutes. After that, the temperature of the prepared mixture gradually increases from 45 to 65 ° C using hot water bath. The increasing of the temperature was done as follows: one hour (45 ° C), two hours for each 55 and 65 ° C. The resulted hydrogel placed in cool room and then removed from the tubes and cut into small particles of about 6mm long. After that, they are washed for a week using ethanol and distilled water to eliminate all non-reactive monomers, then they are dried at 25 ° C, and later dried at 50 to 60 ° C using an electric oven till a constant weight is achieved[15]. The same method that used to prepare the (PVP / AAc) hydrogel was used to make the GO/PVP-AAc hydrogel composite, but with the adding of (0.8% w/v) of GO in ratio (1:10) to the mixture.
Adsorption studies
Different concentrations of D were used for studying the adsorption process of the tested drug on the adsorbent surface of GO/ PVP-AAc composite. Aquatic solution of D was used for studying the adsorption process through a series of variable tests to investigate the contact time, adsorbate amount, appropriate temperature, the preferable pH, ionic strength, adsorption kinetics and isotherms on the adsorbent surface of GO/PVP-AAc composite.
In this work, 10 ml of the aqueous solution of D used with 500 mg of adsorbent surface, putted in the shaking system in order to get the biggest adsorbate amount of tested drug. Visible ultraviolet radiation was used for calculating the concentrations of D. The following mathematical equation used to calculate the quantity of material absorbed on the adsorbent surface:
Q e = 

Where:
Q e: quantity absorbate of a material (mg/g),
V sol: total solution volume of the absorbed substance (L),
Co: initial concentration of D (mg/l),
C e: equilibrium concentration of D (mg/l) and
m: weight of the absorbed material (mass of the adsorbent) (g) [24, 25].
Fourier transform infrared spectroscopy and Field-Emission Scanning electron microscopy
Description of the chemical composition of the GO/(PVP-AAc) composite using (Shimadzu 8400S, Japan) FT-IR spectroscopy to inspect the structure and functional groups of the composite before and after D adsorption. Spectra of solids recorded using KBr in the range (400-4000) cm-1. The FESEM type (Tescan MIRA3, Germany) was used for studying the surface morphology of the composite before and after D adsorption [26].
Description of GO/(PVP-AAc) composite before and after doxycycline adsorption
The FT-IR spectrometer investigation (fig. 1) displays the characteristic representative functional groups of GO/PVP-AAc: O-H (3440, 1400 cm-1), C-H (1452, 2890 cm-1), N-H (1452, 3440 cm-1), C-O (1560 cm-1), C=O (1650, 1721 cm-1). After adsorption of D on the composite, there is a change in FT-IR readings that recorded: O-H (3445, 1390 cm-1), C-H (1430, 2930 cm-1), N-H (1430, 3445 cm-1), C-O (1690 cm-1), C=O (1640, 1690 cm-1) [15, 26].
Studies based on FE-SEM displays many benefits such as high resolution with focusing ability, measure micromechanical and structural properties as well as accuracy in the imaging. Thus GO/PVP/AAc composite surface morphology was studied using this instrument. The pictures were took under reduced pressure after coated the composite with a thin layer of gold. Fig. 2A and B at resolution power 1000 µm and 500 nm respectively, shows, that the composite morphology consist from wrinkled, rough and plat-like structure surface before adsorption of D on the composite. These properties gave the composite the big and precise surface area as well as typical layer characteristics, which would improve the adsorption ability for D. after D adsorption (fig. 2 C and D) shows the a desirable incorporation of D over the wrinkled composite due to formation of conjugated structure [27, 28].

Fig. 1: The surface of GO/ (PVP/AAc) composite before and after doxycycline adsorption using Fourier transform infrared spectroscopy.

Fig. 2: Field-emission scanning electron microscopy image: (A) and (B) before the formation of GO/PVP/AAc composite; (C) and (D) after formation of the composite at low and high magnification respectively
Weights effect of GO and (PVP/AAc)
Different weights (0.01-0.12 g) of GO were used for determination the best weight for evaluation the equilibrium uptake capacity (Q e) of D. The fig. 3A show a rise in the quantity of the adsorbent when the amount of GO rise and reaching equilibrium at 0.01 g, so using this concentration for the subsequent studies. In the same manner many weights of (PVP-AAc) (0.01-0.15 g) were used for choosing the best weight for further studies, and from fig. 3B show the best weight equal to 0.05 [15, 21].
Contact time effect
Fig. 4A shows that the adsorbent amount of D on the surface part of the composite increases with the increase in the contact time due to longer mixing time that leads to a higher displacement of the D from the aqueous solution. After using different times (40-320) min, the contact time found to be equal to 180 min; therefore this time was used for subsequent investigations such as temperature, pH and ionic strength effects [29].
Doxycycline Adsorption
The adsorption process illustrated by drawing concentration of D against the adsorbed amount at 15 °C, pH 7 and for 180 min. The obtained results point out there is an excellent quantity of D adsorbed on the surface as shown in the fig. 4B. The worthy amount of the drug adsorbed on the surface may be due to the adsorbent surface carry many negative hydroxyl and carboxylic groups. On the other hand, two amine groups present in the antibiotics impart its positive charge; these differences in the charge between the adsorbent surface of composite and functional groups of the D enhance the process of adsorption [18].

Fig. 3: Effect of different weight of GO (A) and different weight of (PVP-AAc) (B)

Fig. 4: Effect of time contact (A) on adsorption of doxycycline at 15 °C, pH =7 and 500 mg of D in 10 ml water (100 ppm). Adsorption isotherm of doxycycline (B) at 15 °C, 180 min and pH 7
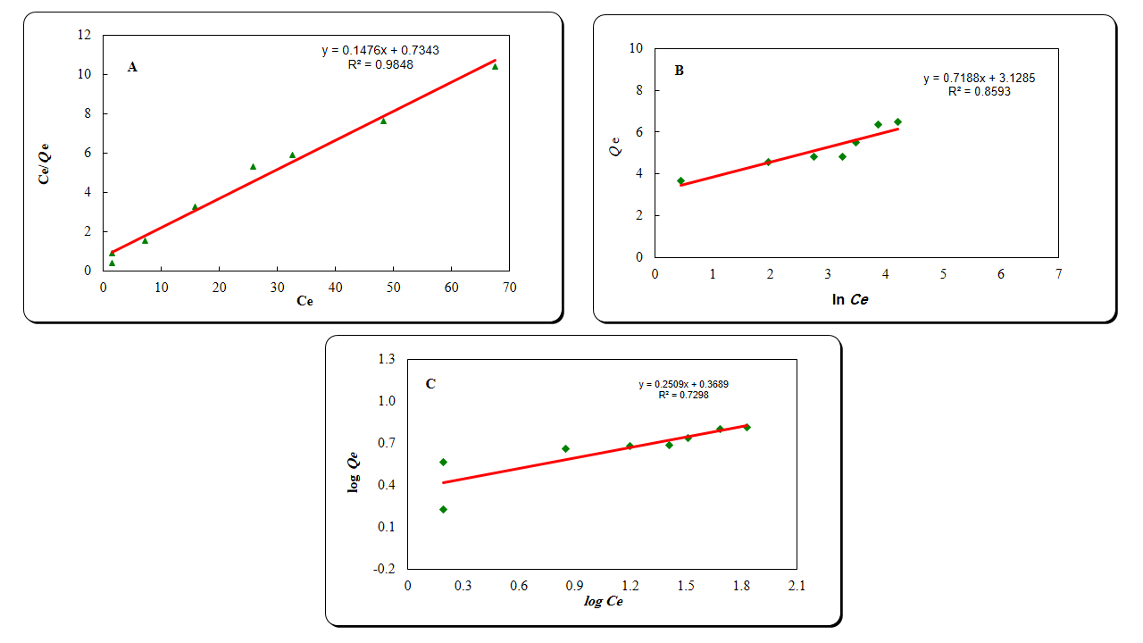
Adsorption equilibrium studies
Data interpretation of the adsorption process at 15 °C done by using Timken, Langmuir and Freundlich equations as presented in the fig. 5. Langmuir Adsorption Isotherm quantitatively refer to the construction of one-layer adsorbate on the adsorbent surface and later, no additional adsorption happen [30]. The Langmuir isotherm is true for one-layer adsorption onto a surface comprising a predictable number of analogous places. This isotherm type supposes identical energies of adsorption on the surface and the non-transfer of adsorption at the surface level. From above assumptions, Langmuir isotherm denoted to the equation below:
Q e =
………… 1
By converting the Langmuir equation (1) into linear form in order to determine adsorption parameters.
=
…………. 2
Where:
C e = adsorbate equilibrium concentration (mg/l-1)
Q e = the quantity of material adsorbed at equilibrium per each gram of the adsorbent (mg/g).
q m = maximum one-layer coverage capacity (mg/g)
KL = Langmuir isotherm (L/mg) constant
The important structures of the Langmuir adsorption isotherm could be presented in expressions of equilibrium parameter RL, which is a separation factor that is a dimensionless constant [30].
RL =
……………… 3
Langmuir Constant (RL) linked to the adsorption energy. C0 refer to initial concentration.
RL value specifies the nature of adsorption to be either linear when RL= 1, unfavorable when RL>1, favorable when between 0 to 1 and irreversible if RL= 0. From the data calculated in table 1, the RL is more than 0 but less than 1 demonstrating a favorable Langmuir isotherm. From this study, (qm) defined to be 6.775068 mg/g, KL is 0.022 L/mg, RL (the separation factor) is 0.008 indicating a favorable sorption of equilibrium and the R2 value is 0.98 verifying that the sorption information built-in well to Langmuir Isotherm model.

Fig. 5: Langmuir (A), Freundlich (B), and Temkin (C) isotherms of doxycycline adsorption on the GO/(PVP/AAc) composite hydrogel
Table 1: The doxycycline adsorption correlation coefficients and isotherm constant of Langmuir, Friendlies and Timken on the surface GO/ (PVP/AAC) composite.
| Langmuir equation | Freundlich equation | Timken equation | ||||||
| KL | qm | R2 | KF | N | R2 | KT | B | R2 |
| 0.201 | 6.77 | 0.98 | 2.33 | 3.98 | 0.85 | 77.66 | 0.71 | 0.72 |
Temperature effect and calculations of thermodynamic parameters
Adsorption process affected by changes in the temperature, as shown in table 2 and 3 and fig.6. Increasing in the temperature from 10 to 15 °C lower the adsorption amount of D from 57.71 to 56.9 mg/l. Also there is decrease in the adsorption amount of antibiotics reaching to 56.4 mg/l when temperature increase to 20 °C, and the quantity go down to 55.9 mg/l at 25 °C. From these results, we find there is an exothermic adsorption process. The increment in temperature cause reduction in the viscosity of the solution and more dissolving of antibiotics leading to less adsorption [31]. As well as more kinetics energy of antibiotics molecules when the temperature increase, giving more chance for physical bonds between D and the surface to be break [29, 32]. The amount of absorption process (ΔH) utilize to differentiate between chemical and physical absorption. Negative and small ΔH value (table 4) strengthen the mention results and give excellent mark for weak interactions between D and the composite-physical interactions-and indicating the reaction is exothermic [33]. Results also give marks of spontaneous and easy adsorption takes place together with an increased degree of orderliness at the adsorption of D onto the composite as a result of negative values for both (ΔG) and (ΔS) respectively [34].

Fig. 6: (A) Absorbed quantity of doxycycline on the surface of GO/ (PVP-AAc) composite at different temperatures. (B) ln Xm of the doxycycline adsorption on the surface of composite.
Table 2: The effect of temperature changes on the doxycycline quantity that adsorbed on surface of GO/ (PVP-AAc) composite.
| 10 °C | 15 °C | 20 °C | 25 °C | ||||
| Ce (mg/l) | Qe (mg/g) | Ce (mg/l) | Qe (mg/g) | Ce (mg/l) | Qe (mg/g) | Ce (mg/l) | Qe (mg/g) |
| 0 | 0 | 0 | 0 | 0 | 0 | 0 | 0 |
| 0 | 1 | 0 | 1 | 0 | 1 | 0.47 | 0.90 |
| 0.44 | 1.91 | 1.42 | 1.71 | 1.53 | 1.69 | 1.92 | 1.61 |
| 1.34 | 3.73 | 1.59 | 3.68 | 1.86 | 3.62 | 3.10 | 3.37 |
| 1.72 | 5.65 | 2.71 | 5.45 | 3.94 | 5.21 | 4.83 | 5.03 |
| 3.36 | 7.32 | 4.10 | 7.17 | 4.77 | 7.04 | 6.50 | 6.69 |
| 4.23 | 11.15 | 5.71 | 10.85 | 6.45 | 10.70 | 6.81 | 10.63 |
| 5.73 | 14.85 | 6.47 | 14.70 | 6.71 | 14.65 | 8.93 | 14.21 |
| 7.12 | 18.57 | 6.87 | 18.62 | 8.35 | 18.32 | 10.82 | 17.83 |
| 9.56 | 38.08 | 9.81 | 38.03 | 11.28 | 37.74 | 16.21 | 36.75 |
| 11.42 | 57.71 | 15.12 | 56.97 | 17.58 | 56.48 | 20.04 | 55.99 |
Table 3: Temperature effect on maximum doxycycline adsorption on the surface of GO/ (PVP-AAc) composite.
| Temp (C) | Temp.(K) | 1/T(K) | 1000/T(K) | Ce | Xm | ln(Xm) |
| 10 | 283 | 0.0035 | 3.533 | 11.42 | 57 | 4.043 |
| 15 | 288 | 0.0034 | 3.472 | 11.42 | 43.9 | 3.781 |
| 20 | 293 | 0.0034 | 3.412 | 11.42 | 37.1 | 3.613 |
| 25 | 298 | 0.0033 | 3.355 | 11.42 | 19 | 2.944 |
Table 4: The doxycycline adsorption process of on a surface of GO/ (PVP-AAc) composite illustrating thermodynamic parameters.
| Slope | ΔH (kJ. mol-1) | ΔG (kJ. mol-1) | ΔS (J. mol-1. K-1) | Equilibrium constant(K) |
| 5818.3 | -48373.3 | -10167.8 | -130.39 | 16.24 |

Fig. 7: Doxycycline adsorption on the surface of composite: pseudo (-first and second) orders model.
Adsorption kinetics
Doxycycline adsorption kinetics were assessed using pseudo-first-order and pseudo-second-order kinetics. Based on the results of the correlation coefficients (R2) in fig. 7, it found that pseudo-second-order is better correlated with D [35].
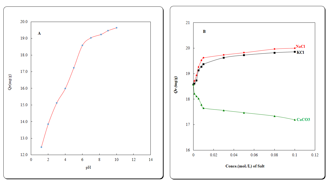
Effect of pH
Doxycycline adsorption on surface GO/PVP-AAc composite is comparatively rise from 13.8 to 15.9 mg/g when increase pH from 2 to 4 and there is negligible increment when increase pH above 7 representing that the affinity of D for GO is higher at acidic media (fig. 8A). According to these results, it is clear that on the surface of GO, when the pH is acidic, more hydroxyl and carboxylic acid groups are ionised to form radicals of negative charge, at the same circumstances, more positive charge formed in D. Consequently, the graphene oxide surface charge becomes more negative and more available active sites that will lead to more D adsorbed on the GO surface [36]. After the pH 7, increasing in pH has negligible effect on the adsorbent capacity of D on the GO surface due to electrostatic repulsion that resulted from deprotonation of charged enol and amino groups on the D and carboxyl group on GO facilitated in basic pH media [34].
Effect of ionic strength
Addition of NaCl and KCl have encouraging effect on the quantity of D that adsorbate on the surface of GO (fig. 8B and table 5). This is as result of declining in the solubility of the D in the solution because of the competition between the solvent molecules and salt ions that lead to a lowering effect on solubility of D [34]. Additionally, salt ions form double layer that could increase the adsorption of D particles on the GO surface [36]. Furthermore, this work show the addition of two charged cation (CaCO3) possess an opposite effect-increase in CaCO3 concentration leads to an imperative decrease in adsorption of D-, as a result of a competition between D and Ca+2 ions for negatively charged groups on GO surface, as well as an increment in the solubility of D [37].

Fig. 8: pH effect (A) and ionic strength effects (B) of NaCl, KCl and CaCO3 on the adsorption capacity of D on GO/(PVP-AAC) surface composite
Table 5: The ionic strength effect of NaCL, KCl and CaCO3 on adsorption of doxycycline on the surface of composite.
| Co (mg/g) | Salt concentration (mol/l) | Qe NaCl (mg/g) | Qe KCl (mg/g) | Qe CaCO3 (mg/g) |
| 100 | 0 | 18.575 | 18.575 | 18.575 |
| 100 | 0.001 | 18.711 | 18.613 | 18.219 |
| 100 | 0.003 | 18.932 | 18.734 | 18.117 |
| 100 | 0.005 | 19.258 | 19.130 | 18.027 |
| 100 | 0.008 | 19.522 | 19.275 | 17.782 |
| 100 | 0.01 | 19.621 | 19.375 | 17.651 |
| 100 | 0.03 | 19.740 | 19.627 | 17.558 |
| 100 | 0.05 | 19.827 | 19.728 | 17.468 |
| 100 | 0.08 | 19.970 | 19.822 | 17.334 |
| 100 | 0.10 | 20.005 | 19.857 | 17.190 |
Graphene oxide/PVP/AAc composite is a novel, good and efficient adsorbent for removal of the Doxycycline polluted the water because of its low cost, hydrophilic properties, large surface area and special structure that give impressive dispersible activity in aquatic solutions. The elevated value of R2 (0.98) indicated that Langmuir isotherm model better fitted to the outcomes of D removal using GO/PVP-AAc at 15 °C. Contact time studies of D equal to 180 min. The adsorption kinetics correlated to the pseudo-second-order model. Thermodynamic parameters results pointed out that the nature of the adsorption process is physical, exothermic, ordered and spontaneous. The adsorption capacity of D rises in the acidic medium and when adding NaCl salt to the solution.
Not applicable
This research received no external funding.
All the authors have contributed equally.
The authors declare that there is no conflict of interest.
Yu F, Li Y, Han S, Ma J. Adsorptive removal of antibiotics from aqueous solution using carbon materials. Chemosphere 2016;153:365–85.
Joshi M, Lata S, Kanwar P, Mishra T. Application of nanostructures in antimicrobial therapy. Int J Appl Pharm 2018;10:11–25.
Abdulsahib WK, Fadhil OQ, Abood SJ. Antimicrobial susceptibility pattern isolated from different clinical samples in Baghdad hospitals. J Adv Pharm Educ Res 2020;10:51-9.
Priya SS, Radha KV. Brief review of spectrophotometric methods for the detection of tetracycline antibiotics. Int J Pharm Pharm Sci 2014;6:48–51.
Wu L, Wang J, Zhang Y, Wang L, Ye J. Aquatic toxicity of antibiotic contaminant doxycycline hydrochloride on cyanobacterium microcystis aeruginosa. Asian J Water Environ Pollut 2014;11:45–50.
Palasuk J, Windsor LJ, Platt JA, Lvov Y, Geraldeli S, Bottino MC. Doxycycline-loaded nanotube-modified adhesives inhibit MMP in a dose-dependent fashion. Clin Oral Investig 2018;22:1243–52.
Hadjimichael AC, Foukas AF, Savvidou OD, Mavrogenis AF, Psyrri AK, Papagelopoulos PJ. The anti-neoplastic effect of doxycycline in osteosarcoma as a metalloproteinase (MMP) inhibitor: a systematic review. Clin Sarcoma Res 2020;10:1–10.
Redelsperger IM, Taldone T, Riedel ER, Lepherd ML, Lipman NS, Wolf FR. Stability of doxycycline in feed and water and minimal effective doses in tetracycline-inducible systems. J Am Assoc Lab Anim Sci 2016;55:467–74.
Zhang M, He LY, Liu YS, Zhao JL, Liu WR, Zhang JN, et al. Fate of veterinary antibiotics during animal manure composting. Sci Total Environ 2019;650:1363–70.
Liu Y, Guan Y, Gao B, Yue Q. Antioxidant responses and degradation of two antibiotic contaminants in Microcystis aeruginosa. Ecotoxicol Environ Saf 2012;86:23–30.
Yan Q, Li X, Ma B, Zou Y, Wang Y, Liao X, et al. Different concentrations of doxycycline in swine manure affect the microbiome and degradation of doxycycline residue in soil. Front Microbiol 2018;9:3129.
Jechalke S, Heuer H, Siemens J, Amelung W, Smalla K. Fate and effects of veterinary antibiotics in soil. Trends Microbiol 2014;22:536–45.
Blau K, Jacquiod S, Sørensen SJ, Su JQ, Zhu YG, Smalla K, et al. Manure and doxycycline affect the bacterial community and its resistome in lettuce rhizosphere and bulk soil. Front Microbiol 2019;10:725.
Yu F, Sun S, Han S, Zheng J, Ma J. Adsorption removal of ciprofloxacin by multi-walled carbon nanotubes with different oxygen contents from aqueous solutions. Chem Eng J 2016;285:588–95.
Atyaa AI, Radhy ND, Jasim LS. Synthesis and characterization of graphene oxide/hydrogel composites and their applications to adsorptive removal congo red from aqueous solution. In: Journal of Physics: Conference Series. IOP Publishing; 2019. p. 12095.
Ahmed MB, Zhou JL, Ngo HH, Guo W. Adsorptive removal of antibiotics from water and wastewater: progress and challenges. Sci Total Environ 2015;532:112–26.
Alnajrani MN, Alsager OA. Removal of antibiotics from water by the polymer of intrinsic microporosity: isotherms, kinetics, thermodynamics, and adsorption mechanism. Sci Rep 2020; 10:794.
Zeng ZW, Tan XF, Liu YG, Tian SR, Zeng GM, Jiang LH, et al. Comprehensive adsorption studies of doxycycline and ciprofloxacin antibiotics by biochars prepared at different temperatures. Front Chem 2018;6:80.
Rocher V, Bee A, Siaugue JM, Cabuil V. Dye removal from aqueous solution by magnetic alginate beads crosslinked with epichlorohydrin. J Hazard Mater 2010;178:434–9.
Lin S, Li Q, Zhong Y, Li J, Zhao X, Wang M, et al. Cross-linked double network graphene oxide/polymer composites for efficient coagulation-flocculation. Glob Challenges (Hoboken, NJ) 2020;4:1900051.
Zhu Y, Murali S, Cai W, Li X, Suk JW, Potts JR, et al. Graphene and graphene oxide: synthesis, properties, and applications. Adv Mater 2010;22:3906–24.
Fan L, Luo C, Sun M, Li X, Lu F, Qiu H. Preparation of novel magnetic chitosan/graphene oxide composite as effective adsorbents toward methylene blue. Bioresour Technol 2012;114:703–6.
Huang Y, Zeng M, Ren J, Wang J, Fan L, Xu Q. Preparation and swelling properties of graphene oxide/poly (acrylic acid-co-acrylamide) super-absorbent hydrogel nanocomposites. Colloids Surf A 2012;401:97–106.
Liu M, Li X, Du Y, Han R. Adsorption of methyl blue from solution using walnut shell and reuse in secondary adsorption for congo red. Bioresour Technol Reports 2019;5:238–42.
Priya SS, Radha K. Equilibrium, isotherm, kinetic and thermodynamic adsorption studies of tetracycline hydrochloride onto commercial-grade granular activated carbon. Int J Pharm Pharm Sci 2015;7:42–51.
Radhy ND, Jasim LS. Synthesis of graphene oxide/hydrogel composites and their ability for efficient adsorption of crystal violet. J Pharm Sci Res 2019;11:456–63.
Zhu H, Chen T, Liu J, Li D. Adsorption of tetracycline antibiotics from an aqueous solution onto graphene oxide/calcium alginate composite fibers. RSC Adv 2018;8:2616–21.
Tabatabai Yazdi F, Ebrahimian Pirbazari A, Esmaeili Khalilsaraei F, Asasian Kolur N, Gilani N. Photocatalytic treatment of tetracycline antibiotic wastewater by silver/TiO2 nanosheets/reduced graphene oxide and artificial neural network modeling. Water Environ Res 2020;92:662–76.
Rostamian R, Behnejad H. Insights into doxycycline adsorption onto graphene nanosheet: a combined quantum mechanics, thermodynamics, and kinetic study. Environ Sci Pollut Res 2018;25:2528–37.
Balarak D, Mostafapour FK, Azarpira H, Joghataei A. Langmuir, Freundlich, Temkin and Dubinin–radushkevich isotherms studies of equilibrium sorption of ampicilin unto montmorillonite nanoparticles. J Pharm Res Int 2017;20:1–9.
Abdulsahib WK, Ganduh SH, Radia ND, Jasim LS. New approach for sulfadiazine toxicity management using carboxymethyl cellulose grafted acrylamide hydrogel. Int J Drug Delivery Technol 2020;10:1–7.
Ali MMM, Ahmed MJ. Adsorption behavior of doxycycline antibiotic on NaY zeolite from wheat (Triticum aestivum) straws ash. J Taiwan Inst Chem Eng 2017;81:218–24.
Abbas RF, Hami HK, Mahdi NI. Removal of doxycycline hyclate by adsorption onto cobalt oxide at three different temperatures: isotherm, thermodynamic and error analysis. Int J Environ Sci Technol 2019;16:5439–46.
Brigante M, Avena M. Biotemplated synthesis of mesoporous silica for doxycycline removal. Effect of pH, temperature, ionic strength and Ca2+concentration on the adsorption behaviour. Microporous Mesoporous Mater 2016;225:534–42.
Hiew BYZ, Lee LY, Lee XJ, Thangalazhy Gopakumar S, Gan S, Lim SS, et al. Review on the synthesis of 3D graphene-based configurations and their adsorption performance for hazardous water pollutants. Process Saf Environ Prot 2018;116:262–86.
Li M, Liu C, Xie Y, Cao H, Zhao H, Zhang Y. The evolution of surface charge on graphene oxide during the reduction and its application in electroanalysis. Carbon NY 2014;66:302–11.
Gao Y, Li Y, Zhang L, Huang H, Hu J, Shah SM, et al. Adsorption and removal of tetracycline antibiotics from aqueous solution by graphene oxide. J Colloid Interface Sci 2012;368:540–6.