
1Departement Pharmaceutics and Technology of Pharmacy, Faculty of Pharmacy, Universitas Padjadjaran. Sumedang, 45362, Indonesia, 2Akademi Farmasi, Mitra Sehat Mandiri, Sidoarjo, East java, 61262, Indonesia, 3Departement Pharmaceutial Analysis and Medicinal Chemistry, Faculty of Pharmacy, Universitas Padjadjaran. Sumedang, 45362, Indonesia
Email: i.sopyan@unpad.ac.id
Received: 31 Aug 2020, Revised and Accepted: 20 Oct 2020
ABSTRACT
Water solubility and low bioavailability of active pharmaceutical ingredients are some of the main challenges in the process of developing new drugs, especially drugs in oral solid dosage forms. One way to improve drug solubility is the principle of cocrystallization. Cocristallyzation itself is the process of combining the active ingredients of a less water-soluble drug with a coformer so that it becomes more soluble. Pharmaceutical cocrystal provides benefits to improve physicochemical properties without affecting its pharmacological properties. In this review, we have reviewed literature discussions and research that discuss co-crystallization as an aid to improve the physicochemical and bioavailability of drugs and also discuss some drugs in the form of cocrystal and their improvement in physicochemical-biopharmaceutical properties. The main references data used in this review are research journals published in the past 10 y (2010-2020) using keywords: cocrystal, physicochemistry, bioavailability, and solid dosage form, and using google scholar as a database. Discussion on the effect of cocrystal on physicochemical properties and bioavailability of drugs was produced. The method of producing cocrystal and its characterization was also discussed. Cocrystal offers a promising approach to improve the physicochemical properties of API. The benefits of cocrystal can be observed through increased solubility, dissolution rate, permeability, bioavailability, drug stability, and tabletability.
Keywords: Pharmaceutical cocrystal, Cocrystallization, Solubility, Bioavailability
© 2021 The Authors. Published by Innovare Academic Sciences Pvt Ltd. This is an open access article under the CC BY license (http://creativecommons.org/licenses/by/4.0/)
DOI: http://dx.doi.org/10.22159/ijap.2021v13i1.39594. Journal homepage: https://innovareacademics.in/journals/index.php/ijap
The quality of a drug is influenced by various factors. One of them is the physicochemical properties of the active pharmaceutical ingredient (BAF) or the active pharmaceutical ingredient (API) used. The solubility and permeability of drugs are classified in a system called the Biopharmaceutical Classification System (BCS). BCS is a system used to classify drugs based on their solubility and permeability. These factors are very important because most of the drugs sold in the world are administered orally [1]. About 60-70% of the compounds of new drug drugs discovered in recent years belong to the BCS Class II (low solubility-high permeability) and Class IV (low solubility-low permeability) [2].
The effect of a drug is directly influenced by the solubility of the drug, because its therapeutic effectiveness is highly dependent on the solubility of the drug in the blood. Drugs that have good solubility properties will also have a good absorption profile in the intestine, resulting in good bioavailability or bioavailability [3]. The absorption of the drug is slower when the solubility is low, resulting in lower blood levels of the drug than the therapeutic levels [4].
Pharmaceutical researchers have developed a wide variety of approaches to increase the solubility of drugs, which in turn leads to increased bioavailability. Particle size reduction, solid dispersion, complexation, salt formation, nanoparticles, co-solvent addition, nanoemulsion suspension, and cocrystal formation are some of the approaches used in increasing the solubility of drugs with poor water solubility. Among all these methods, the cocrystal approach is unique, because it does not affect the pharmacological properties of the drug but can improve the bioavailability of the drug as well as some of its physicochemical characteristics such as melting point, tabletability, stability and permeability [5].
In this article, a systematic review or overview is presented of pharmaceutical cocrystal, the methods that have been used in their production, and also their applications in the pharmaceutical field. Apart from that, it also discusses the physicochemical properties, characterizations commonly used in drug delivery and laboratory development, as well as available literature data on the performance of cocrystal in improving physicochemical properties and bioavailability. The final part of this review will briefly discuss patent property rights as well as regulations related to cocrystal that currently exist.
Cocrystal definition
Cocrystal is a method that can be used to increase the solubility and chemical stability of drugs. A cocrystal is a solid material consisting of two or more solid materials that form a new, distinct crystal lattice, connected by hydrogen bonds such as the Van der Waals bond [6]. The FDA in its Guidance in 2018 explained that cocrystals are “crystalline materials or materials composed of two or more different molecules, one of which is API, in a predetermined stoichiometric ratio in the same crystal lattice, which is bound to each other by non-ionic bonds. and noncovalen [7]. A cocrystal is a combination of a pharmaceutical active ingredient (API) and its cocrystal former (coformer).
The main advantage of this method is that it can improve physical properties such as solubility, dissolution, and compressibility, without affecting the pharmacological activity of the API [8]. This is due to the presence of coformers in the crystal structure which is a component of modifying physical properties. The effect on the physicochemical properties of the API depends on the available coformers [9]. Also, cocrystallization can be used for all active pharmaceutical ingredients including acids, bases, and non-ionizable molecules [10]. Another unique advantage of cocrystals over more common salt forms is that they can be made for non-ionizable APIs [10]. As well as drugs in complex forms with sensitive functional groups that may not survive exposure to strong acid or alkaline reaction conditions [9]. Cocrystal also exists in a stable crystalline form and does not require other excipients or additives in the formulation [11].
Cocrystal former (coformer)
A cocrystal is composed of two components. The first component is the API, and the second component is called a coformer. Most of the coformers are medicinal excipients, but coformers can also be fellow active pharmaceutical ingredients that have efficacy. Beside, coformers can also be in the form of food additives and preservatives. In general, the ratio between API and coformer is 1: 1, 1: 2, or vice versa. Cocrystal with API that acts as a coformer are called cocrystal drugs. APIs and coformers can be acidic, alkaline or neutral [12].
In general, the coformer is a small organic acid compound, and a coformer capable of interacting with the target API via hydrogen bonding is usually preferred. Some of the coformer groups that are often used are carboxylic acid, amide, and alcohol groups. These functional groups often interact with each other in a cocrystal system [13]. The coformer selected must be non-toxic, and pharmaceutically acceptable. Currently, there are around 3000 compounds included in the Everything Added to Food in the United States (EAFUS) list formulated by the USFDA. This amount is also included in the Generally Recognized as Safe (GRAS) category. These compounds are considered safe enough for use in drug production, so that they can be used as coformers in the cocrystallization process [14]. Some examples of active substance cocrystals and coformers discussed in this review are presented in table 1.
Table 1: Pharmaceutical cocrystal and coformers
| Active compund | Coformer | Methods | References |
| Curcumin (Secondary Metabolite) | Dextrose | Solvent Evaporation | Kho et al., 2018. [15] |
| Quercetin (Secondary Metabolite) | Malonic Acid | Solvent Evaporation | Setyawan et al., 2018[16] |
| Ibuprofen (Antiinflamasi, Analgetik) | Nicotinamide | Solvent Evaporation | Yuliandra et al., 2018 [17] |
| Atorvastatin (Antikolesterol) | Succinic Acid | Solvent Evaporation | Wicaksono et al., 2019 [18] |
| Famotidin (Antiulcer) | Malonic Acid | Solvent Evaporation | Zhang et al., 2019 [19]. |
| 5-Fluorouracil (Antineoplastic) | Hydroxybenzoic Acid Aminobenzoic Acid, Sinamic Acid |
Slurry Solvent Drop Grinding |
Dai et al., 2016 [20]. |
| Hydrochlorothiazide (Diuretic) | Nicotinic Acid, Nicotinamide Aminobenzoic Acid |
Solvent Drop Grinding | Sanphui et al., 2015 [21]. |
| Acyclovir (Antivirus) | Maleic Acid, Fumaric Acid Glutaric Acid |
Reaction Cocrystallization | Yan et al., 2013 [22]. |
| Dihidromiricetin (Secondary Metabolite) | Urea caffeine | Solvent Evaporation | Wang et a. l, 2016 [23]. |
| Danazol (Endometriosis Treatment) | Vanillin | Solvent Evaporation | Childs et al., 2013 [24]. |
| Indometasin (Anti-Inflammation) | Saccharin | Solvent Evaporation | Ferreti et al., 2015 [25]. |
| Carbamazepine (Antikonvulsan) | Vanillic Acid, Succinic Acid | Solvent Evaporation | Dalpiaz et al., 2018 [26]. |
| Baicalein (Metabolit Sekunder) | Caffeine | Reaction Crystallization | Zhu et al., 2017 [27]. |
| Meloxicam (Anti-Inflammation) | Carboxylic Acid | Slurry | Weyna et a. l, 2012 [28]. |
| Oxiracetam (Stimulan) | Gallic Acid | Solvent Evaporation | Wang et al., 2012 [29]. |
| Simvastatin (Anticholesterol) | Nicotinamide, Aspartame Tartric Acid, Saccharin |
Solvent Evaporation Slurry Solvent Drop Grinding Solvent Evaporation |
Sopyan et al., 2017 [30] Sopyan., 2017 [32]. Sopyan et al., 2016[31]. Sopyan et al., 2017 [32]. |
| Paracetamol (Antipyretic) | 5-nitroisophtahlic acid | Solvent Evaporation | Hiendrawan et al., 2016[33]. |
Pharmaceutical cocrystals are composed of two molecules namely API molecules and coformer molecules which can be other drugs or excipients. Usually, the two components are in a neutral state and interact with each other through chemical bonds [15]. The main basic principle in cocrystal design is the supramolecular synton principle, in which the cocrystal coformers are selected based on their interaction at the molecular level. The interactions between molecules that have the potential to form cocrystal are non-covalent interactions, such as hydrogen bonds, π-π, and van der Waals interactions. These interactions will produce patterns that can collect molecules to form one, two-or three-dimensional arrangement of molecules in the crystal. This pattern is called the supramolecular sinton [14]. This theory concludes that the functional groups contained in the API and their coformers have an influence in the formation of the cocrystal, and the coformers with the appropriate functional groups can be paired with certain APIs that can interact with the functional groups [5].
Supramolecular sinton can be categorized into two types, namely homosinton and heterosinton. Homosinton is a molecular interaction that occurs between two of the same functional groups contained in the API and its coformers, whereas heterosinton is the interaction between two different functional groups [10]. Based on the analysis of the structure of cocrystal summarized in the Cambridge Structural Database (CSD), it is concluded that hydrogen bonding is the most common interaction between molecules found in cocrystal which has been reported in various literature and studies.
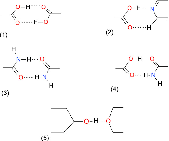
A hydrogen bond can be formed because of the non-covalent interaction between the donor group and the hydrogen bond acceptor. The first example can be seen from fig. 1. In fig. 1 where the hydrogen bond homosinton formation of carboxylic acids between C = O and H-O is formed. The homosynthon formation can also be found in fig. 3, where a homosynthon formation is formed on the amide group between C = O and H-N in the form of a hydrogen bond. Besides homosinton, the form of heterosinton interaction can also be observed in fig. 2 which occurs between carboxylic acids, and pyridines, carboxylic and amides in fig. 4 and alcohol-ether in fig. 5 [10].

Fig. 1: Hydrogen bonds in cocrystallization [10]
The cocrystallization stage begins with the study of the structure of the API molecule to be used and identifying the location of the hydrogen bond that can occur. Next is the stage of selecting a suitable coformer with the API molecule that is being targeted. Coformer selection is the most important stage in the design and screening process for cocrystal. This process can be done through an experimental method on trial and error against all available coformers, then characterized to confirm the formation of a cocrystal. Currently, many new coformer selections methods have been developed, one of which is virtual in silico screening method. After the coformer was determined, a screening process was carried out with a small-scale cocrystallization experiment. Each cocrystallization method has the possibility of producing cocrystals in a new form which cannot be obtained by other methods. So that if successful, this process can be continued by increasing the scale of production (scale-up) and using different techniques to provide more complete results [14].
In silico screening
The in silico method aims to predict the possible molecular interactions between coformers and active ingredients. The coformer selected for in silico screening has several criteria, namely: it has no pharmacological activity and has a hydrogen donor or acceptor group that has the potential to form hydrogen bonds between the API and the coformer [16]. This method is applied by performing a molecular docking simulation between the API and the coformer computationally using software (for example: Autodock4, Dock, EUDOC, Glide, GOLD) to predict the conformation and orientation of a small molecule/ligand (coformer) that has lowest energy when interacted with the binding site on the target macromolecule (API). The accuracy of this method can also be improved by calculating the free energy of binding (FEB) between the ligand and the target molecule. So that from all the coformers tested, it can be determined which coformers have the potential to form a cocrystal with the selected API [17].
The application of the insilico screening method can be studied from a study conducted by Siswandi and friends in 2015. Ketoprofen is a non-steroidal anti-inflammatory and analgesic drug that is practically insoluble in water, but has good permeability so that it is categorized in BSC Class II. Thus, a virtual coformer screening technique in silico was developed for the co-crystallization of ketoprofen using the molecular docking method. The software used is ChemOffice, Portable_Hyperchem_8.0, Autodock 4.2.3 and OpenBabelGUI 2.2.3. The 2D structure of ketoprofen and its coformer were geometrically optimized using Portable_Hyperchem and then calculated the QSAR characters. Then the entire molecule file is converted into. pdb format using OpenBabelGUI 2.2.3 software, then converted back to pdbq and pdbqt formats by adding polar hydrogen, Kollman charges and calculating the torque angle. The docking process was repeated at least 10 times for each coformer and observed the type parameters and interaction energy values (Ei). In general, the parameters that can assist in the prediction of cocrystal are the type of interaction, bond energy, bond distance and molecular conformation [16].
Effect of cocrystal on active pharmaceutical properties
The main objective of the application of pharmaceutical cocrystallization is to improve problematic properties such as solubility, dissolution rate, bioavailability and stability [18].
Solubility and dissolution
Cocrystal will have different solubility with each constituent component due to changes in crystal structure [19]. Currently, about 60-70% of the existing drugs are classified as Class II and IV [2], so that efforts to increase the solubility of the drug are needed to develop the dosage formulation. In 2018, Katherine and her friends did the preparation and characterization of curcumin and dextrose cocrystal. Curcumin is a secondary metabolite compound in the yellow polyphenol group that comes from the extraction of turmeric (Curcuma longa) and is believed to have antioxidant, anti-inflammatory and anticancer activities.
The water solubility of curcumin was 0.6 μg/ml. As a coformer, dextrose is used because it is widely available and is also a safe compound or generally regarded as safe (GRAS). Cocrystal synthesis was carried out using the solvent evaporation method. The result is curcumin-dextrose cocrystal with high solubility and stability at acidic pH. The low initial concentration of curcumin in co-crystallization (0.2% curcumin) results in higher yield (over 90%) and also higher solubility. This indicates that the cocrystallization process runs more efficiently at low concentrations. The solubility of curcumin-dextrose cocrystal was also higher than that of pure curcumin, where the solubility increased to 23 mg/ml at the initial curcumin concentration of 0.2%. This increase is thought to be due to the formation of hydrogen bonds from the hydroxyl dextrose group with the carbonyl or phenolic groups of curcumin. However, these studies have not provided results related to in vitro dissolution, so further research is needed [15].
Setyawan and friends also conducted research on the dissolution rate of quercetin cocrystal which is a secondary metabolite of the flavonoid class. Quercetin has a solubility of 0.3 μg/ml in water and has anti-cancer, antibacterial and antiviral effects. Quercetin cocrystal is prepared by the solvent evaporation method with the malonic acid coformer. The results showed that the dissolution rate of quercetin-malonic acid cocrystal was 95.30% at the 60th minute, higher than the dissolution of pure quercetin and also the physical mixture of quercetin-malonic acid which had a value of <60% at the 60th minute. The test results are also expressed as the percentage dissolution efficiency (% DE) of the total drug dissolved in the dissolution medium during the test. This percentage can be determined by measuring the area under the curve or the area under curve (AUC) obtained from the dissolution curve. Quercetin cocrystal gives% DE of 82.57±2.81%, higher than pure quercetin (64.46±0.93%) and its physical mixture (64.56±0.26%). Several mechanisms are thought to be involved in increasing the dissolution rate of quercetin in the cocrystal, such as the solubilization of the malonic acid coformer which is a water-soluble compound, as well as a decrease in crystal lattice energy and an increase in solvent affinity for the cocrystal [19].
Cocrystallization is also applied to drugs that have become drug of choice in their use. One of them is a research conducted by Yuliandra and friends about the synthesis of ibuprofen cocrystal and its characterization and evaluation of its analgesic activity in vivo. Ibuprofen is a non-steroidal anti-inflammatory drug (NSAID) that is included in Class II. As a coformer, nicotinamide is used to increase its solubility. The cocrystal was prepared using the slow evaporation method and then characterized. In addition, analgesic activity testing was also carried out using male mice. The solubility test results showed that cocrystal formation could significantly increase the solubility of ibuprofen compared to the physical mixture and pure ibuprofen. This increase in solubility in the cocrystal phase is thought to occur due to the hydrotropic effect of the nicotinamide coformer and the increase in affinity in water due to changes in the crystal lattice molecules. This increase in solubility also affects the analgesic effect of ibuprofen in vivo. The test results showed that the cocrystal provides the highest degree of pain inhibition compared to pure ibuprofen and its physical mixture [20].
Cocrystal can also be applied to anti-cholesterol drugs such as Atorvastatin. Wicaksono and his friends succeeded in the preparation and characterization of atorvastatin calcium cocrystal in 2019. Cocrystal was prepared using the solvent evaporation method with methanol and succinic acid coformer. The cocrystal obtained was successful in providing a significant increase in solubility compared to pure calcium atorvastatin. The increased solubility is also accompanied by an increase in the rate of dissolution. Atorvastatin-succinic acid cocrystal gave a dissolution test result of 47.1±1.9% in 30 min, much higher than pure calcium atorvastatin which had a dissolution rate of 33.6±2.3% at the same time. At the end of testing, the percentage of drug release during the dissolution process of cocrystal has increased by 1.5 times compared to the pure drug [21].
Zhang and colleagues performed synthesis and dissolution analysis of Famotidine cocrystal, a drug with an H2 receptor antagonist mechanism commonly used to treat gastrointestinal reflux disease and is also insoluble in cold water. The preparation was carried out using the solvent evaporation method with methanol solvent for 2 d and malonic acid coformer. The test performed gave the result of a dissolution rate with a maximum concentration of 4.06 mg ml-1 after 30 min, compared to the maximum concentration of pure famotidine, namely 0.96 mg ml-1 after 8 h. So that the famotidine-malonic acid cocrystal showed an increase of 4.2 times compared to the pure drug [22].
In the past ten years, research on cocrystal has grown rapidly, but little research has been done on the preparation and evaluation of cocrystal in tablet dosage forms. One of them is a study in 2019 by Budiman and friends on the development of a tablet formulation of glibenclamide-saccharin cocrystal to increase the dissolution rate of the drug. Glibenclamide is a type 2 antidiabetic drug included in BCS Class II with a solubility of about 4 mg/liter and a bioavailability of 40-45%. This study is a continuation of previous studies which concluded that glibenclamide-saccharin cocrystal can increase the solubility of glibenclamide compared to its pure form. Glibenclamide cocrystal was prepared using the solvent drop grinding method and the saccharin coformer. The resulting cocrystal is then formulated into direct compressed tablets. The formula used consists of glibenclamide-saccharin cocrystal, magnesium stearate and ludipress, with 3 variations of the formula. Then the tablet was evaluated and also the in vitro dissolution test. As a result, all cocrystalline tablet formulas gave total drug release values of>80% within 60 min. Cocrystal tablets with a molar ratio of glibenclamide: saccharin of 1: 2 gave the highest percentage of drug release compared to the other two formulas, namely as much as 97.68% in 45 min. So that the dissolution rate of the tablets was 32.36% greater than pure glibenclamide after 45 min [23].
Permeability
Another key parameter in the process of oral drug absorption is the permeability of the drug as it passes through the biological membrane [24]. Compared to research on the effect of cocrystal on solubility and dissolution rate, the effect of cocrystal on drug permeability has not been widely carried out. 5-fluorouracil (5-FU) is a drug in BCS class III whose permeability was successfully increased in a study conducted by Dai and friends in 2016 using a coformer of 3-hydroxybenzoic acid, 4-aminobenzoic acid and cinnamic acid. 5-fluorouracil is an antineoplastic drug used to treat skin cancer and other skin diseases via the transdermal route. As a result, there was no increase in cocrystal solubility, but an increase in permeability. The increase in permeability that occurs is not uniform, where the 5-FU-cinnamic acid cocrystal gave the largest increase. Supramolecular sinton formation, drug-coformer interactions and molecular arrangement in crystals are thought to be the cause of the increase in permeability of 5-FU cocrystal. In addition, this study also confirms that cocrystals can be used to increase drug permeability without affecting their solubility [25].
Sanphui and colleagues conducted a permeability study of hydrochlorothiazide cocrystal (HCT) with coformer nicotinic acid, nicotinamide, 4-aminobenzoic acid, succinamide and resorcinol using the Franz cell diffusion method. Hydrochlorothiazide is a diuretic drug with class IV BCS. The results showed that the amount of drug flux present in almost all cocrystal is higher than the pure drug except HCT-succinamide. Cocrystals made from the succinamide coformer are an exception because they show lower amounts than the pure drug. HCT-nicotinic acid cocrystal has increased permeability along with decreased solubility. This suggests a potential trade-off between solubility and permeability. From recent study, it was concluded that the permeability of cocrystal can be increased because there is the formation of heterosinton interactions between drugs and coformers on the crystal lattice which causes changes in polarity [26].
Permeability studies were also carried out on acyclovir cocrystal which is an antiviral drug and is included in BCS class IV. The coformers used are carboxylic acid groups such as maleic acid, fumaric acid and glutaric acid. All three provide an increase in solubility and dissolution rate. The research was continued by conducting in vitro experiments using the Franz cell diffusion method. The result is the acyclovir-fumaric acid and glutaric acid cocrystal provide higher permeability when compared to the maleic salt form. This increase is thought to be due to the good lipophilic properties of the coformer selected, and the decrease in crystal lattice energy which can be predicted from the decrease in the melting point of the cocrystal [27].
Bioavailability
Cocrystals have the potential to improve drug delivery and clinical performance by modifying drug solubility and dissolution, which in turn have an impact on pharmacokinetics and bioavailability in the body [19]. Oral drug absorption is generally composed of two stages. First, the drug dissolves in the digestive juices that are secreted in the digestive tract. Then the drug molecules will permeate the digestive membrane by means of passive diffusion or active transport [42]. Therefore, it can be concluded that solubility and permeability are two key factors that have an impact on the effectiveness of the oral absorption of a drug [14].
Research conducted by Wang and colleagues in 2016 reported that there was an increase in the AUC of rat absorption in dihydromyricetin-urea cocrystal and caffeine suspended in a 2% solution of polyvinyl pyrrolidone K30 (PVP K30), compared to dihydromyricetin dihydrate. This increase in bioavailability is thought to be due to the effect of a lower rate of precipitation on the cocrystal as well as its ability to maintain supersaturation over a longer time [28]. Supersaturation occurs when the drug molecules contained in a solution have a concentration higher than the equilibrium solubility of the stable form of the drug. To extend the supersaturation, it is possible to add materials that act as crystallization inhibitors and solubilizers [30].
Childs and colleagues have also investigated the effect of crystallization inhibitor and solubilizer excipients on the in vitro dissolution profile and oral absorption of danazol-vanillin cocrystal. The cocrystal was previously suspended in 1% tocopheryl polyethylene glycol-1000 succinate as a solubilizer and 2% hydroxypropyl cellulose as a crystallization inhibitor. This formula was successful in obtaining higher degrees of supersaturation and also extending the supersaturation level for a longer period in vitro dissolution studies in mice, where there was a 10-fold increase in AUC compared to the regular solid form of danazol [31].
Ferreti and colleagues conducted in vitro cellular permeability experiments on indomethacin, indomethacin cocrystal, and also their physical mixtures. The coformers used were hydroxy-4-methyl-pyridine, 2-methoxy-5-nitroaniline, and saccharin. Meanwhile, the cells used were epithelial colonic cells NCM460. The result is indomethaccharin-saccharin cocrystal provides increased apparent permeability without causing damage to cells. However, there is a difference when compared to the physical mixture of indomethacin-saccharin, where the NCM460 cells are damaged [32]. This study shows that cocrystals and their physical mixtures can react differently to biological membranes. In a later study, Dalpiaz and colleagues found that the carbamazepine cocrystal and its physical mixture also showed different effects on the cell monolayer of NCM460. This difference is thought to be influenced by the formation of molecular aggregates in solution [33].
Zhu and colleagues synthesized cocrystal baicalein-caffeine which was tested for its pharmacokinetic effect in mice. The AUC shown by the cocrystal has a difference of 4.1 times greater than that of pure baicalein due to the higher dissolution rate of the cocrystal. The baicalein-caffeine physical mixture also showed a 2-fold increase in AUC compared to pure baicalein. This increase is thought to occur due to the synergistic effect of caffeine on the absorption of baicalein [34]. This study as well as several other experiments indicates that special attention is needed in designing cocrystals composed of drugs (cocrystal drugs), because there can be drug-drug pharmacokinetic interactions between the constituent components of cocrystal.
Stability
Drug stability can affect the efficacy and safety of drugs during the manufacturing, transportation, distribution and storage processes. Pharmaceutical cocrystallization is one way to deal with problems related to stability [14]. Some of the stability tests that are commonly performed include chemical stability, thermal stability, solution stability and relative humidity (RH) stress [5]. Changes in relative humidity should be taken into account in the development of cocrystal, and other solid dosage forms. To determine this parameter, it is generally carried out to test the effect of water absorption on the cocrystal. The absorption of water content can be controlled by exposing the cocrystal sample to a certain RH value using a humidity chamber then analyzing the changes that occur in the sample after reaching equilibrium [35]. Research conducted on cocrystal 2-[4-(4-chloro-2-fluorphenoxy) phenyl] pyrimidine-4-carboxamide and glutaric acid coformer gave results in the form of a water content value of <0.08% at 95% relative humidity. This indicates that the cocrystal is stable in terms of relative humidity [36].
Other studies were carried out on caffeine which was crystallized with several coformers of the carboxylic acid groups such as oxalic acid, malonic acid, maleic acid, and glutaric acid. The cocrystal samples were exposed to four different RH conditions, and analyzed for a period of 1, 3 and 7 w. As a result, caffeine-oxalic acid cocrystal showed stability to humidity (moisture) at all RH conditions. So, it can be concluded that the cocrystal has less hygroscopicity than the pure active ingredient [6]. Oxiracetam (OX) cocrystal (in the form of racemic S-OX and R-OX) and gallic acid coformer tested at RH conditions of 43, 75, 87, and 98% for 8 w showed improved hygroscopic stability compared to their initial form. S-OX cocrystal and gallic acid were stable in all RH conditions for 8 w [37]. Apart from relative humidity, high temperatures can also be used to predict the physical and chemical stability of cocrystal [38]. Paracetamol cocrystal with a 4,4-bipyridine coformer showed increased stability compared to the 1,4-dioxane, N-methyl morpholine, morpholine, N, N-dimethyl piperazine, and piperazine coformers when heated with a differential scanning calorimetry (DSC) instrument [39].
Other studies have shown that there is no degradation or polymorphic transition on the stability test of monophosphate salt cocrystal and phosphoric acid coformer at 60 °C [40]. RH and high temperatures can also be used together in stability tests. Research on the stability of simvastatin-nicotinamide (1: 1) cocrystal stored in storage conditions at 40oC and 75% RH for one month, did not show any changes in the melting point on days 10, 20 and 30 these conditions [8].
Tabletability
Changes in the crystal structure due to cocrystallization can trigger changes in the mechanical properties of the cocrystal, one of which is tabletability [35]. Previous studies have concluded that the results of the co-crystallization experiment can produce cocrystal with increased or decreased mechanical properties [41]. Tabletability is defined as the ability of a material to be formed into tablets that have a specific strength or power under the influence of a printing pressure force [42].
Paracetamol (PCA) was crystallized with the 5-nitro isophtahlic acid (5NIP) coformer to improve its tabletability. Cocrystal synthesis was carried out by the solvent evaporation method using methanol as a solvent. The resulting cocrystal was then characterized and evaluated, including an analysis of powder compaction. Cocrystal samples of PCA-5NIP and pure PCA were sieved with a sieve no. 60 (mesh size 250 μm). Then as much as 500 mg of sample powder was put into a tablet mold and printed at a pressure of 4.9-29.4 kN using a hydraulic press, with a tablet diameter of 13 mm. Then the tablets were left to stand for one night, and their diameter, thickness, and hardness were measured. The tabletability profile is obtained by calculating the tensile strength of the tablets and plotting it as a function of compaction pressure. Compared to pure PCA, PCA-5NIP cocrystal showed a better tabletability profile. The tensile strength of the PCA-5NIP cocrystalline tablet al. so increased with increasing printing pressure [33]. This difference is thought to occur due to the formation of hydrogen bonding layers in the crystal structure [43]. There is also a theory that the crystal lattice has higher plasticity and thus results in stronger tablets [44].
Preparation of cocrystal
Cocrystal synthesis can be carried out by several methods which are generally categorized into solid-based and solvent-based methods. Solid-state or solvent-free methods use little or no solvent and are usually aided by the application of mechanical energy to the cocrystallization process. Neat grinding, liquid assisted grinding, polymer assisted grinding and hot melt extrusion are methods that fall into this category. The solvent-based method is a technique commonly used for cocrystallization and uses a solvent or solvent mixture in the process. The solvent method consists of solvent evaporation, cooling cocrystallization, the addition of anti-solvent, and slurrying. Various new methods of cocrystal synthesis have also been developed, including the use of supercritical fluid, spray drying, freeze-drying, and high-pressure homogenization. A summary of the methods for making cocrystal is presented in table 2.
Table 2: Method of cocrystal preparation
| Method category | Methods | Description | API-coformer | Reference |
| Solid State (solvent-free method) | Neat grinding (dry grinding, solid state grinding) | Mixing and grinding of active substances and coformers in stoichiometric ratios over a period of time, manually (mortar and stampers) or mechanically (mill) [12]. | Aceclofenac-nicotinamide [52] | Sodanapalli et al., 2011 [45]. |
| Liquid assisted grinding (solvent drop grinding) | Mixing and grinding of cocrystal components with the addition of a small amount of solvent, manually or mechanically over a while [12, 46]. | Didanosine-benzoic acid and salicylic acid [54]. | Alatas et al., 2013 [45]. | |
| Polymer assisted grinding | The use of polymers in solid/liquid form as a cocrystallization catalyst [12]. | Caffeine-glutaric acid [46]. | Hasa et al., 2016 [46]. | |
| Hot melt extrusion | Cocrystallization uses high heat and pressure to melt the active substance and coformer with an extruder instrument [19]. | Carbamazepin-sinamat acid [58]. Ibuprofen-nicotinamide [47]. |
Dhumal et al., 2010 [49]. | |
| Solution Based (solution method) | Solvent evaporation (slow evaporation) | Solvent evaporation of a saturated solution of a mixture of the active substance and coformer, at room temperature [38, 48]. | Artesunat-nicotinamide (methanol solvent) [49]. | |
| Cooling cocrystallization | Cocrystallization in a solution of a mixture of active substances and coformers by cooling/reducing temperature [19, 50]. | Theophylic acid benzoate [51]. | Huang et al., 2019 [51]. | |
| Antisolvent | Cocrystallization in a solution of active substances and coformers due to the addition of an antisolvent mixture (ethanol/water, ethanol/acetonitrile, ethanol/ethyl acetate) which causes precipitation [29, 52]. | Naproxen-nicotinamide [53]. | Neurohr et al.,.2013 [53]. | |
| Slurry (pembuburan) | Cocrystallization by adding a solid of the active substance/coformer into the solvent/solvent mixture to form a slurry [16]. | Indometasin-nicotinamide [54]. | Kojima et al., 2010 [54]. | |
| Modify methods | Supercritical Fluid | Addition of supercritical solution (CO2) to the solid mixture of the active substance and coformer [55, 56]. | Indometasin-saccharin [64]. | Padrela et al.,2011 [55]. |
| Spray Drying | Removes solvent from the mixed active substance/coformer solution rapidly by dispersing it in a nitrogen hot air stream [19, 57]. | Itrakonazole-suberic acid [58]. | Weng et al., 2013 [58]. | |
| Freeze Drying | Rapid freezing of the active substance/coformer mixture solution which causes sublimation of the solvent under vacuum [59]. | Theophylin-caffeine [59]. Theophyline-oxalic acid [60]. |
Eddleston et al., 2019 [59]. | |
| High-pressure Homogenization | Homogenization of the active substance/coformer mixture suspension using a homogenizer at high speed [61]. | Theophylline-saccharin [61]. | Fernánde et al., 2013 [61]. |
Evaluation and characterization of cocrystal
The effect of cocrystallization on the properties of the active substance can be determined by evaluating the resulting cocrystal solids. Evaluation of cocrystal can be done by solubility test, dissolution test, and stability test. The evaluation data can be supported by characterization data to ensure that the resulting product is a cocrystal and not another solid form. Several methods have been applied for the characterization of pharmaceutical cocrystals. Characterization can be carried out on the structure and physical properties of the cocrystal. The structure of the cocrystal can be analyzed using infrared spectroscopy (FTIR) methods and X-ray diffraction or powder x-ray diffraction (PXRD), while the physical properties are analyzed using a melting point measuring instrument such as differential scanning calorimetry. A summary of the evaluation and characterization of cocrystal is presented in table 3.
Table 3: Evaluation and characterization of cocrystal
| Evaluation | Description | Submited cocrystal | References |
| Solubility test | To determine the solubility of cocrystal compared to pure drugs or physical mixtures thereof. The cocrystal sample and the medium are put into an Erlenmeyer flask or other containers, then shaken for 24 h at room temperature in the tool. rotary flask shaker or orbital shaker. After 24 h, the sample is filtered, diluted and measured with HPLC or UV at the appropriate wave [71]. | Ibuprofen-nicotinamide by solvent evaporation. The test results analyzed by one-way ANOVA indicate a significant increase in solubility. The solubility of ibuprofen cocrystal is also better compared to the physical mix. Obtained p-value<0.05 and p<0.01 compared to pure ibuprofen. The results of the solubility characterization of ibuprofen-nicotinamide cocrystal are shown in fig. 2 [62]. | Yuliendra et al., 2018 [62]. |
| Dissolution test | To know the increase in the dissolution rate of cocrystal. Used to confirm drug release over time and predict in vivo performance. Cocrystal samples were tested using a paddle or rotating basket type dissolution tester in a suitable dissolution medium. Then the sample is taken in an appropriate amount at predetermined time intervals and then analyzed using HPLC or UV instruments [63]. | Famotidine-malonic acid with solvent evaporation. Fig. 3 shows the increased dissolution of famotidine-malonic acid cocrystal, seen from the maximum famotidine concentration value of 4.06 mg ml-1 after 30 min. So that the cocrystal showed an increase of 4.2 times compared to pure famotidine [19]. Diacarein-urea, tartrate acid. Fig. 4. Shows the percent drug release in the diacerein cocrystal dissolution test. Diacerein-urea cocrystal showed a higher dissolution rate (91.31%) than diacarein-tartaric acid cocrystal (83.13%) and commercial diacarein (46.88%) within 60 min [64]. |
Garbacz et al., 2018 [19]. |
| FTIR-Spectrophotometery | To determine changes in chemical structure and molecular interactions that occur in the cocrystal lattice. The cocrystal sample was formed by KBr crystal pellets and measured using an IR spectrophotometer at a wavenumber of 4000-400 cm-1,[65]. | Ketoconazole-ascorbic acid by slurrying. The ketoconazole spectrum in fig. 5. shows the presence of unique peaks at 1647 cm-1 (C = O), 1582 cm-1 (C = C), and 1512 cm-1 (C = C). Whereas in cocrystal, there is a change in the infrared band compared to the constituent compounds. The main IR spectrum peaks of the C=O group on ketoconazole and ascorbic acid can be observed at wavenumbers 1647 cm-1 and 1755 cm-1, but the same groups are detected at wavenumbers 1643 cm-1 on ketoconazole-ascorbic acid cocrystal [66]. | Bhardwaj et al., 2017 [66]. |
| powder x-ray difraction (PXRD) | To find out the crystalline structure of the cocrystal. The patterns obtained from the diffractometer are compared with one another. The different XRD patterns between the cocrystal and its constituent components indicate the formation of the cocrystal [5]. | Glibenclamide-oxalate acid with solvent drop grinding. Fig. 6. shows the PXRD spectra of glibenclamide, oxalic acid, glibenclamide cocrystal: 1: 1 and 1: 2 oxalic acid (fig. 6). The results indicated that there was a formation of cocrystal between glibenclamide and oxalic acid. On the diffractogram, there is a difference in peak intensity (peak) on glibenclamide cocrystal with a ratio of 1: 1 from 18472 to 15643. Besides, there is the formation of new peaks at 2θ = 30-40 °C with a peak intensity of 3306 [67]. | Budiman A. et al., 2016 [67]. |
| Differential Scanning Calorimetry (DSC) | To detect cocrystal formation, look at the appearance of an exothermic peak followed by an endothermic peak, or change in the melting point of the DSC spectrum. More than 50% of cases show that the melting point of the cocrystal is lower than the melting point of the respective active ingredients and their coformers [37]. The pure drug, coformer, physical mixture, and cocrystal are placed on the aluminum pan and analyzed with a predetermined heating rate [5]. | Piroxicam-sodium acetate neatly grinding. Fig. 7. Showing the thermogram of piroxicam, sodium acetate and cocrystal. A difference was found where the melting point was at 188.16 °C, in the middle of the melting point of pure piroxicam (200.39 °C) and sodium acetate coformer (323.5 °C). The peak onset of piroxicam was detected at 199.60 °C, while for cocrystal it was detected at 182.57 °C [68]. | Indra et al., 2019 [68]. |
| Stability evaluation | Comparing the stability and shelf life of cocrystal and pure active substances. Typically used temperature and humidity are 40 °C/75% RH [30, 67, 69] and 25 °C/60% for 1, 3 or 6 mo [67, 70]. | Simvastatin-nicotinamide with solvent evaporation. The result was that there was no change in the melting point of the cocrystal (105.5 °C) for 1 mo under storage conditions of 40 °C and 75% RH [30]. | Sopyan et al., 2017 [30]. |

Fig. 2: The saturated solubility of ibuprofen, physical mixture and ibuprofen-nicotinamide cocrystals [17]

Fig. 4: Diacarein cocrystal dissolution test [64]

Fig. 5: FTIR spectrum of a ketoconazole (green), ascorbic acid (red) and, cocrystal (blue) [68]

Fig. 6: PXRD spectra of glibenclamide (black), oxalic acid (yellow), glibenclamide cocrystal: 1: 1 oxalic acid (blue) and glibenclamide cocrystal: 1: 2 oxalic acid (red) [70]

Fig. 7: DSC thermogram of a) piroxicam b) sodium acetate and c) piroxicam-sodium acetate cocrystal [71]
Cocrystal regulation
In addition to discussing the classification of cocrystal following regulations, the 2018 FDA guidance also guides industries that will apply for pharmaceutical cocrystal products in the form of new drug applications (NDA) and abbreviated new drug applications (ANDA), along with supporting data that must be included. If the proposed cocrystal meets these requirements, it can be categorized as a pharmaceutical cocrystal and has the same regulatory classification as the polymorph form of the active pharmaceutical ingredient. The FDA believes that cocrystalline products are not considered new pharmaceutical active ingredients. Because from a regulatory perspective, a medicinal product designed to contain a new cocrystal is considered the same as the new polymorph form of API. Cocrystal consisting of two or more APIs (with or without the addition of a coformer) will be considered as a drug product with a fixed-dose combination and not a single new API [7].
In 2015, EMA also published a reflection paper on the use of cocrystal from active ingredients in health products. The EMA definitions of cocrystal are in line with the definitions stated in FDA guidance but differ for the classification. The FDA classifies cocrystals as a new polymorph form of the active ingredient and so is not considered a new API. Meanwhile, according to the EMA, cocrystal is in the same category as salt by regulation. Because cocrystal and salt are thought to have many conceptual similarities to salt. Cocrystal can also be applied and documented as a generic drug in the same way as salt. To be submitted as a New Active Substance (NAS), the cocrystal must be able to demonstrate differences in efficacy and safety concerning the original API [72]. This opinion is quite contrary to the FDA classification, where a different salt form of an API is considered a different or new API, while a different polymorph form of an API (in this case including cocrystals) is considered the same API.
Newest cocrystal marketed
The following are some examples of new medicinal products in the form of cocrystal which are currently patented (table 4).
Table 4: Cocrystal patent in the market
| Paten merck | Content | Coformer | Reference |
| Abilify (Aripiprazole) | Tablets with dosage strengths of 5 mg, 10 mg, 15 mg, 20 mg and 30 mg | Abilify consists of Aripiprazole compound and fumaric acid coformer and is prepared using the addition of the anti-solvent Lexapro (Escitalopram oxalate) method [73]. | Devarakonda et al., 2009 [73]. |
| Lexapro | Escitalopram oxalate has a dosage strength of 5 mg, 10 mg and 20 mg [74]. | The drug consists of the cation escitalopram as the main active ingredient, dianone oxalate and an oxalic acid coformer [75]. | Harrison et al., 2007 [75]. |
| Depakote | Valproate sodium administered orally in tablet form with dosage strengths of 125 mg, 250 mg, and 500 mg [76]. | Valproic acid coformer [35]. | Karagianni et al., 2018[35]. |
| Entresto | Active ingredients sacubitril and valsartan, available in oral tablet form with dosage strengths of 24/26 mg, 49/51 mg, and 97/103 mg [77]. | FDA 2019., [77] |
Cocrystal offers a promising approach to improving the physicochemical properties of APIs. The benefits of cocrystal can be observed through the increase in solubility, dissolution rate, permeability, bioavailability, stability, and tabletability of the drug. There are quite a several options to choose from in the cocrystal manufacturing process, both for small-scale synthesis methods in the laboratory and for large-scale sustainable production methods in the industry. As the interest and value-added to cocrystal, the application of cocrystal in the pharmaceutical field is also growing. Cocrystals will certainly be increasingly common in future developments in pharmaceuticals.
The author would like to thank all those who have helped in the preparation of this literature review.
Nil
All authos have contributed equally
Declared no complict of interest in this research.
Mehta M. Biopharmaceutics classification system (BCS). United Kingdom: John Wiley and Sons; 2017.
Babu NJ, Nangia A. Solubility advantage of amorphous drugs and pharmaceutical cocrystals. Cryst Growth Des 2011; 11:2662–79.
Thakuria R, Delori A, Jones W, Lipert MP, Roy L, Rodríguez Hornedo N. Pharmaceutical cocrystals and poorly soluble drugs. Int J Pharm 2013;453:101–25.
Rinaki E, Valsami G, Macheras P. Quantitative biopharmaceutics classification system: the central role of dose/solubility ratio. Pharm Res 2003;20:1917–25.
Kumar S, Nanda A. Pharmaceutical cocrystals: an overview. Indian J Pharm Sci 2017;79. DOI:10.4172/pharmaceutical-sciences.1000302.
Trask AV, Motherwell WDS, Jones W. Pharmaceutical cocrystallization: engineering a remedy for caffeine hydration. Cryst Growth Des 2005;5:1013–21.
Center for Drug Evaluation and Research (CDER). Regulatory classification of pharmaceutical co-crystals guidance for industry. Food and Drug Administration; 2018. Available from: https://www.fda.gov/media/81824/download [Last accessed on 14 Apr 2020].
Sopyan, Insan Sunan KS, Desi N, Arif B. Impropment simvastatin dissolution rate using derivative non-covalent approach by solvent drop grinding method. Int J Appl Pharm 2020;12:21-4.
Bolla G, Nangia A. Pharmaceutical cocrystals: walking the talk. Chem Commun 2016;52:8342–60.
Qiao N, Li M, Schlindwein W, Malek N, Davies A, Trappitt G. Pharmaceutical cocrystals: an overview. Int J Pharm 2011; 419:1–11.
Morissette S. High-throughput crystallization: polymorphs, salts, co-crystals and solvates of pharmaceutical solids. Adv Drug Delivery Rev 2004;56:275–300.
Rodrigues M, Baptista B, Lopes JA, Sarraguça MC. Pharmaceutical cocrystallization techniques. Advances and challenges. Int J Pharm 2018;547:404–20.
Bavishi DD, Borkhataria CH. Spring and parachute: how cocrystals enhance solubility. Prog Cryst Growth Charact Mater 2016;62:1–8.
Dai XL, Chen JM, Lu TB. Pharmaceutical cocrystallization: an effective approach to modulate the physicochemical properties of solid-state drugs. Cryst Eng Comm 2018;20:5292–316.
Kho K, Nugroho D, Sugih AK. Preparation and characterization of highly water soluble curcumin–dextrose cocrystal. J Pure Appl Chem Res 2018;7:139–47.
Setyawan D, Permata SA, Zainul A, Lestari MLAD. Improvement in vitro dissolution rate of quercetin using cocrystallization of quercetin-malonic acid. Indones J Chem 2018;18:531.
Yuliandra Y, Zaini E, Syofyan S, Pratiwi W, Putri L, Pratiwi Y, et al. Cocrystal of ibuprofen–nicotinamide: solid-state characterization and in vivo analgesic activity evaluation. Sci Pharm 2018;86:23.
Wicaksono Y, Setyawan D, Siswandono S, Siswoyo TA. Preparation and characterization of a novel cocrystal of atorvastatin calcium with succinic acid coformer. Indones J Chem 2019;19:660.
Zhang Y, Yang Z, Zhang S, Zhou X. Synthesis, crystal structure, and solubility analysis of a famotidine cocrystal. Crystals 2019;9:360.
Dai XL, Li S, Chen JM, Lu TB. Improving the membrane permeability of 5-fluorouracil via cocrystallization. Cryst Growth Des 2016;16:4430–8.
Sanphui P, Devi VK, Clara D, Malviya N, Ganguly S, Desiraju GR. Cocrystals of hydrochlorothiazide: solubility and diffusion/ permeability enhancements through drug–coformer interactions. Mol Pharm 2015;12:1615–22.
Yan Y, Chen JM, Lu TB. Simultaneously enhancing the solubility and permeability of acyclovir by crystal engineering approach. Cryst Eng Comm 2013;15:6457.
Wang C, Tong Q, Hou X, Hu S, Fang J, Sun CC. Enhancing bioavailability of dihydromyricetin through inhibiting precipitation of soluble cocrystals by a crystallization inhibitor. Cryst Growth Des 2016;16:5030–9.
Childs SL, Kandi P, Lingireddy SR. Formulation of a danazol cocrystal with controlled supersaturation plays an essential role in improving bioavailability. Mol Pharm 2013;10 3112–27.
Ferretti V, Dalpiaz A, Bertolasi V, Ferraro L, Beggiato S, Spizzo F, et al. Indomethacin co-crystals and their parent mixtures: does the intestinal barrier recognize them differently?. Mol Pharm 2015;12:1501–11.
Dalpiaz A, Ferretti V, Bertolasi V, Pavan B, Monari A, Pastore M. From physical mixtures to co-crystals: how the coformers can modify solubility and biological activity of carbamazepine. Mol Pharm 2018;15:268–78.
Zhu B, Zhang Q, Wang JR, Mei X. Cocrystals of baicalein with higher solubility and enhanced bioavailability. Cryst Growth Des 2017;17:1893–901.
Weyna DR, Cheney ML, Shan N, Hanna M, Zaworotko MJ, Sava V, et al. Improving solubility and pharmacokinetics of meloxicam via multiple-component crystal formation. Mol Pharm 2012;9:2094–102.
Wang ZZ, Chen JM, Lu TB. Enhancing the hygroscopic stability of S-oxiracetam via pharmaceutical cocrystals. Cryst Growth Des 2012;12:4562–6.
Sopyan I, Fudholi A, Muchtaridi M, Sari IP. Simvastatin-nicotinamide co-crystal: design, preparation and preliminary characterization. Trop J Pharm Res 2017;16:297.
Sopyan I, Fudholi A, Muchtaridi M, Puspitasari I. A simple efort to enhance solubility and dissolution rate of simvastatin using co-crystalization. Int J Pharm Pharm Sci 2016;8:5.
Sopyan I, Fudholi A, Muchtaridi M, Sari IP. Co-crystallization: a tool to enhance solubility and dissolution rate of simvastatin. J Young Pharm 2017;9:183–6.
Hiendrawan S, Veriansyah B, Widjojokusumo E, Soewandhi SN, Wikarsa S, Tjandrawinata RR. Physicochemical and mechanical properties of paracetamol cocrystal with 5-nitroisophthalic acid. Int J Pharm 2016;497:106–13.
Sekhon B. Pharmaceutical co-crystals-a review. Ars Pharm 2009;50:99-117.
Siswandi S, Rusdiana T, Levita J. Virtual screening of co-formers for ketoprofen co-crystallization and the molecular properties of the co-crystal. J Appl Pharm Sci 2015;5:78–82.
Malmstrom RD, Watowich SJ. Using free energy of binding calculations to improve the accuracy of virtual screening predictions. J Chem Inf Model 2011;51:1648–55.
Schultheiss N, Newman A. Pharmaceutical cocrystals and their physicochemical properties. Cryst Growth Des 2009;9:2950–67.
Karimi Jafari M, Padrela L, Walker GM, Croker DM. Creating cocrystals: a review of pharmaceutical cocrystal preparation routes and applications. Cryst Growth Des 2018;18:6370–87.
Budiman A, Megantara S, Apriliani A. Solid dosage form glibenclamide-aspartame cocrystalization the solvent evaporation to increase the solubility of glibenclamide. Int J Appl Pharm 2019;11:150–4.
Dahan A, Miller JM. The solubility–permeability interplay and its implications in formulation design and development for poorly soluble drugs. AAPS J 2012;14:244–51.
Singh BN, Singh RB, Singh J. Effects of ionization and penetration enhancers on the transdermal delivery of 5-fluorouracil through excised human stratum corneum. Int J Pharm 2005;298:98–107.
Dokoumetzidis A, Valsami G, Macheras P. Modelling and simulation in drug absorption processes. Xenobiotica 2007;3:1052–65.
Kawakami K. Theory and practice of supersaturatable formulations for poorly soluble drugs. Ther Delivery 2015;6:339–52.
Karagianni A, Malamatari M, Kachrimanis K. Pharmaceutical cocrystals: new solid phase modification approaches for the formulation of APIs. Pharmaceutics 2018;10:8.
McNamara DP, Childs SL, Giordano J, Iarriccio A, Cassidy J, Shet MS, et al. Use of a glutaric acid cocrystal to improve oral bioavailability of a low solubility API. Pharm Res 2006;23:1888–97.
Variankaval N, Wenslow R, Murry J, Hartman R, Helmy R, Kwong E, et al. Preparation and solid-state characterization of nonstoichiometric cocrystals of a phosphodiesterase-IV inhibitor and l-tartaric acid. Cryst Growth Des 2006;6:690–700.
Oswald IDH, Allan DR, McGregor PA, Motherwell WDS, Parsons S, Pulham CR. The formation of paracetamol (acetaminophen) adducts with hydrogen-bond acceptors. Acta Crystallogr B 2002;58:1057–66.
Chen AM, Ellison ME, Peresypkin A, Wenslow RM, Variankaval N, Savarin CG, et al. Development of a pharmaceutical cocrystal of a monophosphate salt with phosphoric acid. Chem Commun 2007;4:419–21.
Chattoraj S, Shi L, Chen M, Alhalaweh A, Velaga S, Sun CC. Origin of deteriorated crystal plasticity and compaction properties of a 1:1 cocrystal between piroxicam and saccharin. Cryst Growth Des 2014;14:864–74.
Jain H, Khomane KS, Bansal AK. Implication of microstructure on the mechanical behaviour of an aspirin–paracetamol eutectic mixture. Cryst Eng Comm 2014;16:8471–8.
Chow SF, Shi L, Ng WW, Leung KHY, Nagapudi K, Sun CC, et al. Kinetic entrapment of a hidden curcumin cocrystal with phloroglucinol. Cryst Growth Des 2014;14:5079–89.
Sodanapalli R, Nair R, Bachala T. Synthesis and characterization of a pharmaceutical co-crystal: (Aceclofenac: Nicotinamide). J Pharm Sci Res 2011;3:1288-93.
Jung MS, Kim JS, Kim MS, Alhalaweh A, Cho W, Hwang SJ, et al. Bioavailability of indomethacin-saccharin cocrystals: in vivo study of indomethacin cocrystals. J Pharm Pharmacol 2010;62:1560–8.
Alatas F, Soewandhi S, Sasongko L, Ismunandar, Uekusa H. Cocrystal formation between didanosine and two aromatic acids. Int J Pharm Pharm Sci 2013;5:275–80.
Hasa D, Carlino E, Jones W. Polymer-assisted grinding, a versatile method for polymorph control of cocrystallization. Cryst Growth Des 2016;16:1772–9.
Dhumal RS, Kelly AL, York P, Coates PD, Paradkar A. Cocrystalization and simultaneous agglomeration using hot melt extrusion. Pharm Res 2010;27:2725–33.
Childs SL, Rodriguez Hornedo N, Reddy LS, Jayasankar A, Maheshwari C, McCausland L, et al. Screening strategies based on solubility and solution composition generate pharmaceutically acceptable cocrystals of carbamazepine. Cryst Eng Comm 2008;10:856.
Setyawan D, Wardhana NK, Sari R. Solubility, dissolution test and antimalaria activity of artesunte. Asian J Pharm Clin Res 2015;8:3.
He G, Chow PS, Tan RBH. Investigating the intermolecular interactions in concentration-dependent solution cocrys-tallization of caffeine and p-hydroxybenzoic acid. Cryst Growth Des 2010;10:3763–9.
Huang Y, Zhou L, Yang W, Li Y, Yang Y, Zhang Z, et al. Preparation of theophylline-benzoic acid cocrystal and on-line monitoring of cocrystallization process in solution by raman spectroscopy. Crystals 2019;9:329.
Lange L, Heisel S, Sadowski G. Predicting the solubility of pharmaceutical cocrystals in solvent/anti-solvent mixtures. Molecules 2016;21:593.
Neurohr C, Revelli AL, Billot P, Marchivie M, Lecomte S, Laugier S, et al. Naproxen–nicotinamide cocrystals produced by CO2 antisolvent. J Supercrit Fluids 2013;83:78–85.
Kojima T, Tsutsumi S, Yamamoto K, Ikeda Y, Moriwaki T. High-throughput cocrystal slurry screening by use of in situ Raman microscopy and multi-well plate. Int J Pharm 2010;399:52–9.
Padrela L, Rodrigues MA, Velaga SP, Matos HA, de Azevedo EG. Formation of indomethacin–saccharin cocrystals using supercritical fluid technology. Eur J Pharm Sci 2009;38:9–17.
Padrela L, Rodrigues MA, Tiago J, Velaga SP, Matos HA, de Azevedo EG. Insight into the mechanisms of cocrystallization of pharmaceuticals in supercritical solvents. Cryst Growth Des 2015;15:3175–81.
Alhalaweh A, Velaga SP. Formation of cocrystals from stoichiometric solutions of incongruently saturating systems by spray drying. Cryst Growth Des 2010;10:3302–5.
Weng J, Wong SN, Xu X, Xuan B, Wang C, Chen R, et al. Cocrystal engineering of itraconazole with suberic acid via rotary evaporation and spray drying. Cryst Growth Des 2019;19:2736–45.
Eddleston MD, Patel B, Day GM, Jones W. Cocrystallization by freeze-drying: preparation of novel multicomponent crystal forms. Cryst Growth Des 2013;13:4599–606.
Tanaka R, Hattori Y, Otsuka M, Ashizawa K. Application of spray freeze drying to theophylline-oxalic acid cocrystal engineering for inhaled dry powder technology. Drug Dev Ind Pharm 2020;46:79–87.
Fernandez Ronco MP, Kluge J, Mazzotti M. High pressure homogenization as a novel approach for the preparation of co-crystals. Cryst Growth Des 2013;13:2013–24.
Fukte SR, Wagh MP, Rawat S. Coformer selection: an important tool in cocrystal formation. Int J Pharm Pharm Sci 2014;6:9–14.
Gurunath S, Nanjwade BK, Patila PA. Enhanced solubility and intestinal absorption of candesartan cilexetil solid dispersions using everted rat intestinal sacs. Saudi Pharm J 2014;22:246–57.
Thenge RR, Patond VB, Ajmire PV, Barde LN, Mahajan NM, Tekade NP. Preparation and characterization of cocrystal of diacerein. Indones J Pharm 2017;28:34.
Garbacz P, Wesolowski M. DSC, FTIR and raman spectroscopy coupled with multivariate analysis in a study of co-crystals of pharmaceutical interest. Molecules 2018;23:2136.
Budiman A, Nurlatifah E, Amin S. Enhancement of solubility and dissolution rate of glibenclamide by cocrystal approach with solvent drop grinding method. Int J Curr Pharm Rev Res 2016;7:248–50.
Suzuki N, Kawahata M, Yamaguchi K, Suzuki T, Tomono K, Fukami T. Comparison of the relative stability of pharmaceutical cocrystals consisting of paracetamol and dicarboxylic acids. Drug Dev Ind Pharm 2018;44:582–9.
Rahman Z, Agarabi C, Zidan AS, Khan SR, Khan MA. Physico-mechanical and stability evaluation of carbamazepine cocrystal with nicotinamide. AAPS PharmSciTech 2011;12:693–704.