
Departamento Sistemas Biologicos, Universidad Autonoma Metropolitana Xochimilco, Mexico City, Mexico
Email: rmlopez@correo.xoc.uam.mx
Received: 23 Sep 2020, Revised and Accepted: 20 Nov 2020
ABSTRACT
Objective: The aim of this study was to carry out comparative dissolution studies with warfarin sodium reference tablets under the hydrodynamic environments generated by the USP basket and paddle apparatus and flow-through cell using different agitation rates and dissolution media.
Methods: Dissolution profiles were obtained with the USP basket and paddle apparatus at 50, 75, and 100 rpm and 900 ml of water as dissolution medium. After this, dissolution profiles of warfarin sodium were obtained with the USP paddle apparatus and flow-through cell method using 0.1 N hydrochloric acid, acetate buffer pH 4.5, phosphate buffer pH 6.8, and water. Spectrophotometric determination at 308 nm was carried out during 30 min. Dissolution profiles were compared with model-independent and model-dependent approaches.
Results: Significant differences were found with mean dissolution time and dissolution efficiency at 50 and 75 rpm (*P<0.05). Makoid-Banakar was the best-fit model used to describe the in vitro release performance of warfarin sodium with 50-100 rpm and the USP basket and paddle apparatuses. Significant differences in all calculated parameters were found (*P<0.05) excepting percent dissolved at 30 min with 0.1 N hydrochloric acid and phosphate buffer pH 6.8.
Conclusion: More research is necessary to identify the in vitro release performance of poorly soluble drugs under available USP apparatuses considering factors as agitation rate and kind of dissolution media. The knowledge of the in vitro release performance of reference drug products is important for the design of better generic formulations.
Keywords: Flow-through cell method, Reference tablets, USP basket and paddle apparatuses, Warfarin sodium
© 2021 The Authors. Published by Innovare Academic Sciences Pvt Ltd. This is an open access article under the CC BY license (http://creativecommons.org/licenses/by/4.0/)
DOI: http://dx.doi.org/10.22159/ijap.2021v13i1.39842. Journal homepage: https://innovareacademics.in/journals/index.php/ijap
INTRODUCTION
Warfarin is a colorless, crystalline compound with a melting point of 151-161 °C. It is practically insoluble in water, readily soluble in acetone and dioxane, and moderately soluble in alcohols. The sodium salts are soluble in water but insoluble in organic solvents [1]. Warfarin is the most used oral anticoagulant; it prevents the formation of active coagulation factors II, VII, IX, and X in the liver by inhibiting the synthesis of coagulation factors [2]. The drug is indicated in the prophylaxis and treatment of venous thrombosis and pulmonary embolism, as well as in the prophylaxis and treatment of thromboembolic complications associated with atrial fibrillation and prosthetic valves [3]. Molecular structure of warfarin sodium is shown in fig. 1.

Fig. 1: Molecular structure of warfarin sodium
By its physicochemical characteristics and considering biopharmaceutic classification system criteria, warfarin has been classified as a class II drug (low solubility/high permeability) [4]. Absorption difficulties could be observed with drugs belonging to this class and in vitro release studies become an essential tool to identify those formulations with possible clinical problems.
Pharmacopeial dissolution test for warfarin sodium tablets is described in United States Pharmacopoeia (USP) [5]. The method indicates the use of the USP paddle apparatus (USP Apparatus 2) at 50 rpm and 900 ml of water at 37.0±0.5 °C as dissolution medium. Under these conditions, not less than 80% must be dissolved at 30 min (Q = 80% at 30 min). To date, it has not been reported meaningful correlation between in vitro data using these conditions and in vivo results.
On the other hand, although basket and paddle dissolution apparatuses are currently the most popular methods for many drug products, both methods are operated under closed finite sink conditions and cannot mimic the environment of the digestive system [6]. Several dissolution methods have been described in the USP; however, the selection of the appropriate method and data interpretation is not easily affordable due to the influence of technological differences and manufacturing process on the dissolution outcome [7]. The role of external hydrodynamics on the dissolution mechanism is still investigated because a fundamental understanding of the role of external hydrodynamic conditions on dissolution mechanisms is important [8].
The aim of this study was to evaluate the in vitro release performance of warfarin sodium tablets under the hydrodynamic environment generated by the USP basket apparatus (USP Apparatus 1), the USP paddle apparatus as well as the flow-through cell method (USP Apparatus 4), an apparatus that better simulates the gastrointestinal conditions of humans. Warfarin sodium tablets were tested with 0.1 N hydrochloric acid, acetate buffer pH 4.5 and phosphate buffer pH 6.8 as dissolution media and the USP apparatuses above mentioned with different agitation rates. In vitro release studies involving these factors could support the design of better oral dosage forms, especially with poorly soluble drugs, as warfarin is.
MATERIALS AND METHODS
Formulation and chemicals
Warfarin sodium tablets (Coumadin® 5-mg, Bristol-Myers Squibb Holdings Pharma LTD, Uxbridge, United Kingdom) were used. Hydrochloric acid, sodium acetate, and phosphate monobasic and dibasic salts were supplied by J. T. Baker-Mexico (Xalostoc, Mexico). Warfarin sodium standard was purchased from Sigma-Aldrich Co. (St. Louis MO, USA).
Content uniformity and assay
Content uniformity and assay tests were performed according to the procedures described in the USP [5].
Analytical method validation
Dissolution method was validated according to ICH guidelines [9]. Method linearity, accuracy, precision, and stability were evaluated.
Linearity
Three standard calibration curves of warfarin sodium in water were prepared (4 to 30 µg/ml) and the absorbance was measured at 308 nm with 1 cm quartz cells. Absorbance vs. concentration data obtained were fitted by linear regression analysis and the coefficients of regression and the regression analysis of variance (ANOVA) were calculated. The response vs. warfarin sodium concentration proportionality was demonstrated by calculating the percentage relative standard deviation (RSD) of the response factor across the calibration curve range as follows:
Eq. 1
Accuracy and precision
To validate these parameters, the standard addition method was used, so that matrix effects can be easily removed. Twenty tablets were accurately weighed and crushed in a mortar; then, quantities of powder of warfarin sodium tablets plus a volume of an aqueous solution of warfarin sodium (1 mg/ml) to finally give the equivalent of 50, 100, and 150% of the dose were dissolved in 900 ml of water at 37.0±0.5 °C. The USP paddle apparatus at 50 rpm was used. At 30 min the amount of warfarin sodium dissolved in each vessel was calculated with reference to a standard calibration curve prepared on the day of the experiment. Each determination was performed in triplicate. The percentage relative error (RE) was taken as a measure of the accuracy and the RSD as a measure of precision. Experiments were carried out in three consecutive days. RE was calculated as follows:
Eq. 2
Stability
Drug stability was evaluated analyzing a solution of warfarin sodium prepared in water (5 µg/ml). This solution was analyzed at 0 h at 25 °C and at 24, 48, and 72 h after stored at 4 and 25 °C. At 24, 48, and 72 h (at each temperature) the percentage of absolute difference (AD) recovered of warfarin sodium was calculated as follows:
Eq. 3
Dissolution studies
USP basket vs. USP paddle apparatus
Dissolution profiles of warfarin sodium were determined in an automated USP basket and paddle apparatus (Sotax AT-7 Smart, Switzerland). An UV/Vis spectrophotometer with 1 mm flow cells (Perkin Elmer Lambda 35, USA) was used. All equipment and data generated were controlled by specific software designed by Sotax. Warfarin sodium tablets were sprinkled on 900 ml of water at 37.0±0.5 °C as dissolution medium. With these USP apparatuses, the agitation rates of 50, 75, and 100 rpm were tested. Sequential sampling using 0.45 µm nitrocellulose filters (Millipore®) occurred over 30 min at regular 5 min intervals with 6 replicates. The amount of warfarin sodium dissolved was determined with a standard calibration curve at 308 nm.
USP paddle apparatus vs. flow-through cell method
Dissolution profiles of warfarin sodium tablets were obtained in an automated USP paddle apparatus at 50 rpm with 900 ml of dissolution medium and with a flow-through cell apparatus (Sotax CE6, Sotax AG, Switzerland) with 22.6 mm cells (i.d.). Laminar flow (with a bed of 6 g of glass beads) was used. The degassed dissolution media: 0.1 N hydrochloric acid, acetate buffer pH 4.5, phosphate buffer pH 6.8, and water at 37.0±0.5 °C were pumped at a flow rate of 16 ml/min. An open system was used without recycling the dissolution medium. Sequential sampling using nitrocellulose filters was set at regular 5 min intervals over 30 min, with 12 replicates. The amount of warfarin sodium dissolved was determined in an UV/Vis spectrophotometer with 1 mm quartz cells (Perkin Elmer Lambda 10, USA) at 308 nm. For every trial, a standard calibration curve was prepared.
Data analysis
Dissolution profiles of warfarin sodium were compared using model-independent and model-dependent methods. For model-independent methods, mean dissolution time (MDT) and dissolution efficiency (DE) were calculated. Mean values were compared by a Student’s t-test and significant differences were considered if *P<0.05. For model-dependent comparisons, dissolution data were adjusted to hyperbola model and t50% and t80% data were calculated. Additionally, data were adjusted to different mathematical equations: Zero-order, First-order, Higuchi, Hixson-Crowell, Makoid-Banakar and Weibull models were used. The model with the highest determination coefficient (R2adjusted) and the lowest Akaike Information Criterion (AIC) was chosen as the best-fit model [10]. Data analysis was carried out using the Excel add-in DDSolver program [11]. Mathematical equations used to fit warfarin sodium dissolution data are shown in table 1.
Table 1: Mathematical equations used to fit dissolution data
| Model | Equation |
| Hyperbola | ![]() |
| Zero-order | ![]() |
| First-order | ![]() |
| Higuchi | ![]() |
| Hixson-Crowell | ![]() |
| Makoid-Banakar | ![]() |
| Weibull | ![]() |
RESULTS AND DISCUSSION
Content uniformity and assay
Warfarin sodium tablets were within USP limits. The percentages of warfarin sodium on the content uniformity test ranged from 101.66 to 103.56% (official criteria is 85-115%) and the assay test 99.10% (official criteria is 90-110%).
Linearity
The mean regression equation from three standard calibration curves was: y = 0.0389x-0.0052. Linear regression was significant (R2 = 0.999; *P<0.05). The RSD value of the response factor was 2.31%.
Accuracy and precision
To prove the accuracy and precision of the dissolution method, analysis of different dose percentages (50, 100, and 150%) was carried out on three different days (n = 3/d). The within-day and between-day precision and accuracy were calculated. Results are shown in table 2. The RSD obtained was in the range of 0.26 to 5.13% and the RE was lower than 6.50%, which indicates a good accuracy and precision of the method.
Table 2: Accuracy and precision data of warfarin sodium
| Within-day (n = 3) | Between-day (n = 9) | |
| Added (mg) | Found (mg) | RSD (%) |
| 2.5 | 2.55±0.03 | 1.11 |
| 5 | 5.22±0.03 | 0.53 |
| 7.5 | 7.99±0.02 | 0.26 |
Mean±SD
Stability
Stability of warfarin sodium in water was assessed analyzing a drug solution of 5 µg/ml at different times and temperatures. Absolute difference at 4 °C and 24, 48, and 72 h was 0.38, 0.50, and 0.84%, respectively. Values at 25 °C and the same sample times were 0.71, 1.55, and 4.32%, respectively. Results suggest a good stability of warfarin sodium aqueous solution only at 4 °C for three consecutive days.
USP basket vs. USP paddle apparatus
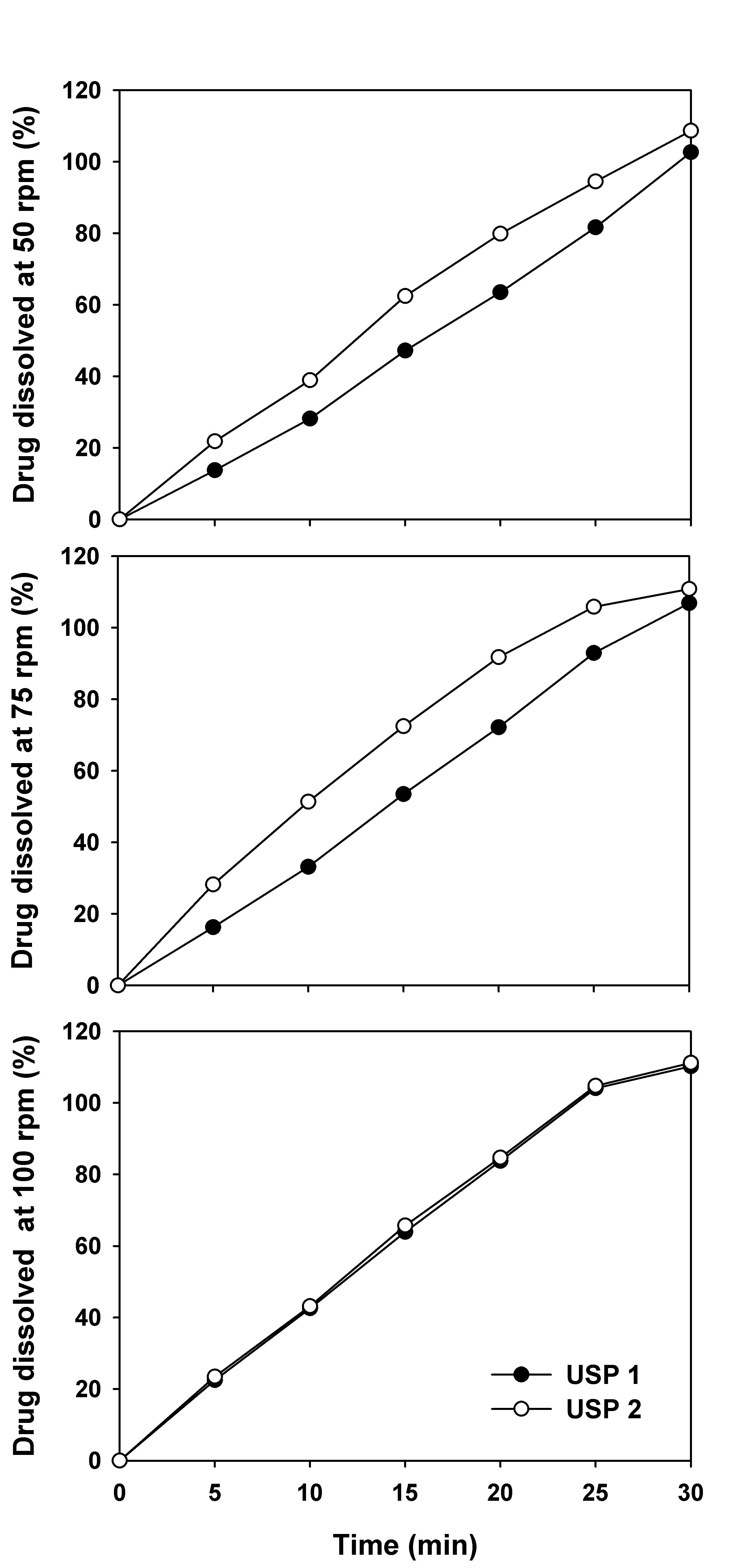
Dissolution profiles of warfarin sodium tablets at different agitation rates and USP dissolution apparatuses are shown in fig. 2.

Fig. 2: Dissolution profiles of warfarin sodium using different agitation rates and USP basket (USP 1) and paddle (USP 2) apparatuses. Mean, n = 6. Error bars were omitted for clarity
With the aim to compare the in vitro release performance of warfarin sodium under different agitation rates and USP apparatuses, common dissolution parameters were calculated. Results are shown in table 3.
Table 3: Model-independent and-dependent parameters of warfarin sodium tablets
| Agitation rate (rpm) | Parameter | USP basket apparatus | USP paddle apparatus |
| 50 | Diss. at 30 min (%) | 102.59±1.51 | 108.62±0.25* |
| DE (%) | 47.56±1.01 | 58.60±1.14* | |
| MDT (min) | 16.09±0.18 | 13.82±0.29* | |
| t50% (min) | 15.31±0.31 | 12.12±0.42* | |
| t80% (min) | 24.50±0.49 | 20.54±0.44* | |
| 75 | Diss. at 30 min (%) | 106.83±1.032 | 110.79±0.59* |
| DE (%) | 53.53±1.62 | 67.47±0.72* | |
| MDT (min) | 14.98±0.35 | 11.73±0.22* | |
| t50% (min) | 13.99±0.47 | 9.27±0.19* | |
| t80% (min) | 22.28±0.57 | 17.16±0.27* | |
| 100 | Diss. at 30 min (%) | 110.18±0.80 | 111.15±0.80 |
| DE (%) | 61.97±1.36 | 62.87±1.15 | |
| MDT (min) | 13.13±0.32 | 13.03±0.26 | |
| t50% (min) | 11.31±0.38 | 11.03±0.27 | |
| t80% (min) | 19.33±0.51 | 19.01±0.43 |
Mean±SEM, n = 6, *P<0.05
Significant differences were found with all calculated parameters at 50 and 75 rpm (*P<0.05). These differences were expected as both USP apparatuses generated different hydrodynamic environments that surrounded the dosage form. No significant differences at 100 rpm were found (*P>0.05). Under this condition, the in vitro release performance of warfarin sodium obtained with the USP paddle apparatus can be considered equivalent to the release performance generated by the USP basket apparatus.
For a complete comparison with a model-dependent approach, warfarin sodium dissolution data were adjusted to common mathematical equations. Results are shown in table 4.
Table 4: Criteria used for the selection of the best-fit model
| Parameter | Agitation rate (rpm) | Zero-order | First-order | Higuchi | Hixson-Crowell | Makoid-Banakar | Weibull |
| USP basket apparatus | |||||||
| R2adjusted | 50 | 0.9859 | 0.8301 | 0.7519 | 0.8862 | 0.9945 | 0.9675 |
| 75 | 0.9891 | 0.8234 | 0.7833 | 0.8876 | 0.9908 | 0.9618 | |
| 100 | 0.9686 | 0.8274 | 0.8477 | 0.9001 | 0.9870 | 0.9404 | |
| AIC | 50 | 27.38 | 43.01 | 45.32 | 40.58 | 21.91 | 33.87 |
| 75 | 24.86 | 43.85 | 45.10 | 41.13 | 24.40 | 35.45 | |
| 100 | 32.14 | 43.65 | 42.92 | 40.35 | 26.99 | 38.00 | |
| USP paddle apparatus | |||||||
| R2adjusted | 50 | 0.9799 | 0.8563 | 0.8487 | 0.9222 | 0.9952 | 0.9676 |
| 75 | 0.8990 | 0.8544 | 0.9104 | 0.9276 | 0.9936 | 0.9395 | |
| 100 | 0.9652 | 0.8256 | 0.8546 | 0.8989 | 0.9867 | 0.9328 | |
| AIC | 50 | 27.65 | 42.05 | 42.30 | 38.34 | 22.13 | 34.02 |
| 75 | 39.49 | 41.83 | 38.91 | 37.62 | 22.65 | 37.41 | |
| 100 | 33.68 | 43.67 | 42.62 | 40.36 | 27.32 | 38.69 |
Mean, n = 6
According to the established criteria (higher R2adjusted and lower AIC) Makoid-Banakar equation was the best-fit model used to describe the in vitro release performance of warfarin sodium at 50-100 rpm and the USP basket and paddle apparatuses. Parameters of this model and t50% data derived from the adjustment to this equation are shown in table 5. Significant differences were found between dissolution profiles at 50 and 75 rpm (*P<0.05).
Table 5: Makoid-Banakar parameters and t50% values derived from the adjustment to this mathematical model
| Agitation rate (rpm) | kMB | n | k | t50%±SEM (min) |
| USP basket apparatus | ||||
| 50 | 2.564 | 1.074 | -0.004 | 16.28±0.35 |
| 75 | 2.288 | 1.269 | 0.012 | 14.17±0.45 |
| 100 | 3.171 | 1.275 | 0.023 | 11.47±0.33 |
| USP paddle apparatus | ||||
| 50 | 3.480 | 1.140 | 0.014 | 12.16±0.39* |
| 75 | 4.682 | 1.168 | 0.026 | 9.50±0.15* |
| 100 | 3.535 | 1.253 | 0.022 | 11.20±0.23 |
Mean, n = 6. *P<0.05

Fig. 3: Dissolution profiles of warfarin sodium with different dissolution media and USP paddle apparatus (USP 2) and flow-through cell method (USP 4). Mean, n = 12. Error bars were omitted for clarity
USP paddle apparatus vs. flow-through cell method
Dissolution profiles of warfarin sodium tablets with different USP apparatuses and dissolution media with physiological pH range are shown in fig. 3.
At 30 min a limited dissolution of warfarin sodium with 0.1 N hydrochloric acid and acetate buffer pH 4.5 was found (<54%). For this result, only DE values were calculated. Better results were obtained with phosphate buffer pH 6.8 and water as dissolution media. Warfarin sodium tablets fulfilled the current pharmacopeial dissolution criteria (Q = 80% at 30 min). Pharmacopeial conditions were USP Apparatus 2 at 50 rpm with 900 ml of water. For a complete comparison, model-independent and model-dependent parameters were also calculated and statistically compared. Results are shown in table 6.
Significant differences in all parameters were found (*P<0.05) accepting percentage dissolved at 30 min with 0.1 N hydrochloric acid and phosphate buffer pH 6.8. Results suggest a no-equivalence of the in vitro release performance of warfarin sodium between the USP paddle apparatus and flow-through cell method. Due to a limited dissolution of warfarin sodium with 0.1 N hydrochloric acid and acetate buffer pH 4.5 only dissolution data with phosphate buffer pH 6.8 and water were adjusted to the mathematical models above described. Results are shown in table 7.
Dissolution data of warfarin sodium generated by the USP paddle apparatus and flow-through cell method as well as phosphate buffer pH 6.8 and water were better described by the Makoid-Banakar model. Parameters of this model and t50% data derived from the adjustment to this equation are shown in table 8. Significant differences were found between dissolution profiles at pH 6.8 and water as dissolution media (*P<0.05).
Table 6: Model-independent and model-dependent parameters of warfarin sodium tablets
| Medium | Parameter | USP paddle apparatus | Flow-through cell method |
| 0.1 N HCl | Diss. at 30 min (%) | 10.25±1.60 | 13.16±1.20 |
| DE (%) | 2.73±0.36 | 4.01±0.22* | |
| pH 4.5 | Diss. at 30 min (%) | 53.93±4.80 | 12.16±1.06* |
| DE (%) | 18.59±1.80 | 5.97±0.39* | |
| pH 6.8 | Diss. at 30 min (%) | 96.29±1.87 | 93.64±2.44 |
| DE (%) | 54.72±1.70 | 42.23±1.12* | |
| MDT (min) | 12.99±0.26 | 16.45±0.23* | |
| t50% (min) | 12.65±0.58 | 17.15±0.38* | |
| t80% (min) | 22.79±0.81 | 27.44±0.61* | |
| H2O | Diss. at 30 min (%) | 108.37±0.38 | 91.52±2.91* |
| DE (%) | 59.50±1.00 | 37.49±0.91* | |
| MDT (min) | 13.53±0.25 | 17.67±0.16* | |
| t50% (min) | 11.80±0.37 | 18.41±0.49* | |
| t80% (min) | 20.19±0.38 | 29.45±0.79* |
Mean±SEM, n = 12, *P<0.05
Table 7: Criteria used for the selection of the best-fit model
| Medium | Parameter | USP Apparatus | Zero-order | First-order | Higuchi | Hixson-Crowell | Makoid-Banakar | Weibull |
| pH 6.8 | R2adjusted | 2 | 0.9499 | 0.9257 | 0.8810 | 0.9709 | 0.9977 | 0.9948 |
| 4 | 0.9753 | 0.8439 | 0.7262 | 0.8917 | 0.9980 | 0.9851 | ||
| AIC | 2 | 33.56 | 35.99 | 38.91 | 29.60 | 12.82 | 18.82 | |
| 4 | 29.95 | 41.80 | 45.32 | 39.51 | 15.76 | 27.26 | ||
| H2O | R2adjusted | 2 | 0.9693 | 0.8573 | 0.8554 | 0.9234 | 0.9952 | 0.9675 |
| 4 | 0.9412 | 0.8025 | 0.6644 | 0.8482 | 0.9977 | 0.9835 | ||
| AIC | 2 | 29.76 | 41.94 | 41.83 | 38.13 | 21.15 | 33.87 | |
| 4 | 35.87 | 43.32 | 46.63 | 41.70 | 13.47 | 27.13 |
Mean, n = 12
Table 8: Makoid-Banakar parameters and t50% values derived from the adjustment to this mathematical model
| Medium | USP apparatus | kMB | n | k | t50%±SEM (min) |
| pH 6.8 | 2 | 3.719 | 1.173 | 0.021 | 12.63±0.55 |
| 4 | 0.924 | 1.487 | 0.014 | 11.85±0.36 | |
| H2O | 2 | 3.634 | 1.175 | 0.017 | 17.75±0.43* |
| 4 | 0.700 | 1.461 | 4.33E-4 | 19.93±0.34* |
Mean, n = 12. *P<0.05
Differences among USP dissolution apparatuses can be considered expected as the hydrodynamic environment of each USP apparatus is different. It is necessary to know them to take advantage of these conditions, especially when a new oral dosage form is designed and is intended to evaluate it under certain conditions. It is important to carry out dissolution studies with reference drug products because it is known that the quality of generic formulations depends on extensive knowledge of the release performance of references under available USP apparatuses and media within the physiological pH range. Results agree with those found by Shabir [12], where in an evaluation of the USP basket and paddle apparatuses with atenolol generic tablets; the paddle method gave significantly better dissolution than the basket method. The found differences in the drug release of both methods were probably due to the differences in the basic design of these two apparatuses. The paddle apparatus makes it a better stirring device, which leads to faster dissolution rates when compared to the basket apparatus. The basket used in the rotating basket apparatus acts as a sample holder confining the dosage form in a relatively smooth flow of dissolution medium with minimal mechanical abrasion. This leads to slower dissolution rates when compared to the rotating paddle apparatus.
Several authors agree with the importance of this kind of studies. Wu et al. [8] indicate that more detailed studies are needed to show the effect of the hydrodynamic environment on tablet dissolution rate processes and Shabir [12], working with a class III drug, found that the in vitro release rate of a hydrosoluble drug can be accurately controlled through choice of the USP apparatus used. On the other hand, Chevalier et al. [13] shown that the dissolution test can speed up the formulation development and identify a potential problem in drug release. Due to poor solubility, class II drugs are expected to have a dissolution-limited absorption and a meaningful IVIVC should be expected. Gao [6] found that the flow-through cell method may offer advantages for establishing a meaningful IVIVC since the flow-through cell method better simulates the hydrodynamic environment of the gastrointestinal tract. Jinno et al. [14] and Jantratid et al. [15] have demonstrated that in vitro data obtained with the flow-through cell method better reflect the in vivo performance of drugs with solubility problems.
Datta fitting to mathematical models above described was carried out without any physiological significance with the objective of find an equation that explains the in vitro release performance of warfarin sodium tablets. The purpose of using mathematical equations to fit dissolution data is that they facilitate the analysis and interpretation of release performance as a function of a few parameters that can be statistically compared [16]. In this work, under all dissolution conditions used, the mathematical equation that best describes the in vitro release of warfarin sodium is the Makoid-Banakar model. This model becomes identical to that of Korsmeyer-Peppas when the parameter k is equal to zero [17]. It follows the sole diffusion mechanism. The n function governs the shape of the dissolution curve [18].
Generic drugs are similar to brand-name drugs in terms of identity, strength, quality, purity, safety, potency, uses, and treatment. The belief that generic drugs are inferior to brand-name drugs has always been under debate, especially since the price of generic drugs is generally far cheaper than brand-name drugs [19]. To ensure the best quality of generic drugs, it is necessary to thoroughly evaluate the reference products and know the mechanism by which they release the drug under different circumstances. Generics with adequate quality can behave as brand-name products. Bioequivalence studies of warfarin sodium tablets (5-mg) with successful results were previously reported by several authors [20]. On the other hand, information about of novel anticoagulants different to heparin and warfarin was recently reported [21]. All these efforts are made to offer the population better pharmaceutical products.
CONCLUSION
More research is necessary to identify the in vitro release performance of poorly soluble drugs under available USP apparatuses considering factors as agitation rate and kind of dissolution media. Results of this work could be of interest to pharmaceutical laboratories to support the design of better oral dosage forms as the quality of generics depend on quality of reference formulations.
FUNDING
Nil
AUTHORS CONTRIBUTIONS
All the authors have contributed equally.
CONFLICT OF INTERESTS
Declared none
REFERENCES
World Health Organization. Warfarin Health and Safety Guide, No. 96, Genova; 1995. Available from: http://inchem.org/ documents/hsg/hsg/hsg096.htm [Last accessed on 22 Sep 2020]
Hanley JP. Warfarin reversal. J Clin Pathol 2004;57:1132−9.
Arif KM, Rahman MA. A review of warfarin dosing and monitoring. Faridpur Med Coll J 2018;13:40−3.
Drug Delivery Foundation. Biopharmaceutics classification system (BCS) database. Available from: http://www.ddfint.org/bcs-about. [Last accessed on 22 Sep 2020]
United States Pharmacopeia and National Formulary USP 43-NF38: The United States Pharmacopeial Convention, Inc: Rockville MD; 2020.
Gao Z. In vitro dissolution testing with flow-through method: a technical note. AAPS PharmSciTech 2009;10:1401−5.
Missaghi S, Fassihi R. Release characterization of dimenhydrinate from an eroding and swelling matrix: selection of appropriate dissolution apparatus. Int J Pharm 2005;293:35−42.
Wu Y, Kildsig DO, Ghaly ES. Effect of hydrodynamic environment on tablets dissolution rate. Pharm Dev Technol 2004;9:35−7.
ICH. Harmonised Tripartite Guideline. Q2B Validation of Analytical Procedures: Methodology. International Conference on Harmonization; 1996. Available from: https://www.fda.gov/regulatory-information/search-fda-guidance-documents/q2b-validation-analytical-procedures-methodology. [Last accessed on 22 Sep 2020]
Yuksel N, Kanik AE, Baykara T. Comparison of in vitro dissolution profiles by ANOVA-based, model-dependent and independent-methods. Int J Pharm 2000;209:57−67.
Zhang Y, Huo M, Zhou J, Zou A, Li W, Yao C, et al. DD Solver: an add-in program for modeling and comparison of drug dissolution profiles. AAPS J 2010;12:263−71.
Shabir GA. Evaluation of USP basket and paddle dissolution methods using different generic atenolol tablets. Turk J Pharm Sci 2011;8:253−60.
Chevalier E, Viana M, Artaud A, Chomette L, Haddouchi S, Devidts G, et al. Comparison of three dissolution apparatuses for testing calcium phosphate pellets used as ibuprofen delivery systems. AAPS PharmSciTech 2009;10:597−605.
Jinno J, Kamada N, Miyake M, Yamada K, Mukai T, Odomi M, et al. In vitro-in vivo correlation for wet-milled tablet of poorly water-soluble cilostazol. J Controlled Release 2008;130:29−37.
Jantratid E, De Maio V, Ronda E, Mattavelli V, Vertzoni M, Dressman JB. Application of biorelevant dissolution tests to the prediction of in vivo performance of diclofenac sodium from an oral modified-release pellet dosage form. Eur J Pharm Sci 2009;37:434−41.
Adams E, Coomans D, Smeyers Verbeke J, Massart DL. Non-linear mixed effects models for the evaluation of dissolution profiles. Int J Pharm 2002;240:37−53.
Khamanga SM, Parfitt N, Nyamuzhiwa T, Haidula H, Walker RB. The evaluation of Eudragit microcapsules manufactured by solvent evaporation using USP apparatus 1. Dissolut Technol 2009;16:15−22.
Ilango KB, Kavimani S. A systematic review of mathematical models of pharmaceutical dosage forms. Int J Curr Pharm Rev Res 2015;6:59−70.
Arafat M, Ahmed Z, Arafat O. Comparison between generic drugs and brand name drugs from bioequivalence and thermoequivalence prospective. Int J Pharm Pharm Sci 2017;9:1−4.
Sornsuvit C, Niamhun N, Luengpiansamut N, Sangsrijan S, Niwatananum W, Kaewvichit S, et al. Pharmacokinetics and bioequivalence studies of warfarin sodium 5 milligrams tablet in healty thai subjects. Int J Pharm Pharm Sci 2015;7:219−22.
Basha A, Ambika, Kareem A, Sumithra M. Novel anticoagulants beyond heparin and warfarin. Asian J Pharm Clin Res 2018;11:15−8.