
Department of Chemistry, Koneru Lakshmaiah Education Foundation, Green Fields, Vaddeswaram, Guntur, Andhra Pradesh, India 522502
Email: avrchemistry@gmail.com
Received: 30 Sep 2020, Revised and Accepted: 18 Dec 2020
ABSTRACT
Objective: The objective of the present study is to develop a stability-indicating reverse-phase high-performance liquid chromatography (RP-HPLC) method for qualitative and quantitative determination of Eptifibatide and its impurities in bulk and pharmaceutical dosage forms.
Methods: The chromatographic separation was carried on Phenomenex Luna C18 column (250 mm×4.6 mm; 5µ id) as stationary phase, methanol and phosphate buffer at pH 6.4 in the ratio of 65:45 (v/v) as mobile phase at flow rate of 1.0 ml/min, Ultra Violet (UV) detection was carried at the wavelength of 236 nm and the analysis was completed with a run time of 15 min.
Results: In the developed conditions, the retention time of Eptifibatide and its impurities 1 and 2 were found to be 3.35, 4.93 and 8.18 min, respectively. The method was validated for system suitability, range of analysis, precision, specificity, stability and robustness. Spiked recovery at 50%, 100% and 150% was carried for both standard and impurities and the acceptable % recovery of 98-102 was observed for Eptifibatide and both impurities studied and the % Relative standard deviation (RSD) in each spiked level was found to be less than 2. Stability tests were done through the exposure of the analyte solution to five different stress conditions i. e expose to 1N Hydrochloric acid (HCl), 1 N Sodium hydroxide (NaOH), 3% Hydrogen peroxide (H2O2), 80 °C temperature to UV radiation. In all the degradation conditions, standard drug Eptifibatide was detected along with both the impurities studied and the degradation products were successfully separated. In the formulation analysis, there is no other chromatographic detection of other impurities and formulation excipients.
Conclusion: The developed method was found to be suitable for the quantification of Eptifibatide and can separate and analyse impurities 1 and 2.
Keywords: Eptifibatide, Impurity analysis, HPLC, Forced degradation study, Formulation analysis
© 2021 The Authors. Published by Innovare Academic Sciences Pvt Ltd. This is an open access article under the CC BY license (https://creativecommons.org/licenses/by/4.0/)
DOI: https://dx.doi.org/10.22159/ijap.2021v13i2.39895. Journal homepage: https://innovareacademics.in/journals/index.php/ijap
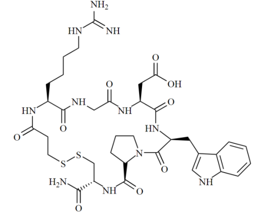
Eptifibatide is an antiplatelet drug and a disulfide-linked cyclic peptide and a short-acting reversible inhibitor of platelet aggregation [1]. It is used for the treatment of myocardial infarction, acute coronary syndrome, intracoronary stenting and for patients undergoing percutaneous coronary intervention [2]. The enhanced antiplatelet or thrombosis effect of Eptifibatide is usually coupled with naturally accompanying aspirin and/or heparin therapy [3]. The molecular structure of Eptifibatide was given in fig. 1.

Fig. 1: Molecular structure of eptifibatide
The reversible inhibition platelet aggregation of Eptifibatide is by preventing the binding of fibrinogen, von Wille brand factor, and other adhesive ligands to glycoprotein IIb/IIIa. The platelet aggregation of Eptifibatide depends on the concentration and dosage of administration [4]. Eptifibatide contains a KGD (lysine–glycine–aspartic acid) sequence similar to that found in the rattlesnake (Sistrurus miliarius barbouri) venom barbourin. This sequence is purported to selectively block the platelet glycoprotein IIb–IIIa complex without affecting the functions of other integrins [5].
Bleeding, hypotension, cardiovascular failure, serious arrhythmias are the possible side effects of Eptifibatide, whereas the thrombocytopenia, chest pain, bradycardia, angioedema and hypotension are observed in the patients with overdose [6].
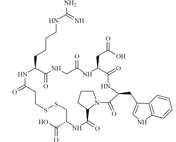
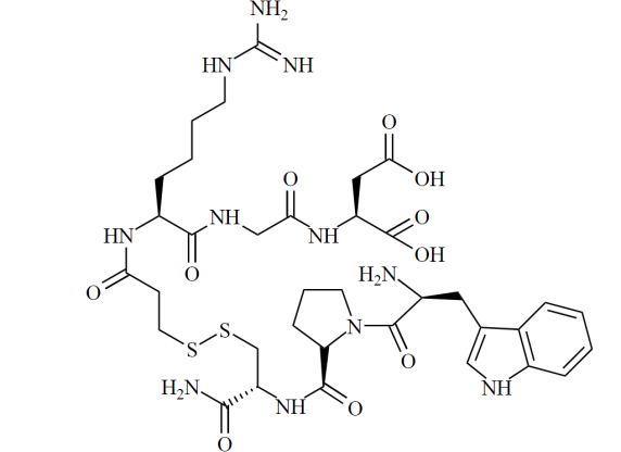
The literature survey for the available analytical methods for the estimation of Eptifibatide confirms that two HPLC [7, 8] and one UV spectrophotometer [9] assay methods reported for the estimation of Eptifibatide in pharmaceutical formulations. One Spectrofluorimetry method was reported for the estimation of Eptifibatide in formulations and human plasma [10]. The characterization using stability study of Eptifibatide was reported using Liquid chromatography-mass spectrometry (LCMS) analysis method [11]. One ultra-performance liquid chromatography (UPLC) method reported for the estimation of Eptifibatide in the presence of its one impurity was reported [12]. The literature survey reveals that no analytical method reported for the estimation of Eptifibatide and its impurities in pharmaceutical formulations using HPLC. There are ten impurities were officially identified for Eptifibatide, but impurities 1 and 2 only available to the authors. Hence the presence study aimed to develop a simple HPLC method for the estimation of Eptifibatide and its impurities 1 and 2 in bulk drug and formulations. The molecular structure of impurities studied was given in fig. 2.


Impurity 1 Impurity 2
Fig. 2: Molecular structure of eptifibatide impurities in the study
Reagents
The working standard drug Eptifibatide (99.03% purity) and its Impurities studied were obtained from Samarth Life Sciences PVT. LTD, Mumbai, Maharashtra. Methanol (HPLC Grade) and Acetonitrile (HPLC grade) were purchased from Merck chemicals, Mumbai. Ultra-Pure (Milli-Q®) Water was used during the study. All the other chemicals used during the study are of analytical reagent grade and were purchased from Merck chemicals, Mumbai.
Instrumentation
HPLC studies were carried on Agilent (USA) 1100 series HPLC instrument coupled with Quaternary pump (G1311 A), Thermostatic autosampler (G 1329A) with an injection volume of 0. 1–1500 µl and programmable UV detector (G 1314 A). Agilent chem. station LC software was used for integrating the chromatograms.
Preparation of solutions
pH 6.8 phosphate buffer solution
Buffer solution was prepared by mixing of Sodium phosphate dibasic heptahydrate (3.121 g) and Sodium phosphate monobasic monohydrate (7.044 g) in 1000 ml HPLC grade water and the pH of was adjusted to 6.8 using 0.1 N hydrochloric acid.
Standard drug and impurity solutions
A stock solution of 1 mg/ml was prepared for both standard and impurities separately by accurately weighing 50 mg of compound and was dissolved in 50 ml of Methanol. Required dilutions for were prepared from the stock solution and from the prepared dilutions, 10 ml of selected concentrations of Eptifibatide, Impurity 1 and 2 were mixed separately and the mixture solution was used for method development and validation studies [13, 14].
Formulation solution
Opened five vials of Eptifibatide with brand Eptifab® (20 mg/10 ml) (each vial contains Eptifibatide: 20 mg/10 ml) and pooled the content of each individual vial into a clean and dried 50 ml volumetric flask and mix uniformly. Then 10 ml was accurately separated and was made up to the mark in a 100 ml volumetric flask. Filter the content and diluted to standard concentration and was used for the assay.
Method development [15-18]
UV-visible spectrophotometer was used for the determination of suitable UV absorption wavelength for Eptifibatide and its impurities. The wavelength maxima of Eptifibatide and its impurities were determined at a concentration of 10 µg/ml. The overlay UV absorption spectra of Eptifibatide and its impurities confirm the suitable wavelength for the detection of Eptifibatide and its impurities in HPLC.
Different types of stationary phase like ProntoSIL Hypersorb ODS C18 column, Waters RP-C 18 column and Phenomenex Luna C18 columns of 150 mm and 250 mm was studied was optimised separation of Eptifibatide and its impurities. The mobile phase composition with different solvents like methanol and acetonitrile in combination with different pH buffers was studied. Based on the separation of Eptifibatide and its impurities, the mobile phase was optimised. The flow rate of the mobile phase was also optimised in the range of 0.7 to 1.2 ml/min. The optimised conditions that produce best separation of Eptifibatide and its impurities were confirmed and proceed for further validation.
Method validation
The method developed for the analysis of Eptifibatide and its impurities was validated as per the available literature and ICH guidelines [19-25].
System suitability
Freshly prepared standard solution at a recovery level of Eptifibatide and its impurities was analyzed in the developed method. The system suitability was evaluated by summarizing the parameters such as relative response factor (RRF), relative retention time (RRT), asymmetric factor (tail factor) and plate count (number of theoretical plates).
Linearity and range
Standard solution at a concentration rage of 50–1000 µg/ml of Eptifibatide and 0.5–10µg/ml of both the impurities were prepared and analysed in the method. The calibration curve was plotted by taking concentration prepared on X-axis and peak area obtained on Y-axis.
Precision
Intraday and interday precision studies have performed by analysing the standard solution containing Eptifibatide and its impurities six times in the same day for intraday precision and six times in three different days for interday precision. The % relative standard deviation (RSD) of the peak area was calculated and the % RSD of<2 was considered as acceptable.
Ruggedness
The standard solution was analysed six times in the same day with a change in the analyst was performed for the evaluation of the ruggedness of the method. The % RSD of peak area obtained for standard and impurities was calculated separately and the % RSD of<2 was considered as the method is rugged.
Robustness
The influence of small changes in the developed conditions for the analysis of Eptifibatide and its impurities have been determined in a robustness study. In this change in mobile phase composition (±5 ml of organic modifier), detector wavelength (±5 nano meters (nm)) and pH of the mobile phase (±0.1 factor) have been studied. In each changed condition, the % change compared with optimised condition was calculated for both impurities and Eptifibatide and a % change of <2 was considered as acceptable as per guidelines.
Recovery
In recovery/accuracy study, 50 %, 100 % and 150 % spiked levels of known standard concentration (100 %) in the calibration range was performed and the % recovery was calculated in each spiked level by comparing with calibration results. The % recovery of 98-102 was considered as acceptable.
Force degradation studies
50 mg of standard drug Eptifibatide was mixed with 50 ml of 0.1 N HCl, 0.1 N NaOH and 3 % H2O2 solution separately for 24 h in acidic, basic and oxidative degradation study. Then the solution was neutralised and diluted to standard concentration. 50 mg of standard drug Eptifibatide was kept in an air oven at 60 °C for 24 h in thermal degradation study and kept under UV light at 254 nm for 24 h for photolytic degradation study. Then it was diluted to standard concentration and the degradation solutions were analysed in the developed method. The number of degradation compounds formed and the % degradation was calculated by comparing with unstressed results of Eptifibatide.
Formulation analysis
The formulation solution of Eptifibatide with brand Eptifab® was analysed in the developed method. The % assay was calculated by comparing the formulation results with calibration curve results.
The initial method development trails were performed using acetate buffer as pH modifier and methanol and acetonitrile in different compositions as organic modifier. The utilization of acetate buffer in the mobile phase gives poor resolution of impurities and the peak area response was found to be very less. The replacing the acetate buffer with phosphate buffer produces better resolution and response of both impurities and Eptifibatide. The column length with 150 mm produces poor resolution between the impurities and Eptifibatide and hence the column length with 250 mm was confirmed as stationary phase. The systematic trails of method development for the separation of Eptifibatide and its impurities with acceptable system suitability was achieved using Phenomenex Luna C18 column (250 mm×4.6 mm; 5µ id) as stationary phase, methanol and phosphate buffer at pH 6.4 in the ratio of 65:45 (v/v) as mobile phase at a flow rate of 1.0 ml/min, UV detection was carried at wavelength of 236 nm and the analysis was completed with a run time of 15 min. In these conditions, acceptable system suitability was observed for both impurities and Eptifibatide (fig. 3).

Fig. 3: Optimised chromatogram of Eptifibatide, impurity 1 and 2
In the developed method conditions, the system suitability parameters like RRF, RRT, tail factor and number of theoretical plates were found to be within the acceptable limit (table 1) for Eptifibatide and its impurities studied confirms that the method is suitable.
Table 1: System suitability results
| Compound | Concentration in µg/ml | Retention time (min) | RRT | RRF | Theo plate | Tail factor | Resolution |
| Eptifibatide | 225 | 4.9341±0.003 | --- | --- | 4591 | 1.01 | 5.61 |
| 300 | 4.9336±0.001 | --- | --- | 4604 | 1.02 | 5.59 | |
| 375 | 4.9328±0.004 | --- | --- | 4576 | 1.01 | 5.66 | |
| Impurity 1 | 1.5 | 8.1883±0.004 | 0.6789±0.004 | 0.058±0.003 | 6756 | 0.89 | 13.87 |
| 2 | 8.1871±0.003 | 0.6810±0.004 | 0.066±0.001 | 6582 | 0.83 | 13.81 | |
| 2.5 | 8.1891±0.005 | 0.6803±0.001 | 0.069±0.001 | 6659 | 0.85 | 13.79 | |
| Impurity 2 | 1.5 | 3.3580±0.003 | 1.6595±0.002 | 0.091±0.001 | 9809 | 0.97 | --- |
| 2 | 3.3598±0.001 | 1.6594±0.003 | 0.091±0.006 | 9912 | 0.99 | --- | |
| 2.5 | 3.3561±0.004 | 1.6602±0.002 | 0.090±0.002 | 9875 | 0.95 | --- |
#Values given in table is the average±standard deviation of three replicate experiments
The linearity was observed within the concentration range of 75–540 µg/ml for Eptifibatide and 0.5–3 µg/ml for both impurity 1 and 2. The calibration curve was found to be linear with a very high correlation coefficient for both impurities and standard Eptifibatide. Linearity results were given in table 2 and the calibration curve was shown in fig. 4, 5 and 6 for Eptifibatide, imp A and B, respectively.
Table 2: Linearity results
| S. No. | Eptifibatide | Impurity 1 | Impurity 2 | |||
| Concentration in µg/ml | Peak area | Concentration in µg/ml | Peak area | Concentration in µg/ml | Peak area | |
| 1 | 75 | 323112 | 0.5 | 18118 | 0.5 | 29223 |
| 2 | 150 | 589993 | 1 | 35602 | 1 | 54104 |
| 3 | 225 | 818630 | 1.5 | 54756 | 1.5 | 77885 |
| 4 | 300 | 1136746 | 2 | 74987 | 2 | 98494 |
| 5 | 375 | 1364363 | 2.5 | 92949 | 2.5 | 121067 |
| 6 | 450 | 1628540 | 3 | 112379 | 3 | 149014 |

Fig. 4: Linear calibration curve for Eptifibatide

Fig. 5: Linear calibration curve for imp 1

Fig. 6: Linear calibration curve for imp 2
Precision was carried for the standard solution containing 300 µg/ml of Eptifibatide and 2.0 µg/ml of impurity 1 and 2. The % RSD of peak area response was found to be 0.16, 0.30 and 0.22 in intraday precision, 0.35, 0.57 and 0.73 in interday precision and 0.48, 0.22 and 1.37 in ruggedness respectively for Eptifibatide, impurity 1 and 2 respectively. Hence the method developed for the analysis of Eptifibatide and its impurities was found to be rugged and precise.
The % change in all the changed conditions in robustness study was found to be with the acceptable limit of less than 2 (table 3) for Eptifibatide and its impurities studied. This confirms that the method is found to be robust as there is no considerable change in the separation and detection of Eptifibatide and impurities when a small change in the developed method conditions.
Accuracy of the method was determined spiked recovery studies by spiking 50%, 100% and 150% concentrations of target 150 µg/ml for Eptifibatide, 1.0 µg/ml for impurity 1 and 2. The % recovery in was calculated for both standard and impurities in each analysis and the % RSD was calculated for each spiked level. The acceptable % recovery of 98-102 was observed for Eptifibatide and both impurities studied and the % RSD in each spiked level was found to be less than 2 (table 4) which is the acceptable limit. Hence the method was found to be accurate. Accuracy of the method was determined spiked recovery studies by spiking 50%, 100% and 150% concentrations of target 150 µg/ml for Eptifibatide, 1.5 µg/ml for impurity 1 and 2. The % recovery in was calculated for both standard and impurities in each analysis and the % RSD was calculated for each spiked level. The acceptable % recovery of 98-102 was observed for Eptifibatide and both impurities studied and the % RSD in each spiked level was found to be less than 2 (table 4), which is the acceptable limit. Hence the method was found to be accurate.
Table 3: Robustness results
| S. No. | Changed condition | Eptifibatide | Impurity 1 | Impurity 2 | ||
| Peak area | % Change | Peak area | % Change | Peak area | ||
| 1 | Standard | 1136746 | --- | 74268 | --- | 98770 |
| 2 | MP 1 | 1129280 | 0.66 | 74268 | 0.96 | 98770 |
| 3 | MP 2 | 1127593 | 0.81 | 74941 | 0.06 | 97740 |
| 4 | pH 1 | 1138965 | 0.20 | 75161 | 0.23 | 98286 |
| 5 | pH 2 | 1126817 | 0.87 | 74645 | 0.46 | 99221 |
| 6 | WL 1 | 1142131 | 0.47 | 73986 | 1.33 | 99413 |
| 7 | WL 2 | 1127792 | 0.79 | 74440 | 0.73 | 99146 |
MP (Mobile Phase) 1: methanol and phosphate buffer in the ratio of 60:40 (v/v), MP 2: methanol and phosphate buffer in the ratio of 70:30 (v/v); WL (Wavelength) 1: 241 nm, WL 2: 231 nm; pH 1: 6.3, pH 2: 6.5;
Table 4: Recovery results
| S. No. | Recovery level | Compound | Concentration in µg/ml | Amount found mean±SD |
% Recovered mean±SD |
% RSD of recovery | ||
| Target | Spiked | Final | ||||||
| 1 | 50% | Eptifibatide | 150 | 75 | 225 | 224.22±0.299 | 99.653±0.133 | 0.133 |
| 2 | Impurity 1 | 1 | 0.5 | 1.5 | 1.482±0.004 | 98.800±0.291 | 0.294 | |
| 3 | Impurity 2 | 1 | 0.5 | 1.5 | 1.491±0.006 | 99.400±0.367 | 0.369 | |
| 4 | 100% | Eptifibatide | 150 | 150 | 300 | 298.043±0.519 | 99.348±0.173 | 0.174 |
| 5 | Impurity 1 | 1 | 1 | 2 | 1.979±0.011 | 98.950±0.557 | 0.563 | |
| 6 | Impurity 2 | 1 | 1 | 2 | 1.986±0.005 | 99.317±0.225 | 0.227 | |
| 7 | 150% | Eptifibatide | 150 | 225 | 375 | 373.040±1.243 | 99.477±0.331 | 0.333 |
| 8 | Impurity 1 | 1 | 1.5 | 2.5 | 2.478±0.006 | 99.107±0.227 | 0.229 | |
| 9 | Impurity 2 | 1 | 1.5 | 2.5 | 2.463±0.003 | 98.533±0.129 | 0.130 | |
*Values given in table are the average±standard deviation for three replicate experiments

Fig. 7: Acid degradation chromatogram of Eptifibatide
The % degradation of Eptifibatide in all the stress conditions was calculated by comparing the results observed in stress study with standard. The % degradation was very high in the acidic degradation study. In this condition, the drug was found to be degraded up to 9.82 % and four additional degradation products were observed at a retention time of 1.81, 4.05, 5.55 and 12.03 min [fig. 7]. In base degradation study, the drug was found to be degraded up to 8.12 % and three additional peaks at a retention time of 2.20, 6.06 and 9.15 min [fig. 8]. The low % degradation with high stability of Eptifibatide was observed in oxidative degradation. In this two additional peak was detected at a retention time of 1.35 and 4.68 min and the % degradation was found to be 4.05 [fig. 9]. In photolytic degradation, the % degradation of Eptifibatide was found to be 9.68 and three additional degradation products were detected at a retention time of 3.58, 3.80 and 9.91 min along with two impurities (1 and 2) in the study [fig. 10]. In the thermal degradation study, the % degradation was found to be 5.02 and in this condition, three additional degradation products were observed at a retention time of 2.75, 6.68 and 11.90 min [fig. 11]. In all the degradation condition, standard drug Eptifibatide was detected along with both the impurities studied and the degradation products were successfully separated in the optimised conditions and there is no change in retention time of the Eptifibatide, imp 1 and 2. Hence the method can separate and quantify the potential impurities in Eptifibatide.

Fig. 8: Base degradation chromatogram of Eptifibatide

Fig. 9: Oxidative degradation chromatogram of Eptifibatide

Fig. 10: Photolytic degradation chromatogram of Eptifibatide

Fig. 11: Thermal degradation chromatogram of Eptifibatide
The % drug and impurity content was calculated using the peak area values observed for the formulation sample solution and compared with standard calibration results. The % assay was found to be 98.63, 0.41 and 0.27 % of Eptifibatide, impurity 1 and 2, respectively. In the formulation chromatogram there is no other chromatographic detection of other impurities and formulation excipients detected. Hence the developed method was found to be suitable for the quantification of Eptifibatide and can separate and analyse impurities 1 and 2.
The present work aimed to develop a simple HPLC method for the separation and quantification of related impurities of Eptifibatide in injection formulations. The optimized separation of Eptifibatide and its 1 and 2 was achieved on Phenomenex Luna C18 column (250 mm×4.6 mm; 5µ id) as stationary phase, methanol and phosphate buffer at pH 6.4 in the ratio of 65:45 (v/v) as mobile phase at a flow rate of 1.0 ml/min, UV detection was carried at the wavelength of 236 nm and the analysis was completed with a run time of 15 min.
The method developed for the separation and quantification of Eptifibatide and its 1 and 2 impurities obeys the system suitability parameters like RRF, RRT, tail factor and number of theoretical plates. The formulation excipients did not interfere the separation of Eptifibatide and its impurities 1and2 and proves that the method is specific and suitable.
The calibration curve was found to be linear within the concentration range of 75–450 µg/ml for Eptifibatide and 0.5–3 µg/ml for both impurity 1 and 2 proves that the method can detect the impurities at the lowest concentrations. The % RSD of precision studies, ruggedness and the % change in robustness study was found to be within the acceptable limit of less than 2 confirms that the method is rugged, precise and robust. The method can effectively separate the impurities and a stress degradation product of Eptifibatide proves that the method is stable.
The literature survey reveals that there is only one analytical method reported by Marie et al., 2012 [12] for the analysis of and its impurities. The reported method based on the analysis of Eptifibatide and its impurities by Ultra-Performance Liquid Chromatography (UPLC) which is cost effective, and less available technique. Hence the method developed was found to be the best choice for the routine analysis of Eptifibatide and its impurities in formulations.
A novel stability-indicating RP-HPLC method was developed for the separation, identification and quantification of Eptifibatide and its impurities 1 and 2. The proposed method achieves satisfactory separation of Eptifibatide from impurities and the degradation products with extended linear range, high recoveries and rapid analysis time. The proposed method ensured the accurate determination of Eptifibatide and its impurities in pharmaceutical formulations. Hence the method is simple, convenient and suitable for the analysis of Eptifibatide and impurities 1 and 2 in bulk and in pharmaceutical formulations.
Nil
All the authors have contributed equally.
Declared none
Phillips DR, Teng W, Arfsten A, Nannizzi Alaimo L, White MM, Longhurst C. Effect of Ca2+on GP IIb/IIIa interactions with integrilin: enhanced GP IIb/IIIa binding and inhibition of platelet aggregationby reductions in the concentration of ionized calcium in plasma anticoagulated with citrate. Circulation 1997;96:1488-94.
Robert Scarborough M. Development of eptifibatide. Am Heart J 1999;138:1093-104.
Eli ILev MD, David Hasdai MD, Erez Scapa MD, Ana Tobar MD, Abid Assali MD, Judith Lahav, et al. Administration of eptifibatide to acute coronary syndrome patients receiving enoxaparin or unfractionated heparin: effect on platelet function and thrombus formation. J Am Coll Cardiol 2004;43:966-71.
Perumal Thiagarajan, Kenneth Wu K. Mechanisms of antithrombotic drugs. Adv Pharmacol 1999;46:297-324.
Tcheng JE. Glycoprotein IIb/IIIa receptor inhibitors: putting the EPIC, IMPACT II, RESTORE, and EPILOG trials into perspective. Am J Cardiol 1996;78:35-40.
Conor O'Shea J, Gail Hafley E, Sally Greenberg, Vic Hasselblad, Todd Lorenz J, Michael Kitt M, et al. Platelet glycoprotein IIb/IIIa integrin blockade with eptifibatide in coronary stent intervention. JAMA 2001;285:2468-73.
Maryam Bavand Savadkouhi, Hossein Vahidi, Abdul Majid Ayatollahi, Shirin Hooshfar, Farzad Kobarfard. RP-HPLC method development and validation for determination of eptifibatide acetate in bulk drug substance and pharmaceutical dosage forms. Iran J Phar Res 2017;16:490-7.
Eman Saad Elzanfaly, Enas Abd Elhakim Amer, Sara Abd, Elbasset Galal, Hala Elsayed Zaazaa. Validated high-performance liquid chromatographic method for stability study of eptifibatide. J Chromatogr Sci 2019;57:1–11.
Sushant Patil S, Saurabh Ganorkar B, Atul Shirkhedkar A. Pharmaceutical analysis of eptifibatide via simple, rapid, economical UV-spectrophotometric methods. J Pharm Technol Res Manag 2015;3:49–55.
Eman Saad Elzanfaly, Enas Abdel Hakim Amer, Sara Abdel Basset Galal, Hala Elsayed Zaazaa. Spectrofluorimetric determination of eptifibatide in human plasma and dosage form. J Lumin 2019;34:64–9.
Ronghua Wang, Debby Feder, Frank Hsieh. Characterization of eptifibatide during drug formulation stability assays. J Pharm Biomed Anal 2003;33:1181-7.
Marie Josee Rocheleau, Elaine Larouche, Cristina Salamu, Mihaela Curca. Impurity profiling and in-process testing of drugs for injection by fast liquid chromatography. J Pharm Anal 2012;2:372–7.
Bikshal BK, Useni RM, Venkateswara RA, Maheshwara RL. Intended high-performance liquid chromatography procedure for the quantification of norfloxacin and its potential impurities in active pharmaceutical ingredient and tablet dosage forms. Thai J Pharm Sci 2018;42:27-36.
Mallu UR, Anna VR, Kasimala BB. Rapid stability-indicating HPLC method for the analysis of leflunomide and its related impurities in bulk drug and formulations. Turk J Pharm Sci 2019;16:457-65.
Prasad SS, Krishna Mohan GV, Naga Babu A. Development of simple and robust RP-HPLC method for determination of everolimus and its impurities in oral solid dosage form. Asian J Chem 2019;31:1002-8.
Palacharla SK, Krishna Mohan GV. HPLC method for determination of aspirin, rosuvastatin, ezetimibe and clopidogrel in combination drug products. Asian J Chem 2019;31:2275-83.
Palacharla SK, Krishna Mohan GV, Naga Babu A. RP-HPLC estimation of bumetanide and its impurities in oral solid dosage form. Asian J Chem 2019;31:2275-83.
Prasad SS, Mohan GVK, Babu AN. A quality by design approach for the development of simple and robust reversed-phase stability indicating hplc method for estimation of ibrutinib and its impurities. Rasayan J Chem 2019;12:1434-45.
Geetha Swarupa P, Prasad KRS, Suresh Babu K, Shanmukha Kumar JV. Development and validation of stability indicating RP-HPLC method for simultaneous estimation of escitalopram and l-methylfolate in bulk and tablet dosage form. Rasayan J Chem 2019;12:2338-47.
Palacharla SK, Krishna Mohan GV. Stability indicating HPLC method for the quantification of cefixime, ornidazole and moxifloxacin in solid dosage forms. Rasayan J Chem 2018;11:1696-714.
Ch JR, Rao TB, Kumar Goud PS, Satish J, Rajashekhar K. Development and validation of liquid chromatography method using the principles of QbD for antimalarials used in Artemisinin-based combination therapy. J Liq Chromatogr Relat Technol 2018;41:955-63.
Bikshal Babu Kasimala, Venkateswara Rao Anna, Useni Reddy Mallu. Stability-indicating reversed-phase HPLC method for the separation and estimation of related impurities of cilnidipine in pharmaceutical formulations Indian drugs 2018;55:41-9.
Awdhut Pimpale, Rajendra Kakde. Stability-indicating method development and validation for the simultaneous estimation of rosuvastatin calcium and clopidogrel bisulfate in pharmaceutical dosage form by reverse-phase high-performance liquid chromatography. Asian J Pharm Clin Res 2020;13:84-90.
Senthil Rajan D, Muruganathan G, Kumutaavalli Shivkumar, Ganesh Thangavel. Development and validation of HPLC method for simultaneous quantification of vasicine, lycyrrhizin and piperine in poly herbal cough syrup. Int J Curr Pharm Res 2020;12:15-9.
ICH Validation of Analytical Procedures: Text and Methodology Q2(R1); 1994. p. 1-13.