
1Department of Pharmaceutical Analysis, AIKTC School of Pharmacy, New Panvel 410206 Dist-Raigad (M. S.) India, 2Department of Pharmaceutical Analysis and Quality Assurance, GITAM Institute of Pharmacy, GITAM (Deemed to be University), Visakhapatnam 530045, India
*Email: arulrama@gmail.com
Received: 05 Feb 2021, Revised and Accepted: 28 Jul 2021
ABSTRACT
Objective: The present investigation is aimed to develop and validate, a simple, consistent and sensitive stability-indicating reverse phase-high performance liquid chromatography (RP-HPLC) method for the determination of oral anti-diabetic drug Canagliflozin in bulk and pharmaceutical dosage form as per the International Council for Harmonization of Technical Requirements for Pharmaceuticals for Human Use (ICH-Q2 (R1)).
Methods: The chromatographic separation was achieved by using Reverse Phase-High Performance Liquid Chromatography (RP-HPLC) ZORBAX C18 (250 mm x 4.6 mm, 5μm particle size) with a mobile phase consisting of Acetonitrile: Water in a ratio of 53:47% v/v at a flow rate of 1 ml/min with an injection volume of 20 μl.
Results: The Retention time of the drug Canagliflozin was found to be 2.36±0.05 min and detected at 214 nm UV wavelength. The linear regression equation was found to be y = 60702x–2156.2 with a correlation coefficient 0.9999. Stress degradation studies were performed by exposing the Canagliflozin into acidic, alkaline, oxidative, thermal and photolytic stress conditions with active samples withdrawn at different time intervals as per ICH guidelines.
Conclusion: The proposed Reverse Phase High-Performance Liquid Chromatography (RP-HPLC) method was found to be robust, precise and specific for estimation of Canagliflozin in pharmaceutical dosage forms.
Keywords: Canagliflozin, Stress degradation, Validation, ICH, Forced stability, SGLT2, RP-HPLC
© 2021 The Authors. Published by Innovare Academic Sciences Pvt Ltd. This is an open-access article under the CC BY license (https://creativecommons.org/licenses/by/4.0/)
DOI: https://dx.doi.org/10.22159/ijap.2021v13i5.41005. Journal homepage: https://innovareacademics.in/journals/index.php/ijap
Canagliflozin (C24H25FO5S) is chemically namedas(2S,3R,4R,5S,6R)-2-[3-[[5-(4-fluoro phenyl) thiophen-2-yl] methyl]-4-methylphenyl]-6-(hydroxymethyl)oxane-3,4,5-triol; hydrate, physical appearance of it is a white to off white solid with melting range of 95-105 °C It has good solubility nature in few organic solvents (methanol, Dimethyl sulfoxide) but poorly soluble in aqueous media [1].
Canagliflozin is a novel oral anti-diabetic agent which belongs to a newly developed class Sodium-glucose co-transporter-2 (SGLT2) Inhibitor. Sodium-glucose co-transporter-2 (SGLT2) inhibitors are typically expressed in proximal renal tubules and is responsible for 90% re-absorption of glucose which is initially filtered by kidneys. Sodium-glucose co-transporter 2 (SGLT2) lower the reabsorption of filtered glucose into the body and decreases the renal threshold for glucose (RTG), leading to incremented urinary glucose excretion. Therefore, the inhibitors of SGLT2 have been emerged as novel therapeutic approach for type 2 diabetes mellitus (T2DM) [2-6]. Canagliflozin (CNZ) is the first SGLT2 inhibitor approved for glycemic control in adults with T2DM. U. S. Food and Drug Administration (US FDA) approved this drug in March-2013 for treating patients having type-II diabetes [7].

Fig. 1: Structure of canagliflozin
In various chromatography methods, flow rate and detectors plays a major role in the detection of Canagliflozin, such as fluorescence detector used in estimating the drug in plasma HPLC-FLD [8], Diode Array Detectors HPLC-PDA [9-14]. Various analytical techniques involved in the estimation of the drug-like Ultra-High-Performance Liquid Chromatography-Mass Spectroscopy UHPLC-MS in biological fluids like human and rat plasma[15], Densitometric analysis of Canagliflozin HPTLC Method [16], Double beam Ultraviolet Spectroscopic method [17, 18].
Bio-analytical assay conducted to estimate the drug in plasma by researchers; they utilized various techniques for separating the drug from plasma, Sample extracted by liquid-liquid extraction method [19], protein precipitation method [20, 21]. Even good chromatographic separation is achieved by ion-pair buffers in reverse-phase liquid chromatography.
Limited number of research work available for HPLC-UV detector. In this study, we focused on developing new quality control method to estimate and validate as per ICH guidelines.
Chemicals and reagent
For this study, we Utilized HPLC grade Acetonitrile of Rankem Limited, India and HPLC grade water of SD fine-Chem ltd; Mumbai. Marketed samples of Canagliflozin (Prominad 100 mg tablets) were purchased from a local chemist shop.
Instrumentation
Schimadzu LC 2010 HPLC system supplied with a gradient pump connected to Ultra-violet detector set at 214 nm used. Lab solution software (Version) was used for data acquisition and for system suitability calculations. A 0.001 gm sensitive electronic analytical weighing balance Schimadzu BL-220H and an Ultra-sonicator (Equibtron) were used in this study. Thermal stability studies were carried out in an I-Therm dry air oven.
Optimized chromatographic conditions
Chromatographic separation was attained on ZORBAX C18 (250×4.6 mm, 5 µm) column using mobile phase composition of Acetonitrile and Water in the ratio of 53:47% (v/v). The mobile phase was filtered and degassed through 0.45μm HPLC Millipore filter paper. The Flow rate was kept at 1.0 ml/min for the entire study; injection volume of 20 µl, column temperature of 30 °C, the detector wavelength of 214 nm, were set for the chromatographic study.
Preparation of stock solution
Accurately weighed quantity of Canagliflozin (100 mg) standard powder into a 100 ml volumetric flask, dissolved and diluted up to the mark with diluent and was ultra-sonicated for 5 min to get 1 mg/ml solution of Canagliflozin (1000 μg/ml). Further dilutions were made as per the requirement by dissolving it in diluent and filtered through 0.45μm and degassed before injection.
Preparation of mobile phase
The mobile phase composition of Acetonitrile and water in the ratio of 53:47 (%v/v) was prepared by mixing 530 ml of Acetonitrile and 470 ml of water. In this experiment, we utilize the mobile phase as diluent.
Method validation
The developed method was validated for different prescribed parameters like accuracy, specificity, linearity, precision, robustness, Limit of Detection (LOD) and Limit of Quantification (LOQ) as per guidelines of ICH Q2A and Q2B [22-23].
Linearity
A series of solutions over the range of 2,4,6,8,10,12,20,40,80,100 and 120 μg/ml for Canagliflozin were prepared and 20μl of each solution was injected into HPLC system and peak area of the chromatogram was noted. Calibration curve was plotted against the concentration of the solutions on the x-axis and corresponding peak area on the y-axis.
Precision
Precision studies conducted at three levels: Repeatability, Intermission and Reproducibility. Repeatability was carried out by analyzing the sample at Intra and Interday. Inter-day variation was analyzed by selecting minimum three concentrations of the analyte which were 4, 8 and 12 μg/ml. Intra-day analysis was carried on same day, whereas Interday analysis was carried on three different days in replicates of three at the different schedule time. The respective peak areas for different concentrations of Interday and Intraday were reported and % Relative Standard Deviation (RSD) was calculated.
Accuracy
Accuracy method was carried out by standard addition method in which standard addition of Canagliflozin at three different concentration levels of 80%, 100% and 120% was performed in triplicate. Recovery studies carried out by preparing different concentration solution of Canagliflozin (80%, 100% and 120 %) by adding 3.2µg/ml, 4µg/ml and 4.8µg/ml into 4µg/ml (100%) solution of three replicate drug samples. Accuracy of the method is calculated by calculating the % recovery of the Canagliflozin as per the ICH guidelines.
Robustness
Changing the following method parameters flow rate (±0.2 ml/min), temperature (±2%), mobile phase (±2%) and wavelength (±2 nm) determines the robustness of the selected method. A 4μg/ml solution of Canagliflozin was taken and 20μl was injected into the HPLC system to measure its peak area for conducting robustness study.
Limit of detection (lod) and limit of quantification (LOQ)
A limit of detection (LOD) and a limit of quantification (LOQ) were calculated according to the formula:-LOD = 3.3 σ/s and LOQ = 10 σ/s Where, ‘σ’ is the standard deviation of the response‘s’ is the slope of the calibration curve. LOD and LOQ determine the sensitivity of the developed method.
Stress degradation studies
The stability-indicating property of the developed HPLC method carried out by stress studies as per ICH recommended conditions. Stress degradation of Canagliflozin was carried out by forcefully subjecting the bulk sample into acidic, alkaline, oxidative, photolytic and thermal conditions. To study the ability of the developed method is to measure the analyte response in the presence of its degraded products due to stress applied in different conditions [10].
All solutions utilized for this study was diluted from the stock solution prepared and kept with the concentration of 1000μg/ml. Stock solutions further refluxed for 20 min at 80 °C conditions. Sample solution prepared as per the requirement by diluting it with mobile phase.
Acidic degradation
Acidic degradation was performed by taking 0.4 ml of stock solution and treating it with 9 ml of 0.1N HCl for 1 hour in a thermostat maintained at 80 °C in laboratory conditions. The stressed sample was cooled, neutralized with 0.1N NaOH and then diluted with Mobile phase as per the requirement. Diluted solution of 20μl was injected into the HPLC system and its peak area was measured.
Alkali degradation
Alkali degradation performed by taking 0.4 ml of stock solution and treating it with 9 ml of 0.1N NaOH for 1 hour in a thermostat maintained at 80 °C in laboratory condition. The stressed sample was cooled, neutralized with 0.1N HCl and then diluted with Mobile phase as per the requirement. Diluted solution of 20μl was injected into the HPLC system and its peak area measured.
Oxidation
10 ml of the stock solution was taken and transferred into 100 ml round bottom flask. The contents were then mixed with oxidative agent 30% H2O2 90 ml. The reaction mixture was allowed to proceed at high temperature (80 °C) for at least 2 h with intermittent shaking. Then 4 ml of the above solution was cooled and then diluted with 10 ml mobile phase as per the requirement. A volume of 20 µl was injected into the HPLC system to measure peak height, peak area and retention time.
Irradiation with ultraviolet light
100 mg sample powder of Canagliflozin was exposed to UV light (254 nm) for 2 d in neat and clean surface. After the exposure period the material was dissolved in 100 ml Mobile phase. Then the solution was filtered with 0.45 µm using syringe filtration disk. It was suitably diluted to get 40 ppm of Canagliflozin and a volume of 20 µl was injected into the HPLC system to measure peak height, area and retention time.
Thermal degradation
A sample powder of Canagliflozin (100 mg) was exposed to a thermal energy in a hot air oven at a temperature of 80 °C for 48 h. Then the sample material was dissolved in 100 ml Mobile phase, the solution was filtered with syringe filtration disk claimed concentration of 1 mg/ml. Further dilution made to get 40 ppm of Canagliflozin standard solution. Repeat the same procedure for Tablet Canagliflozin and then 20 µl Standard and Sample solution injected into the HPLC system to measure peak height, area and retention time.
Assay of marketed formulation (Tablets)
Weigh and take 20 Canagliflozin tablet, and triturated to and fro to get fine powder. A 100 mg equivalent weight was taken in a 100 ml volumetric flask containing 10 ml mobile phase. The flask is then ultra-sonicated for 20 min and make up the volume with methanol. The tablet sample solution is then filtered through whatman filter paper (No. 41) and from the above solution 10 ml is diluted to 10 ml with diluents so as to get 100µg/ml for the assay. The 0.4 ml of resulting solution B was again filtered and then diluted with 10 ml mobile phase to get Canagliflozin (4µg/ml). Inject 20 µl was injected into the HPLC system to measure peak height, area and retention time.
Method development and optimization
Chromatographic elution of Canagliflozin by reverse-phase liquid chromatographic Method was performed with different trials for optimization of chromatographic condition amide at faster analysis and less time-consuming determination of Canagliflozin. Satisfactory separation and good peak symmetry was observed for Canagliflozin with the mobile phase consisting of Acetonitrile: water (53:47% v/v), using ZORBAX C18 (250×4.6 mm, 5 µm), with the flow rate of 1.0 ml/min, detected at 214 nm. The retention time was observed at 2.36 min, theoretical plate (N) 2753 and US tailing (Tf) 0.99 factors was within the acceptance criteria. The chromatogram of the blank, Standard (STD) Canagliflozin and Tablet Canagliflozin was showed in fig. 2.

Fig. 2: Chromatogram of canagliflozin in optimized condition
Method validation
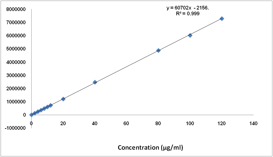
For the Linearity study, series of Canagliflozin solution were primed in the concentration range of 2-12µg/ml, 20μl, 40 µl, 80μl, 100μl and 120μl (fig. 3). The Linearity graph was plotted against peak area vs. concentration. The correlation coefficient of regression value, intercept value was calculated using the formula y=60702x–2156.2 (r2=0.9999) respectively and above-mentioned values were summarized in table 2.

Fig. 3: Calibration curve of canagliflozin at 214 nm wavelength
Table 2: Linearity results
| Conc (μg/ml) | *Mean peak area±SD (% RSD) |
| 0 | 0 |
| 2 | 119239±313.27 (0.26) |
| 4 | 241205±447.42 (0.19) |
| 6 | 357247±745.82 (0.21) |
| 8 | 477162±1129.36 (0.24) |
| 10 | 598350±1692.10 (0.28) |
| 12 | 718368±1613.80 (0.22) |
| 20 | 1199824±3259.30 (0.26) |
| 40 | 2472039±6337.27 (0.26) |
| 80 | 4877656±11126.12 (0.23) |
| 100 | 6021517±10327.08 (0.17) |
| 120 | 7293651±14646.85 (0.20) |
Data expressed as mean±SD; n=3.
The percentage Recovery studies for Canagliflozin is 99.70, 98.54 and 99.21 for 80%, 100% and 120 % and these results are within acceptable limit of 98-102. And its high value of recoveries at different concentrations indicates the proposed method is accurate. The accuracy data of the proposed method is summarized in table 3.
Table 3: Accuracy and precision studies of canagliflozin
| Spiked conc (μg/ml) | Total conc (μg/ml) | *Mean peak area±SD (%RSD) | Drug found (μg/ml) | % Recovery |
| 3.2 (80%) | 7.2 | 433911±680.38(0.16) | 7.18 | 99.70 |
| 4 (100 %) | 8 | 476535±604.22 (0.13) | 7.88 | 98.54 |
| 4.8 (120%) | 8.8 | 527758±804.35 (0.15) | 8.73 | 99.21 |
| Concentration (μg/ml) | Intra-day | Inter-day | ||
| *Mean peak area±SD | % RSD | *Mean peak area±SD | % RSD | |
| 4 | 241531±347.10 | 0.14 | 241349±329.74 | 0.14 |
| 8 | 484159±833.90 | 0.17 | 483258±582.35 | 0.12 |
| 12 | 733163±1266 | 0.17 | 733177±1082.75 | 0.15 |
Data expressed as mean±SD; n=3.
Precision is measured by injecting three replicates of standard solutions (4μg/ml, 8μg/ml and 12μg/ml concentration) within a day at a different time interval. The intra-day and inter-day precision studies (intermediate precision) were carried out. The % RSD values of Intra-day and Inter-day for Canagliflozin are less than 2% (Intra-day 0.14 to 0.17, Inter-day 0.12 to 0.15) which reveal that the proposed method is precise table 3.
Robustness of the method was studied by varying the flow rate, detector wavelength, Column temperature, and change in mobile phase composition within the limited parameter. No palpable change in mean retention time (Rt), mean % assay and %RSD and also assay results are within the acceptable limit of ≤ 2. The tailing factor and plate count were found to be in acceptable limits i.e.,>2500 and<2.0, respectively. The % RSD obtained was 0.10-0.17 for Canagliflozin, which is less than 2.0%, indicating the proposed method is Robust. Summary of robustness report under different conditions (change in flow rate, temperature and wavelength) were summarized in table 4.
Table 4: Result of robustness method canagliflozin (4µg/ml)
| S. No. | Parameters | Condition | *Mean peak area | *Mean peak area±SD (% RSD) |
| 1 | Flow rate | (0.8 ml/min) | 240928 | 241186±286 (0.12) |
| 2 | Flow rate | (1.0 ml/min) | 241494 | |
| 3 | Flow rate | (1.2 ml/min) | 241136 | |
| 4 | Wavelength | 212 nm | 241199 | 241378±158 (0.10) |
| 5 | Wavelength | 214 nm | 241435 | |
| 6 | Wavelength | 216 nm | 241499 | |
| 7 | Temperature | 28 °C | 242063 | 241627±381 (0.15) |
| 8 | Temperature | 30 °C | 241458 | |
| 9 | Temperature | 32 °C | 241359 | |
| 10 | Mobile phase | (55: 45) | 242199 | 241720±421 (0.17) |
| 11 | Mobile phase | (57: 43) | 241409 | |
| 12 | Mobile phase | (59: 41) | 241553 |
Data expressed as mean±SD; n=3.
Analysis of marketed formulation
The Content of Canagliflozin in the PROMINAD 100 mg tablets was determined by the proposed analytical method. The assay value calculated by assaying 6 samples of the Canagliflozin, the percentage value found to be 99.92 with Standard deviation 0.1 and % relative standard deviation of 0.14. The mean concentration of Canagliflozin in the given sample PROMINAD was found to be 99.92 mg (99.92%). The obtained assay values are within the acceptable limit (98-102%) against the amount claimed in the label table 5.
Stress degradation studies
As per the guidelines of ICH, stressed degradation studies were conducted to identify the degradation products and also ability of the drug to withstand the different physical and chemical conditions. A stability study provides information about the standard and degradation products of Canagliflozin. From the stressed stability studies, it was clear that the drug withstands chemical parameters such as acid hydrolysis, alkaline hydrolysis and oxidation. At the same time high amount of degradation was observed in the sample kept on irradiation with UV light. Typical chromatograms obtained following the assay of stress sample are shown in fig. 4. The concentration of the obtained degradation products analogous to the standard Canagliflozin was calculated and reported to be acidic (16.47%), alkaline (7.74%), Oxidative (16.05%), Thermal (16.53%) and Photolytic (16.56%) in case of acid hydrolysis, alkaline hydrolysis, oxidation, thermal and photolytic stability respectively table 6.
Table 5: Assay estimation of canagliflozin in prominad
| Formulation | Labeled claim (mg) | Amount found* (mg) | Recovery*(%) |
| Prominad | 100 | 99.92 | 99.92 |
Data expressed as mean±SD; n=6.
Table 6: Data of stress degradation studies canagliflozin (40µg/ml)
| Stress condition | *Mean peak area | *Drug recovered (%) | *Drug decomposed (%) | Theoretical plate | Tailing factor |
| Standard drug (untreated) | 2413068 | 100 | - | 2753 | 0.998 |
| Acidic degradation | 2015648 | 83.53 | 16.47 | 2711 | 1.012 |
| Alkaline degradation | 2226327 | 92.26 | 7.74 | 2891 | 0.991 |
| Oxidative degradation | 2025698 | 83.95 | 16.05 | 2867 | 1.010 |
| Thermal degradation | 2014175 | 83.47 | 16.53 | 2910 | 1.015 |
| Photolytic degradation | 2013524 | 83.44 | 16.56 | 2887 | 1.022 |
Data expressed as mean±SD; n=3.

Fig. 4: Chromatogram of canagliflozin in photolytic degradation A-Blank, B-Standard, C-Acidic, D-Alkaline, E-Oxidative, F-Thermal, G-Photolytic degradation
In this research work the developed methods can be adopted for the determination of Gliflozin derivatives with common solvent system which utilizes low % organic solvents with a higher retention rate continually. Chromatographic separation of Canagliflozin using RPHPLC parameters have been optimized and validated as per ICH guidelines with aid of utilizing various % compositions of organic solvents as mobile phase. Persistent Retention time with higher retention rate and good peak symmetry for Canagliflozin obtained with ACN: H2O (53:47 % v/v) at a flow rate of 1 ml/min at 214 nm. Retention time was found to be 2.36 min Incessant of this Retention time assures the uniqueness of our method compared to various reported methods by researchers [8-14]. Based on statistical evidence of Linearity, accuracy and Precision, the % RSD values regret that our method is Unique, specific, sensitive and accurate for the assay of Canagliflozin.
The research work initiate to be promising and less time-consuming with minimum amount of solvent utilization for method development compared to previous submitted research work. The developed method proved that the method is specific, accurate, precise, rugged and robust for Gliflozin derivatives. Stress degradation studies revealed that Canagliflozin withstands the acidic, alkaline, oxidation condition at the same time Photolytic degradation occurs over a period of time if the drug is exposed to UV radiation. The developed method and obtained statistical data manifested that designed protocol is simple, rapid and economical for estimation of Canagliflozin API and pharmaceutical formulation.
The authors felt grateful and happy the way we received support from Anjuman-I-Islam Kalsekar Technical Campus School of Pharmacy, allowing us to conduct the research work in their Central Instrument Room (CIR).
Nil
All authors have contributed equally.
Declared none
Harsharan PS, Ishpreet K, Gunjan S. Sodium-glucose co-transporters-2 (SGLT2) inhibitors as a new class of anti-diabetic drugs: pharmacokinetics, efficacy and clinical significance. Int J Pharm Sci Rev Res 2015;33:40-7.
Wright EM, Turk E. The sodium/glucose co-transport family SLC5. Pflugers Arch 2004;447:510-8.
Nair S, Wilding JP. Sodium-glucose co-transporter 2 inhibitors as a new treatment for diabetes mellitus. J Clin Endocrinol Metab 2010;95:34-42.
Misra M. SGLT2 inhibitors: a promising new therapeutic option for treatment of type 2 diabetes mellitus. J Pharm Pharmacol 2013;65:317-27.
Strojek K, Yoon KH, Hruba V. Effect of dapagliflozin in patients with type 2 diabetes who have inadequate glycaemic control with glimepiride: a randomized, 24-week, double-blind, placebo-controlled trial. Diabetes Obesity Metab 2011;13:928-38.
Kim Y, Babu AR. Clinical potential of sodium-glucose cotransporter 2 inhibitors in the management of type 2 diabetes. Diabetes Metabolism Syndrome Obesity 2012;5:313-27.
https://www.accessdata.fda.gov/drugsatfda_docs/nda/2019/204042Orig1s032TOC.cfm [Last accessed on 02 Jan 2021]
Muzaffar I, Nasr YK, Amer MA, Khalid A Al-R. A simple and sensitive high-performance liquid chromatography assay with a fluorescence detector for determination of canagliflozin in human plasma. Anal Methods 2015;7:3028-35.
Suneetha, D Sharmila. A validated stability indicating RP-HPLC method for estimation of canagliflozin in dosage form. Res J Pharm Biol Chem Sci 2015;6:1186-94.
Ishpreet K, Sharad W, Harsharan PS, Satish M. Development and validation of a stability-indicating reverse phase HPLC-PDA method for determination of canagliflozin in bulk and pharmaceutical dosage form. Pharm Methods 2016;7:54-62.
Sonia D, Muddu K, Gude SS, Vasantharaju SG. Stability indicating assay method development and validation to simultaneously estimate metformin hydrochloride and canagliflozin by RP-HPLC. Curr Trends Biotechnol Pharm 2016;10:334-42.
Deepak G, Patil RN, Mangesh H. A validated stability-indicating RP-HPLC method for simultaneous determination of metformin and canagliflozin in pharmaceutical formulation. World J Pharm Pharm Sci 2015;4:631-40.
Uttam PP, Sunil KR. A novel validated RP-HPLC-DAD method for the simultaneous estimation of metformin hydrochloride and canagliflozin in bulk and pharmaceutical tablet dosage form with forced degradation studies. Orient J Chem 2015;31:1489-507.
Nareddy PR, Naga TC. RP-HPLC method development and validation for the simultaneous estimation of metformin and canagliflozin in tablet dosage form. Int J Pharm Sci 2015;5:1155-9.
Muzaffar I, Nasr YK, Amer MA, Khalid A. A simple and sensitive high performance liquid chromatography assay with a fluorescence detector for determination of canagliflozin in human plasma. Anal Methods 2015;7:3028-35.
Ishpreet K, Sharad W, Harsharan PS. Development and validation of a stability-indicating high-performance thin-layer chromatography (HPTLC) method for estimation of canagliflozin in bulk and pharmaceutical dosage form. J Appl Pharm Sci 2016;6:51-7.
Ishpreet K, Sharad W, Harsharan PS, Satish M. Development and validation of UV spectroscopic method for determination of canagliflozin in bulk and pharmaceutical dosage form. Pharmaceutical Methods 2015;6:82-6.
Nirali DP, Darshil BS, Dilip GM. Development and validation of UV spectrophotometric estimation of canagliflozin in its pharmaceutical dosage form. Int J Pharm Technol 2015;7:9779-84.
Iqbal M, Ezzeldin E, Al-Rashood KA. Rapid determination of canagliflozin in rat plasma by UHPLC–MS/MS using negative ionization mode to avoid adduct-ions formation. Talanta 2015;132:29-36.
Dudhe PB, Kamble MC. RP-HPLC method development and validation for the determination of canagliflozin in human plasma. Int J Pharm Res Technol 2016;9:174-81.
Kobuchi S, Yano K, Ito Y, Sakaeda T. A validated LC-MS/MS method for the determination of canagliflozin, a sodium-glucose co-transporter 2 (SGLT-2) inhibitor, in a lower volume of rat plasma: application to pharmacokinetic studies in rats. Biomed Chromatography 2016;30:1549-55.
ICH guideline Q1A (R2). Stability testing of new drug substances and products. ICH; 2003. Available from: https://www.ich.org/fileadmin/Public_Web_Site/ICH_Products/Guidelines/Quality/Q1A_R2/Step4/Q1A_R2__Guideline.pdf [Last accessed on 02 Jan 2021]
ICH guideline Q2 (R1). Validation of analytical procedures: text and methodology. ICH. 2005. Available from: http://www.ich.org/ fileadmin/Public_Web_Site/ICH_ Products/Guidelines/Quality/ Q2_R1/Step4/Q2_R1__Guideline.pdf [Last accessed on 02 Jan 2021].