
1Department of Chemistry, NRI Institute of Technology, Agiripalli, Andhra Pradesh, India, 2Principal, Government Degree College, Eluru, Andhra Pradesh, India
Email: rajarajeswarit865@gmail.com
Received: 27 Jul 2021, Revised and Accepted: 08 Sep 2021
ABSTRACT
Objective: This evaluation study aims to initiate a relatively sensitive RP-HPLC quantifiable technique for evaluating pregabalin (PRBN) and etoricoxib (ETRB) combination in tablet and bulk kinds.
Methods: PRBN and ETRB chromatographic evaluations were carried off using the “KNAUER C18 Eurospher II column (250 mm × 4.6 mm × 5 μ)”. The mobile phase (MBP) was driven into the KNAUER C18 Eurospher II column at a 1.0 ml/min run rate with an isocratic elution programme of 65% volume of 0.5 mmol sodium perchlorate 35% volume methanol, detected and evaluated the PRBN and ETRB content at 217 nm.
Results: The analysis of PRBN and ETRB is executed inside a run period of 15 min. The RP-HPLC quantifiable technique was developed to separate PRBN and ETRB and likely degradants formed from stress testing by isocratic elution. The RP-HPLC quantifiable technique developed was successfully validated to existing ICH limit guidelines and was confirmed as robust, specific, accurate, selective, precise, sensitive, and linear.
Conclusion: The RP-HPLC quantifiable technique developed here is more valuable and worthy for routine PRBN and ETRB analysis of tablets and bulk kinds.
Keywords: Etoricoxib, Pregabalin, Fixed-dose formulation, RP-HPLC, Stability testing
© 2021 The Authors. Published by Innovare Academic Sciences Pvt Ltd. This is an open-access article under the CC BY license (https://creativecommons.org/licenses/by/4.0/)
DOI: https://dx.doi.org/10.22159/ijap.2021v13i6.42759. Journal homepage: https://innovareacademics.in/journals/index.php/ijap
Etoricoxib (ETRB) assuages inflammation and aching at joints and muscles of patients aged 16 and up who are impaired from rheumatoid arthritis, osteoarthritis, and ankylosing spondylitis [1, 2]. In gout, ETRB can be administered for a brief length of period [3]. ETRB operates by modulating the cyclooxygenase-II enzyme, which contributes to manufacturing a substance recognized as prostaglandin [4]. Inflammation and aching are triggered via prostaglandins, which are secreted at regions of hurt or damage. Lesser prostaglandins are triggered as an outcome of inhibiting the operation of the cyclooxygenase-II enzyme; thus, ETRB assuages inflammation and aching.
Pregabalin (PRBN) is a first-line medicinal drug that significantly eliminates the complaints of many sorts of neuropathic aches (fibromyalgia, peripheral diabetic neuropathy, post-herpetic neuralgia, Chemotherapy-persuaded neuropathic aches in cancer sufferers) with a high extent of safety and success [5-7]. PRBN is a voltage-dammed Ca2+canal antagonist and assists as an antiepileptic and analgesic representative by interacting with the alpha-II-delta subunit [8].
Fixed-dose composition formulation denotes the products encompassing two or more medicinal drugs amalgamated in a single formulation dose [9]. To treat neuropathic persistent back pain, a recently authorized fixed-dose composition formulation of PRBN (75 mg) and ETRB (60 mg) was advised [10]. For PRBN and ETRB combination, no appropriate and consistent RP-HPLC quantitative technique has been mentioned. The wish of this evaluation study is to initiate a simple and relatively sensitive RP-HPLC quantifiable technique for determining PRBN and ETRB combinations in tablet and bulk types with significant accuracy and precision.
Pharmaceutical tablets
Tablets, Etoshine NP, labelled to hold PRBN (75 mg) and ETRB (60 mg) per tablet was used.
Drug materials reference
Cipla Limited (Hyderabad) provided PRBN and ETRB references for this research.
Chemicals
HPLC and Lab reagent grading chemicals-methanol, sodium perchlorate, hydrochloric acid, perchloric acid, peroxide and sodium hydroxide were picked up from Merck chemicals (Mumbai).
Instrument
Combined PRBN and ETRB evaluation was performed utilizing Agilent HPLC 1100 series system fitted with UV detector model G1314A and Agilent chem software.
Conditions of chromatography
Chromatographic partitions and evaluations of PRBN and ETRB were carried off by using the “KNAUER C18 Eurospher II column (250 mm × 4.6 mm ×5μ)”. The mobile phase (MBP) was driven into the KNAUER C18 Eurospher II column at a 1.0 ml/min run rate with an isocratic elution programme consisting of 65% volume 0.5 mmol sodium perchlorate pH 5.0, tuned using 0.1% perchloric acid and 35% volume methanol. The temperature at the KNAUER C18, Eurospher II column, was sustained at 25 ᵒC value with an injection measure of 20 μl volume. The evaluations of PRBN and ETRB were carried off at 217 nm using a UV detector.
Chosen drug solutions
The stock PRBN and ETRB solution of concentration 750 µg/ml PRBN and 600 µg/ml ETRB was formulated with methanol. After that, appropriate dilutions of stock PRBN and ETRB solution in MBP were produced to create workable PRBN and ETRB solutions of concentrations 75 µg/ml PRBN and 60 µg/ml ETRB. Linearity standard samples were formulated in MBP at concentrations 18.75, 37.5, 56.25, 75.0, 93.75, 112.5 and 150 µg/ml for PRBN and 15, 30, 45, 60, 75, 90 and 120 µg/ml for ETRB.
Tablet test solutions
Ten tablets, Etoshine NP, were concisely weighed, and the average weight was calculated. Etoshine NP was crushed, and an Etoshine NP powder containing PRBN (75 mg) and ETRB (60 mg) was concisely weighed and put to a 100 ml volume size volumetric flask. Methanol (60 ml) was included and homogenized over ten min with a sonicator. To produce the stock Etoshine NP solution of concentration 750 µg/ml PRBN and 600 µg/ml ETRB, the total volume size was adjusted up to 100 ml volume size mark using the same. The resultant stock Etoshine NP solution was sieved using a 0.45micron mesh membrane. Appropriate dilutions of stock Etoshine NP solution in MBP were produced to create workable Etoshine NP solutions of concentrations 75 µg/ml PRBN and 60 µg/ml ETRB.
Linearity curves
Linearity standard samples formulated in MBP at concentrations ranging from 18.75-150 µg/ml for PRBN and 15-120 µg/ml for ETRB were chromatographed employing RP-HPLC quantifiable technique developed. The peak responses of PRBN and ETRB were made out. The linearity curves of PRBN and ETRB were made out by applying their relative peak responses. Next, regression equations for PRBN and ETRB curves were built.
Assay of chosen drugs in etoshine tablets
20 μl of workable Etoshine NP solution was injected into the KNAUER C18 Eurospher II column. Chromatographed, the Etoshine NP solution, employing RP-HPLC quantifiable technique developed. Peak areas for PRBN and ETRB were worked off from PRBN and ETRB chromatograms. The amount of PRBN and ETRB in Etoshine NP solution was made out from PRBN and ETRB responses.
Stability of chosen two drugs
Stability analysis was performed on stock Etoshine NP solution of concentration 750 µg/ml PRBN and 600 µg/ml ETRB including photo, acidic, thermal, alkaline and oxidation degradation analysis [11, 12].
Acid hydrolysis test
Ten ml of stock Etoshine NP solution (concentration-750 µg/ml PRBN and 600 µg/ml ETRB) was put to a 100 ml volume size volumetric flask. Ten ml HCl (strength-0.1N) was included and mixed over 30 min with a sonicator. This acid hydrolysis test was made out at room temperature. The complete volume size was adjusted up to 100 ml volume size mark using MBP.
Photo hydrolysis test
Etoshine NP powder containing PRBN (75 mg) and ETRB (60 mg) was concisely weighed and exposed for over 6 hr to sunlight. The sample was made out as detailed in the subsection "Tablet PRBN and ETRB solutions" after 6 h of exposure.
Alkaline hydrolysis test
Ten ml of stock Etoshine NP solution (concentration-750 µg/ml PRBN and 600 µg/ml ETRB) was put to a 100 ml volume size volumetric flask. Ten ml NaOH (strength-0.1N) was included and mixed over 30 min with a sonicator. This alkaline hydrolysis test was made out at room temperature. The complete volume size was adjusted up to 100 ml volume size mark using MBP.
Peroxide oxidation test
Ten ml of stock Etoshine NP solution (concentration-750 µg/ml PRBN and 600 µg/ml ETRB) was put to a 100 ml volume size volumetric flask. Ten ml peroxide (concentration–3%) was included and mixed over 30 min with a sonicator. This peroxide oxidation test was made out at room temperature. The complete volume size was adjusted up to 100 ml volume size mark using MBP.
Thermal hydrolysis test
Etoshine NP powder containing PRBN (75 mg) and ETRB (60 mg) was concisely weighed and exposed for over 6 h to 60 °C in the oven. After 6 h of exposure, the sample was made out as portrayed in the “Tablet PRBN and ETRB solutions” section.
Chromatographed the degraded Etoshine NP solutions employing RP-HPLC quantifiable technique developed. Peak areas for PRBN and ETRB were worked off from PRBN and ETRB chromatograms. The degradation values of PRBN and ETRB in degraded Etoshine NP solution were made out from PRBN and ETRB responses.
Validated RP-HPLC quantifiable technique developed utilizing ICH specification criteria [13, 14].
Linearity
Peak responses of PRBN and ETRB with linearity (18.75-150 µg/ml for PRBN and 15-120 µg/ml for ETRB) solutions were obtained simultaneously at 217 nm wavelength underneath the constraints of the assay. Regression equation (PRBN) = y = 8149.5x+12709 and 0.9998 value of correlation coefficient for concentration scope 18.75 to 150 µg/ml. Regression equation (ETRB) = y = 7905.6x+8619.8 and 0.9993 value of correlation coefficient for concentration scope 15-120 µg/ml.
Limit of detection and limit of quantification
Our method's sensitivity was checked by evaluating the limits of detection for PRBN and ETRB and the limits of quantitation PRBN and ETRB. Our calculations are dependent on the relevant ICH-based equations [10]. The limit of detections was weighed as 1.206 µg/ml (PRBN) and 1.253 µg/ml (ETRB). The limit of quantifications was considered as 3.979 µg/ml (PRBN) and 4.136 µg/ml (ETRB).
Precision
To check out the precision, the workable PRBN and ETRB solutions of concentrations 75 µg/ml PRBN and 60 µg/ml ETRB was evaluated using RP-HPLC quantifiable technique developed on an identical day (intraday-precision) and two days (interday-precision). The RSD for the PRBN and ETRB peak responses were worked off (table 1).
Table 1: PRBN and ETRB’s precision
| Precision | PBRN response at 75 µg/ml | ETRB response at 60 µg/ml |
| Intraday-precision | 630625.0 | 491847.5 |
| 627086.5 | 499362.1 | |
| 627876.4 | 497485.6 | |
| 631005.7 | 499671.5 | |
| 635241.9 | 498710.2 | |
| 632305.8 | 495362.5 | |
| Mean (n1)/SD | 630690/2977.79 | 497073/3002.48 |
| RSD | 0.472 | 0.604 |
| Interday-precision day 1 | 629730 | 492262 |
| 624936 | 501181 | |
| 624467 | 502198 | |
| Mean (n2)/SD | 626377/2912.47 | 498547/5466.81 |
| RSD | 0.465 | 1.097 |
| Interday-precision day 2 | 625034 | 492925 |
| 632006 | 492452 | |
| 631282 | 494805 | |
| Mean (n2)/SD | 629441/3833.42 | 493394/1244.45 |
| RSD | 0.609 | 0.252 |
n1 = six experiments; n2 = three experiments
Ruggedness
The workable PRBN and ETRB solutions (concentrations 75 µg/ml PRBN and 60 µg/ml ETRB) were evaluated using the RP-HPLC quantifiable technique developed to check out ruggedness an identical day by two analysts. The RSD for the PRBN and ETRB peak responses were worked off for two analysts (table 2).
Recovery and selectivity
The accuracy of the RP-HPLC quantifiable technique developed is calculated using the conventional addition procedure. The workable Etoshine NP solution (concentration-75 µg/ml PRBN and 60 µg/ml ETRB) was given a standard PRBN and ETRB solution with three different quantities. Following that, a general RP-HPLC quantifiable technique developed was employed to evaluate the final Etoshine NP solutions. The recoveries for the PRBN and ETRB added in the Etoshine NP solution were worked off (table 3).
Specificity
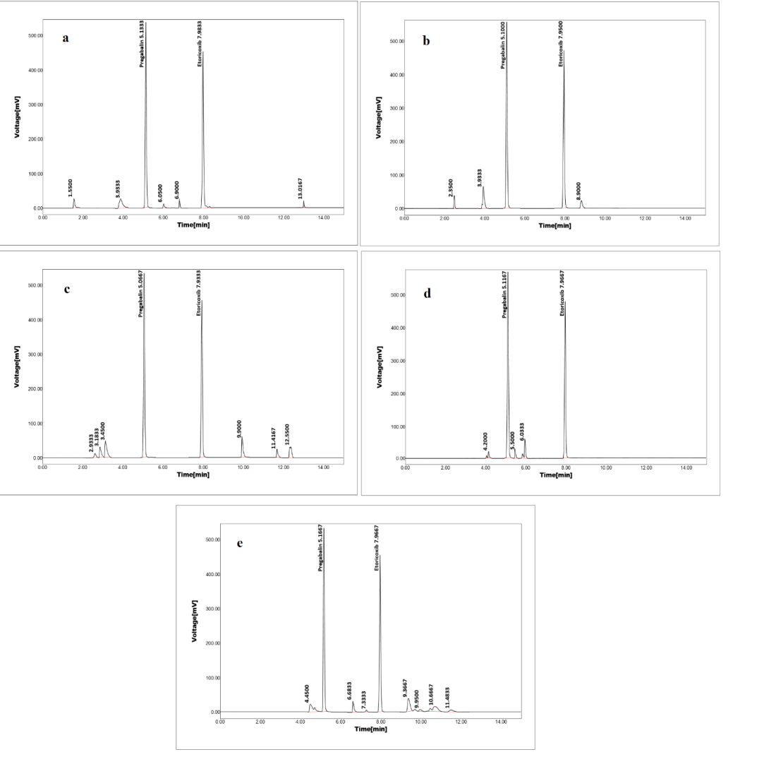
Specificity of the method was revealed by quantifying PRBN and ETRB in Etoshine NP solution in the companionship of likely degradation products formed during acid hydrolysis test, alkaline hydrolysis test, photo peroxide hydrolysis test and thermal hydrolysis test. In the acid hydrolysis test, 8.79% of PRBN and 9.90% of ETRB were degraded. PRBN was degraded by 5.98%, and ETRB was degraded by 5.69% in the alkaline hydrolysis test. 9.39% of PRBN and 9.87% of ETRB were degraded while degradation utilizing peroxide. In photo hydrolysis and thermal hydrolysis tests, PRBN was degraded by 8.03% and 5.04%, respectively, while ETRB was degraded by 12.93 and 5.36%, respectively.
The additions detections and their retention period times were displayed in chromatograms (fig. 1) of acid hydrolysis test, alkaline hydrolysis test, photo hydrolysis test, peroxide hydrolysis test and thermal hydrolysis test.

Fig. 1: Chromatograms of PRBN and ETRB in Etoshine NP solution after [a] acid hydrolysis test [b] alkaline hydrolysis test [c] peroxide hydrolysis test [d] thermal hydrolysis test [e] photo hydrolysis test
Table 2: PRBN and ETRB’s ruggedness
| Analyst | PBRN response at 75 µg/ml | ETRB response at 60 µg/ml |
| 1st person | 627746 | 490578 |
| 631542 | 497347 | |
| 630882 | 499255 | |
| Mean (n)/SD | 630057/2028.19 | 495727/4559.66 |
| RSD | 0.322 | 0.920 |
| 2nd person | 622691 | 493683 |
| 627974 | 491354 | |
| 626574 | 493004 | |
| Mean (n)/SD | 625746/2737.34 | 492680/1197.60 |
| RSD | 0.437 | 0.243 |
n = three experiments
Table 3: PRBN and ETRB’s recovery
| Level added | PBRN concentration added in µg/ml | PBRN response | PBRN determined | PBRN recovery |
| 50% | 37.5 | 311668.6 | 37.362 | 99.632 |
| 37.5 | 311405.9 | 37.331 | 99.548 | |
| 37.5 | 312144.1 | 37.419 | 99.784 | |
| 100% | 75 | 624062.1 | 74.268 | 99.024 |
| 75 | 624805.8 | 74.357 | 99.142 | |
| 75 | 626211.1 | 74.524 | 99.365 | |
| 150% | 112.5 | 923349.1 | 111.742 | 99.326 |
| 112.5 | 924111.4 | 111.834 | 99.408 | |
| 112.5 | 920643.9 | 111.414 | 99.035 | |
| Mean (n)/SD for recovery | 99.396/0.264 | |||
| RSD for recovery | 0.266 | |||
| Level added | ETRB concentration added in µg/ml | ETRB response | ETRB determined | ETRB Recovery |
| 50% | 30 | 239435.8 | 29.740 | 99.134 |
| 30 | 240353.6 | 29.854 | 99.514 | |
| 30 | 239626.6 | 29.764 | 99.213 | |
| 100% | 60 | 494994.3 | 59.775 | 99.625 |
| 60 | 493459.0 | 59.590 | 99.316 | |
| 60 | 494085.0 | 59.665 | 99.442 | |
| 150% | 90 | 717624.8 | 89.102 | 99.002 |
| 90 | 719871.9 | 89.381 | 99.312 | |
| 90 | 718965.8 | 89.268 | 99.187 | |
| Mean (n)/SD for recovery | 99.305/0.196 | |||
| RSD for recovery | 0.198 |
n = nine experiments
Table 4: PRBN and ETRB’s robustness
| Parameter | Condition changed | PBRN response | ETRB response |
| Standard | No variation | 630213 | 496857 |
| MBP 1 | 60% volume methanol: 40% volume 0.5 mmol sodium perchlorate | 628810 | 494578 |
| MBP 2 | 70% volume methanol: 30% volume 0.5 mmol sodium perchlorate | 624160 | 495499 |
| Mean (n)/SD for response | 627728/3168.33 | 495645/1146.46 | |
| RSD for response | 0.505 | 0.231 | |
| Standard | No variation | 630213 | 496857 |
| pH 1 | 0.5 mmol sodium perchlorate pH 5.0 | 625331 | 501453 |
| pH 2 | 0.5 mmol sodium perchlorate pH 5.2 | 625203 | 493467 |
| Mean (n)/SD for response | 626916/2856.29 | 497259/4008.15 | |
| RSD for response | 0.456 | 0.806 | |
| Standard | No variation | 630213 | 496857 |
| Wavelength 1 | 212 nm | 626636 | 493506 |
| Wavelength 1 | 222 nm | 628121 | 494413 |
| Mean (n)/SD for response | 628323/1797.06 | 494925/1733.25 | |
| RSD for response | 0.286 | 0.350 |
n = three experiments
Table 5: PRBN and ETRB’s content in Etoshine NP
| PBRN concentration mg | PBRN determined | PBRN recovery |
| 75 | 74.792 | 99.723 |
| 75 | 74.436 | 99.248 |
| 75 | 74.499 | 99.332 |
| Mean (n)/SD for recovery | 99.434/0.25 | |
| RSD for recovery | 0.255 | |
| ETRB concentration mg | ETRB determined | ETRB recovery |
| 60 | 59.525 | 99.209 |
| 60 | 59.392 | 98.987 |
| 60 | 59.788 | 99.647 |
| Mean (n)/SD for recovery | 99.281/0.34 | |
| RSD for recovery | 0.338 |
n = three experiments
Robustness
The robustness of our formed methodology was verified by altering some experimental variables such as MBP, pH, and wavelength while running the general analytical procedure. With each variable, the peak areas of PRBN and ETRB and relative percent change were assessed (table 4).
Applicability
The RP-HPLC quantifiable technique developed was exercised with Etoshine NP tablets. The content of PRBN and ETRB in Etoshine NP tablets was worked off (table 5).
The chromatography separation of PRBN and ETRB was worked off, handling different columns of HPLC, various MBP, and various pH values. The appropriate chromatography separation of PRBN and ETRB resulted using “KNAUER C18 Eurospher II column (250 mm × 4.6 mm × 5 μ)” with MBP was driven into KNAUER C18 Eurospher II column at a run rate of 1.0 ml/min with isocratic elution programme consisting of 65% volume 0.5 mmol sodium perchlorate, pH 5.0, tuned using 0.1% perchloric acid and 35% volume methanol. PRBN was eluted at 5.0667 min, whereas ETRB was eluted at 7.9333 min under a similar chromatography setup explained above, resulting in complete separation of PRBN and ETRB. The entire run period is estimated to be 15 min, allowing for a more efficient examination of many samples of PRBN and ETRB during routine investigation [13, 14].
The peak response of PRBN and ETRB in diluent solutions versus the concentration of PRBN and ETRB in diluent solutions showed a consistent favourable, linear association. The PRBN and ETRB’s concentration was linear with strong linearity [15, 16]. The weighed limit of detections and quantifications for PRBN and ETRB imply that the RP-HPLC quantifiable technique developed is extremely sensitive [17].
The reported relative standard variability for the PRBN and ETRB was shorter than 2%, as shown in table 1, demonstrating the high point precision for the RP-HPLC quantifiable technique developed [18]. The close proximity of percent recovery to 100 percent, as visible in table 3, illustrates the RP-HPLC quantifiable technique’s high point accuracy [19]. On the other hand, the inclusion of any excipients in pills has little influence on the findings acquired and hence high selectivity of our RP-HPLC quantifiable technique [19]. The RP-HPLC quantifiable technique developed quantified PRBN and ETRB in the companionship of likely degradation products formed during acid hydrolysis test, alkaline hydrolysis test, photo hydrolysis test, peroxide hydrolysis test and thermal hydrolysis test. Hence proved the high point specificity of our RP-HPLC quantifiable technique [20, 21]. This specificity results also proved high point stability-indicating an aspect of our RP-HPLC quantifiable technique [20, 21]. The low RSD of PRBN and ETRB’s responses indicate that the robustness variations have no massive influence on the analytical output of our RP-HPLC quantifiable technique (table 4).
A simple and relatively sensitive RP-HPLC quantifiable technique for determining PRBN and ETRB combination in tablet and bulk kinds was developed and next completely validated. Using the RP-HPLC quantifiable technique developed, with one single run simultaneous quantitative determination of PRBN and ETRB in the presence of likely degradation products formed during acid hydrolysis test, alkaline hydrolysis test, photo hydrolysis test, peroxide hydrolysis test, and thermal hydrolysis test can be performed.
M. S. Swarna Pushpa was immensely grateful for the cooperation rendered by Dr. Chandra Bala Sekaran, Department of life science, Lalaji Memorial Omega International School (Chennai, Tamilnadu) and Rainbow Pharma Training Labs (Hyderabad, Andhra Pradesh) in recording the HPLC stability methods data for some of the samples used in the present work.
Nil
All the authors have contributed equally.
The authors declared that no conflicts of interest.
Brooks P, Kubler P. Etoricoxib for arthritis and pain management. Ther Clin Risk Manag. 2006;2(1):45-57. PMID 18360581.
Pore Y, Mane M, Mangrule V, Chopade A, Gajare P. Preparation, characterization, and evaluation of the anti-inflammatory activity of etoricoxib loaded soluplus® nanocomposites. Int J App Pharm. 2018;10(6):268-74. doi: 10.22159/ijap.2018v10i6.26042.
Zhang S, Zhang Y, Liu P, Zhang W, Ma JL, Wang J. Efficacy and safety of etoricoxib compared with NSAIDs in acute gout: a systematic review and a meta-analysis. Clin Rheumatol. 2016;35(1):151-8. doi: 10.1007/s10067-015-2991-1, PMID 26099603.
Timur UT, Caron MMJ, Jeuken RM, Bastiaansen-Jenniskens YM, Welting TJM, van Rhijn LW, van Osch GJVM, Emans PJ. Chondroprotective actions of selective COX-2 inhibitors in vivo: A systematic review. Int J Mol Sci. 2020;21(18):6962. doi: 10.3390/ijms21186962, PMID 32971951.
Toth C. Pregabalin: latest safety evidence and clinical implications for the management of neuropathic pain. Ther Adv Drug Saf. 2014;5(1):38-56. doi: 10.1177/2042098613505614, PMID 25083261.
Derry S, Bell RF, Straube S, Wiffen PJ, Aldington D, Moore RA. Pregabalin for neuropathic pain in adults. Cochrane Database Syst Rev. 2019;1:CD007076. doi: 10.1002/14651858.CD007076.pub3, PMID 30673120.
Khajuria K, Gupta S, Dogra DR, Kumar D, Khajuria V. Comparison of pregabalin and nortriptyline on efficacy and safety in postherpetic neuralgia. Asian J Pharm Clin Res. 2021;14:74-6.
Verma V, Singh N, Singh Jaggi A. Pregabalin in neuropathic pain: evidences and possible mechanisms. Curr Neuropharmacol. 2014;12(1):44-56. doi: 10.2174/1570159X1201140117162802, PMID 24533015.
Gupta YK, Ramachandran SS. Fixed-dose drug combinations: issues and challenges in India. Indian J Pharmacol. 2016;48(4):347-9. doi: 10.4103/0253-7613.186200, PMID 27756941.
A clinical trial to study the efficacy and safety of combination drugs of pregabalin prolonged release and etoricoxib in comparison to single therapy of etoricoxib in patients having chronic low back pain in India. Cochrane Library, Available from: https://www.cochranelibrary.com/content?urlTitle=%2Fcentral%2Fdoi%2F10.1002%2Fcentral%2FCN-01904940anddoi=10.1002%2Fcentral%2FCN-01904940andp_p_id= scolariscontentdisplay_WAR_scolariscontentdisplayand_scolariscontentdisplay _WAR_scolariscontentdisplay_action=central-referencesandp_p_ lifecycle=0andp_p_mode=viewandtype=centralandcontentLanguage=. [Last accessed on 20 Jun 2021]
International Conference on Harmonization (ICH). Stability testing of new drug substances and products Q1A. Vol. R2. Geneva, Switzerland; 2003.
Rode DM, Rao NN. A review on development and validation of stability-indicating HPLC methods for analysis of acidic drugs. Int J Curr Pharm Sci. 2019;11:22-33. doi: 10.22159/ijcpr.2019v11i4.34939.
International Conference on Harmonization (ICH). Harmonized tripartite guideline validation of analytical procedures: text and methodology Q2. Vol. R1. Geneva: IFPMA. Switzerland; 2005.
Ravichandran V, Shalini S, Sundaram KM, Rajak H. Validation of analytical methods-strategies and importance. Int J Pharm Pharm Sci. 2010;2:18-22.
de Souza SVC, Junqueira RG. A procedure to assess linearity by ordinary least squares method. Anal Chim Acta. 2005;552(1-2):25-35. doi: 10.1016/j.aca.2005.07.043.
Sanagi MM, Nasir Z, Ling SL, Hermawan D, Ibrahim WA, Naim AA. A practical approach for linearity assessment of calibration curves under the International Union of Pure and Applied Chemistry (IUPAC) guidelines for in-house validation of method of analysis. J AOAC Int. 2010;93(4):1322-30. doi: 10.1093/jaoac/93.4.1322, PMID 20922968.
Sanagi MM, Ling SL, Nasir Z, Hermawan D, Ibrahim WA, Abu Naim A. Comparison of signal-to-noise, blank determination, and linear regression methods for the estimation of detection and quantification limits for volatile organic compounds by gas chromatography. J AOAC Int. 2009;92(6):1833-8. doi: 10.1093/jaoac/92.6.1833, PMID 20166602.
Horwitz W, Albert R. The horwitz ratio (HorRat): A useful index of method performance with respect to precision. J AOAC Int. 2006;89(4):1095-109. doi: 10.1093/jaoac/89.4.1095, PMID 16915851.
Furey A. Method validation: A complex concept. Pharm Methods. 2011;2(1):1-2. doi: 10.4103/2229-4708.81081, PMID 23781421.
Ammann C. Stability studies are needed to define the handling and transport conditions of sensitive pharmaceutical or biotechnological products. AAPS PharmSciTech. 2011;12(4):1264-75. doi: 10.1208/s12249-011-9684-0, PMID 21948319.
Pandya CP, Rajput SJ. Development and validation of stability-indicating method RP-HPLC method of acotiamide. Int J Pharm Pharm Sci. 2018;10(9):1-8. doi: 10.22159/ijpps.2018v10i9.24925.