
Department of Chemistry, P B Siddhartha College of Arts and Science, Vijayawada, A. P.
Email: ranjani.20ranjani@gmail.com
Received: 11 Nov 2021, Revised and Accepted: 03 Jan 2022
ABSTRACT
Objective: The current study focused on the development, validation of Ramipril and Cilnidipine using HPLC and characterization of forced degradation products using LC-MS/MS.
Methods: Simple, accurate, and precise method has been developed for the simultaneous estimation of Cilnidipine and Ramipril in tablet type of dosage form using X-bridge phenyl column (150x4.6 mm, 3.5m) with mobile phase of buffer and Acetonitrile in the 30:70 v/v ratio was pumped through a column with a 1 ml/min flow rate. The buffer used in this process was 0.1 percent tri ethyl amine in 1 lt of water and adjust its pH-2.5 with 0.1 percent ortho phosphoric acid. At ambient temperature, chromatography was isocratically performed and run time was 8 min. 240 nm was the optimized wave length.
Results: Cilnidipine and Ramipril retention times were 2.79 min, 5.11 min. respectively. By injecting the norm six times, device parameters of suitability have been studied and the results were found to be well under the acceptance criteria. This approach offers strong linearity over a range of 2-30 µg/ml Cilnidipine 1-15 µg/ml Ramipril concentrations. The regression coefficient R2>0.999 from the calibrated curve implies that the linearity of the system was within the range.
Conclusion: The system was validated by using HPLC in terms of accuracy, linearity, method precision, accuracy, limit of detection, limit of quantification, robustness, degradation and the degradation products were characterized by using LC-MS/MS.
Keywords: Cilnidipine, Ramipril, Development, Validation, RP-HPLC
© 2022 The Authors. Published by Innovare Academic Sciences Pvt Ltd. This is an open access article under the CC BY license (https://creativecommons.org/licenses/by/4.0/)
DOI: https://dx.doi.org/10.22159/ijap.2022v14i2.43570. Journal homepage: https://innovareacademics.in/journals/index.php/ijap
Cilnidipine is a calcium channel blocker [1]. Cilnidipine is approved to treat hypertension [2]. Accompanied by L-type calcium channel blocking [3] functions, it is a calcium antagonist. Cilnidipine in addition on the L-type calcium channel, unlike other calcium antagonists, it can operate on the N-type calcium channel Cilnidipine reduces blood pressure and is used for the prevention and comorbidity of hypertension [4, 5] Cilnidipine dilates both arterioles and venues due to its blocking action at the L-type and N-type calcium channels, thus reducing the pressure in the capillary bed. Cilnidipine has a mild direct dromotropic effect, effective vasodepressor and arrhythmia-inhibiting effect [6, 7] and vasoselective effect.
Ramipril is a medication used to treat blood pressure, heart failure [8, 9], and kidney disease with diabetes [10, 11] also used to prevent cardiovascular disease [12, 13]. It is fair initial care and it is swallowed by mouth. Headaches [14], dizziness [15, 16], tiredness and cough [17] are typical side effects. Liver complications [18], angioedema [19, 20], kidney problems, and high blood potassium [21, 22]. Use in pregnancy and breastfeeding is not recommended. It is an ACE inhibitor [23] and works by decreasing renin-angiotensin-aldosterone [24] system activity. Fig. 1 shows the chemical structures of Ramipril and Cilnidipine. The aim of the study is to separate the pharma ingredients Ramipril and Cilnidipine by using RP-HPLC and characterization of its degradants using LC-MS/MS.

Cilnidipine Ramipril
Fig. 1: Chemical structures of cilnidipine and ramipril
Chemicals
Acetonitrile, tri ethylamine, orthophosphoric acid and water (HPLC Grade) were bought from Merck India Ltd, Worli, Bombay, India. All APls of Cilnidipine, ramipril were bought from Glenmark pharmaceutical private Ltd, Andheri, Mumbai, India, were procured as reference levels.
Equipment
HPLC
The chromatographic device of Waters e-2695 quaternary pump, PDA detector of 2998 and chromatographic software Empower 2.0 was used.
LC-MS/MS
An HPLC system (waters alliance e2695 model) connected with mass spectrometer [25] QTRAP 5500 triple quadrupole instrument (sciex) was used [26-28].
Chromatographic conditions
Chromatographic separation of drugs Cilnidipine and Ramipril has been carried out in isocratic mode at room temperature using waters X-bridge phenyl column (150x4.6 mm, 3.5 µm). The mixture of 0.1% TEA pH-2.5 adjusted with OPA: acetonitrile in 30:70 v/v with a flow of 1 ml/min was used as the mobile process. The injection volume was 10 μl and at 240 nm the eluents were controlled with a running time of 8 min.
Preparation of buffer
1 ml of tri ethyl amine was transferred into 1 lt of HPLC water and mixed well; adjust the pH-2.5 with OPA. Filtered and degassed [29] through 0.45 μ membrane filter paper.
Selection of mobile phase
Prepared a buffer and Acetonitrile combination (30:70v/v). The selected mobile phase has given sharp peaks with low tailing factor.
Selection of wavelength
The absorption spectra of solution of each Cilnidipine and Ramipril were scanned over a range of 200-400 nm by using spectrophotometer and the spectra were recorded. Two drugs were absorbed maximum at a wavelength of 240 nm.
Preparation of diluent
The mobile phase was used as diluent.
Standard solution preparation
Weighed 20 mg Cilnidipine, 10 mg of Ramipril and transferred into 100 ml volumetric flask. 70 ml diluents was added and sonicated to dissolve for 15 min and made up to the mark with diluents. 5 ml of the above solution was further diluted to 50 ml with diluents.
Validation procedure
As per the guidelines of ICH Q2 (R1) analytical method was validated [30-34] in terms of parameters such as system suitability, method precision, specificity, intermediate precision, linearity, robustness, LOD, LOQ, and durability of forced degradation.
Suitability
To check the performance of the system, system suitability parameters were calculated. The parameters include the count of USP plates, USP tailing [35] and % RSD can be calculated and found to be within the limit.
Specificity
Specificity is the ability to assess unequivocally in the presence of an analyte, other impurities, and elements such as, expedients which may be assumed to be available in the sample and standard solution. It was checked by examining chromatograms of blank standard and the standard spiked [36] with Cilnidipine and Ramipril.
Accuracy
Accuracy is the closeness of the test result to the true value. The therapy was assessed by the study at three different concentration levels. A minimum of three injections have been given at each stage, the percentage recovery and the corresponding standard deviation, and the RSD have been determined.
Precision
The degree of agreement among individual tests results is the precision of an analytical technique. In terms of repeatability, intra-day and intra-day variations, the precision of the present method was evaluated. Analysis of the standards at different time intervals of the same day and on different days was carried out.
Linearity
The Linearity of an analytical method is its ability to obtain result is directly proportional to the analytes concentration. For the evaluation of the linearity range, seven series of standard solution were selected. Using peak area versus concentration of the standard solution, the calibration curve was plotted and the regression equations were measured using the method with the least squares.
LOD and LOQ
LOD is the lowest analyte quantity in the sample that can be detected, while LOQ is the lowest analyte quantity in the sample that can be determined with appropriate accuracy and precision. Based on the calibration curves, LOD and LOQ were separately determined. The LOD and LOQ were calculated according to ICH guidelines as 3.3σ/s and 10σ/s, respectively, where σ/s indicate the ratio of signal to noise.
Robustness
Analytical procedures robustness is a measure of its ability to remain unaffected by small but deliberate variations in parameters of the method and provides an indication of its reliability during normal use. The robustness study was carried out by injecting the standard solution into the HPLC system and modifying the flow rate (±0.2 ml/min), organic phase (±10 percent) of chromatographic conditions. The separation factor and retention time and maximum asymmetry have been measured.
Degradation
Stress degradation should be no interference between the peaks obtained for the forced degradation chromatogram. According to ICH guidelines [37], stress degradation studies were conducted. The peaks of degradation should be well separated and the resolution between the peaks should be at least 1.0 and the peak purity of the principal peaks [38] should pass.
Method development and optimization
Initially, the RP-HPLC system was optimized using an X-Bridge phenyl (150x4.6 mm, 3.5 µm) column. To satisfy the system suitability parameters, a mixture of acetonitrile and TEA (70:30v/v) as the mobile phase (Flow rate 1.0 ml/min) was found to be more appropriate. Table 1 summarizes the optimized chromatographic conditions.
Table 1: Optimized chromatographic conditions
| LC conditions | ||
| Stationary phase | : | X-Bridge phenyl column (150x4.6 mm, 3.5 µm) |
|
Mobile Phase |
: |
Acetonitrile and 0.1% TEA of pH-2.5 (70:30) |
|
Elution mode |
: |
Isocratic Acetonitrile: Buffer = 70:30 % v/v |
| Flow rate | : | 1.0 ml/min, |
| Sample volume | : | 10µl using Rheodyne 7725i injector |
| Oven Temperature | : | Ambient |
| MS conditions | ||
| Interface | : | ESI |
| Operation mode |
: |
MRM |
| Polarity |
: |
Positive |
| Capillary voltage | : | 4 KV |
| Fragmentor voltage | : | 170 V |
| Skimmer voltage | : | 65 V |
| Nebulizer Gas flow |
: |
40 psig |
| Drying gas |
: |
10 L/min |
| Gasoline temperature |
: |
325 °C |
| Detection | : | m/z: 0-800 |
| Data station | : | ABSCIEX |
Tests for method validation
System suitability
To get stable baseline, the HPLC system was stabilized for 60 min. six replicate injections mixture containing 20 µg/ml of Cilnidipine and 10 µg/ml of Ramipril were performed and assessed to check the suitability of the system. From six replication injections, the system suitability parameters were evaluated. The research concludes that the system suitability and outcomes of the HPLC system being used are summarized below in table 2 [39].
Specificity
There was no interference [40] from the blank during the retention time of Cilnidipine and Ramipril. The process is, therefore, specific.
Table 2: Results of system suitability
| System suitability parameter | Acceptance criteria | Cilnidipine | Ramipril | ||||
| Mean | Std Dev | %RSD | Mean | Std Dev | %RSD | ||
| Retention time | NLT 2.0 | 2.79 | 0.010 | 0.35 | 5.129 | 0.007 | 0.13 |
| USP plate count | NLT 2000 | 3741 | 39.484 | 1.06 | 9162 | 49.918 | 0.54 |
| USP Tailing | NMT 2.0 | 1.05 | 0.005 | 0.52 | 0.97 | 0.033 | 1.39 |
| Resolution | NLT 2.0 | - | - | - | 11.72 | 0.054 | 0.46 |
n=6

Fig. 2: Chromatogram of system suitability

Fig. 3: Chromatogram of blank
Linearity
Linearity was calculated by plotting a calibration curve of peak area versus respective concentrations. From this calibration curve it was found that the curve was linear in the concentration range of 2-30 µg/ml of Cilnidipine and 1-15 µg/ml of Ramipril. The regression equations for Cilnidipine were Y=108880.68x+29770.37, and for Ramipril was Y=61305.92x+1881.5, respectively.
Table 3: Linearity data
| Linearity level | Cilnidipine | Ramipril | ||||
| Conc. (µg/ml) | Mean area counts | Std dev | Conc. (µg/ml) | Mean area counts | Std dev | |
| Linearity-1 | 2 | 256890 | 238.854 | 1 | 62716 | 22.942 |
| Linearity-2 | 5 | 621356 | 469.667 | 2.5 | 171818 | 259.485 |
| Linearity-3 | 10 | 1105500 | 916.652 | 5 | 308822 | 15.308 |
| Linearity-4 | 15 | 1711265 | 707.749 | 7.5 | 453374 | 963.735 |
| Linearity-5 | 20 | 2096456 | 600.635 | 10 | 595546 | 281.896 |
| Linearity-6 | 25 | 2771404 | 521.419 | 12.5 | 760828 | 254.772 |
| Linearity-7 | 30 | 3325525 | 223.467 | 15 | 941815 | 300.435 |
| Slope | 108880.68 | 61305.92 | ||||
| Intercept | 29770.37 | 1881.5 | ||||
| % RSD | 0.999 | 0.9992 | ||||


A B
Fig. 4: Linearity plot of (A) Cilnidipine and (B) Ramipril
Accuracy
The accuracy of the method was performed by calculating the recovery experiments at three levels (50 percent, 100 percent 150 percent). APls were prepared at concentrations of 10, 20, and 30 µg/ml of Cilnidipine and 5, 10, 15 µg/ml of Ramipril, respectively. For each spike level, the test solution was injected three times and an assay was performed as per the test method. The recovery results were close to 100 percent and the RSD values were less than 2 percent. Recovery values showed that, within the desired range, the method was accurate. The results were summarized below in table 4 [41].
Precision
In terms of intra-day and inter-day differences, the accuracy of this method was assessed. Six repeated analyses of the standard solution of Cilnidipine and Ramipril on the same day under the same experimental conditions were used to determine intraday studies. In the same laboratory, the intermediate precision of the method was carried out by studying the analysis with different analysts with different instruments. As the each concentration level, good recovery values were obtained, indicating that the procedure was accurate.
Table 4: Results of accuracy
| Accuracy level | Cilnidipine | Ramipril | ||
| %Recovery | Std dev | %Recovery | Std dev | |
| 50% | 100.1 | 0.294 | 98.8 | 0.525 |
| 100% | 99.7 | 0.401 | 99.8 | 0.243 |
| 150% | 99.8 | 0.071 | 99.4 | 0.365 |
n=3
Table 5: Results of precision
| Parameter | Cilnidipine | Ramipril | ||||
| Mean % recovery | Std dev | Conc. (µg/ml) | Mean % recovery | Std dev | Conc. (µg/ml) | |
| Method precision | 99.7 | 0.231 | 20 | 100.3 | 0.153 | 10 |
| Intermediate precision | 99.1 | 0.782 | 20 | 100.4 | 0.451 | 10 |
n=6
LOD and LOQ
Using the calibration curve process, LOD and LOQ were calculated separately. By injecting a progressively lower concentration of standard solution using the established RP-HPLC process, the LOD and LOQ of the compounds were calculated. The LOD values of Cilnidipine and Ramipril were 0.6µg/ml, 0.3µg/ml and s/n values were 6, 3 respectively. Cilnidipine and Ramipril LOQ values were 2.0 µg/ml, 1.0 µg/ml s/n values were 26, 24 respectively.
Robustness
As per ICH norms, small but intentional differences were made in the parameters of the method, for instance, like the change in the rate of flow (±0.2 ml/min) and organic phase (±10%) to check the method capacity to remain unaffected [42].
Table 6: Results of robustness
| Change in parameter | Cilnidipine (% RSD) | Ramipril (% RSD) |
| Flow plus (1.2 ml/min | 0.26 | 0.17 |
| Flow minus (0.8 ml/min) | 0.11 | 0.49 |
| Organic plus (77:23) | 0.37 | 0.24 |
| Organic minus (63:37) | 0.45 | 0.36 |
RSD-Relative standard deviation; All the values are presented as Mean (n=3)
Forced degradation
The proposed analytical method can be used for release and stability studies [43] for successful evaluations for and can be considered as a stability-indicating method. The survey of forced degradation [44] was conducted according to ICH guidelines includes acid, base, peroxide, reduction, thermal and hydrolysis degradation [45-47]. From the chromatograms, it is evident that selected drugs were stable under the applied stress conditions though the degradation peaks were obtained. The degradation samples were characterized by using LCMS.
Acid degradation
Acid degradation of Cilnidipine and Ramipril was studied in 1N HCl. 15.1% of Cilnidipine and 15.6% of Ramipril degradation was observed in HPLC, two degradation peaks of D1 and D4 were formed.
Alkali degradation
Alkali degradation of Cilnidipine and Ramipril was studied in 1N NaOH. 14.9% of Cilnidipine and 14.4% of Ramipril degradation were observed in HPLC, two degradation peaks of D1 and D4 were formed.
Peroxide degradation
Peroxide degradation of Cilnidipine and Ramipril was studied in 30% hydrogen peroxide. 13.2% of Cilnidipine and 11.3% of Ramipril degradation was observed in HPLC, two degradation peaks of D2 and D5 were formed.
Reduction degradation
Reduction degradation of Cilnidipine and Ramipril were studied in 30% sodium bisulphate solution. 12.8% of Cilnidipine and 11.7% of Ramipril degradation was observed in HPLC, two degradation peaks of D3 and D6 were formed.
Thermal degradation
In thermal degradation sample was exposed to 105 °C for 6 h, 1.4% Cilnidipine and 2.3% Ramipril degradation was observed in HPLC. No degradation products were formed.
Hydrolysis degradation
Hydrolysis degradation of Cilnidipine and ramipril was observed in HPLC water. 1.2% Cilnidipine and 0.8% Ramipril degradation was observed. No degradation products were formed.
MS/MS degradation product
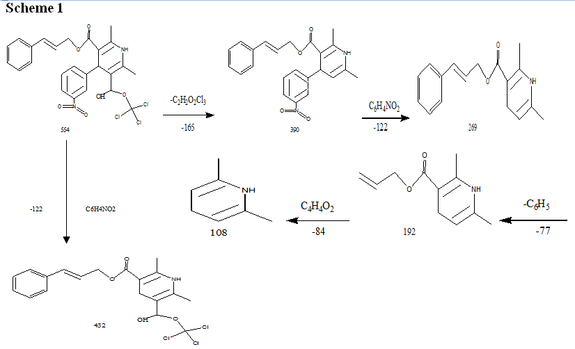
Fig. 6 shows the fragmentation mechanism of degradation product 1 of m/z-554, which was observed under conditions of acid and alkali degradation. Abundant productions are seen on the spectrum at m/z-432 (loss of C6H4NO2 from m/z-554), m/z-390 (loss of C2H2O2C13 from m/z-554), m/z-269 (loss of C6H4NO2 from m/z-390), m/z-192 (loss of C6H5 from m/z-269) and m/z-108(loss of C4H4O2 from m/z-192). The proposed structures were confirmed by the MS/MS experiments in combination with precise mass measurements.
MS/MS degradation product
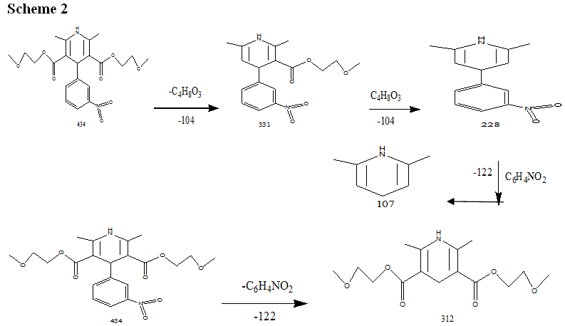
Fig. 7 shows the degradation product 2 fragmentation mechanism of m/z-434 observed under the condition of peroxide degradation. Abundant productions are seen on the spectrum at m/z-331 (loss of C4H8O3 from m/z-434), m/z-228 (loss of C4H8O3 from m/z-331), m/z-107 (loss of C6H4NO2 from m/z-228), m/z-312 (loss of C6H4NO2 from m/z-434). The proposed structures were confirmed by the MS/MS experiments in combined with accurate mass measurements.
Table 5: Results of forced degradation
| Stress condition | Cilnidipine % degradation | Ramipril % degradation |
| Acid degradation | 15.1 | 15.6 |
| Alkali degradation | 14.9 | 14.4 |
| Peroxide degradation | 13.2 | 11.3 |
| Reduction degradation | 12.8 | 11.7 |
| Thermal degradation | 1.4 | 2.3 |
| Hydrolysis degradation | 1.2 | 0.8 |
Data expressed as mean, (n=3)

A

B

C

D

E

F
Fig. 5: Mass spectras of (A) D1 (B) D2 (C) D3 (D) D4 (E) D5 and (F) D6
Collision induced dissociation of cilnidipine and ramipril

Fig. 6: Mechanism for proposed fragmentation of DP1 (m/z-554)

Fig. 7: Proposed fragmentation mechanism of DP2 (m/z-434)

Fig. 8: Proposed fragmentation mechanism of DP3 (m/z-404)
MS/MS degradation peak
The fragmentation mechanism of degradation product 3 of m/z-404 observed under the reduction degradation condition is shown in fig. 8. Abundant product ions are seen on the spectrum at m/z-343 (loss of C10H9O2 from m/z-404), m/z-327 (loss of C6H5 from m/z-404), m/z-205 (loss of C6H4NO2 from m/z-327), m/z-122 (loss of C4H4O2 from m/z-205). The MS/MS experiments combined with mass measurements have confirmed the proposed structures.
MS/MS degradation peak
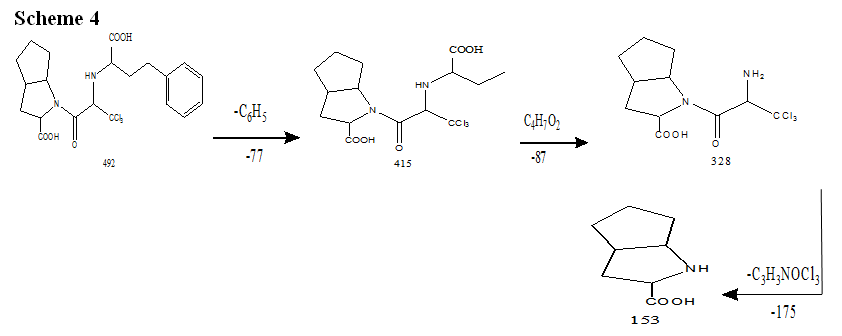
Fig. 9 shows the proposed fragmentation mechanism of degradation product 4 of m/z-492, observed under conditions of acid and alkali degradation. Abundant substance ions are seen on the spectrum at m/z-415 (loss of C6H5 from m/z-492), m/z-328 (loss of C4H7O2 from m/z-415), m/z-153 (loss of C3H3NOCl3 from m/z-328). The MS/MS experiments, combined with accurate mass measurements, have confirmed the proposed structures.

Fig. 9: Mechanism for proposed fragmentation of DP4 (m/z-492)

Fig. 10: Proposed fragmentation mechanism of DP5 (m/z-564)
MS/MS degradation peak
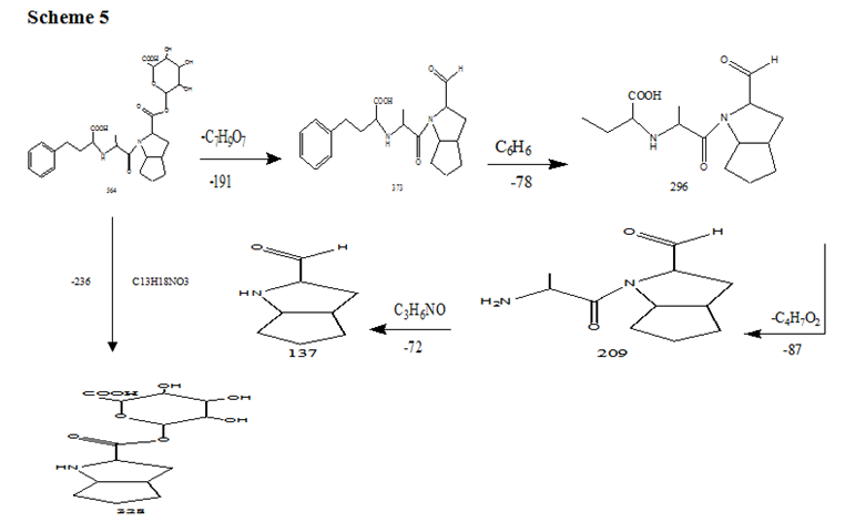
The proposed fragmentation mechanism of degradation product 5 of m/z-564 observed under the condition of peroxide degradation is shown in fig. 10. Abundant productions are seen on the spectrum at m/z-373 (loss of C7H9O7 from m/z-564), m/z-296 (loss of C6H5 from m/z-373), m/z-209 (loss of C4H7O2 from m/z-296), m/z-137 (loss of C3H6NO from m/z-209), m/z-328 (loss of C13H18NO3 from m/z-564). The proposed structures were confirmed by the MS/MS tests in combination with accurate mass measurements.

Fig. 11: Proposed fragmentation mechanism of DP6 (m/z-398)
MS/MS degradation peak
The proposed fragmentation mechanism for degradation product 6 of m/z-398 observed under the reduction degradation condition is shown in fig. 11. The spectrum shows abundant product ions at m/z-293 (loss of C8H9 from m/z-398), m/z-208 (loss of C4H7O2 from m/z-293). The proposed structures were verified in combination with accurate mass measurements by the MS/MS experiments.
In this a novel, simple, fast, economical, sensitive and easily available method of HPLC was developed for the simultaneous determination of Cilnidipine and Ramipril in the form of tablet dosage. The main advantages of this method were there is no HPLC methods were reported. In this method, shorter run time, low price, accessibility, sensitivity, reliability and reproducibility these properties were important when a large number of samples are to be analyzed. The validation of all the parameters like linearity, accuracy, specificity, robustness, stability was done and found to be within the acceptable limit. For all the parameters, RSD were found to be less than 2 percent which the validity of the process is suggested and the results obtained by this process are in good agreement. So the proposed procedure was easily applied for routine analysis and pharmaceutical formulations of Cilnidipine and Ramipril in quality control laboratories without any preliminary separation.
The author was thankful to the management of P B Siddhartha college of Arts and Science for their encouragement and Shree Icon Pharmaceutical Laboratories for providing laboratory equipment.
Nil
All the authors have contributed equally.
Declared none
Mohanakumar S, Telinius N, Kelly B, Hjortdal V. Reduced lymphatic function predisposes to calcium channel blocker edema: a randomized placebo-controlled clinical trial. Lymphat Res Biol. 2020;18(2):156-65. doi: 10.1089/lrb.2019.0028. PMID 31429625.
Poulter NR, Prabhakaran D, Caulfield M. Hypertension. Lancet. 2015;386(9995):801-12. doi: 10.1016/S0140-6736(14)61468-9, PMID 25832858.
Katsura M, Shibasaki M, Hayashida S, Torigoe F, Tsujimura A, Ohkuma S. Increase in expression of alpha1 and alpha2/delta1 subunits of L-type high voltage-gated calcium channels after sustained ethanol exposure in cerebral cortical neurons. J Pharmacol Sci. 2006;102(2):221-30. doi: 10.1254/jphs.fp0060781, PMID 17031067.
Justiniano CF, Evans DC, Cook CH, Eiferman DS, Gerlach AT, Beery PR, Lindsey DE, Saum GE, Murphy CV, Miller SF, Papadimos TJ, Steinberg SM, Stawicki SP. Comorbidity–polypharmacy score: a novel adjunct in post-emergency department trauma triage. J Surg Res. 2013;181(1):16-9. doi: 10.1016/j.jss.2012.05.042, PMID 22683074.
Starfield B, Lemke KW, Bernhardt T, Foldes SS, Forrest CB, Weiner JP. Comorbidity: implications for the importance of primary care in ’case’ management. Ann Fam Med. 2003;1(1):8-14. doi: 10.1370/afm.1, PMID 15043174.
Batra AS, Balaji S. Fetal arrhythmias: diagnosis and management. Indian Pacing Electrophysiol J. 2019;19(3):104-9. doi: 10.1016/j.ipej.2019.02.007, PMID 30817991.
Heist EK, Ruskin JN. Drug-induced arrhythmia. Circulation. 2010;122(14):1426-35. doi: 10.1161/CIRCULATIONAHA.109.894725, PMID 20921449.
McMurray JJ, Pfeffer MA. Heart failure. Lancet. 2005;365(9474):1877-89. doi: 10.1016/S0140-6736(05)66621-4, PMID 15924986.
Von Lueder TG, Atar D, Krum H. Diuretic use in heart failure and outcomes. Clin Pharmacol Ther. 2013;94(4):490-8. doi: 10.1038/clpt.2013.140, PMID 23852396.
Wanner C, Inzucchi SE, Lachin JM, Fitchett D, von Eynatten M, Mattheus M, Johansen OE, Woerle HJ, Broedl UC, Zinman B, EMPA-REG Outcome Investigators. Empagliflozin and progression of kidney disease in type 2 diabetes. N Engl J Med. 2016;375(4):323-34. doi: 10.1056/NEJMoa1515920, PMID 27299675.
Jiang S, Wang Y, Zhang Z, Dai P, Yang Y, Li W. Accuracy of hematuria for predicting non-diabetic renal disease in patients with diabetes and kidney disease: A systematic review and meta-analysis. Diabetes Res Clin Pract. 2018;143:288-300. doi: 10.1016/j.diabres.2018.07.027, PMID 30059756.
Kathiresan S, Srivastava D. Genetics of human cardiovascular disease. Cell. 2012;148(6):1242-57. doi: 10.1016/j.cell.2012.03.001, PMID 22424232.
Hooper L, Martin N, Abdelhamid A, Davey Smith G. Reduction in saturated fat intake for cardiovascular disease. Cochrane Database Syst Rev. 2020;5:CD011737. doi: 10.1002/14651858.CD011737. PMID 32428300
Lewis DW, Dorbad D. The utility of neuroimaging in the evaluation of children with migraine or chronic daily headache who have normal neurological examinations. Headache. 2000;40(8):629-32. doi: 10.1046/j.1526-4610.2000.040008629.x, PMID 10971658.
Bronstein AM, Lempert T. Management of the patient with chronic dizziness. Restor Neurol Neurosci. 2010;28(1):83-90. doi: 10.3233/RNN-2010-0530, PMID 20086285.
Muncie HL, Sirmans SM, James E. Dizziness: approach to evaluation and management. Am Fam Physician. 2017;95(3):154-62. PMID 28145669.
Gibson PG, Ryan NM. Cough pharmacotherapy: current and future status. Expert Opin Pharmacother. 2011;12(11):1745-55. doi: 10.1517/14656566.2011.576249, PMID 21524236.
Tapper EB, Lok AS. Use of liver imaging and biopsy in clinical practice. N Engl J Med. 2017;377(8):756-68. doi: 10.1056/NEJMra1610570, PMID 28834467.
Bernstein JA, Cremonesi P, Hoffmann TK, Hollingsworth J. Angioedema in the emergency department: a practical guide to differential diagnosis and management. Int J Emerg Med. 2017;10(1):15. doi: 10.1186/s12245-017-0141-z, PMID 28405953.
Bas M, Adams V, Suvorava T, Niehues T, Hoffmann TK, Kojda G. Nonallergic angioedema: role of bradykinin. Allergy. 2007;62(8):842-56. doi: 10.1111/j.1398-9995.2007.01427.x, PMID 17620062.
Kovesdy CP. Updates in hyperkalemia: outcomes and therapeutic strategies. Rev Endocr Metab Disord. 2017;18(1):41-7. doi: 10.1007/s11154-016-9384-x, PMID 27600582.
Evans KJ, Greenberg A. Hyperkalemia: a review. J Intensive Care Med. 2005;20(5):272-90. doi: 10.1177/0885066605278969, PMID 16145218.
Thomas MC. Diuretics, ACE inhibitors and NSAIDs-the triple whammy. Med J Aust. 2000;172(4):184-5. doi: 10.5694/j.1326-5377.2000.tb125548.x, PMID 10772593.
Kumar R, Singh VP, Baker KM. The intracellular renin–angiotensin system: implications in cardiovascular remodeling. Curr Opin Nephrol Hypertens. 2008;17(2):168-73. doi: 10.1097/MNH.0b013e3282f521a8, PMID 18277150.
Swati K, Abhishek P, Sushank S, Bothiraja C, Atmaram P. High-performance liquid chromatography for the simultaneous estimation of cefoperazone and sulbactam in rat plasma and its importance in therapeutic drug monitoring. Int J Pharm Pharm Sci. 2020;12:92-7.
Potturi Ramadevi, Kantipudi Rambabu. Bioanalytical method development and validation for ezetimibe and pitavastain and its applications to pharmacokinetic studies in rabbit plasma by using LCMS/MS. ijrps;11(4):7854-62. doi: 10.26452/ijrps.v11i4.4670.
Eluru A. Surendra babu K. Bio analytical method development and validation for Aplidine in rat plasma and their pharmacokinetic studies by LCMS. World J Pharm Pharm Sci. 2019;8:1201-9.
Ramchandran D, Kethipalli A, Mannam K. Bio analytical method development and validation of daunorubicin and cytrarabine in rat plasma by LC-MS/MS and its application in pharmacokinetic studies. J Pharm Sci Res. 2020;12:381-6.
Vijayakumari M, Reddy Ch B. Stability indicating validated hplc method for the determination of zanubrutinib in bulk and pharmaceutical dosage form. Asian J Pharm Clin Res. 2020;13:159-62.
Shalini K, Ilango K. Development, Evaluation and RP-HPLC method for simultaneous estimation of quercetin, ellagic acid and kaempferol in a polyherbal formulation. Int J Appl Pharm. 2021;13:183-92.
Senthil Rajan D, Muruganathan G, Shivkumar K, Ganesh T. Development and validation of hplc method for simultaneous quantification of vasicine, glycyrrhizin and piperine in poly herbal cough syrup. Int J Curr Pharm Res. 2020;12:15-9.
Malak Y, Al-Bathish AA, Gazy MK El-Jamal. Rp-hplc and chemometric methods for the determination of two anti-diabetic mixtures; metformin hydrochloride-canagliflozin and metformin hydrochloride-gliclazide in their pharmaceutical formulation. Int J Pharm Pharm Sci. 2020;12:83-94.
Girija KS, Kasimala BB, Anna VR. A new high-performance liquid chromatography method for the separation and simultaneous quantification of eptifibatide and its impurities in pharmaceutical injection formulation. Int J App Pharm. 2021;13:165-72. doi: 10.22159/ijap.2021v13i2.39895.
Balaji Gupta VLN. T, Venkateswara Rao B, Kishore babu B. RP-HPLC (stability-indicating) based assay method for the simultaneous estimation of Doravirine, tenofovir disoproxil fumarate and lamivudine. Int J Appl Pharm. 2021;13:153-9.
Malathi S, Arunadevi N. Development and validation of stability-indicating simultaneous estimation of metformin and alogliptin in tablets by high-performance thin-layer chromatography. Int J Pharm Pharm Sci. 2020;12:68-73.
Bhavani P, Prasada Rao K, Mohan S. Novel validated reversed-phase high-performance liquid chromatography method for determination of glucosamine, diacerein, and methyl sulfonyl methane in micro-sample rat plasma and its application to pharmacokinetic and dissolution studies. Asian J Pharm Clin Res. 2020;13:50-63. doi: 10.22159/ajpcr.2020.v13i12.36547.
International conference on harmonization. ICH harmonized tripartite guideline. Validation of analytical procedures: text and methodology. Vol. Q2(R1); 2005.
Naresh Kumar DS, Patel D. Stability indicating chromatographic method development and validation for the simultaneous estimation of escitalopram oxalate and flupentixol in its pharmaceutical dosage form by HPLC. WJPR. 2017;6:549-66.
Manoranjani M. A study of method development, validation and forced degradation for simultaneous quantification of cisplatin and fluorouracil in bulk and pharmaceutical dosage form by RP-HPLC. J Pharm Sci and Res. 2021;13:155-61.
Mayanka Singh M, Manoj Charde M, Rajesh Shukla R, Rita MC. Determination of calcipotriene in calcipotriene cream 0.05% w/w by RP-HPLC method development and validation. Research J Pharm and Technol. 2011;4:1219-23.
Hemanth Kumar AK, Sudha V, Vijayakumar A, Padmapriyadarsini C. Simultaneous method for the estimation of bidaquiline and delamanid in human plasma using high -performance liquid chromatography. Int J Pharm Pharm Sci. 2021;13:36-40.
Shanmugasundaram P, Kamarapu S K. RP-HPLC method for the simultaneous estimation and validation of amlodipine besylate and atenolol in bulk and tablet dosage form in biorelevant dissolution medium (Fassif). Research J Pharm and Technol. 2017;10(10):3379-85. doi: 10.5958/0974-360X.2017.00601.1.
Sruthi A, Uttam Prasad P. Stability indicating method development and validation of fimasartan by reverse phase high-performance liquid chromatography in bulk and pharmaceutical dosage form. Asian J Pharm Clin Res. 2021;14:138-46.
Gadhvi MP, Bhandari A, Suhagia BN, Desai UH. Development and validation of RP-HPLC method for simultaneous estimation of atazanavir and ritonavir in their combined tablet dosage form. Research J Pharm and Technol. 2013;6:200-3.
Narasimha S, Lakka NS, Chandrasekar Kuppan C, Kona S, Srinivas KS, Raviteja Yarra R. Separation and characterization of new forced degradation products of dasatinib in tablet dosage formulation using LC–MS and stability-indicating HPLC methods. Chromatographia. 2020;83(8):947-62. doi: 10.1007/s10337-020-03920-0.
kumar AS, Manidipa Debnath, Seshagiri Rao JVLN, Gowri Sankar D. Development and validation of a sensitive RP-HPLC method for simultaneous estimation of rosuvastatin and fenofibrate in tablet dosage form by using PDA detector in gradient mode. Res J Pharm and Tech 2016;9:549-54.
Chavan BB, Vijaya jyothi P, Kalariya PD, Srinivas R, Talluri MVNK, Pradipbhai D Kalariya, et al. Alcaftadine: selective separation and characterization of degradation products by LC-QTOF-MS/MS. Chromatographia. 2018;81(4):631-8. doi: 10.1007/s10337-018-3489-1.