
Department of Chemistry, P B Siddhartha College of Arts and Science, Vijayawada, A. P.
Email: prasadpprasad.36@gmail.com
Received: 15 Nov 2021, Revised and Accepted: 19 Jan 2022
ABSTRACT
Objective: An assay method was developed and validated for the simultaneous estimation of Lercanipine HCl and atenolol using RP-HPLC.
Methods: An effective chromatographic separation was achieved using waters symmetry C18 column of dimensions 150x4.6 mm, 3.5 μm, as a stationary phase. 0.1 percent ortho phosphoric acid and acetonitrile in 50:50 v/v was used as a mobile process with a rate of flow 1 ml/min and UV detection was carried out at 230 nm, respectively. Isocratic chromatography at ambient temperature was performed.
Results: Lercanidipine HCl and atenolol were separated by a running time of around 8 min. at 2.925 min. and 6.482 min. Respectively. By injecting the norm six times, device suitability parameters were studied and the outcomes were well under the acceptance criteria. The linearity analysis was performed at levels ranging from 10% to 150% and the R2 value was found to be 0.999.
Conclusion: Assay method validation was performed by using the marketed formulation and found to be within the limit. Degradation tests were conducted and the degradants were characterized by using LC-MS/MS.
Keywords: Development, Validation, Lercanidipine HCl, Atenolol, LC-MS/MS
© 2022 The Authors. Published by Innovare Academic Sciences Pvt Ltd. This is an open access article under the CC BY license (https://creativecommons.org/licenses/by/4.0/)
DOI: https://dx.doi.org/10.22159/ijap.2022v14i2.43624. Journal homepage: https://innovareacademics.in/journals/index.php/ijap
Lercanidipine is an anti-hypertensive [1, 2] drug and belongs to the calcium channel blocker [3, 4] class of dihydropyridine, which works by relaxing, and by relaxing expanding vessels of blood so that blood can flow around the body more openly it lowers blood pressure and makes it possible for the heart to function more effectively [5]. The medicattion have less adverse effects, but a comparatively high drug interaction potential. Lercanidipine is used to treat hypertension (high blood pressure). Lercanidipine, like other dihydropyridine, is contraindicated in patients with unstable angina [6, 7], uncontrolled heart failure [8, 9], immediately after myocardial infarction [10, 11], and in patients with obstruction of outflow of left ventricular. During and in women who have become pregnant may become pregnant, it is also contraindicated because there is a lack of safety evidence as well as in patients with extreme liver and kidney disease, for the unborn.
Atenolol is a beta-blocker drug [12, 13] used mainly for the treatment of elevated blood pressure and chest pain [14, 15] associated with the heart. However, atenolol does not seem to increase survival in patients with elevated blood pressure [16, 17]. Additional applications include migraine prevention [18] and the treatment of some irregular heartbeats [19]. It is taken by mouth or into a vein by injection. Other serious side effects include bronchospasm [20]. Tired feelings, heart failure, dizziness, anxiety and shortness of breath are common side effect. Use during breastfeeding. Is not recommended and alternative medications are used for breast feeding. It functions by blocking the hearts β1-adrenergic receptors, thereby reducing the heart rate and load. Fig. 1 shows the chemical representations of Lercanidipine HCl and Atenolol. This paper proposes a novel sensitive stability-indicating RP-HPLC procedure for the assessment of Lercanidipine HCl and Atenolol combination. The process proposed enables the rapid assessment of the Lercanidipine HCl and Atenolol in bulk drugs and formulation preparations without sample pre-treatment with high precision and specificity and with no excipient intervention.

Lercanidipine Atenolol
Fig. 1: Chemical structures of lercanidipine HCl and Atenolol
There are some HPLC methods [21-25] reported in the literature, but these methods are developed only for routine analysis of Atenolol and Lercanidipine HCl in bulk and formulation studies. The developed HPLC method was utilized for the estimation of the combined drugs by in vitro method.
Chemicals
Acetonitrile, orthophosphoric acid and water all are of HPLC grade, were purchased from Merck India pvt ltd., Worli, Mumbai, India. APIs of Lercanidipine HCl, atenolol were purchased from Spectrum Parma research solutions pvt ltd., Hyderabad.
Equipment
HPLC
The chromatographic device of Waters quaternary pump alliance e-2695, PDA detector 2998 and chromatographic software Empower-2.0 were used.
LC-MS/MS
An HPLC system (waters alliance e2695 model) connected with mass spectrometer QTRAP 5500 triple quadrupole instrument (sciex) was used [26-28]. By the Empower 2.0 software operation was performed. Working parameters of mass spectrometry after optimization as follows: Ion spray voltage 5500V [29]; temperature source 550 °C; Drying gas temperature 120-250 °C; Collision gas–Nitrogen [30]; Pressure 55psi; Drying gas flow stream-5 ml/min; Delustering potential 40V; Entrance potential 45V; Exit potential 15V; Capillary voltage 5500V and Dwell time 1Sec respectively.
Preparation of buffer
In 1 It of HPLC Water, 1 ml of orthophosphoric acid was dissolved and filter through 0.45 µ filter paper.
Preparation of mobile phase
Acetonitrile and buffer were mixed in 50:50 v/v ratio and sonicated for 5 min. After that filtered it by using 0.45μm membrane filter paper.
Diluent
Mobile phase.
Preparation of standard solution
Standard stock solution of Lercanidipine HCl and Atenolol was prepared by appropriately estimating about 10 mg and 50 mg drug 100 ml volumetric flask. Then the drug was liquified insolvent and filter through a 0.45μ filter. Standard stock solution concentrations of 100μg/ml and 500μg/ml were obtained.
Preparation of the solution for samples
Ten lercanidipine HCl and Atenolol tablets were accurately weighed and triturated to get a fine powder. A 10 mg Lercanidipine HCl and 50 mg Atenolol equivalent weight tablet powder was transferred into a 100 ml volumetric flask and dissolved in the diluent. The solution was ultra-sonicated for 10 min and made the volume with diluent. The tablet sample solution was then filtered through 0.45 micron syringe filter and utilized for preparing sample solution for the assay.
Optimization of chromatographic conditions
Various combinations of mobile phases were screened with respect to resolution, theoretical plate count, tailing and other system suitability parameters. Finally, the separation was performed with freshly prepared mobile step is composed of Acetonitrile and buffer in 50:50 v/v ratio with a 1 ml/min flow rate. Wavelength of 230 nm with injection volume 10 µl and ambient temperature was maintained during the entire process to obtain a symmetric peak of Lercanidipine HCl and Atenolol.
Method optimization
The current study was designed to develop a simple, reliable and rapid analytical RP-HPLC system which can be used to evaluate assay method of current estimation of Lercanidipine and atenolol pharmaceutical and bulk dosages forms. In order to have good results for the assay, the chromatographic conditions were optimized. Different combinations of Lercanidipine and atenolol have been tried to optimize the mobile process. The final working mobile phase was acetonitrile: 0.1 percent OPA at 50:50v/v. Based on its polarity, the mobile phase was selected for each drug. In order to achieve adequate sensitivity for the two smaller proportions of APIs (Lercanidipine and atenolol), the detection was carried out at several wavelengths. Finally, as a detection wavelength, the 230 nm wavelength at which the two drugs showed strong absorbance was chosen. The rate of flow was 1.0 ml/min, which is important as it affects the parameters of peak symmetry. The retention time for Lercanidipine and atenolol was 2.925 min and 6.482 min. Respectively. The suggested approach is checked in compliance with the ICH guidelines [31] and found to be within the limit.
Method validation
In acquiescence with ICH recommendations [32-37], the validity parameters were established.
System suitability
In six replicates, system suitability was achieved by injecting a regular solution containing 10 µg/ml Lercanidipine and 50 µg/ml of Atenolol. The findings suggest that the criteria of system suitability were within the boundaries.
Table 1: Results of system suitability
| System suitability parameter | Acceptance criteria | Lercanidipine HCl | Atenolol | ||||
| Mean | Std Dev | % RSD | Mean | Std Dev | % RSD | ||
| USP Plate count | NLT 2000 | 2475 | 37.113 | 1.50 | 7894 | 59.126 | 0.75 |
| USP Tailing | NMT 2.0 | 1.49 | 0.016 | 1.08 | 1.22 | 0.008 | 0.62 |
| USP Resolution | NLT 2.0 | - | - | - | 13.29 | 0.038 | 0.29 |
| Retention time | NLT 2.0 | 2.916 | 0.008 | 0.28 | 6.476 | 0.008 | 0.12 |
mean±SD (n=6)

Fig. 2: Chromatogram of system suitability

Fig. 3: Chromatogram of blank
Specificity
At the retention time of Lercanidipine HCl and atenolol, no intervention [38] from the blank occurred. The process is also unique.
Linearity
Linearity was determined by plotting a curve between peak areas to its respective concentration. From this calibration curve [39, 40], it was noticed that the curve was linear over the 1-15 µg/ml Lercanidipine and 5-75 µg/ml atenolol concentration range. The calibration curve regression equations were Y= 131823.93x +25289.92 (R2=0.999) for Lercanidipine and Y=78721.38x +26974.78 (R2 = 0.999) for atenolol.
Precision
The precision of this approach was evaluated in terms of inter and intraday variations. The intraday studies were calculated by six repeated tests of the Lercanidipine and atenolol sample solution under the same experimental conditions on the same day. In the same Laboratory, the intermediate precision of this approach was carried out by examining the analysis with various analyst and different instruments [41-43]. As the percent RSD values were found to be<2 percent, the method is highly accurate. At each added concentration, good recovery of the drug was achieved; suggesting that the procedure was successful. Below table represents the outcomes given.
Table 2: Linearity data
| Linearity level | Lercanidipine HCl | Atenolol | ||
| Conc. (µg/ml) | Peak area counts | Conc. (µg/ml) | Peak area counts | |
| Linearity-1 | 1 | 169092 | 5 | 403266 |
| Linearity-2 | 2.5 | 380900 | 12.5 | 1015947 |
| Linearity-3 | 5 | 678518 | 25 | 2004579 |
| Linearity-4 | 10 | 1338064 | 50 | 4026983 |
| Linearity-5 | 12.5 | 1661996 | 62.5 | 5014944 |
| Linearity-6 | 15 | 2012360 | 75 | 5829021 |
| Slope | 131823.93 | 78721.38 | ||
| Intercept | 25289.92 | 26974.78 | ||
| CC | 0.9998 | 0.9997 | ||


A B
Fig. 4: Linearity plot of (A) Lercanidipine HCl and (B) Atenolol
Table 3: Results of precision
| Parameter | Lercanidipine HCl | Atenolol | ||||
| Mean % recovery | Std dev | Conc. (µg/ml) | Mean % recovery | Std dev | Conc. (µg/ml) | |
| Method precision | 100.2 | 0.135 | 10 | 99.8 | 0.105 | 50 |
| Intermediate precision | 99.6 | 0.009 | 10 | 100.8 | 0.134 | 50 |
n=6
Accuracy
By measuring the recovery experiments at three stages (50 percent, 100 percent, and 150 percent), the precision [44-46] of the process was carried out. APls were prepared at concentrations of 5, 10, 15 µg/ml of Lercanidipine and 25, 50, 75 µg/ml of atenolol. For each spike level, the test solution was injected three times and as per the test process, the assay was performed and the RSD values were less than 2 percent. Recovery percentage, mean and relative standard deviation have been determined. Recovery values showed that the approach within the desired range was specific.
Robustness
By varying flow rate and mobile phase composition, the robustness of the chromatographic process was calculated. It was found that RSD was within the appropriate range.
Forced degradation
The forced degradation study [47-49] was carried out according to ICH guidelines, include acid, base, peroxide, reduction, thermal and hydrolysis degradation. From the chromatograms, it is evident that selected drugs were stable under the applied stress conditions though the degradation peaks [50-52] were obtained. The formed degradants were characterized by using LC-MS/MS.
Acid degradation
Acid degradation of Lercanidipine and Atenolol were studied in 1N HCl. 12.6% of Lercanidipine and 14.7% of Atenolol degradation was observed in HPLC. Three degradation peaks were formed.
Alkali degradation
Alkali degradation of Lercanidipine and Atenolol were studied in 1N NaOH. 13.4% of Lercanidipine and 12.1% of Atenolol degradation was observed in HPLC. Three degradation peaks were formed.
Peroxide degradation
Peroxide degradation of Lercanidipine and Atenolol were studied in 30% hydrogen peroxide. 11.8% of Lercanidipine and 13.6% of Atenolol degradation was observed in HPLC. Two degradation peaks were formed.
Reduction degradation
Reduction degradation of Lercanidipine and Atenolol were studied in 30% sodium bisulphate solution. 14.5% of Lercanidipine and 12.3% of Atenolol degradation was observed in HPLC. Two degradation peaks were formed.
Thermal degradation
Sample was exposed to 105 °C for 6 h, 13.3% of Lercanidipine and 14.4% of Atenolol degradation was observed. No degradation products were formed in thermal degradation.
Hydrolysis degradation
Hydrolysis degradation of Lercanidipine and Atenolol was observed in HPLC grade water. 11.2% of Lercanidipine and 15.9% of Atenolol degradation was observed. No degradation peaks were observed in hydrolysis degradation.
Table 4: Results of accuracy
| Accuracy level | Lercanidipine HCl | Atenolol | ||
| % Recovery | Std Dev | % Recovery | Std Dev | |
| 50% | 100.2 | 0.015 | 99.6 | 0.006 |
| 100% | 99.8 | 0.112 | 100.4 | 0.137 |
| 150% | 99.9 | 0.009 | 100.5 | 0.096 |
n=6
Table 5: Results of robustness
| Change in parameter | Lercanidipine (% RSD) | Atenolol (% RSD) |
| Flow plus (1.2 ml/min) | 0.24 | 0.49 |
| Flow minus (0.8 ml/min) | 0.19 | 0.78 |
| Organic plus (55:45) | 0.83 | 0.03 |
| Organic minus (45:55) | 1.03 | 0.5 |
RSD-Relative standard deviation; All the values are presented as Mean, (n=3)
Table 6: Results of forced degradation
| Stress condition | Lercanidipine (%degradation) | Atenolol (%degradation) | ||
| Mean | Std dev | Mean | Std dev | |
| Acid degradation | 12.6 | 0.274 | 14.7 | 0.334 |
| Alkali degradation | 13.4 | 0.512 | 12.1 | 0.275 |
| Peroxide degradation | 11.8 | 0.187 | 13.6 | 0.548 |
| Reduction degradation | 14.5 | 0.356 | 12.3 | 0.228 |
| Thermal degradation | 13.3 | 0.509 | 14.4 | 0.376 |
| Hydrolysis degradation | 11.2 | 0.153 | 15.9 | 0.444 |
n=3
MS/MS degradation product
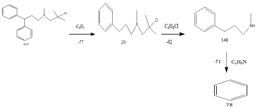
The fragmentation mechanism of degradation product 1of m/z-315 observed under acidic, alkali degradation conditions is shown in fig. 6. Abundant substance ions are seen on the spectrum at m/z-239 (C6H5 LOSS), m/z-148 (C4H8Cl loss), m/z-78 (C4H9N loss). The proposed structures were confirmed by the accurate mass measurements and MS/MS studies.
MS/MS degradation product
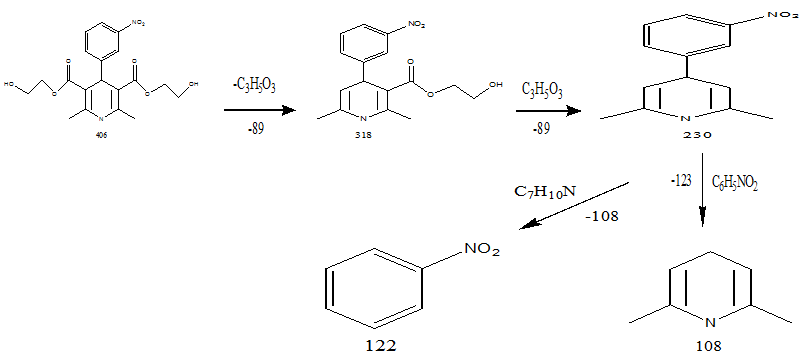
Fig. 7 shows the fragmentation process of degradation product 2of m/z-406, which was observed under conditions of peroxide degradation. Abundant productions are seen on the spectrum at m/z-318 (C3H5O3 loss), m/z-230 (C3H5O3 loss), m/z-122 (C7H10N loss), m/z-108 (C6H5NO2 loss, from m/z-230). The proposed structures were confirmed by the accurate mass measurements, MS/MS studies.

A

B

C

D

E

F

G
Fig. 5: Mass spectras of (A) D1 (B) D2 (C) D3 (D) D4 (E) D5 (F) D6 (G) D7
Collision induced dissociation of lercanidipine and atenolol
Scheme 1

Fig. 6: Mechanism for proposed fragmentation of DP1 of m/z-315
Scheme 2

Fig. 7: Proposed fragmentation mechanism of DP2 of m/z-406
Scheme 3

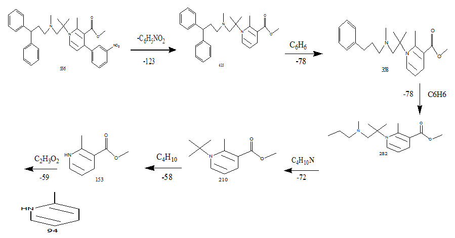
Fig. 8: Proposed fragmentation mechanism of DP3 of m/z-556
MS/MS degradation product
Fig. 8 shows the fragmentation mechanism of degradation product 3 of m/z-556, which has observed under conditions of reduction degradation. Abundant product ions are shown in the spectrum at m/z-435 (C6H5NO2 loss), m/z-358 (C6H5 loss), m/z-282 (C6H5 loss), m/z-210 (C4H10N loss), m/z-153 (C4H9 loss), m/z-94 (C2H3O2 loss). The proposed structures were confirmed by the MS/MS experiments in combination with accurate mass measurements.
MS/MS degradation product
The fragmentation mechanism of degradation product 4 of m/z-243 observed under acidic, alkaline degradation conditions is shown in fig. 9. Abundant substance ions shown on the spectrum at m/z-186 (C2H4NO loss), m/z-76 (C3H7OCl loss), m/z-133 (C3H10Cl loss, from m/z-243). The proposed structures were confirmed by the MS/MS experiments in combination with accurate mass measurements.
Scheme 4

Fig. 9: Proposed fragmentation mechanism of DP4 of m/z-243
Scheme 5

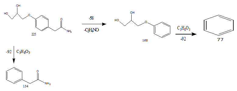
Fig. 10: Proposed fragmentation mechanism of DP5 of m/z-225
MS/MS degradation product
Fig. 10 shows the fragmentation process of degradation product 5 of m z-225, that was observed under conditions of acid, alkali degradation. Abundant substance ions are seen on the spectrum at m/z-168 (C2H4NO loss), m/z-77 (C3H8O3 loss), m/z-134 (C3H8O3 loss, from m/z-225). The proposed structures were confirmed by the MS/MS experiments in combination with accurate mass measurements.
MS/MS degradation condition
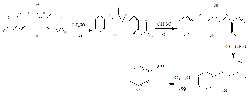
Fig. 11 shows the possible fragmentation mechanism of degradation product 6 of m/z-358, which was observed under conditions of peroxide degradation. Abundant substance ions on the spectrum at m/z-301 (C2H4NO loss), m/z-244 (C2H4NO loss), m/z-151(C6H6O loss), m/z-95 (C3H7O loss). The proposed structures were confirmed by the MS/MS experiments in combination with accurate mass measurements.
Scheme 6

Fig. 11: Proposed fragmentation mechanism of DP6 of m/z-358
Scheme 7

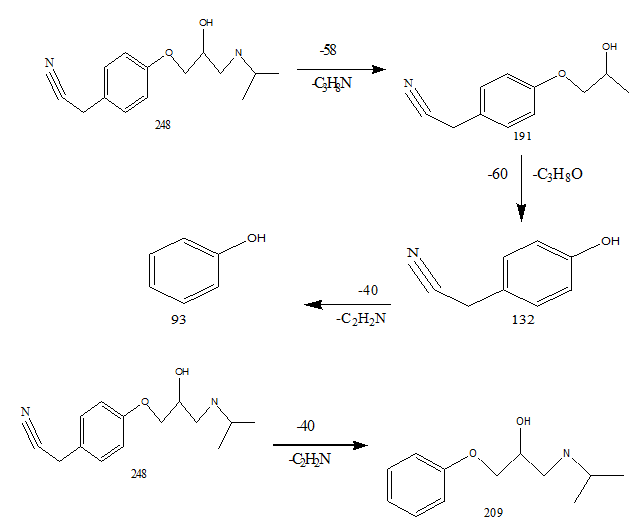
Fig. 12: Proposed fragmentation mechanism for product degradation 7 of m/z-248
MS/MS degradation product
Fig. 12 shows the mechanism of fragmentation of degradation product 7 of m/z-248, which was observed under reduction degradation. The spectrum shows abundant ions of the substance at m/z-191 (loss of C3H8N), m/z-209 (loss of C2H2N), m/z-132 (loss of C3H8O), m/z-93 (loss of C2H2N), the proposed structures were confirmed by accurate mass measurements, MS/MS experiments.
In this study a fast novel, economical, sensitive and easily available method of HPLC has been produced for the simultaneous determination of Lercanidipine and atenolol in bulk and a type of pharmaceutical dosage form. The advantage of this process was no HPLC methods were reported. This method consists of shorter run time, low price, accessibility, sensitivity, reliability and reproducibility. These properties are important when a large number of samples are to be analyzed. The validation of all the parameters like linearity, accuracy, specificity, robustness was done and found to be within the acceptance criteria. The RSD values were found to be less than 2.0 percent for all the parameters, which indicates the validity of the process and the results obtained by this process are seen to be in good agreement. So, the proposed method could be easily used for the routine analysis and pharmaceutical formulations of Lercanidipine and atenolol in quality control laboratories without any preliminary separation.
The author is thankful to the management of P B Siddhartha College of Arts and Science for their encouragement to complete this research work and Shree Icon Pharmaceutical Laboratories, Vijayawada for providing laboratory equipment.
Nil
All the authors have contributed equally.
Declared none
Whelton PK, Williams B. The 2018 European Society of Cardiology/European Society of Hypertension and 2017 American College of Cardiology/American Heart Association Blood Pressure Guidelines: More Similar Than Different. JAMA. 2018;320(17):1749-50. doi: 10.1001/jama.2018.16755, PMID 30398611.
Parekh N, Page A, Ali K, Davies K, Rajkumar C. A practical approach to the pharmacological management of hypertension in older people. Ther Adv Drug Saf. 2017;8(4):117-32. doi: 10.1177/2042098616682721, PMID 28439398.
Tekol Y. The medieval physician Avicenna used an herbal calcium channel blocker, taxus baccata L. Phytother Res. 2007;21(7):701-2. doi: 10.1002/ptr.2173, PMID 17533639.
Sica DA. Calcium channel blocker-related peripheral Edema: Can It Be Resolved? J Clin Hypertens. 2003;5(4):291-5. doi: 10.1111/j.1524-6175.2003.02402.x.
Barrios V, Escobar C, Navarro A, Barrios L, Navarro-Cid J, Calderon A, Laura Investigators. Lercanidipine is an effective and well-tolerated antihypertensive drug regardless the cardiovascular risk profile: The LAURA study. Int J Clin Pract. 2006;60(11):1364-70. doi: 10.1111/j.1742-1241.2006.01176.x, PMID 17073834.
Banks K, Lo M, Khera A. Angina in women without obstructive coronary artery disease. Curr Cardiol Rev. 2010;6(1):71-81. doi: 10.2174/157340310790231608, PMID 21286281.
Vaccarino V. Ischemic heart disease in women: many questions, few facts. Circ Cardiovasc Qual Outcomes. 2010;3(2):111-5. doi: 10.1161/CIRCOUTCOMES.109.925313, PMID 20160161.
Kotecha D, Holmes J, Krum H, Altman DG, Manzano L, Cleland JG, Lip GY, Coats AJ, Andersson B, Kirchhof P, von Lueder TG, Wedel H, Rosano G, Shibata MC, Rigby A, Flather MD, Beta-Blockers in Heart Failure Collaborative Group. Efficacy of β blockers in patients with heart failure plus atrial fibrillation: an individual patient data meta-analysis. Lancet. 2014;384(9961):2235-43. doi: 10.1016/S0140-6736(14)61373-8, PMID 25193873.
Japp D, Shah A, Fisken S, Denvir M, Shenkin S, Japp A. Mineralocorticoid receptor antagonists in elderly patients with heart failure: a systematic review and meta-analysis. Age Ageing. 2017;46(1):18-25. doi: 10.1093/ageing/afw138, PMID 28181634.
Lipinski MJ, Escárcega RO, D’Ascenzo F, Magalhaes MA, Baker NC, Torguson R, Chen F, Epstein SE, Miro O, Llorens P, Giannitsis E, Lotze U, Lefebvre S, Sebbane M, Cristol JP, Chenevier Gobeaux C, Meune C, Eggers KM, Charpentier S, Twerenbold R, Mueller C, Biondi Zoccai G, Waksman R, Baker NC. A systematic review and collaborative meta-analysis to determine the incremental value of copeptin for rapid rule-out of acute myocardial infarction. Am J Cardiol. 2014;113(9):1581-91. doi: 10.1016/j.amjcard. 2014.01.436, PMID 24731654.
Thygesen K, Alpert JS, Jaffe AS, Chaitman BR, Bax JJ, Morrow DA, White HD, Crea F, Van de Werf F, Bucciarelli Ducci C, Katus HA, Pinto FJ, Antman EM, Hamm CW, De Caterina R, Januzzi JL, Apple FS, Alonso Garcia MA, Underwood SR, Canty JM, Lyon AR, Devereaux PJ, Zamorano JL, Lindahl B, Weintraub WS, Newby LK, Virmani R, Vranckx P, Cutlip D, Gibbons RJ, Smith SC, Atar D, Luepker RV, Robertson RM, Bonow RO, Steg PG, O’Gara PT, Fox KAA, Hasdai D, Aboyans V, Achenbach S, Agewall S, Alexander T, Avezum A, Barbato E, Bassand J, Bates E, Bittl JA, Breithardt G, Bueno H, Bugiardini R, Cohen MG, Dangas G, de Lemos JA, Delgado V, Filippatos G, Fry E, Granger CB, Halvorsen S, Hlatky MA, Ibanez B, James S, Kastrati A, Leclercq C, Mahaffey KW, Mehta L, Müller C, Patrono C, Piepoli MF, Piñeiro D, Roffi M, Rubboli A, Sharma S, Simpson IA, Tendera M, Valgimigli M, van der Wal AC, Windecker S, Chettibi M, Hayrapetyan H, Roithinger FX, Aliyev F, Sujayeva V, Claeys MJ, Smajić E, Kala P, Iversen KK, El Hefny E, Marandi T, Porela P, Antov S, Gilard M, Blankenberg S, Davlouros P, Gudnason T, Alcalai R, Colivicchi F, Elezi S, Baitova G, Zakke I, Gustiene O, Beissel J, Dingli P, Grosu A, Damman P, Juliebø V, Legutko J, Morais J, Tatu-Chitoiu G, Yakovlev A, Zavatta M, Nedeljkovic M, Radsel P, Sionis A, Jemberg T, Muller C, Abid L, Abaci A, Parkhomenko A, Corbett S. Fourth universal definition of myocardial infarction (2018). Eur Heart J. 2019;40(3):237-69. doi: 10.1093/eurheartj/ehy462.
Wiysonge CS, Bradley HA, Volmink J, Mayosi BM, Opie LH. Beta-blockers for hypertension. Cochrane Database Syst Rev 2017(1):CD002003. doi: 10.1002/14651858.CD002003.pub5. PMID 17253471.
Larochelle P, Tobe SW, Lacourciere Y. β-Blockers in hypertension: studies and meta-analyses over the years. Can J Cardiol. 2014;30(5)Suppl:S16-22. doi: 10.1016/j.cjca.2014.02.012, PMID 24750978.
Wertli MM, Ruchti KB, Steurer J, Held U. Diagnostic indicators of non-cardiovascular chest pain: a systematic review and meta-analysis. BMC Med. 2013;11:239. doi: 10.1186/1741-7015-11-239, PMID 24207111.
Mussa FF, Horton JD, Moridzadeh R, Nicholson J, Trimarchi S, Eagle KA. Acute aortic dissection and intramural hematoma: a systematic review. JAMA. 2016;316(7):754-63. doi: 10.1001/jama.2016.10026, PMID 27533160.
Tomiyama H, Yamashina A. Beta-blockers in the management of hypertension and/or chronic kidney disease. Int J Hypertens. 2014;2014:1-7. doi: 10.1155/2014/919256, PMID 919256.
DiNicolantonio JJ, Fares H, Niazi AK, Chatterjee S, D’Ascenzo F, Cerrato E, Biondi Zoccai G, Lavie CJ, Bell DS, O’Keefe JH. β-Blockers in hypertension, diabetes, heart failure and acute myocardial infarction: a review of the literature. Open Heart. 2015;2(1):e000230. doi: 10.1136/openhrt-2014-000230, PMID 25821584.
Rajapakse T, Pringsheim T. Nutraceuticals in migraine: a summary of existing guidelines for use. Headache. 2016;56(4):808-16. doi: 10.1111/head.12789, PMID 26954394.
British national formulary. BNF. Vol. 76. Pharmaceutical Press; 2018. p. 151-3.
Haggerty CL, Ness RB, Kelsey S, Waterer GW. The impact of estrogen and progesterone on asthma. Ann Allergy Asthma Immunol. 2003;90(3):284-91. doi: 10.1016/S1081-1206(10)61794-2. PMID 12669890.
Bhatia NM, Gavali AY. Development and validation of method for simultaneous estimation of atenolol and lercanidipine from tablet dosage form by second-order derivative spectroscopy. Asian J Res Chem. 2009;2:398-400.
Kaila HO, Ambasana MA, Thakkar RS, Saravaia HT, Shah AK. A stability-indicating high-performance liquid chromatographic assay for the simultaneous determination of atenolol and lercanidipine hydrochloride in tablets. Indian J Pharm Sci. 2011;73(4):376-80. doi: 10.4103/0250-474X.95612, PMID 22707819.
Gade R, Bandhakavi SR, Ganji R. Method development and validation of stability indicating RP-HPLC method for simultaneous estimation of atenolol and lercanidipine in bulk and its pharmaceutical formulations. Brahma Am J Adv Drug Deliv. 2014;2:752-66.
Bansode PS. Development and validation of lercanidipine hydrochloride and atenolol by using RP-HPLC and UV spectroscopy. Indian J Pharm Pharmacol. 2014;1:37-41.
Jain DK, Patel P, Khan AS, Jain N. Development and validation of a RP-HPLC method for the simultaneous estimation of atenolol and lercanidipine hydrochloride in pharmaceutical dosage forms. Int J Chem Technol Research. 2011;3:766-71.
Rafi S, Rambabu K. Bio-analytical method development and validation of avelumab, axitinib and its application to pharmacokinetic studies in rabbit plasma by using lcms/ms. Int J App Pharm. 2021;13:198-204. doi: 10.22159/ ijap.2021v13i5.42415.
Naveen VMK, Veeraswami B, Srinivasa Rao G. High response bio analytical validation approach of nadolol and bendroflumethiazide by LC-MS/MS on rat plasma. Int J Res Pharm Sci. 2021;12:1-8.
Bhavani P, Prasada Rao K, Mohan S. Novel validated reversed-phase high-performance liquid chromatography method for determination of glucosamine, diacerein, and methyl sulfonyl methane in micro-sample rat plasma and its application to pharmacokinetic and dissolution studies. Asian J Pharm Clin Res. 2020;13:50-63. doi: 10.22159/ajpcr.2020.v13i12.36547.
Naresh Kumar DS, Patel D. Stability indicating chromatographic method development and validation for the simultaneous estimation of escitalopram oxalate and flupentixol in its pharmaceutical dosage form by HPLC. WJPR. 2017;6:549-66.
Supriya T, Naresh D, Vijaya Kumar G, Haneer MA. Stability indicating RP-HPLC method development and validation for simultaneous estimation of escitalopram and flupentixol pure and marketed formulation. Asian J Pharm Res. 2018;8:4-10.
International conference on harmonization. ICH harmonized tripartite guideline. Validation of analytical procedures: text and methodology. Vol. Q2(R1); 2005.
Shivani CP, Maheshwari DG. Development and validation of UV spectrometric and HPLC method for estimation of escitalopram oxalate and flupentixol dihydrochloride in the combined dosage form. AJPTI. 2016;4:59-70.
Balaji Gupta VLN T, Venkateswara Rao B, Kishore Babu B. RP-HPLC (stability indicating) based assay method for the simultaneous estimation of doravirine, tenofovir disoproxil fumarate and lamivudine. Int J Appl Pharm. 2021;13:153-9.
Naykode MD, Bhagwat DA, Jadhav SD, More HN. Analytical and bioanalytical method for quantification of pure azilsartan, not its salts by RP-HPLC. Res J Pharm Technol. 2017;10(3):708-14. doi: 10.5958/0974-360X.2017.00133.0.
Singh M, Charde M, Shukla R, Rita MC. Determination of calcipotriene in calcipotriene cream 0.05% w/w by RP-HPLC method development and validation. Res J Pharm Technol. 2011;4:1219-23.
kumar AS, Manidipa Debnath, Seshagiri Rao JVLN, Gowri Sankar D. Development and validation of a sensitive RP-HPLC method for simultaneous estimation of rosuvastatin and fenofibrate in tablet dosage form by using PDA detector in gradient mode. Research J Pharm Tech. 2016;9:549-54.
Malathi S, Arunadevi N. Development and validation of stability-indicating simultaneous estimation of metformin and alogliptin in tablets by high-performance thin-layer chromatography. Int J Pharm Pharm Sci. 2020;12:68-73.
Ramadevi P, Rambabu K. Bioanalytical method development and validation for ezetimibe and pitavastatin and its application to pharmacokinetic studies in rabbit plasma by using LC-MS/MS. Int J Res Pharm Sci. 2021;11:7854-62.
Malak Y, Al-Bathish AA, Gazy MK El-Jamal. Rp-hplc and chemometric methods for the determination of two anti-diabetic mixtures; metformin hydrochloride-canagliflozin and metformin hydrochloride-gliclazide in their pharmaceutical formulation. Int J Pharm Pharm Sci. 2020;12:83-94.
Vijayakumari M, Reddy Ch B. Stability indicating validated hplc method for the determination of zanubrutinib in bulk and pharmaceutical dosage form. Asian J Pharm Clin Res. 2020;13:159-62.
Gomathy S, Narenderan ST, Meyyanathan SN, Gowramma B. Development and validation of hplc method for the simultaneous estimation of apigenin and luteolin in commercial formulation. Crit Rev. 2020;7:4785-90.
Yarlagadda SR, Mannam SR, Jampani BP. Stability indicating and cost-effective analytical method development and validation of sotorasib by using rp-hplc. Int J App Pharm. 2021;13:154-9. doi: 10.22159/ijap.2021v13i5.42659.
Ramachandran D, Kethipalli A, Mannam K. Bio-analytical method development and validation of daunorubicin and cytarabine in rat plasma by LC-MS/MS and its application in pharmacokinetic studies. J Pharm Sci Res. 2020;12:381-6.
Gadhvi MP, Bhandari A, Suhagia BN, Desai UH. Development and validation of RP-HPLC method for simultaneous estimation of atazanavir and ritonavir in their combined tablet dosage form. Res J Pharm Technol. 2013;6:200-3.
Senthil Rajan D, Muruganathan G, Shivkumar K, Ganesh T. Development and validation of hplc method for simultaneous quantification of vasicine, glycyrrhizin and piperine in poly herbal cough syrup. Int J Curr Pharm Res. 2020;12:15-9.
Rajakumari R, Sreenivasa Rao S. Stress degradation studies and development of a validated RP-HPLC method for determination of tiagabine in the presence of its degradation products. Int J Pharm Pharm Sci. 2016;8:230-6.
Charu Pandya P, Sadhana Rajput J. Development and validation of stability-indicating method RP-HPLC method of acotiamide. Int J Pharm Pharm Sci. 2018;10:1-8.
Athavia BA, Dedania ZR, Dedania RR, Swamy SMV, Prajapati CB. Stability indicating hplc method for determination of vilazodone hydrochloride. Int J Curr Pharm Sci 2017;9(4). doi: 10.22159/ijcpr.2017v9i4.20975.
Swati K, Abhishek P, Sushank S, Bothiraja C, Atmaram P. High-performance liquid chromatography for the simultaneous estimation of cefoperazone and sulbactam in rat plasma and its importance in therapeutic drug monitoring. Int J Pharm Pharm Sci. 2020;12:92-7.
Narasimha S, Lakka NS, Chandrasekar Kuppan C, Kona S, Srinivas KS, Raviteja Yarra R. Separation and characterization of new forced degradation products of dasatinib in tablet dosage formulation using LC–MS and stability-indicating HPLC methods. Chromatographia. 2020;83(8):947-62. doi: 10.1007/s10337-020-03920-0.
Chavan BB, Vijaya Jyothi P, Kalariya PD, Srinivas R, Talluri MVNK, Pradipbhai D Kalariya. Alcaftadine: selective separation and characterization of degradation products by LC-QTOF-MS/MS. Chromatographia. 2018;81(4):631-8. doi: 10.1007/s10337-018-3489-1.
Naykode MD, Bhagwat DA, Jadhav SD, More HN. Analytical and bioanalytical method for quantification of pure azilsartan, not its salts by RP-HPLC. Res J Pharm Technol. 2017;10(3):708-14. doi: 10.5958/0974-360X.2017.00133.0.