
Department of Pharmaceutics, Aditya Bangalore Institute of Pharmacy Education and Research, Yelahanka, Bangalore, 560064, India
Email: padmasree.mpharm@gmail.com
Received: 20 Nov 2021, Revised and Accepted: 06 Jan 2022
ABSTRACT
Objective: Capecitabine is widely used in colorectal cancer treatment and has first-pass metabolism problem. Despite of its promising anticancer potential, capecitabine has not been used due to its poor solubility in water. The purpose of this study was to develop colon targeting capecitabine loaded stealth liposomes, which is a promising technique to avoid first-pass metabolism to achieve the desired bioavailability profile, increased water solubility and sustained release.
Methods: Thin film hydration method was used to prepare capecitabine stealth liposomes. Prepared liposomes were characterized for drug release kinetics, stability studies, cell viability studies to determine the cytotoxic effect and in vivo studies in mice bearing colon carcinoma for evaluation of antitumor potential.
Results: In vitro releases of liposomes were best fitted in the Higuchi matrix kinetic model with an n value from 0.868-0.964, indicating non-fickian release diffusion. Stability data indicated that liposomes were stable for at least 06 mo at 5±3 ° C. inhibiting activity was increased and with a Significant improvement in AUC, MRT and t1/2 observed as 29.65±5.08, µg h/ml for Stealth liposomes compared with the pure capecitabine and the conventional liposomes.
Conclusion: Results suggested that Capecitabine-loaded stealth liposomes can be an effective delivery system for targeting colon cancer.
Keywords: Capecitabine, Stealth liposomes, Colon cancer, Stability, Release kinetic, Sustained release
© 2022 The Authors. Published by Innovare Academic Sciences Pvt Ltd. This is an open access article under the CC BY license (https://creativecommons.org/licenses/by/4.0/)
DOI: https://dx.doi.org/10.22159/ijap.2022v14i2.43658. Journal homepage: https://innovareacademics.in/journals/index.php/ijap
Colon cancer is considered much leading cause of deaths in the world. Colon cancer is a very lethal malignant tumor with an increased incidence rate in 40–50 y of age, associated with high morbidity and mortality worldwide [1, 2]. Colon cancer arises from the epithelial cell lining of the colon or rectum in the gastrointestinal tract (GIT) most often it may be a result of a mutation in the Want signaling pathway that falsely increases signaling activity [3, 4]. For colon cancer Chemotherapy, Radiotherapy, and surgery are the Clinical therapeutic strategies. Chemotherapeutic approaches often suffer from multidrug resistance, poor bioavailability, and high system toxicity, which may result in poor efficacy and significant adverse effects [5, 6]. To overcome these problems, different approaches have been attempted by giving “selective” delivery to the affected area. Targeting the drug to only those tissues, cells or organs, which are affected by the disease, would be a better solution. Presently, taking the response to chemotherapy of cancer drug delivery into consideration, methods like nanoscale systems (liposomes, micelles and nanoparticles) is growing steadily [7].
It has enormous applications, like the increase in drug uptake by cancer-affected cells, controlled drug expulsion, and capacity to boost drug stability and increase liposomes solubility [8, 9]. Their desirability lies in the composition, making them biodegradable and biocompatible [10, 11]. Liposomes are being considered widely as drug delivery systems of potential importance ever since the observation of Bangham and coworkers was published. Liposomes are biocompatible, biodegradable, nonimmunogenic and nontoxic [12, 13]. Liposomes made up of phospholipids are weakly immunogenic, biologically inert with low intrinsic toxicity. Drugs having different lipophilicities can also be encapsulated in the liposomes: strong lipophilic drugs can be entrapped almost completely inside the bilayer of lipid; strong hydrophilic drugs are located specifically in aqueous compartment [14, 15]. Liposomes which are composed of a lipid bilayer are used as drug delivery vehicles. Liposomes on the same molecule have both non-polar and polar groups [16]. On in vivo administration of conventional liposomes, they rapidly get cleared from the blood circulation by the macrophages and monocytes. Unlike the conventional liposomes, with PEGylated liposomes hepatosplenic rapid uptake is avoided [17]. Stealth liposomes delay opsonization because of their biocompatible PEG coating on the surface, and hence have comparatively longer blood circulation time, thus giving a possibility in targeting pathogens which are intercellular and macrophages (which are infected) outside the spleen and liver. PEGylated liposomes after a long-term circulation of blood extravasate into the infected tissues and thus act as drug delivery systems with site-specificity [18, 19].
Poly-ethylene glycols are extensively used in the derivatization of therapeutic peptides and proteins, increasing the drug stability, lowering toxicity, increasing solubility half-life, decreasing immunogenicity and clearance. The PEG presence on the liposomal surface avoids the aggregation of vesicle and helps to improve formulations stability [20, 21].
Capecitabine drug has been approved by the Food and Drug Administration (FDA) for colorectal cancer treatment in the year 2005. It is a pro-drug which can be enzymatically converted into 5-fluorouracil in the tumor cells. This 5-fluorouracil inhibits the Deoxyribonucleic acid (DNA) synthesis and slows down the tumor cell growth gradually. The drug capecitabine has a half-life of 38-45 min with frequent dose administration and causes more of adverse effects like angina, hand-foot syndrome, myocardial infarction, diarrhea, stomatitis, nausea, anemia, thrombocytopenia, and hyperbilirubinemia when used in the conventional dosage form. These problems can be overcome by delivering capecitabine in stealth liposomes which can deliver the drug in a very controlled manner using much of the reduced dosing schedule to increase the therapeutic efficiency [22].
Methods
For the preparation of liposomal formulation, Capecitabine was a received gift sample from Mylon Laboratories, Bangalore, India. DSPC (1,2-dioctadecanoyl-sn-glycero-3-phosphocholine) and PE-PEG 2000(1,2-distearoyl-sn-glycero-3-phosphoethanolamine-N-[methoxy (polyethylene glycol)-2000] (ammonium salt)) were purchased from Lipoid Germany. All other reagents and chemicals used were of the analytical grade.
Cell lines
HCT116 and HT-29 Cell lines were obtained from NCCS, Ganeshkhind, Pune). RPMI supplemented with a 10% FBS, a 1% penicillin and a 0.16% kanamycin was used to culture Cells are grown in the humidified CO2 incubator at a temperature 37 °C.
Animals
Male mice (20 ± 3 g) were purchased from Venkateswara enterprises, Bangalore. All the animal experiments are performed at the Animal Experimental Center of Aditya BIPER. Protocols approvals were taken from proforma B, for the animal studies and were submitted for the IAEC of Aditya Bangalore institute of pharmacy education and research Bangalore. The Approval no. was 1611/PO/Re/S/12/CPCSEA. A standard diet was fed to animals and they had access to the water and the food ad libitum for a week and were kept in the laboratory environment at 25 °C ± 2 temperatures of before the experiment was started.
Preparation of liposomes
Thin film hydration method was used for the preparation of PEGylated liposomes of capecitabine using varied combinations of phospholipids. The weighed quantity of drug, phospholipids and cholesterol was dissolved in a mixture of anhydrous Ethyl acetate and ethanol (2:1) in a sterile flask with round bottom and is attached to a rotary evaporator subjected to evaporation to get a thin, dry film of lipid. The lipid film is thoroughly dried, and the film was allowed to hydrate using phosphate buffer saline, pH 7.4 above transition temperature and subjected to sonication. The non-entrapped drug was removed by centrifugation; this step is called as liposome purification. The liposomal dispersion after centrifugation was filled in glass vials and covered with special stoppers for lyophilization [23, 24].
In vitro release studies
The capecitabine in vitro release from the PEGylated liposomes is determined by dialysis method. The liposomal dispersion was placed in a dialysis tube (donor compartment), then the tube was immersed in a beaker containing release medium, i.e. phosphate butter saline pH 7.4 and mixed with magnetic stirrer at a speed of 100 rpm to maintain sink condition. The sample (1 ml) was taken at fixed time intervals at 1st, 2nd, 4th, 6th, 12th, 24th, 28th, 30th and 36th hours from release medium and the samples were withdrawn with a replacement of equal volumes of fresh dissolution medium into the cell. By using the UV spectrophotometric method, drug concentrations in the dissolution medium were determined [25, 26].
Drug release kinetic study
The mechanism of the drug release kinetics of dosage forms was analyzed by fitting the obtained formulations into different kinetic equations of zero order, first order, Higuchi model and korsemeyer-peppas model. The best model was considered based on the maximum correlation coefficient value [27].
Stability studies
Stability studies are performed for formulations (optimized) according to ICH guidelines. Formulations are divided into sets of 2 samples each and were stored at 5 °±3 °C, 25 °±2 °C and 60% RH±5% RH in amber-colored sealed glass vials for 6 mo. The liposomal formulated suspensions were observed visually for their appearance, ease of their redispersion, and the sedimentation. The samples were evaluated for their particle size, the drug release and the drug entrapment at the specified time interval’s viz., 0, 1, 3, 6 mo in the triplicates [28, 29].
Cell viability studies
The in vitro antitumor activity of capecitabine-loaded liposomes and pure drug were determined by MTT assay. The MTT assay test was used for the evaluation of the cellular viability, for the determination of the cytotoxic effects of the free and liposomally entrapped capecitabine on the human colorectal carcinoma cellsHCT116 and HT-29. The evaluation of viability of cells was determined by estimating the quantity of colored formazan crystals which are formed while performing the biological test. 1.6 × 103/100 μl cancer cells were transferred aseptically in each well of 96-well plate in triplicates and incubated at 37 °C. Cells were treated with varying amounts of capecitabine and capecitabine stealth liposomes and incubated for 24 h. The Cells are incubated for 24 h time period at a temperature of 37 °C in a CO2 incubator. After a time of incubation, MTT of 20 μl (5 mg./ml. dissolved in PBS) are added into each of the wells and were again incubated for a time period of3 h. Supernatant was removed from the wells after 3 h and a200 μl of the dimethyl sulfoxide was then added for dissolving formazan crystals. Later 96 of the well-plates are shaken slowly and absorbances of the different samples were measured using the ELISA microplate-reader at 295 nm. The cell viability percentage was calculated according to the given following equation [30, 31].
Abs T represents absorbances of the cells treated and Abs C, absorbances of the control cells (Untreated cells).
Cell viability = 

In vivo anti-tumor efficacy
Using male albino mice (20–25 g) the Pharmacokinetic studies, were done. In the study, animals were arranged randomly into four groups. Each group was comprised of six animals. 2.5X104 HT-29 cells were suspended in the Phosphate buffer solution and then were subcutaneously injected into the right flank of the mice and, the tumor was allowed to grow. After 7-10 d of tumor implantation, the free-capecitabine, Conventional-liposomes and the stealth-liposomes were administered into the mice with tumor through the tail vein at 10 mg/kg animal body weight. The group I was given a normal saline buffer solution via tail vein of the mice. Similarly, group II, III and IV administered with 10 mg/kg dose of the pure solution of the drug in the saline buffer, the conventional liposomes and stealth liposomes, respectively. After 10 d of the implantation (HT-29) of tumor, when the tumor sufficiently developed and grew with a specific volume, the samples of blood are drawn at intervals of 1h, 6h, 12h, 24h and 48 h from retro-orbital plexus. The amount of capecitabine in each blood sample was measured by using HPLC analysis. The albino mice were sacrificed by euthanasia (Ketamine 90 mg/kg-IP route and xylazine 10 mg/kg-IP route) and the colon region with the tumor removed. This was washed with a normal saline solution and was subjected to homogenization, and then was analyzed by HPLC to estimate capecitabine. Distribution profiles of capecitabine in different organs also including the plasma are analysed by HPLC analysis in this the stationary phase is C18G (250 × 4.6 mm, 5 μm) and the mobile phase is Acetonitrile: methanol (55:45) with a flow rate of 1.0 ml/min, Injection volume: 20 μL and the detection wavelength was295 nm. Capecitabine was estimated using a standard curve. The solution was later injected inside the unit and the chromatogram was then recorded. For measuring In vivo Antitumor Activity, the anti-cancer activity of capecitabine was calculated by estimating its effect of cytotoxicity on the tumor by estimating its dimension in a suited animal model depending on the parameters of tumor volume, and tumor weight [32].
Tissue distribution study
To estimate the pattern of distribution of capecitabine in the biological organs which give assurance for either the localization of the drug to the required tumor site via prolonged circulation or drug uptake by the RES rich organs, like the liver and spleen, which stop the desired localization. Hence, the distribution profile of the capecitabine having, both liposomes conventional and stealth are checked with the use of animal model bearing tumor. Similar manner, like pharmacokinetics section by receiving a 10 mg/kg dose of the pure drug solution in buffer saline, conventional-liposomes and stealth-liposomes after tumor implantation, and when the solid tumor sufficiently grown with a specific volumes mice were sacrificed and the major organs-liver, spleen, kidneys and lungs. The tumors are removed, was washed using the (normal) saline solution and was subjected to centrifugation at a speed of 25000 rpm for duration of 10 min. The aliquots are then analyzed using HPLC to estimate capecitabine content in the various organs, in due respect to the time, by preparing a standard curve of capecitabine [33, 34].
Effect on solid tumor volume
Colon carcinoma cell line, i.e. HT-29 cell line, was diluted using phosphate buffer solution and was subcutaneously injected into the right flank of the mice and tumors were let to develop. After 10 d of tumor implantation, the free capecitabine, the Conventional-liposomes and the stealth-liposomes were injected into the mice having tumor through the tail vein with a dose of 10 mg/kg. The size of tumor and the weight of each individual mouse were monitored from thereon. The Anticancer effect of capecitabine loaded formulation was then evaluated on the basis of changes observed in the volume of tumor and the weight obtained at the chosen time-interval, i.e. when the tumor acquires a particular size after the implantation of HT-29 cell line (at the 10th day) and the administration of the sample. In the selected days of interval, the mice are sacrificed for tumor harvest for determination of the volume of the tumor, two bisecting diameters each of the tumors was measured with the help of slide caliper and calculations are performed using the formula.
V=0.5 X ab2
a=largest of the diameter of the tumor (mm)
b= smallest of the diameter of the tumor (mm) [35, 36].
Effect of the solid tumor weight
By the end of the study, weight profiles of the tumor after treatment using the different forms of capecitabine as, pure capecitabine, optimized conventional and the stealth liposome formulation were analyzed by comparing with measuring the tumor weight, with which implicates the capecitabine anticancer activity [37].
In vitro drug release studies
In vitro dissolution study performed was by using the dialysis method. The release profile of all the formulations is presented in (table 1) and shown in (fig. 1). The maximum percentage of capecitabine release was observed in the formulation F3 CAP and F7CAP. As expected for the liposomes, fast drug release behavior was observed due to the enhanced dissolution and forming of the lipid vesicles as much as the smaller size of the vesicles [25].
Table 1: In vitro drug release profile of capecitabine stealth liposomal formulations
| Time in h | F1 CAP | F2 CAP | F3 CAP | F4 CAP | F5 CAP | F6 CAP | F7 CAP | F8 CAP |
| 1 | 4.0±0.03 | 3.9±0.7 | 9.3±0.2 | 4.9±0.5 | 7.3±0.1 | 5.12±0.5 | 9.7±0.5 | 3.05±0.2 |
| 2 | 10.2±0.5 | 16±0.01 | 21±0.7 | 9.5±1.2 | 11.5±1.8 | 17±0.26 | 20±1.6 | 14±1.4 |
| 4 | 22.5±0.5 | 23.8±0.04 | 28.2±0.02 | 14.6±0.5 | 24.5±1.1 | 23.8±0.02 | 26.2±1 | 19.4±0.2 |
| 6 | 30.0±0.5 | 35.7±0.5 | 31.6±0.4 | 29.5±0.6 | 28.6±0.02 | 32.7±0.5 | 30.6±1.8 | 24.5±0.6 |
| 12 | 47.1±0.7 | 54±0.8 | 52.6±0.2 | 37±0.4 | 51.6±0.6 | 50±0.1 | 54.6±0.3 | 35±1.0 |
| 24 | 53.5±0.1 | 60±0.54 | 70±0.05 | 50.5±0.5 | 65±0.34 | 56±0.22 | 68±1.0 | 49.5±0.3 |
| 28 | 65.2±0.34 | 62.4±0.2 | 77±0.6 | 56±0.7 | 72.3±0.27 | 62.4±1.2 | 75.3±0.1 | 54±0.1 |
| 30 | 74.3±0.4 | 74.4±0.02 | 90±0.5 | 66.0±0.6 | 86±0.12 | 76.4±0.0 | 88±0.23 | 69.0±0.1 |
| 36 | 79.4±0.5 | 80±0.5 | 95±0.33 | 73±0.1 | 92±0.3 | 89±0.04 | 94±0.05 | 72±0.01 |
*Data are expressed as mean±SD (n=3)

Fig. 1: Mean in vitro drug release profile of capecitabine loaded stealth liposomes
Release kinetic studies
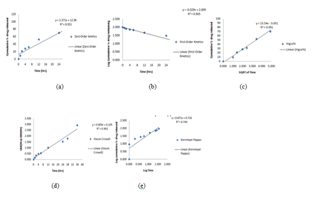
To study the mechanism of drug release, data which were obtained from in vitro drug release studies fitted in kinetic models. The correlation coefficient (𝑅2) was used as a tool for best fitting, regression values for formulation were between (𝑅2) = 0.744 to 0.991 and all the formulations F1 CAP to F8 CAP was best fitted in the Higuchi matrix kinetic model with a n value from 0.868-0.964 indicating non-fickian release diffusion. The n value was higher than 0.5 for stealth liposomes containing capecitabine. The kinetic data of all the formulations are shown in (table 2). The kinetic plots obtained of respective batches are shown in (fig. 2). The drug release pattern was obeying the Higuchi diffusion model. The highest correlation coefficients were found with the Higuchi model (r=0. 0.991) among all models. Drug release profiles of capecitabine stealth liposomes follow a diffusion mechanism. The release of capecitabine stealth liposomes was found to be sustained over a time frame. The model Korsmeyer-Peppas power law equation states type of the diffusion, which was evaluated by n value, which was higher than 0.89, which had implied that drug release from system, follows Super case II transport [38].
Stability studies
Stability studies of optimized formulation, F7 CAP pegylated liposomes, at 25°±2 °C, 60% RH±5% showed no significant changes in the drug release profile. Alteration in the drug release profile of the optimized formulations, when stored at 5±3 °C, was negligible. Entrapment efficiency of the optimized formulation when stored at 5±3 °C was not changed significantly [29]. The formulation was stable at a temperature of 5±3 °C and significant changes in entrapment efficiency of the drug and also the size of the liposomes was not observed and presented in (table 3). No significant changes in physical appearance, particle size, and the size distribution were observed for the formulations during the stability studies at 5±3 °C. However, when the formulation of liposomes was subjected to 25 °±2 °C and 60%±5%, there was a loss of liposomal structure and entrapment efficiency.
Table 2: R2 values of various kinetics models of capecitabine stealth liposomal formulations
| Formulation code | R2 values | ||||||
| Zero-order | First-order | Huguchi model | Hixson crowell | Korsmeyer-peppas | Best fit model | ||
| R2 | n value | ||||||
| F1CAP | 0.927 | 0.956 | 0.974 | 0.958 | 0.853 | 0.964 | Huguchi |
| F2CAP | 0.879 | 0.936 | 0.963 | 0.928 | 0.807 | 0.945 | Huguchi |
| F3CAP | 0.951 | 0.905 | 0.991 | 0.963 | 0.744 | 0.871 | Huguchi |
| F4CAP | 0.948 | 0.963 | 0.974 | 0.967 | 0.855 | 0.919 | Huguchi |
| F5CAP | 0.954 | 0.92 | 0.982 | 0.962 | 0.820 | 0.930 | Huguchi |
| F6CAP | 0.916 | 0.864 | 0.957 | 0.909 | 0.795 | 0.912 | Huguchi |
| F7CAP | 0.947 | 0.909 | 0.987 | 0.959 | 0.745 | 0.868 | Huguchi |
| F8CAP | 0.953 | 0.961 | 0.977 | 0.967 | 0.831 | 0.924 | Huguchi |

Fig. 2: In vitro drug release kinetic plots of F3 CAP stealth liposomes a). Zero-order, (b) First order. (c). Higuchi, (d). Hixson, (e). Korsmeyer–peppas
Table 3: Stability data of optimized liposomal formulation F7 CAP
Retest time for optimized formulation |
Parameters (Changes due to different storage conditions) |
|||
Particle size |
Entrapment efficiency |
In vitro drug release profile (%) |
Zeta Potential |
|
Within 0 d |
||||
5±3 °C |
110±2.61 |
73±1.2 |
94±0.05 |
-12.3±0.83 |
25±2 ° C/60%±5% RH |
110±2.610 |
73±0.7 |
94±0.05 |
-12.3±0.83 |
Within 1 mo |
||||
5±3 °C |
112±0.21 |
72±1.5 |
92±0.08 |
-14.5±0.26 |
25±2 ° C/60%±5% RH |
118±1.2 |
69±1.1 |
86±1.02 |
-26.3±0.82 |
Within 3 mo |
||||
5±3 °C |
115±0.25 |
71±0.7 |
91±0.07 |
-20.3±0.24 |
25±2 ° C/60%±5% RH |
136±0.13 |
57±1.1 |
71±0.8 |
-31.3±0.36 |
Within 6 mo |
||||
5±3 °C |
117±0.72 |
68±1.0 |
90±0.18 |
-15.3±0.64 |
25±2 ° C/60%±5% RH |
154±1.42 |
51±0.9 |
63±0.23 |
-39.3±0.59 |
*Data are expressed as mean±SD (n=3)*
In vitro anticancer activity
The biological efficacy of capecitabine entrapped in PEGylated formulation was tested on the human colorectal carcinoma cells HCT116, HT-29 by using MTT assay. Significant improvement in drug anticancer activity, in respect to the free drug, was observed and obtained with the help of PEGylated capecitabine loaded liposomes [37]. The inhibiting activity was increased in PEGylated stealth liposomes against HCT116, HT-29 cells when compared to pure capecitabine and represented in (table 4). The improvement in the anticancer efficiency of capecitabine on colorectal carcinoma cells, which was provided by the PEGylated formulation, suggested the protective and long circulation properties of it. At a same level concentration, the modified PEG-liposomal group showed a very strong inhibition of HCT116, HT-29 cells. The obtained results indicated, prolonged circulation of the delivery system can be useful in giving the strongest cytotoxicity against HCT116 cells, HT-29 cells, it showed that the endocytosis mediated by PEG promotes cellular uptake. It can enhance cytotoxic effect of the modified PEGylated liposomes [39].
Table 4: IC50 values (μM) of capecitabine and capecitabine loaded stealth liposomes in human colorectal cell lines
| Cell lines | Capecitabine | Capecitabine loaded stealth liposomes |
| IC50 | IC50 | |
| HCT-116 | 1.96±0.34 | 0.923±0.12 |
| HT-29 | 3.56±0.56 | 1.54±0.42 |
*Data represented the mean±SD, n=3/group.
Pharmacokinetic study
For assessing the pharmacokinetics of capecitabine loaded optimized-conventional liposomes and stealth liposomes with a dose of 10 mg/kg is administered with the route I. V. to mice carrying HT-29 tumor. Plasma profile of free capecitabine, conventional liposomes, and stealth liposomes shown in the (fig. 3) and pharmacokinetic parameters is given in (table 5). Statistically significant improvement in the AUC total of the formulation was observed and was found to be 29.65±5.08, µg h/ml for Stealth liposomes. Considering the pharmacokinetic profile, after administration of I. V. injection to the animal model comparatively, AUC, MRT and t1/2 of Stealth liposomes was much greater than pure capecitabine and conventional liposomes. This showed the improved residence time and also sustained release of drug from the formulation of Stealth liposomes, as a result of the decreased clearance of capecitabine loaded stealth liposomes. Rapid removal of conventional liposomes by RES represents one of the major drawbacks in drug delivery. This problem was addressed by using long circulated liposomes. Conventional liposomal grafting was done with a biocompatible and inert polymer like the PEG, led to the formation of much protective and a hydrophilic layer on the liposomes surface. The t1/2 of Stealth liposome and MRT increased than Conventional liposomes proved that prolong circulation half-life of Stealth liposomes reduced the chances of rapidity in uptake by the element of Mononuclear Phagocytic system (MPS) by incorporating PEG residue on vesicles which makes liposome formulations much hydrophilic and physiologically more stable.
The relative percent bioavailability of capecitabine was found to be 100 %, 72.1±0.2 and 86.4±3.5 % for pure capecitabine, conventional liposomes and stealth liposomes, respectively. Compared to the pure capecitabine solution, conventional and the stealth liposomes bioavailability has been decreased maybe because that the conventional liposomes may be rapidly are cleared from the systemic circulation, unlike the stealth liposomes have shown little higher values of the relative percentage-bioavailability when compared to the conventional liposomes (F7 CAP) due to long time in systemic circulation. The stealth liposomes altered the pharmacokinetic profile of capecitabine. The serum levels of capecitabine were significantly higher for stealth liposome’s in comparison to free capecitabine [30].
Table 5: Comparative pharmacokinetic profile of pure capecitabine, conventional and stealth liposomes
| Pharmacokinetic parameters | Units | Free capecitabine | Conventional liposomes | Stealth liposomes |
| AUC | µg/ml | 9.61±1.71 | 12.32±3.45 | 29.65±5.08 |
| Cmax | µg/ml | 4.34±0.82 | 6.23±1.23 | 11.12±1.32 |
| Vd | L | 191±0.29 | 174±1.78 | 150±0.24 |
| t1/2 | H | 0.85±0.43 | 5.32±1.42 | 12.32±0.11 |
| Ke | h-1 | 0.75±0.03 | 0.94±0.13 | 0.07±0.031 |
| Cl | ml/min | 5.128±0.03 | 2.35±0.56 | 0.054±0.25 |
| MRT | H | 0.95±0.13 | 3.25±12 | 11.10±0.36 |
*Data represented the mean±SD, n=6/group.

Fig. 3: Mean plasma concentration-time profiles of capecitabine, capecitabine conventional liposmes and capecitabine stealth liposomes in mice bearing colon cancer
Tissue distribution study
Tissue distribution of the pure drug, Conventional liposomes and Stealth liposomes was examined by inoculating HT-29 cell line into the mice. The biodistribution effect of capecitabine was evaluated, followed by the administration of 10 mg/kg of capecitabine injection through i. v., conventional, and stealth-liposomes in the mouse model shown in (table 6). The capecitabineAUC0–t and Cmax µg/ml of stealth liposomes were less in the spleen and liver, and more in the plasma and the tumor tissue when liver, plasma, and tumor tissue between both. The results showed that stealth liposomes decrease capecitabine uptake in the RES-containing organs (liver and spleen) when compared with conventional liposomes. The longer circulation time and a slower release of capecitabine from the stealth-liposomal formulation offered a fair chance, for capecitabine to get attained at the tumor through an increased permeability, the retention (EPR) effect, and also maintain the desired effective therapeutic level of dose for a long time period through depot effects. The stealth liposomes distribution pattern to spleen compared with the conventional capecitabine liposomes. There were much important differences observed in the spleen, was dynamically changed because of the steric stabilization from the inclusion of grafting PEG, which avoided the spleen uptake. In case of the free capecitabine, it was interestingly noted about its rapid appearance in the kidney after 1 h.
The above phenomenon maybe because of the metabolism of capecitabine and a rapid eliminating, through the urine, but the entrapment of the drug into the vesicles protected against the metabolism with a small appearance inside the kidney. Grafting PEG on the stealth-liposome formulations was most promising for avoiding the uptake of capecitabine in the RES rich organs and enhanced the circulation and half-life of capecitabine, small vesicular size and steric stabilization promoted enhanced permeability retention (EPR) by favorably promoting stealth liposomes into the tumor interstitial space and extravasation-effect for maximum localizing the drug into the tumor cells. This kind of accumulation of the liposomes with long-circulation having encapsulated drugs using the EPR effect represents the mechanism of passive targeting, increasing the drug delivery and the therapeutic potential of the drug. The biodistribution studies showed a higher uptake per a gram of tissue of pure capecitabine and conventional liposomes uptake was in the spleen and kidneys followed by the liver. The high uptake in the spleen and the liver was due to a fact that the mentioned organs are a part of mononuclear phagocyte system (MPS), which in turn is responsible, for the filtering of foreign particles from blood circulation [32].
Table 6: Biodistribution parameters of capecitabine in liver, kidney, spleen, lung, tumor and plasma in colon carcinoma induced mice
| Capecitabine formulat ion | Liver | Kidney | Spleen | Lung | Tumor | |||||
| AUC0-t (µg-h/ml) | Cmax µg/ml | AUC0-t (µg⋅h/ml) | Cmax µg/ml | AUC0-t (µg-h/ml) | Cmax µg/ml | AUC0-t (µg-h/ml) | Cma x µg/m l | AUC0-t (µg-h/ml) | Cmax µg/ml | |
| Pure capecita bine | 7.13±1.52 | 2.05±0.12 | 6.02±0.97 | 9.02±0.35 | 8.02±1.02 | 10.16±0.53 | 4.02±0.62 | 0.85±0.12 | 9.02±1.71 | 4.34±0.82 |
| Conventi onal liposome s | 19.12±3.83 | 9.06±2.15 | 09.32±0.97 | 7.06±1.05 | 22.32±4.04 | 11.12±1.78 | 06.32±0.4 | 3.16±1.09 | 12.32±3.45 | 6.23±1.23 |
| Stealth liposomes | 9.65±1.92 | 2.05±0.82 | 5.4±1.86 | 1.92±0.16 | 11.65±2.3 | 3.05±0.82 | 4,3±0.16 | 0.81±0.04 | 29.65±4.12 | 10.52±1.32 |
*Data represented the mean±SD, n=6/group
Effect on tumor volume
The Mice, bearing HT-29 tumor are parenterally given free capecitabine, conventional-liposomes, capecitabine loaded stealth-liposomes for cancer therapy. Stealth liposomes 10m g/kg dose and the mice were given a saline solution as a control. The pure form of capecitabine was not of much effect in preventing tumor growth in comparison with the conventional-liposomal treatment; conventional-liposomes displayed a stronger inhibition of tumor having the volume of tumor found as 2.7±0.21 cm3 unlike with pure capecitabine treated tumor volume was 3.2±0.23 cm3 were presented in (table 7). When the tumor was treated using the stealth-liposomes, they provided cellular advantages in terms of the tumor site accumulation of capecitabine because of the PEG coating. Here, stealth liposomes distribution to tumor cells induced interaction to the tumor cell membranes and consequently to promote the effective drug delivery, it reduces the volume of the tumor to 1.1±0.12 cm3after 30 d of study, notably was lower compared to conventional liposomes and the free-drug [37, 39].
Effect on tumor weight
As shown in the table 8 the influence of the formulation, on the tumor’s weight, indicated that, the weight of the tumor was 3 times less compared to (1.4±0.21 gm) the control group, as (7.41±1.22 gm), hence the growth of the tumors was retarded up to 30 d of the study. The same way the influence of the pure-capecitabine and the optimized, conventional liposomal formulation on the weight of tumor was (6.74±1.35 gm to 4.38±0.85 gm) respectively and reported in the. Additionally, capecitabine concentration from stealth liposomes in the tumor was notably high compared with conventional liposomes, which was mostly may be due to targeting nature of stealth liposomes caused much greater accumulation of carrier inside the tumor and also subsequently increasing the drug delivery [37, 39].
Table 7: Effect of pure capecitabine, conventional liposomes, stealth liposomes on tumor volume
| Treatment | Tumor volume (cm3) | |||||
| Dose | 10 D | 15 D | 20 D | 25Days | 30 D | |
| Saline solution | 10 mg/kg | 1.0±0.23 | 1.9±0.23 | 2.6±0.32 | 3.4±0.11 | 4.8±0.12 |
| Pure capecitabine | 10 mg/kg | 0.8±0.27 | 0.86±0.21 | 1.7±0.14 | 2.3±0.12 | 3.2±0.23 |
| Conventional liposomes | 10 mg/kg | 0.5±0.21 | 0.9±0.27 | 1.2±0.2 | 1.9±0.23 | 2.7±0.21 |
| Stealth liposomes | 10 mg/kg | 0.3±0.15 | 0.5±0.1 | 0.7±0.19 | 1.0±0.21 | 1.1±0.12 |
*Data represented the mean±SD, n=6/group.
Table 8: Effect of pure capecitabine (CAP), Capecitabine conventional liposomes (CAP-CL), Capecitabine stealth liposomes (CAP-SL) on tumor weight
| Treatment | Dose | Days | Tumor weight (gm) |
| Saline solution | 10 mg/kg | 30 | 7.41±1.22 |
| Pure Capecitabine | 10 mg/kg | 30 | 6.74±1.35 |
| CAP-CL | 10 mg/kg | 30 | 4.38±0.85 |
| CAP-SL | 10 mg/kg | 30 | 1.4±0.21 |
*Data represented the mean±SD, n=6/group.
The results demonstrated that compared with capecitabine, modified-liposomes possessed a notable prolonged circulation time, with high drug concentrations in the plasma compared with free capecitabine and conventional capecitabine liposomes. Liposomes with PEG showed higher uptake by the tumor, but also toxicity was lower inside organs like liver, kidneys, and spleen with PEG in mice with HT-29 colon carcinoma. Capecitabine stealth liposomes showed a prolonged circulation of drug in plasma, has increased the targeting of tumor and also improved therapeutic efficiency.
I would wish to extend my because of Mr. Rahil M Patait, for generous gift of capecitabine (pure drug). I would like to heartfully thank my guide Dr. B A Vishwanath for his continuous, enormous support and encouragement.
FUNDING
Nil
This work was carried out together among all authors. Author MP carried out the experiments analyzed the data. Author BV Supervised the experimental design, Laboratory analysis and major contributor in writing manuscript. All authors read and approved the final manuscript.
The authors declare that they have no conflict of interests.
Khan N, Afaq F, Mukhtar H. Lifestyle as risk factor for cancer: evidence from human studies. Cancer Lett. 2010;293(2):133-43. doi: 10.1016/j.canlet.2009.12.013. PMID 20080335.
Haggar FA, Boushey RP. Colorectal cancer epidemiology: incidence, mortality, survival, and risk factors. Clin Colon Rect Surg. 2009;22(4):191-7. doi: 10.1055/s-0029-1242458, PMID 21037809.
Mishra J, Drummond J, Quazi SH, Karanki SS, Shaw JJ, Chen B, Kumar N. Prospective of colon cancer treatments and scope for a combinatorial approach to enhanced cancer cell apoptosis. Crit Rev Oncol Hematol. 2013;86(3):232-50. doi: 10.1016/j.critrevonc.2012.09.014. PMID 23098684.
Polachi N, Nagaraja P, Subramaniya B, Mathan G. Antiproliferative activity of N-butanol floral extract from butea monosperma against HCT 116 colon cancer cells; drug-likeness properties and in silico evaluation of their active compounds toward glycogen synthase kinase-3β/axin and β-catenin/T-cell factor-4 protein complex. Asian J Pharm Clin Res. 2015;8(1):134-41.
Santhosh Kumar DSR, Senthilkumar P, Surendran L, Sudhagar B. Ganoderma lucidum-oriental mushroom mediated synthesis of gold nanoparticles conjugated with doxorubicin and evaluation of its anticancer potential on human breast cancer mcf-7/dox cells. Int J Pharm Pharm Sci 2017;9(9):20093. doi: 10.22159/ijpps.2017v9i9.20093.
Senapati S, Mahanta AK, Kumar S, Maiti P. Controlled drug delivery vehicles for cancer treatment and their performance. Signal Transduct Target Ther. 2018;3:7. doi: 10.1038/s41392-017-0004-3. PMID 29560283.
Din FU, Aman W, Ullah I, Qureshi OS, Mustapha O, Shafique S, Zeb A. Effective use of nanocarriers as drug delivery systems for the treatment of selected tumors. Int J Nanomedicine. 2017;12:7291-309. doi: 10.2147/IJN.S146315, PMID 29042776.
Patra JK, Das G, Fraceto LF, Campos EVR, Rodriguez Torres MDP, Acosta Torres LS, Diaz Torres LA, Grillo R, Swamy MK, Sharma S, Habtemariam S, Shin HS. Nano based drug delivery systems: recent developments and future prospects. J Nanobiotechnology. 2018;16(1):71. doi: 10.1186/s12951-018-0392-8. PMID 30231877.
Golombek SK, May JN, Theek B, Appold L, Drude N, Kiessling F, Lammers T. Tumor targeting via EPR: strategies to enhance patient responses. Adv Drug Deliv Rev. 2018;130:17-38. doi: 10.1016/j.addr.2018.07.007. PMID 30009886.
Akbarzadeh A, Sadabady R-R, Davaran S, Joo SW, Zarghami N, Hanifehpour Y, Samiei M, Kouhi M, Koshki KN. Liosome: classification, preparation, and applications. Nanoscale Res Lett. 2013;8(1):1-9. doi: 10.1186/1556-276x-8-102(2013).
Vani GN, Alagusundaram M, Chandrasekar KB. Formulation and optimization and in vitro characterization of olanzapine liposome. Int J Appl Pharm. 2021;13(5):109-14. doi: 10.22159/ijap.2021v13i5.42085.
Biswas S, Dodwadkar NS, Sawant RR, Torchilin VP. Development of the novel PEG-PE-based polymer for the reversible attachment of specific ligands to liposomes: synthesis and in vitro characterization. Bioconjug Chem. 2011;22(10):2005-13. doi: 10.1021/bc2002133, PMID 21870873.
Swami H, Kataria MK, Bilandi A, Kour P, Bala. Liposome: an art for drug delivery. Int J Pharm Sci Lett. 2015;5:523-30.
Bozzuto G, Molinari A. Liposomes as nanomedical devices. Int J Nanomedicine. 2015;10:975-99. doi: 10.2147/IJN.S68861. PMID 25678787.
Roy D, Das S, Samanta A. Design and in vitro release kinetics of liposomal formulation of acyclovir. Int J Appl Pharm. 2019;11(6):61-5. doi: 10.22159/ijap.2019v11i6.34917.
Muppidi K, Pumerantz AS, Wang J, Betageri G. Development and stability studies of novel liposomal vancomycin formulations. ISRN Pharm. 2012;2012:636743. doi: 10.5402/2012/636743, PMID 22500244.
Sercombe L, Veerati T, Moheimani F, Wu SY, Sood AK, Hua S. Advances and challenges of liposome assisted drug delivery. Front Pharmacol. 2015;6:286. doi: 10.3389/fphar.2015.00286, PMID 26648870.
Alexis F, Pridgen E, Molnar LK, Farokhzad OC. Factors affecting the clearance and biodistribution of polymeric nanoparticles. Mol Pharm. 2008;5(4):505-15. doi: 10.1021/mp800051m, PMID 18672949.
Banerjee SS, Aher N, Patil R, Khandare J. Poly(ethylene glycol)-prodrug conjugates: concept, design, and applications. J Drug Deliv. 2012;2012:103973. doi: 10.1155/2012/103973, PMID 22645686.
Begum MY, Abbulu K, Sudhakar M. Flurbiprofen-loaded stealth liposomes: studies on the development, characterization, pharmacokinetics, and biodistribution. J Young Pharm. 2012;4(4):209-19. doi: 10.4103/0975-1483.104364, PMID 23493109.
Immordino ML, Dosio F, Cattel L. Stealth liposomes: review of the basic science, rationale, and clinical applications, existing and potential. Int J Nanomedicine. 2006;1(3):297-315. PMID 17717971.
Ali BC, Sagıroglu A, Ozdemir S. Design, optimization and characterization of coenzyme Q10- and D-panthenyl triacetate-loaded liposomes. Int J Nanomedicine. 2017;12:4869-78. doi: 10.2147/ijn. s140835.
Uhumwangho M, Okor RS. Current trends in the production and biomedical applications of liposomes: a review. J Med Biomed Res. 2005;4(1):9-21. doi: 10.4314/jmbr.v4i1.10663.
Thorat YS, Kote NS, Patil VV, Hosmani AH. Formulation and evaluation of liposomal gel containing extract of piprine. Int J Curr Pharm Sci 2020;12:126-9. doi: 10.22159/ ijcpr.2020v12i3.38321.
Nkanga CI, Bapolisi AM, Kemefuna NI. General perception of liposomes: formation, manufacturing and applications. Liposomes Adv Perspect. 2019;10:1-11. doi: 10.5772/intechopen.84255.
Sudhakar B, Krishna MC, Murthy KVR. Factorial design studies of antiretroviral drug-loaded stealth liposomal injectable: pegylation, lyophilization and pharmacokinetic studies. Appl Nanosci. 2016;6(1):43-60. doi: 10.1007/s13204-015-0408-8.
Patel AT, Modiya PR, Shinde G, Patel R. Formulation and characterization of long circulating liposomes of anti fungal drug. Int J Pharm Res Technol. 2018;8(2):32-42.
Dave V, Sharma S, Yadav RB, Agarwal U. Herbal liposome for the topical delivery of ketoconazole for the effective treatment of seborrheic dermatitis. Appl Nanosci. 2017;7(8):973-87. doi: 10.1007/s13204-017-0634-3.
Lin W, Ma X, Zhou C, Yang H, Yang Y, Xie X, Yang C, Han C. Development and characteristics of novel sonosensitive liposomes for vincristine bitartrate. Drug Deliv. 2019;26(1):724-31. doi: 10.1080/10717544.2019.1639845, PMID 31293182.
Nik ME, Malaekeh Nikouei B, Amin M, Hatamipour M, Teymouri M, Sadeghnia HR, Iranshahi M, Jaafari MR. Liposomal formulation of galbanic acid improved therapeutic efficacy of pegylated liposomal doxorubicin in mouse colon carcinoma. Sci Rep. 2019;9(1):9527. doi: 10.1038/s41598-019-45974-7. PMID 31267009.
Sharma S, Kumar V. In vitro cytotoxicity effect on MCF-7 cell line of co-encapsulated artesunate and curcumin liposome. Int J Pharm Pharm Sci. 2017;9(3):123-8. doi: 10.22159/ijpps.2017v9i3.15872.
Xu Y, Meng H. Paclitaxel-loaded stealth liposomes: development, characterization, pharmacokinetics, and biodistribution. Artif Cells Nanomed Biotechnol. 2016;44(1):350-5. doi: 10.3109/21691401.2014.951722, PMID 25162671.
Dicheva BM, Seynhaeve AL, Soulie T, Eggermont AM, Ten Hagen TL, Koning GA. Pharmacokinetics, tissue distribution and therapeutic effect of cationic thermosensitive liposomal doxorubicin upon mild hyperthermia. Pharm Res. 2016;33(3):627-38. doi: 10.1007/s11095-015-1815-y, PMID 26518763.
Ghannam MM, El Gebaly R, Fadel M. Targeting doxorubicin encapsulated in stealth liposomes to solid tumors by non-thermal diode laser. Lipids Health Dis. 2016;15:68. doi: 10.1186/s12944-016-0235-2. PMID 27044538.
Goje A, Sharma S, Doijad RC. Gemcitabine loaded vesicular drug delivery system for targeting. Int J Pharm Anal Res. 2017;6(2):281-8.
Suk JS, Xu Q, Kim N, Hanes J, Ensign LM. PEGylation as a strategy for improving nanoparticle-based drug and gene delivery. Adv Drug Deliv Rev. 2016;99(A):28-51. doi: 10.1016/j.addr.2015.09.012. PMID 26456916.
Ten Hagen TL, Seynhaeve AL, van Tiel ST, Ruiter DJ, Eggermont AM. Pegylated liposomal tumor necrosis factor-alpha results in reduced toxicity and synergistic antitumor activity after systemic administration in combination with liposomal doxorubicin (Doxil) in soft tissue sarcoma-bearing rats. Int J Cancer. 2002;97(1):115-20. doi: 10.1002/ijc.1578. PMID 11774252.
Henriksen I, Sande SA, Smistad G, Agren T, Karlsen J. In vitro evaluation of drug release kinetics from liposomes by fractional dialysis. International Journal of Pharmaceutics. 1995;119(2):231-8. doi: 10.1016/0378-5173(94)00403-R.
Bangale GS, Kesarala R, Shinde GV. Enhanced tumor targeting and antitumor activity of gemcitabine encapsulated stealth liposome’s. Indian J Pharm Educ Res 2015;49(4):304-19. doi: 10.5530/ijper.49.4.8.