Department of Pharmaceutics, Sri Padmavati Mahila Visvavidyalayam, [Women’s University], Tirupati 517502, Andhra Pradesh [A. P.], India
Email: naveentaj33@gmail.com
Received: 25 Feb 2022, Revised and Accepted: 01 Jun 2022
ABSTRACT
Objective: The objective of the selected study was to design and formulate simvastatin-loaded pharmacosomes and then incorporate into a transdermal patch by solvent evaporation technique to enhance the solubility, bioavailability, and half-life of simvastatin.
Methods: Simvastatin comes under the BCS-II class, which has low solubility and high permeability. Simvastain loaded pharmacosomes of six different formulations were prepared by taking simvastatin and soya lecithin in varying ratios and dissolved in a high polarity solvent dichloromethane and then subjected to the solvent evaporation method.
Results: Formulated simvastatin-loaded pharmacosomes (SLP) were subjected to evaluation; out of six formulations, optimized formulation (F3) shown in vitro drug release of 86.88%; particle size of 151.6 nm with zeta potential of-16.5mV, which indicates good stability. SEM studies confirmed their smooth, porous structure with a number of nano-channels. The FT-IR spectra and DSC showed a stable character of simvastatin in a mixture of lipid and solvent shows compatible and revealed the absence of drug polymer interactions. The SLP was loaded into a transdermal patch by solvent evaporation method and evaluated for physical characteristics and results were found to be patch surface pH 6.15±0.08, thickness 0.146±0.0096 mm, weight uniformity 1.12±1.73, % swell-ability 13.50±0.028 for best patch formulation (F3).
Conclusion: This research paper gives an outline on the significance of simvastatin-loaded Pharmacosomes as a transdermal patch for enhancing trans-permeation through the skin and its characterization and results. Through obtained results, it is concluded that pharmacosomes is a promising carrier to enhance the permeation of the selected drug through skin.
Keywords: Simvastatin, Carrier system, Transdermal permeation, Patches, Drug delivery systems, Bioavailability
© 2022 The Authors. Published by Innovare Academic Sciences Pvt Ltd. This is an open access article under the CC BY license (https://creativecommons.org/licenses/by/4.0/)
DOI: https://dx.doi.org/10.22159/ijap.2022v14i4.44527. Journal homepage: https://innovareacademics.in/journals/index.php/ijap
Pharmacosomes are defined as amphiphilic lipid-based vesicular systems that possess drug-phospholipid complexes, which help to improve the bioavailability and impart better biopharmaceutical properties to the drug [1-3]. Pharmacosomes are part of the novel drug delivery system and are emerging as one of the potential vesicular carriers, because of their better stability aspects, increased entrapment efficiency, no drug leakage and drug-lipid conjugation [4-6]. Pharmacosomes indicate pharmakon means a “drug” and soma means “carrier”. When compared with other vesicular carriers, pharmacosomes are one of the emerging lipid-based vesicular amphiphilic carriers that have a capability of encapsulating both poorly soluble hydrophilic and lipophilic drugs. Due to its amphiphilic nature, it helps to reduce interfacial tension, thereby increasing the contact surface area and bioavailability of drugs and has the ability to efficiently pass through the biomembranes and thereby improve the pharmacokinetic and pharmacodynamic properties of various drugs [7-9]. So far, pharmacosomes act as good carriers for encapsulating various classes of drugs, like non-steroidal anti-inflammatory drugs, cardiovascular, antineoplastic drugs and proteins and this can be administrated through various routes, like oral, topical extra or intravascular. Pharmacosomes aid in drug targeting and controlled release of drugs to get the desired dose [10].
Vesicular drug delivery has more benefits over conventional therapies due to its limited permeation into membranes and is considered to be one of the systems that have the capability to improve the bioavailability and helps to reduce the toxicity effects by targeting drug to the specific site [11, 12]. Transdermal drug delivery is a method of painless drug delivery where drugs are delivered systematically by applying a drug formulation onto the intact and healthy skin [13]. It is an attractive alternative to oral drug delivery and acts as a substitute to hypodermic injection. The benefits of preferring transdermal deliverysystem includes the avoidance of first pass metabolism, consistent and controlled absorption, reduced side effects, self-administration, enhanced therapeutic efficacy, and easy drug withdrawal in case of any occurrence of adverse reactions [14-17].
The aim of the present study has been focused on topical administration i. e, penetration through skin via stratum corneum through pharmacosomes loaded simvastatin followed by the incorporation of the optimised formulation into a transdermal patch using combinations of HPMCand EC for controlled release of drug.
Simvastatin, a gift sample, soya lecithin (Phosphatidylcholine) was obtained from SD Fine Chem India. Dichloromethane was obtained from Sigma Aldrich. All other reagents and solvents used were of analytical grade unless stated otherwise. Double distilled water (DDW) was used throughout the study.
Formulation of simvastatin-loaded pharmacosomes
Simvastatin-loaded pharmacosomes were prepared by taking simvastatin (Drug) and soya lecithin (Lipid) in varying ratios and dissolved in a suitable solvent which has a high polarity nature. The accurately weighed drug and lipid were placed in a round bottom flask (100 ml) and then the mixture was mixed and refluxed for a time period of one hour and then lyophilized. After lyophilization; the dried residue is collected and placed in a vacuum dessicator for overnight and then subjected to characterization [18].
Characterization of simvastatin-loaded pharmacosomes
Pharmacosomes are characterized by different parameters like; Particle size, Zeta Potential, surface morphology, Drug-lipid compatibility (FT-IR and DSC), solubility studies, in vitro drug release studies.
Table 1: Composition chart of simvastatin loaded pharmacosomes
| Formulation code | Drug (mg) | Drug: lipid | Solvent (ml) |
| F1 | 40 mg | 1:0.5 | 20 |
| F2 | 40 mg | 1:1 | 20 |
| F3 | 40 mg | 1:1.5 | 20 |
| F4 | 40 mg | 1:2 | 20 |
| F5 | 40 mg | 1:2.5 | 20 |
| F6 | 40 mg | 1:3 | 20 |
Solubility studies
Solubility of the drug, phospholipids and their physical mixture composition of prepared pharmacosomes can be determined by using the shake flask method. In this method, equal volumes of buffer solutions with different pH 4.5, 6.8, 7.4 containing phospholipids complex are mixed properly in the screw-capped bottles and equilibrated under constant stirring or shaking at 37 °C for 24 h. After separating, the aqueous phase is determined by selected methods or procedures of UV spectrophotometry [19].
Surface morphology
Scanning electron microscopy (SEM) and transmission electron microscopy (TEM) to detect the surface morphology, i.e., shape and size of the Pharmacosomes, which depends on the purity and nature of phospholipids used, method of preparation, speed of rotation, etc. Pharmacosomes which are prepared from low purity phospholipids tend to be greasy and form sticky aggregates. On the other hand, pharmacosomes which are prepared from very high purity grades (>90%) phospholipids may undergo oxidative degradation and hence form poorly stable complexes. Thus, phospholipids having around 80% purity should be selected.
Complex determination
The formation of the complex can be determined by IR spectroscopy by comparing the spectrum of the complex or conjugate of a drug with the spectrum of each individual component and its mechanical mixture. Stability of pharmacosomescan is characterized by comparing the spectrum of its microdispersion in water after lyophilisation at different time intervals [20].
Drug-lipid compatibility
Differential scanning calorimetry (DSC) is a thermo-analytical technique utilised to determine drug-lipid compatibility and their interactions. The thermal response is studied using separate samples and heating them in a sample pan which is closed. The nitrogen gas is purged, and the temperature is maintained in a definite range with a specific heating rate [21].
In vitro drug release studies
Based upon the resultant therapeutic activity of biological active components, models of in vivo and in vitro evaluation have been carried out. In vitro dissolution studies of the drug-Phosphatidylcholine complex as well as pure drug with media of different pH in standard dissolution apparatus used to determine the pH-dependent dissolution profile [22].
Drug release kinetics
To study the release kinetics, data obtained from in vitro studies were fitted into various kinetic models such as Zero Order, First Order, Higuchi model and Korsmeyer-Peppas model.
To know the order of release the % drug release data was fitted to zero-order and first-order plots. To know the drug release mechanism the % drug release data was fitted to the Higuchi model. To confirm the drug release mechanism % drug release data was fitted to the Korsmeyer-Peppas model [23-26].
Zero-order model: Q t = Q 0+K 0 t
First order model: log C = log C 0 n K t/2.303
Higuchi model: f t = Q = K H x t 1/2
Korsmeyer-Peppas model: M t/M ∞ = Kt.
Standard plot of simvastatin
Calibration curve is obtained with the regression coefficient equal to 0.993 which is equal to unity and this plot is used for estimation of simvastatin in further studies.
Table 2: Standard plot of simvastatin (238 nm)
| S. No. | Concentration (µg/ml) | *Absorbance mean±SD |
| 1 | 1 | 0.024±0.00 |
| 2 | 2 | 0.034±0.002 |
| 3 | 3 | 0.052±0.001 |
| 4 | 4 | 0.064±0.002 |
| 5 | 5 | 0.082±0.001 |
| 6 | 6 | 0.102±0.003 |
| 7 | 7 | 0.108±0.002 |
| 8 | 8 | 0.124±0.001 |
(Where *n = 3)
Particle size and zeta potential
The particle size and zeta potential was determined for all the prepared simvastatin pharmacosome formulations. The mean particle sizes of various formulations (F1-F6) were found to be in the range of 79.9 to 620.2 nm for (F1-F6). The mean particle size of F3 was found to be optimal in size range of i.e., 151.6 nm with zeta potential of-16.5mVwhichindicatesgood stability. Increase in particle size may partially be related to the viscosity of the samples and increase in lipid concentration. At higher lipid contents, the efficiency of homogenization decreases due to higher viscosity of the sample, resulting in larger particles. Also, increases the probability of particle-particle contact and subsequent aggregation at high lipid contents.
Determination of solubility
Weighed quantity of drug (25 mg) was added to 25 ml of purified water, 0.1 N HCl, buffer with pH 4.5, 6.8 and 7.4, respectively. Solutions were taken in a series of 50 ml stoppered conical flasks and the mixtures were shaken for 48 h at 37 °C on a rotary flask shaker. After 48 h of shaking to achieve equilibrium, 2 ml aliquots were withdrawn at a 4 h interval and filtered immediately. The sample was then filtered through the whattman filter paper, suitably diluted, and analysed visually in a UV spectrophotometer at a wavelength of 238 nm. The solubility values (mg/ml) of drug in different solvents are shown in table 3.

Fig. 1: Standard plot of simvastatin

Fig. 2: Particle size of best formulation (F3)

Fig. 3: Zeta potential of best formulation (F3)
Table 3: Solubility studies of simvastatin pure drug
| Solutions | mg/ml (mean±SD) |
| 0.1N HCl | 0.0197±0.19 |
| pH 4.5 | 0.0122±0.15 |
| pH 6.8 | 0.05893±0.16 |
| pH 7.4 | 0.05592±0.21 |
(n = 3)
In vitro drug release
The in vitro drug release studies were performed using the USP paddle method. The dissolution study was carried out in dissolution media; consisting of phosphate buffer pH 7.2 and the entire system was kept at 37±0.5° with continuous agitation speed of 50rpm. At appropriate time intervals (0th h, 1st h to 24 h) 5 ml of release medium was removed and 5 ml fresh medium was added into the system to maintain sink condition. The amount of simvastatin in the release medium was evaluated by U. V Spectrophotometer at 238 nm. The concentration of drug release in test samples was corrected and calculated by using the regression equation of the calibration curve. All the 6 formulation subjected to in vitro release shows % release in the range of 57.32 to 86.88% is shown in table 4. The F3 formulation shown highest release of 86.88%, considered to be best and optimized.
Drug release kinetic models
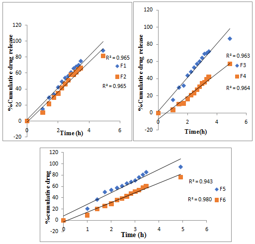
Release data was analyzed by zero-order, first-order, Higuchi and Peppas equation models, their plots and ‘r’ values were shown in fig. 5-7 and table 5. When the release data were analyzed as per zero and first-order models, the ‘r’ values were relatively higher in the first-order model with all the formulations of pharmacosomes, indicating that the drug release from all these formulations followed first-order kinetics. Drug release data also obeyed Higuchi and Peppas equation models with ‘r’ values greater than 0.943. When percent release was plotted against √time, linear regressions with ‘r’>0.943 were observed with all the formulations prepared, indicating that the drug release from all these formulations was diffusion controlled from the pores on the particle surface. When the release data were analyzed as per the Peppas equation, the release exponent ‘n’ was found in the range 0.4693 to 0.8801, indicating non-Fickian diffusion as the release mechanism for all the formulations.
Table 4: In vitro dissolution profile of simvastatin loadedpharmacosomes
| Time (h) | *F1 mean±SD | *F2 mean±SD | *F3 mean±SD | *F4 mean±SD | *F5 mean±SD | *F6 mean±SD |
| % drug release | ||||||
| 0 | 0 | 0 | 0 | 0 | 0 | 0 |
| 1 | 3.62±0.54 | 10.64±0.58 | 15.34±0.25 | 9.05±1.24 | 12.24±0.09 | 15.4±0.45 |
| 2 | 10.34±0.79 | 21.43±0.47 | 28.73±0.58 | 19.94±0.74 | 24.32±0.86 | 23.43±0.62 |
| 3 | 16.42±0.55 | 29.53±0.84 | 43.87±0.43 | 25.38±0.18 | 39.41±0.41 | 29.37±0.69 |
| 4 | 20.65±0.82 | 34.48±1.97 | 48.14±0.79 | 29.11±0.56 | 45.68±0.59 | 31.51±0.15 |
| 5 | 27.14±0.91 | 41.27±0.28 | 53.15±0.83 | 38.56±0.75 | 50.01±0.67 | 38.43±0.48 |
| 6 | 34.49±0.34 | 46.21±0.68 | 60.24±0.53 | 47.34±0.19 | 54.85±0.34 | 45.04±1.05 |
| 7 | 36.04±0.19 | 50.79±0.91 | 69.12±0.05 | 53.14±0.54 | 58.04±0.22 | 51.16±0.29 |
| 8 | 42.35±0.16 | 57.89±0.33 | 73.98±0.45 | 60.45±0.16 | 63.44±0.49 | 54.09±0.47 |
| 24 | 57.32±0.59 | 66.12±0.84 | 86.88±0.26 | 76.09±0.54 | 68.14±0.94 | 72.43±0.93 |
(Where n = 3), *n 3 observations, SD Standard deviation value

Fig. 4: In vitro dissolution profile of formulation (F1-F6), (Where n = 3, mean±SD)
Table 5: Kinetics of drug release (F1-F6)
Formulations code |
Zero order R2 value |
First order R2 value |
Higuchi’s R2 value |
Korsmeyer Peppas | |
| R2 value | n value | ||||
| F1 | 0.7769 | 0.9977 | 0.9656 | 0.9598 | 0.5875 |
| F2 | 0.8068 | 0.9955 | 0.9653 | 0.9572 | 0.6497 |
| F3 | 0.7850 | 0.9940 | 0.9630 | 0.9590 | 0.5578 |
| F4 | 0.9070 | 0.9857 | 0.9641 | 0.9693 | 0.8801 |
| F5 | 0.7728 | 0.9918 | 0.9432 | 0.9383 | 0.4693 |
| F6 | 0.8649 | 0.9948 | 0.9668 | 0.9549 | 0.6141 |



Fig. 5: First order plots (F1-F6)

Fig. 6: Higuchi plots (F1-F6)

Fig. 7: Korsmeyer peppas plots (F1-F6)

Fig. 8: SEM of optimised formulation (F3)
Determination of particle surface morphology by SEM
The shape and surface morphology of Optimized formulation (F3) was studied by SEM. The microphotographs in fig. 8, revealed that the particles roughly spherical in shape.
Attenuated total reflectance–fourier transform infrared (ATR-FT-IR)
The possible interactions between the drug and the excipients were studied by IR spectroscopy. From the FT-IR study, the characteristic peaks of drugs such as free O-H stretch (γ-aromatic ring) 3544, Methyl C-H symmetric stretch; Methylene C-H asymmetric stretch, (2924), Ester C=O stretch (1704), Lactone-C-O-C bend (1264), Ester-C-O-C-bend(1164), Secondary alcohol C-O stretch(1060)appeared for pure drug simvastatin in fig. 9. For optimized formulation (F3) of pharmacosomes of all peaks which have been obtained for the pure drug were available at near wavelength for free O-H stretch (γ-aromatic ring) (3539), Methyl C-H symmetric stretch; Methylene C-H asymmetric stretch (2924), Ester C=O stretch (1709), Methylene C-H symmetric bend; Methyl C-H asymmetric bend (1456), Secondary alcohol C-O stretch(1055), Alcohol, OH out-of-plane bend(578), remaining peaks also either shifted or replaced in the IR spectrum. The FT-IR spectra of polymer and their physical mixtures with drug were shown in fig. 10. From the physical mixtures of drug, lipid, and polymer, there was no major shifting as well as loss of any functional peaks between the spectra of drug and physical mixtures as shown in the tablets. Hence, it was confirmed that there are no interactions between the drug and the polymer. This finding was further supported by DSC studies.
Table 6: Shows FTIR spectra of pure drug simvastatin
| Wave No(cm-1) | Functional group |
| 3544 | Free OH-stretch (γ-aromatic ring) |
| 2924 | Methyl C-H symmetric stretch; Methylene C-H asymmetric stretch |
| 1704 | Ester C=O stretch |
| 1264 | Lactone-C-O-C bend |
| 1164 | Ester-C-O-C-bend |
| 1060 | Secondary alcohol C-O stretch |
Table 7: Shows FTIR spectra of optimised formulation (F3)
| Wave No(cm-1) | Functional group |
| 3539 | Free OH-stretch (γ-aromatic ring) |
| 2924 | Methyl C-H symmetric stretch; Methylene C-H asymmetric stretch |
| 1709 | Ester C=O stretch |
| 1456 | Methylene C-H symmetric bend; Methyl C-H asymmetric bend |
| 1055 | Secondary alcohol C-O stretch |
| 578 | Alcohol, OH out-of-plane bend |

Fig. 9: FT-IR spectra peaks of pure drug (Simvastatin)

Fig. 10: FT-IR spectra peaks of optimized formulation (F3)
Differential scanning calorimeter (DSC)
The differential scanning calorimetry was carried out for the simvastatin loaded pharmacosomes, to study the compatibility or any interaction between drug and lipid and selected solvent is shown in fig. 11 and 12. DSC thermogram of pure drug exhibited a sharp endothermic peak at 140.2 °C corresponding to its melting point and the peak obtained for the optimized formulation is at 136.9 °C. Thus there was no significant change in the position of peak of the drug in the simvastatin pharmacosomes, but there is change in the relative intensities of the peak. It may be due to reduced drug crystallinity and also indicates that the drug is only physically entrapped in the polymer matrix and there is no interaction between drug and lipid.

Fig. 11: DSC of simvastatin (Pure drug)

Fig. 12: DSC of Optimised formulation (F3)
Formulation of simvastain pharmacosomes loaded transdermal patch
Pharmacosomes loaded transdermal drug delivery system administered through the transdermal route will increase the therapeutic effect of the loaded drug and reduce the dose frequency to achieve the same therapeutic effects. It acts as a suitable dosage form for the category of low soluble and permeable drug by improving their bioavailability [27].
The pharmacokinetic data of pure simvastatin has low bioavailability of 5%, High protein binding capacity of 95%, and it undergoes hepatic metabolism (CYP3A4) with biological half-life of less than 2 h paves the way to formulate it into carrier system [28].
Pharmacosomes loaded transdermal patch was prepared by the solvent evaporation method. Four pharmacosome loaded transdermal formulations was formulated by changing the concentration of polymer proportion HPMC, dibutylpthalate, and concentration of permeation enhancers DMSO as shown in table 8. Weighed quantity of polymer was dispersed in 10 ml of chloroform and stirred well in a magnetic stirrer at 1000 rpm until it gets a uniform semi-transparent thickened solution. Then add the required volume of permeation enhancers. Continuously stir the above solution until it gets a uniform viscous solution. With the solution obtained, add pharmacosomes loaded equivalent to 10 mg of the drug until it gets a uniformly dispersed solution. Then take a lubricated glass slide and keep it in a horizontally uniform substrate and pour the above solution uniformly in it. Care should be taken, i.e., air entrapment or avoid bubble formation and overflow of the solution. Allow the solvent to evaporate in room temperature, until it dries and remove the patch from the substrate and store it in a desiccators for further evaluation studies [29, 30].
Table 8: Formulation chart of pharmacosome transdermal patch
| Formulation code | Simvastain pharmacosomes | HPMC 15 | Ethyl cellulose | Dibutyl phthalate |
DMSO | Methanol: dicholromethane (1:1) |
| S3 | 10 mg | 450 mg | 130 mg | 0.4 ml | 0.1 ml | 10 ml |
| S4 | 10 mg | 460 mg | 230 mg | 0.4 ml | 0.1 ml | 10 ml |
| S6 | 10 mg | 400 mg | 270 mg | 0.4 ml | 0.1 ml | 10 ml |
Table 9: Physico-chemical characterization of pharmacosomes loaded transdermal patches of simvastatin
| Formulation code | *Surface pH | *Weight uniformity (gm) | *Thickness | *% swellabiliy | *Drug content |
| S3 | 6.15±0.08 | 1.12±1.73 | 0.146±0.0096 | 13.50±0.028 | 68.36±0.284 |
| S4 | 6.35±0.072 | 1.18±2.23 | 0.232±0.0094 | 11.57±0.02 | 58.36±0.056 |
| S6 | 5.65±0.037 | 0.75±1.72 | 0.174±0.0071 | 11.68±0.03 | 46.35±0.025 |
(Where n = 3, mean±SD)
Table: 10 Comparison of in vitro studies of pharmacosomes (F3) with, pure drug solution (PDS), and pharmacosome loaded patch (S3)
| Time (h) | Simvastain pharmacosomes (F3) | Pure drug | Pharmacosomepatch (S3) |
| 0 | 0 | 0 | 0 |
| 1 | 15.34±0.25 | 4.61±0.214 | 6.25±0.152 |
| 2 | 28.73±0.58 | 6.25±0.325 | 18.17±0.985 |
| 3 | 43.87±0.43 | 9.42±0.365 | 24.6±0.452 |
| 4 | 48.14±0.79 | 10.28±0.958 | 28.9±0.524 |
| 5 | 53.15±0.83 | 12.3±0.125 | 39.6±0.365 |
| 6 | 60.24±0.53 | 14.51±0.698 | 42.6±0.258 |
| 7 | 69.12±0.05 | 17.68±0.625 | 54.5±0.457 |
| 8 | 73.98±0.45 | 19.51±1.025 | 60.4±0.635 |
| 24 | 86.88±0.26 | 33.25±0.368 | 92.65±0.128 |
(Where n = 3, mean±SD)

Fig. 13: %drug release of formulations (Pure drug, F3 optimised formulation), (Where n = 3 and data is given as mean)

Fig. 14: SEM analysis of pharmacosome transdermal patch (F3)
A satisfactory attempt was made to develop simvastatin pharmacosomes by selecting varying ratios of drug and lipid in suitable solvent. Optimised formulation was obtained by subjecting to characterization and then best formulation is incorporated into transdermal patch subjected to evaluation studies for surface pH, thickness, % swellability, and weight uniformity. Studies revealed that simvastain pharmacosomes formulation (F3) has shown 86.88 % drug release and patch (S3) shown 92% release rate compared to other formulations and other parameters like; patch surface pH 6.15±0.08, thickness 0.146±0.0096 mm, weight uniformity 1.12±1.73, % swell-ability 13.50±0.028, obtained values are within the standard limits for optimised patch. It is concluded through the results that simvastatin pharmacosomes and pharmacosome transdermal patch are promising control release vehicle for effective percutaneous drug delivery compared to pure simvastatin drug.
Authors are thankful to Sri Padmavati Mahila University for providing facilities to carry out research work.
Nil
All the authors have equally contributed to this manuscript.
The authors declare no conflict of interest.
Kavitha D, Naga Sowjanya J, Panaganti S. Pharmacosomes: an emerging vesicular system. Int J Pharm Sci Rev Res. 2010;5(3):168-71.
Patel JL, Bharadia PD. A review on: pharamacosomes as a novel vesicular drug delivery system. WJPR. 2012;1:456-69.
More SB, Nandgude TD, Poddar SS. Vesicles as a tool for enhanced topical drug delivery. Asian J Pharm. 2016;10(3):S196-209.
Sharma S, Mishra L, Grover I, Gupta A, Kaur K. Liposomes: vesicular system an overview. Int J Pharm Pharm Sci. 2010;2(4):15-21.
Deepti A, Madhukar R, Jukanti R, Suresh B, Reddy P, Reddy V. Provesicular drug delivery systems: an overview and appraisal. Scholars Research Library. 2010;2:135-46.
Kesarvani RK, Sharma AK, Ayaz MD. Review novel drug delivery system for the vesicular delivery of drug by the niosomes. Int J Res Control Release. 2011;1:1-8.
Gupta S, Singh RP, Lokwani P, Yadav S, Gupta SK. Vesicular system as targeted drug delivery system: an overview. Int J Pharm Technol. 2011;3(2):987-1021.
Li Y, Yang DJ, Chen SL, Chen SB, Chan AS. Comparative physicochemical characterization of phospholipids complex of puerarin formulated by conventional and supercritical methods. Pharm Res. 2008;25(3):563-77. doi: 10.1007/s11095-007-9418-x, PMID 17828444.
Singh D, Singh Maniyari Rawat MSM, Semalty A, Semalty M. Gallic acid-phospholipid complex: drug incorporation and physicochemical characterization. Lett Drug Des Discov. 2011;8(3):284-91. doi: 10.2174/157018011794578240.
Bhatt DA, Pethe AM. Lipoidal technology-a promising drug delivery for poorly water soluble drugs. Int J Pharmres Dev. 2010;2(7):1-11.
Touitou E, Dayan N, Bergelson L, Godin B, Eliaz M. Ethosomes– novel vesicular carriers for enhanced delivery: characterization and skin penetration properties. J Control Release. 2000;65(3):403-18. doi: 10.1016/s0168-3659(99)00222-9, PMID 10699298.
Rao Y, Zheng F, Zhang X, Gao J, Liang W. In vitro percutaneous permeation and skin accumulation of finasteride using vesicular ethosomal carriers. AAPS PharmSciTech. 2008;9(3):860-5. doi: 10.1208/s12249-008-9124-y.
Mamatha T, Venkateswara Rao JV, Mukkanti K, Ramesh G. Development of matrix type transdermal patches of lercanidipine hydrochloride: physicochemical and in vitro characterization. Daru. 2010;18(1):9-16. PMID 22615587.
Padula C, Nicoli S, Aversa V, Colombo P, Falson F, Pirot F. Bioadhesive film for dermal and transdermal drug delivery. Eur J Dermatol. 2007;17(4):309-12. doi: 10.1684/ejd.2007.0205, PMID 17540637.
Prabhakar D, Sreekanth J, Jayaveera KN. Transdermal drug delivery patches: a review. J Drug Delivery Ther. 2013;3(4):213-21. doi: 10.22270/jddt.v3i4.590.
Alkilani AZ, McCrudden MT, Donnelly RF. Transdermal drug delivery: innovative pharmaceutical developments based on disruption of the barrier properties of the stratum corneum. Pharmaceutics. 2015;7(4):438-70. doi: 10.3390/pharmaceutics7040438, PMID 26506371.
Kumar P, Radhika PR, Sivakumar T. Ethosomes-a priority in transdermal drug delivery. Int J Adv Pharm Sci. 2010:111-21.
Duane WC, Hunninghake DB, Freeman ML, Pooler PA, Schlasner LA, Gebhard RL. Simvastatin, a competitive inhibitor of HMG-CoA reductase, lowers cholesterol saturation index of gallbladder bile. Hepatology. 1988;8(5):1147-50. doi: 10.1002/hep.1840080531, PMID 3047037.
Sharma S, Aggarwal G, Dhawan S. Design and evaluation of olanzapine transdermal patches containing vegetable oils as permeation enhancers. Scholars Research Library. 2010;2(6):84-98.
Shivalingam MR, Balasubramanian A, Ramalingam K. Formulation and evaluation of transdermal patches of pantoprozole sodium. Int J Appl Pharm. 2021;13(5):287-91.
Das PS, Saha P. Design and characterisation of transdermal patches of phenformin hydrochloride. Int J Curr Pharm Sci. 2017;9(6):90-3. doi: 10.22159/ijcpr.2017v9i6.23437.
Andrade LM, de Fatima Reis C, Maione Silva L, Anjos JL, Alonso A, Serpa RC. Impact of lipid dynamic behavior on physical stability, in vitro release and skin permeation of genistein-loaded lipid nanoparticles. Eur J Pharm Biopharm. 2014;88(1):40-7. doi: 10.1016/j.ejpb.2014.04.015, PMID 24816130.
Fu Y, Kao WJ. Drug release kinetics and transport mechanisms of non-degradable and degradable polymeric delivery systems. Expert Opin Drug Deliv. 2010;7(4):429-44. doi: 10.1517/17425241003602259, PMID 20331353.
Arifin DY, Lee LY, Wang CH. Mathematical modeling and simulation of drug release from microspheres: implications to drug delivery systems. Adv Drug Deliv Rev. 2006;58(12-13):1274-325. doi: 10.1016/j.addr.2006.09.007, PMID 17097189.
Grassi M, Grassi G. Mathematical modelling and controlled drug delivery: matrix systems. Curr Drug Deliv. 2005;2(1):97-116. doi: 10.2174/1567201052772906, PMID 16305412.
Siepmann J, Siepmann F. Mathematical modeling of drug delivery. Int J Pharm. 2008;364(2):328-43. doi: 10.1016/j.ijpharm.2008.09.004, PMID 18822362.
Arora P, Mukherjee B. Design, development, physicochemical, and in vitro and in vivo evaluation of transdermal patches containing diclofenac diethylammonium salt. J Pharm Sci. 2002;91(9):2076-89. doi: 10.1002/jps.10200, PMID 12210054.
Das PS, Saha P. Design and characterisation of transdermal patches of phenformin hydrochloride. Int J Curr Pharm Sci. 2017;9(6):90-3. doi: 10.22159/ijcpr.2017v9i6.23437.
Anod HV, Gupta NV, Gowda DV, MM. Preparation and evaluation of simvastatin transdermal film. Int J App Pharm. 2018;10(5):235-8. doi: 10.22159/ijap.2018v10i5.26657.
Bhaskar K, Anbu J, Ravichandiran V, Venkateswarlu V, Rao YM. Lipid nanoparticles for transdermal delivery of flurbiprofen: formulation, in vitro, ex vivo and in vivo studies. Lipids Health Dis. 2009;8:6. doi: 10.1186/1476-511X-8-6, PMID 19243632.