
1,3Department of Pharmaceutical Sciences, Sam Higginbottom University of Agriculture, Technology and Sciences, Naini, Prayagraj, U. P., India, 2Department of Pharmacy, Government Polytechnic Jaunpur, U. P. India
Email: roohi4mail@gmail.com
Received: 26 Apr 2022, Revised and Accepted: 23 Jun 2022
ABSTRACT
Objective: The aim of this study to manufacture the prolonged release lipid nanoparticle (Solid lipid nanoparticle and nanostructure lipid carrier) of repaglinide for enhance the oral bioavailability.
Methods: Solid lipid nanoparticles (SLN) and Nanostructured lipid carriers (NLC) were prepared by slight modification in the solvent diffusion method. The core material used as cetyl alcohol while blend with oleic acid was used in the preparation of NLC dispersion. Tween 80 were utilized as a Surfactant and lecithin as a cosurfactant in both types of lipid formulation. Lipid nanoparticles were characterized for size distribution, entrapment parameter, zeta potential, surface morphology, in vitro drug release and stability study. Pharmacodynamic study were also performed to evaluate the antidiabetic activity of repaglinide-loaded lipid nanodispersion.
Results: It was observed that lipid matrix-based SLN and NLC having significant particle size (157.8±15.8 nm for NLC and 238.4±48.2 nm for SLN dispersion), entrapment efficacy 79.82±0.84% for NLC and 72.04±1.03% for SLN dispersion. Zeta potential report was also clarifying that the formulation is in a stable state for a prolong time. SEM study size distribution of particle as evaluated by Malvern instrument. The formulation was also confirmed to be stable after 180 d of storage, according to the data from the stability study. The in vivo antidiabetic assessment showed that Repaglinide-loaded SLN and NLC dispersion were able to reduce the blood sugar level. Interestingly, in the case of the RPG-SLN, RPG-NLC-I and RPG-NLC-II groups, and the average blood sugar values at all-time intervals were significantly less than that of the basal glucose value (p<0.05).
Conclusion: The prepared SLN and NLC dispersion having the ability to control the release and make nano formulation suitable to resolve poor bioavailability of repaglinide.
Keywords: Repaglinide, Nanostructure lipid carrier, NLC, SLN, Solid lipid nanoparticle, Lipid nanoparticle
© 2022 The Authors. Published by Innovare Academic Sciences Pvt Ltd. This is an open access article under the CC BY license (https://creativecommons.org/licenses/by/4.0/)
DOI: https://dx.doi.org/10.22159/ijap.2022v14i5.45032. Journal homepage: https://innovareacademics.in/journals/index.php/ijap
The oral route administration provides a treasured option for treating numerous diseases as it shows compliance, cost-effectiveness and ease of administration and is considered as the most commonly acknowledged route for drug administration. Miserably, more than 40% of API emerged from the drug discovery and development processes are not appropriate for the drug delivery via oral route as a consequence of their hydrophobic nature and present poor oral bioavailability ultimately the insufficient concentration of the drug is reached to the site of action with consecutively deficient pharmacological response [1-6].
Diabetes mellitus is a widespread, persistent ailment with serious life-threatening results on different parts/functions all over the body. The maximum number of diabetic sufferers is observed to be type ІІ diabetes mellitus, i.e., (non-insulin-dependent). To control this type of diabetes, various classes of oral anti-diabetic drugs are commonly utilized in the market to decrease dosage and adverse events accompanying the drug [7, 8]. Belongs to this various medications available from different classes being utilized, such as Sulfonylurea Thiazolidinedione, Biguanide Meglitinide analogs, and Glucosidase inhibitors etc. [9, 10].
The drug (Repaglinide) is an oral medicament utilized to treat type 2 diabetes; shows poor water solubility is associated with class II Biopharmaceutical Classification System [11-15].
The different Repaglinide (RPG) nanoparticles were formulated, such as nanoemulsions, self-nano emulsifying systems, nanocrystals, and solid lipid nanoparticles and NLC [16-19]. The SLN and NLC, both types of lipid nanocarriers, exhibit the great potential to improve the therapeutic effectiveness of numerous drugs by various routes of administration like oral, parenteral and dermal. There are innumerable investigations which have established the SLN or NLC formulation with therapeutic potential [20-22]. Nowadays, solid lipid nanoparticles (SLNs) and NLC have fascinated much recognition as nanotechnology-based drug delivery systems. Their main benefits such as the chance of controlled and targeting drug release, potential incorporation of hydrophobic as well as hydrophilic drugs, amazing biocompatibility and low biotoxicity [23, 24]. The administration of SLNs via oral route can assuredly increase the lymphatic transport of drugs, consequently, decreased first-pass hepatic metabolism and increased oral bioavailability of the drug is observed [25-27].
Materials
Repaglinide raw material was a gift sample from Guapha Pharm. INDIA, Cetyl alcohol was obtained from Gift sample from Guapha Pharm. INDIA, Oleic acid procured from Loba Chemie Pvt. Ltd., INDIA, Lecithin and Tween80 were purchased from Fizmerk Chemical India; all remaining reagents utilized in this study were high-performance liquid chromatography (HPLC) grade.
Preparation of lipid-based nano dispersion
Repaglinide-loaded nanodispersion (RPG-SLNs/NLCs) was prepared by solvent diffusion method as showed in fig. 1. Optimal amounts of solid lipid and Repaglinide (for NLC liquid lipid also added) were dissolved in 3 ml (for larger size formulation 5 ml) ethanol at 75 °C with stirring. Furthermore, 10 ml aqueous solution consists of 0.5% Lecithin (w/v) (in case of large size formulation 1% Tween 80 used) was heated to the similar temperature and stirring rate. Subsequently, the organic phase was dispersed rapidly in the aqueous phase. After that, under high-speed stirring with the use of T 25 digital Ultra Turrax® (IKA Works GmbH and Co, Germany) at 12000 rpm for 10 min the lipid phase was dispersed into the aqueous phase to obtain a hot pre-emulsion. It was sonicated at 237.5 W. At that time, the solution was quickly shifted into a water bath with–20 °C to solidify the lipid droplets. Composition of different lipid nanoformulations given in table 1 [11, 28-30].

Fig. 1: Diagram of preparation of lipid-based dispersion (SLN and NLC)
Table 1: Lipid nanoparticles composition for different dispersion
| S. No. | Ingredients | SLN-blank | RPG-SLN | NLC-blank | RPG-NLC-I | RPG-NLC-II |
| Repaglinide (mg) | - | 100 | - | 100 | 100 | |
| Cetyl alcohol (mg) | 1000 | 1000 | 700 | 700 | 900 | |
| Oleic Acid (mg) | - | - | 300 | 300 | 100 | |
| Lecithin (mg) | 100 | 100 | 100 | 100 | 100 | |
| Tween 80 (%) | 2.0 | 2.0 | 2.0 | 2.0 | 2.0 |
Characterization of formulation
Particle size and zeta potential (ζ)
The particle size and potential zeta distribution of the preparation SLNs and NLCs populace were measured in view of the dynamic light scattering (DLS) procedure utilizing a laser scattering particle size/zeta analyser (Malvern, model Nano ZS, UK). Considering particle size analysis, all samples were diluted with distilled water to yield a suitable scattering intensity and every value was estimated in sets of three [28].
Scanning electron microscopy
Prepared formulation SLN and NLC characterized for its size, shape and morphological properties with the help of scanning electron microscopy (SEM). The coating of lyophilized nanoparticles occurs with gold and at an acceleration voltage of 7 kV was detected by SEM (ZEISS Multi SEM 505, Germany) [31].
Drug entrapment efficiency determination
The entrapment efficacy of the RPG-NLCs/SLNs was evaluated in a roundabout way by estimating the concentration of free repaglinide in the aqueous environment of nano-dispersion. In brief, approximately 2 ml of RPG-NLCs/SLNs dispersion was centrifuged in Eppendorf tube using cooling centrifugation (REMI instruments Ltd., India) at 12000 rpm (4 °C) for 10 min. The supernatant was filtered and repaglinide was quantified by HPLC at 244 nm after suitable dilution with methanol. Finally, the entrapment efficacy (EE, %) of RPG-NLCs/SLNs was calculated by following equation [32, 24].

Differential scanning calorimetry (DSC)
The DSC was performed on the lyophilized samples to investigate the physical state and polymorphism of the prepared formulation (RPG-NLCs/SLNs). The estimation of DSC was executed by utilizing a differential scanning calorimeter (Shimadzu DSC-50, Japan). In brief, 2 mg of precisely weighed lyophilized samples were put on the aluminium container and sealed. A vacant aluminium pan was used as standard. The pans were heated from 25 °C to 300 °C at a scanning rate of 10 °C per minute in the process of nitrogen flow that is 30 ml/min [33, 34].
Stability studies
To investigate the physical stability of the RPG-SLNandRPG-NLC on storage the formulation were stocked at various temperatures with humidity for a duration of 6 mo in a stability chamber (Labtop stability chamber, Skylab Instrument and Engineering Pvt Ltd, Mumbai, India) and analysed on the day of production and after 30, 60, 90 and 180 d of storage with regards to change in particle size, zeta potential and EE and every measurement were conducted in triplicates [35].
In vitro release study of repaglinide-loaded nano dispersion
The dialysis bag diffusion technique was utilised to analyse the in vitro drug release of nanodispersion. Before use, Dialysis bags (cut-off = 12 KDa) were soaked in distilled water for 24 h. In a dialysis bag, around 3 ml of dispersion equivalent to 2 mg repaglinide was put, and both ends were knotted to avoid leaking and immersed in 100 ml of phosphate-buffered saline (PBS) pH 7.4 at37±0.5 °C. The system was set to 50 rpm continuous magnetic stirring. A 1 ml dispersion sample was extracted and filtered via 0.2 m membrane filter at 0.5, 1, 2, 3, 4, 6, 8, and 12 h. HPLC was used to determine the quantity of repaglinide. To maintain sink condition, the amount of release media was kept constant by adding corrected volumes of PBS after each sampling stage [7, 36].
Kinetic study of the in vitro drug release of the nano-dispersion (SLN and NLC)
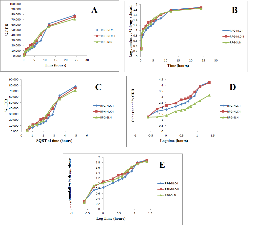
Concerning to find out the best model to explain the kinetic parameters of the drug release profiles, the released data was incorporated into various release kinetic models, like zero order model (% cumulative drug released vs. time), first-order model (log % cumulative drug remained vs. time), Higuchi model (% cumulative drug released vs. square root of time), Hixon-crown model (cube root of % cumulative drug remaining vs. time) and Korsmeyer–Peppas model (log % cumulative drug release vs. log time. Table 2 shows the related equations for each model. The regression coefficient (R2) value was used to measure the degree of correlation in models and to compare each model to others in order to pick the best fit model [37-39].
Table 2: Release kinetics
| S. No. | Function | Equation |
| Zero-order | M0 − M = kt | |
| First order | lnM0 − lnM = kt | |
| Higuchi | M0 − M = kt0.5 | |
| Peppas | M0 − M = ktn | |
| Hixon-crowell | M01/3− M1/3= kt |
In vivo anti-diabetic study
Animal models streptozocin induced diabetes mellitus for anti-diabetic efficacy study was performed and animal used Swiss Albino Wistar rats (140–180 g). The animals were utilized after receiving consent from Institutional Animal Ethics Committee, SHUATS PRAYAGRAJ, (IAEC/lAF/SHUATS/PROTOCOL/01), Government of India. The rats were kept in typical laboratory settings with a 12-hour light/dark cycle at 25 °C and a pellet diet (Lipton, Kolkata, India). Diabetes was established in rats before treatment by a single intraperitoneal (i. p.) injection of 65 mg/kg body weight streptozotocin (STZ). After 14 d, diabetes induction was confirmed by enhanced blood glucose level (≥250 mg/dl). The diabetic rats were further divided into five groups of 6 rats for study, as given in table 3. Group I will be used as negative control (No treatment). Group-II rats will be treated with RPG-Suspension, Group-III, Group IV and Group V will be treated with RPG-SLN, RPG-NLC-Iand RPG-NLC-II. The rat was then restrained, and blood from the tail was collected on a chip at various time intervals, and blood sugar levels were analyzed using a digital glucometer [35, 40, 41].
Table 3: Grouping of animals
| S. No. | Group | Number of animals | Treatment |
| I | 6 | Negative Control | |
| II | 6 | RPG-Suspension | |
| III | 6 | RPG-SLN of Drug | |
| IV | 6 | RPG-NLC-I of Drug | |
| V | 6 | RG-NLC-II of Drug |
RPG-Suspension (equal to 1.32 mg/kg) and RPG-SLN, RPG-NLC-I and RPG-NLC-II (equivalent to 1.32 mg/kg) were given orally to group II; whilst group I was given a 2% w/v sodium carboxymethyl solution. After injection of RPG formulations, blood samples were taken from the Retro-orbital vein at 0, 60, 120, and 240 min, and glucose levels were measured using a glucose measurement kit. For RPG-Suspension and RPG-SLN, RPG-NLC-I and RPG-NLC-II the percent (%) decrease from the basal glucose levels was evaluated by using the following formula:

Where Ao is the baseline glucose level or the glucose level at 0 min. and at is the glucose level‘t’ minutes after the formulations are administered. Dunnett's test was used to determine the percent drop from the baseline value for RPG-suspension and RPG-SLN, RPG-NLC-I and RPG-NLC-II. A statistically significant difference in mean values of p<0.05 was evaluated.
Preparation of RPG-SLN and RPG-NLC
The SLN and NLC were made using the solvent injection approach, which involves intensive solvent diffusion over the solvent-lipid phase in the aqueous phase followed by solvent evaporation, resulting in increased stiffness of lipid nanoparticles. Prior to homogenization, high-speed stirring was used to generate a pre-emulsion phase, RPG was disseminated homogeneously in the molten lipid, and an ethanol solvent was used. To keep the pre-emulsion at or above melting temperature, a hot water bath was utilized.
Particle size and particle size distribution
The particle size data are depicted in fig. 2; the size of nanoparticles is important in determining how effective they are at delivering repaglinide. The RPG-SLN formulation having a mean particle diameter 238.4 nm, while it is smaller in case of RPG-NLC formulation, as depicted in table. NLC-RPG-I having smaller particle size (157.8 nm) as compare to NLC-RPG-II (218.6 nm). As can be observed in table 4, the smallest particle size was attained when the liquid lipid (oleic acid) ratio was 30% with respect to solid lipid (cetyl alcohol). As a result, with increasing solid lipid content, the particle size of nanoparticles is expected to increase for the same concentration of stabilizer (tween 80).

Fig. 2: Particle size of NLC and SLN dispersion
Zeta potential
All formulations had a negative zeta potential, which corresponded to the negative charge of lipids. The absolute value of zeta potential, on the other hand, was influenced by the Tween 80 surfactant utilized in the formulation. Various investigations have proven this property of lipid nanoparticles. Lecithin and cetyl alcohol and the mixture of it showed the highest surface potential due to its ionic characteristic. The zeta potential of SLN was determined to be-13.7mv, while NLC-RPG-I and NLC-RPG-II had zeta potentials of-16.3mv and-15.9mv, respectively. The zeta potential of both formulations indicating the surfaces of the nanoparticle was negatively charged and created nanoparticles were relatively stable. As can be seen in fig. 3, there was not any significant influence of tween80 concentration on the zeta potential value. Because tween 80 is a non-ionic surfactant, this could be the case. It was discovered that a formula with a higher oleic acid concentration in the RPG-NLC resulted in a larger zeta potential value and vice versa. The presence of the carboxylic (COO-) group in oleic acid has been suggested as the cause. This was completely consistent with the findings. Teeranachaideekul noted that raising the percent of medium chain triglycerides increases the zeta potential of NLC due of the negatively charged medium chain triglycerides in their (COO-) group [42].

Fig. 3: Zeta potential of SLN and NLC formulation
Entrapment efficiency (EE)
Entrapment efficiency is a critical criterion for determining the quality of a lipid nanoparticle. It has been noted that the SLN having less entrapment efficiency as compared to NLC. Because NLC containing liquid lipid (oleic acid), which solubilize more amount of RPG, thus increases in the entrapment parameter. Table 4 shows the percentages of repaglinide entrapped in all RPG-SLN and RPG-NLC formulations. Table 4 shows that high EE percent values were reached and that the majority of the repaglinide was entrapped in nanoparticles. RPG-SLN had the lowest entrapment efficiency value of 72.04±1.03, while NLC-RPG-I, which has the largest concentration of liquid lipid, had the highest value of 79.82±0.84. This results can be attributed to the fact that repaglinide is a moderate lipophilic drug and thus has an affinity toward lipid matrix [43]. Moreover, this may be accredited to the structure of solid lipid used as by using highly crystalline lipids with a perfect lattice (e. g. monoacid triglycerides) lead to drug expulsion [44].
Table 4: Characterization of lipid nanoparticles for different preparation
| S. No. | Formulation | Particle size (nm) | Zeta potential (mV) | % Entrapment |
| SLN-Blank | 226.2±33.5 | -13.4±2.16 | - | |
| RPG-SLN | 238.4±48.2 | -13.7±1.80 | 72.04±1.03 | |
| NLC-Blank | 164.6±25.7 | -15.8±3.28 | - | |
| NLC-RPG-I | 157.8±15.8 | -16.3±4.32 | 79.82±0.84 | |
| NLC-RPG-II | 218.6±30.6 | -15.9±3.65 | 76.37±1.63 |
*Data represented as mean±SD (n = 3)
Differential scanning calorimetry (DSC) study
Because it is quick and only requires a few milligram of the sample, the DSC study has been frequently utilized as a rapid thermal approach for determining drug-excipients compatibility. DSC curves of Repaglinide and mixture of repaglinide with cetyl alcohol and physical mixture of RPG, cetyl alcohol and oleic acid and SLN and NLC formulation were obtained. Fig. 4 depicts the thermograms of pure repaglinide, pure cetyl alcohol, a physical mixture of RPG, cetyl alcohol, and oleic acid, as well as the RPG-SLN and RPG-NLC optimized formulas. Repaglinide showed a pronounced endothermic peak at 135.43 °C as seen in the figure. The crystalline condition of pure RPG is indicated by this [45]. At 53.35 °C, the cetyl alcohol produced a strong single endothermic peak. Pure powders showed an endothermic peak at about the same temperature as the physical mixture of the drug and the lipid [46].

Fig. 4: DSC Thermograms A) Repaglinide B) Cetyl alcohol and oleic acid blend (70:30) C) Cetyl Alcohol D) NLC Formulation E) Blend of cetyl alcohol oleic acid tween 80 F) SLN formulation
Table 5: Stability studies data of nanoformulation
| S. No. | Solubility parameter | RPG-SLN | NLC-RPG-I | NLC-RPG-II | |||
| 0 d | 180 d | 0 d | 180 d | 0 d | 180 d | ||
| Particle Size (d90%) | 238.4±48.2 | 244.6±3.40 | 157.8±15.8 | 164.3±12.6 | 218.6±30.6 | 227.3±12.04 | |
| Zeta Potential | -13.7±1.80 | -11.6±1.26 | -16.3±4.32 | -14.8±1.23 | -15.9±3.65 | -14.02±1.64 | |
| % Entrapment | 72.04±1.03 | 70.09±1024 | 79.82±0.84 | 76.44±0.92 | 76.37±1.63 | 74.39±2.04 | |
*Data represented as mean±SD (n = 3)
Stability studies
After 180 d of storage, there were no significant changes in mean particle size, zeta potential and % EE of the optimized formulation, which revealed that the optimized formulation was stable over 6 mo (table 5).
Scanning electron microscopy (SEM) examination
SEM was utilized to evaluate the morphology of SLN and NLC in this study. SEM is a technique for determining the microstructure of sensitive systems like vesicles, emulsions, liquid crystalline phases and also lipid nanoparticles. The particles were consistently in the nanosized range and had a spherical morphology, as seen in fig. 5. A general agglomeration of particles can be observed due to the lipid nature of carriers and due to the sample preparation prior to SEM analysis. In the literature, spherical and non-spherical shapes of SLN and NLC have also been reported by scanning electron microscopy (SEM) [47, 48].
In vitro release study
In vitro study was performed to compare the release rate of the drug from lipid nano dispersion which is named as RPG-SLN, RPG-NLC-I, RPG-NLC-II all having the same quantity of repaglinide 0.1% (1 mg/ml). The cumulative percent release of repaglinide from all the nanodispersion was studied for 24 h, with each sample tested in triplicate. The release profile of repaglinide from SLN and NLC formulations was determined using the dialysis bag method. This is an effective approach for determining the drug's release rate from lipid nanodispersion. Repaglinide was released from nanoparticles in a well-controlled way, as seen in fig. 6. The drug released was gradually raised from the first hour (6.806±0.32% for RPG-NLC-I, 11.426±0.63% for RPG-NLC-II and 10.250±0.92 for RPG-SLN) to 12th hour (62.14±0.23 for RPG-NLC-I, 57.977±0.73 for RPG-NLC-II and 56.240±0.36 for RPG-SLN) and thereafter it was released in a controlled manner for up to 24 h (78.24±0.63 for RPG-NLC-I, 75.65±0.96 for RPG-NLC-II and 71.23±0.84 for RPG-SLN). The initial burst release was due to the release of drugs adsorbed on the surface of nanoparticles in the initial phase [49]. Afterward, a sustained release manner could be attributed to drug-lipid interaction, concentration gradient, and incorporation of drug into the oily carrier core. Sustained release profile leads to the enhanced drug serum concentration and consequently helps to increase the bioavailability of repaglinide [50].

Fig. 5: SEM Image of SLN and NLC dispersion

Fig. 6: In vitro release and kinetic of lipid formulation a) Zero order model b) First order model c) Higuchi model d) Korsmeyer peppas model e) Hixon-crowell root model
In vitro drug release kinetics
The correlation coefficients (R2) between the observed release data and fitted profiles were used to calculate the drug release kinetics, which are described in table 6. The Higuchi model was utilised to release Repaglinide from RPG-SLN, RPG-NLC-I, and RPG-NLC-II, according to the results. According to the Higuchi model, drug release from an insoluble matrix is described as a square root of a time-dependent process based on Fickian diffusion. The medication diffuses at a slower pace as the distance for diffusion rises in Higuchi or square root kinetics. The drug release rate may be influenced by simultaneous swelling and erosion of the polymer. The Korsmeyer-Peppas equation was used to explain the process of drug release, and often very good linearity was reported. The release exponent (n) for RPG-SLN, RPG-NLC-I and RPG-NLC-II formulations was 0.9167, 0.8094 and 0.9369, respectively, illustrating the Fickian diffusion mechanism, as can be seen in table 6. The normal molecular diffusion of the drug happens due to a potential chemical gradient in Fickian diffusional release. In addition, the Peppas model showed high fitness with these data, which indicates that the diffusion, erosion or relaxation processes probably contribute in the release process [51, 52].
Table 6: Release order kinetic study of SLN and NLC formulation
| S. No. | Formulation | Zero order (R2) | First order (R2) | Higuchi (R2) | Hixon-crowell (R2) | Korsmeyer Peppas |
| (R2) | ||||||
| RPG-SLN | 0.8984 | 0.5784 | 0.9635 | 0.9173 | 0.9382 | |
| RPG-NLC-I | 0.9093 | 0.7176 | 0.9097 | 0.9002 | 0.9664 | |
| RPG-NLC-II | 0.9311 | 0.5879 | 0.9723 | 0.9651 | 0.9557 |
In vivo anti-diabetic study
To evaluate in vivo antidiabetic efficacy of optimized drug formulation, animal studies will be performed. Table 7 displays the blood glucose levels recorded for various groups at various time intervals. The blood glucose results obtained for negative controls showed that blood glucose levels did not alter during the trial. The mean blood glucose levels obtained at 60, 120, and 180 min after RPG-Suspension were not substantially different from the basal value; however, the values obtained after 240 min were significantly lower than the basal value. Surprisingly, the mean blood sugar values in the RPG-SLN, RPG-NLC-I, and RPG-NLC-II groups were significantly lower than the baseline glucose value at all-time points (p<0.05). This simply proves that the RPG-SLN, RPG-NLC-I, and RPG-NLC-II formulations are more efficient and superior than RPG-suspension. Table 7 shows the % decrease in the baseline glucose value achieved for groups II, III, IV, and V. The baseline glucose value obtained by groups III, IV, and V was considerably greater (p<0.05) than that of group II. The slow and sustained hypoglycemic response could be due to the slow release of drugs from SLN and NLC.
Table 7: Blood glucose levels are measured for different groups in an anti-diabetic trial
| S. No. | Blood glucose levels (mg dl−1) at different time intervals | |||||
| Group | 0 min | 60 min | 120 min | 180 min | 240 min | |
| I (Negative Control) | 284.32±20.34 | 289.04±32.38 | 292.32±16.36 | 281.84±18.20 | 287.32±22.46 | |
| II (RPG-Suspension) | 280.46±44.32 | 257.32±36.84 | 224.38±42.32 | 218.42±43.67 | 204.82±72.32 | |
| III (RPG-SLN) | 302.78±43.24 | 255.46±52.24 | 220.82±22.63 | 185.76±39.62 | 167.34±82.33 | |
| IV (RPG-NLC-I) | 296.78±32.67 | 240.63±72.34 | 185.58±46.22 | 173.25±82.34 | 152.82±42.44 | |
| V (RG-NLC-II) | 292.36±24.79 | 238.26±58.32 | 180.36±65.21 | 168.55±38.22 | 148.42±36.89 | |
*Data represented as mean±SD (n = 5)
The repaglinide-loaded SLN and NLC dispersions were successfully generated in the current investigation employing a minor change in the solvent diffusion process. In the developed nanosized SLN and NLC formulation, high repaglinide entrapment was achieved. The liquid lipid play a crucible role in particle size as well as percentage entrapment in case of NLC dispersion as compare to SLN where only cetyl alcohol were used. The SLN and NLC that were formed were spherical, with mean sizes of 238 and 157 nm, respectively. The stability results showed that both nano dispersions acquire relatively good physical stability and have a higher ability to hold medications for a longer period of time. In vitro, RPG-loaded SLN and NLC demonstrated sustained regulated biphasic release, whereas the optimised formula's release kinetics followed the Higuchi diffusion kinetics model. Studies on the in vivo pharmacodynamics showed that repaglinide-loaded nanodispersion (SLN and NLC) having a promising nanocarrier for the treatment of diabetes.
Nil
All authors have contributed equally.
Declared none
Poonia N, Kharb R, Lather V, Pandita D. Nanostructured lipid carriers: versatile oral delivery vehicle. Future Sci OA. 2016;2(3):FSO135. doi: 10.4155/fsoa-2016-0030, PMID 28031979.
Patel P, Patel M. Nanostructured lipid carriers-a versatile carrier for oral delivery of lipophilic drugs. Recent Pat Nanotechnol. 2021;15(2):154-64. doi: 10.2174/ 1872210514666200909154959, PMID 32912129.
Gaba B, Fazil M, Ali A, Baboota S, Sahni JK, Ali J. Nanostructured lipid (NLCs) carriers as a bioavailability enhancement tool for oral administration. Drug Deliv. 2015 Aug 18;22(6):691-700. doi: 10.3109/10717544.2014.898110, PMID 24670099.
Banerjee S, Pillai J. Solid lipid matrix mediated nanoarchitectonics for improved oral bioavailability of drugs. Expert Opin Drug Metab Toxicol. 2019 Jun 3;15(6):499-515. doi: 10.1080/17425255.2019.1621289, PMID 31104522.
Pathak K, Raghuvanshi S. Oral bioavailability: issues and solutions via nanoformulations. Clin Pharmacokinet. 2015 Mar 21;54(4):325-57. doi: 10.1007/s40262-015-0242-x, PMID 25666353.
Zhang L, Wang S, Zhang M, Sun J. Nanocarriers for oral drug delivery. J Drug Target. 2013 Jul;21(6):515-27. doi: 10.3109/1061186X.2013.789033, PMID 23621127.
Ebrahimi HA, Javadzadeh Y, Hamidi M, Jalali MB. Repaglinide-loaded solid lipid nanoparticles: effect of using different surfactants/stabilizers on physicochemical properties of nanoparticles. Daru. 2015 Sep 21;23(1):46. doi: 10.1186/s40199-015-0128-3, PMID 26392174.
Culy CR, Jarvis B. Repaglinide: a review of its therapeutic use in type 2 diabetes mellitus. Drugs. 2001;61(11):1625-60. doi: 10.2165/00003495-200161110-00008, PMID 11577798.
Lokhande AB, Mishra S, Kulkarni RD, Naik JB. Preparation and characterization of repaglinide-loaded ethylcellulose nanoparticles by solvent diffusion technique using a high-pressure homogenizer. J Pharm Res. 2013 May;7(5):421-6. doi: 10.1016/j.jopr.2013.04.049.
Tripathi K. Essentials of medical pharmacology. Essentials Med Pharmacol; 2008.
Rawat MK, Jain A, Singh S. In vivo and cytotoxicity evaluation of repaglinide-loaded binary solid lipid nanoparticles after oral administration to rats. J Pharm Sci. 2011 Jun;100(6):2406-17. doi: 10.1002/jps.22454, PMID 21491451.
Jain S, Saraf S. Repaglinide-loaded long-circulating biodegradable nanoparticles: a rational approach for the management of type 2 diabetes mellitus. J Diabetes. 2009;1(1):29-35. doi: 10.1111/j.1753-0407.2008.00001.x, PMID 20923517.
Tavakoli N, Minaiyan M, Tabbakhian M, Pendar Y. Preparation and evaluation of a controlled drug release of repaglinide through matrix pellets: in vitro and in vivo studies. J Microencapsul. 2014;31(6):529-34. doi: 10.3109/02652048.2014.885604, PMID 24697183.
Pandey SS, Patel MA, Desai DT, Patel HP, Gupta AR, Joshi SV. Bioavailability enhancement of repaglinide from transdermally applied nanostructured lipid carrier gel: optimization, in vitro and in vivo studies. J Drug Deliv Sci Technol. 2020 Jun 1;57:101731. doi: 10.1016/j.jddst.2020.101731.
Vijayan V, Reddy KR, Sakthivel S, Swetha C. Optimization and characterization of repaglinide biodegradable polymeric nanoparticle loaded transdermal patchs: in vitro and in vivo studies. Colloids Surf B Biointerfaces. 2013 Nov 1;111:150-5. doi: 10.1016/j.colsurfb.2013.05.020, PMID 23792547.
Patel DK, Kumar V, Kesharwani R. Lipid nanoparticle topical and transdermal delivery: a review on production, penetration mechanism to skin. CNANOM. 2019;09. doi: 10.2174/ 2468187309666190619113528.
Pardeike J, Hommoss A, Muller RH. Lipid nanoparticles (SLN, NLC) in cosmetic and pharmaceutical dermal products. Int J Pharm. 2009;366(1-2):170-84. doi: 10.1016/ j.ijpharm.2008.10.003, PMID 18992314.
Muller RH, Mader K, Gohla S. Solid lipid nanoparticles (SLN) for controlled drug delivery– a review of state of the art. Eur J Pharm Biopharm. 2000;50(1):161-77. doi: 10.1016/s0939-6411(00)00087-4, PMID 10840199.
Patel DK, Tripathy S, Nair SK, Kesharwani R. Nanostructured lipid carrier (NLC) a modern approach for topical delivery: a review. World J Pharm Pharm Sci. 2013;2(3):921-38.
Patel DK, Kesharwani R, Kumar V. Etodolac loaded solid lipid nanoparticle-based topical gel for enhanced skin delivery. Biocatal Agric Biotechnol. 2020;29. doi: 10.1016/ j.bcab.2020.101810.
Patel DK, Kesharwani R, Kumar V. Lipid nanoparticle topical and transdermal delivery: a review on production, penetration mechanism to skin. Int J Pharm Investig. 2019;9(4):148-53. doi: 10.5530/ijpi.2019.4.28.
Pardeike J, Hommoss A, Muller RH. Lipid nanoparticles (SLN, NLC) in cosmetic and pharmaceutical dermal products. Int J Pharm. 2009;366(1-2):170-84. doi: 10.1016/ j.ijpharm.2008.10.003, PMID 18992314.
Kesharwani R, Sachan A, Singh S, Patel D. Formulation and evaluation of solid lipid nanoparticle (SLN) based topical gel of etoricoxib. J App Pharm Sci. 2016:124-31. doi: 10.7324/ JAPS.2016.601017.
Patel DK, Kesharwani R, Al-Abbasi FA, Anwar F, Kumar V. Topical nanostructured lipid carrier (NLC) gel of etodolac: central composite design, optimization, in vitro skin penetration and dermatokinetic study. Latin American Journal of Pharmacy 2021;40(10):2487-97.
Mukherjee S, Ray S, Thakur RS. Solid lipid nanoparticles: A modern formulation approach in drug delivery system. Indian J Pharm Sci. 2009;71(4):349-58. doi: 10.4103/0250-474X.57282, PMID 20502539.
Gaba B, Fazil M, Ali A, Baboota S, Sahni JK, Ali J. Nanostructured lipid (NLCs) carriers as a bioavailability enhancement tool for oral administration. Drug Deliv. 2015;22(6):691-700. doi: 10.3109/10717544.2014.898110, PMID 24670099.
Mehnert W, Mader K. Solid lipid nanoparticles: production, characterization and applications. Adv Drug Deliv Rev. 2001;47(2-3):165-96. doi: 10.1016/s0169-409x(01)00105-3, PMID 11311991.
Wu L, Zhao L, Su X, Zhang P, Ling G. Repaglinide-loaded nanostructured lipid carriers with different particle sizes for improving oral absorption: preparation, characterization, pharmacokinetics, and in situ intestinal perfusion. Drug Deliv. 2020;27(1):400-9. doi: 10.1080/10717544.2019.1689313, PMID 31729898.
Swidan SA, Ghonaim HM, Samy AM, Ghorab MM. Efficacy and in vitro cytotoxicity of nanostructured lipid carriers for paclitaxel delivery article info abstract. J Appl Pharm Sci. 2016;6(9):18-26.
Shi F, Wei Z, Zhao Y, Xu X. Nanostructured lipid carriers loaded with baicalin: an efficient carrier for enhanced antidiabetic effects. Pharmacogn Mag. 2016 Jul 1;12(47):198-202. doi: 10.4103/0973-1296.186347, PMID 27601850.
Maity S, Mukhopadhyay P, Kundu PP, Chakraborti AS. Alginate coated chitosan core-shell nanoparticles for efficient oral delivery of naringenin in diabetic animals-an in vitro and in vivo approach. Carbohydr Polym. 2017 Aug 15;170:124-32. doi: 10.1016/j.carbpol.2017.04.066, PMID 28521977.
Deshkar S, Quazi N, Patil A, Poddar S. Effect of gelucire 44/14 on fluconazole solid lipid nanoparticles: formulation, optimization and in vitro characterization. Drug Deliv Lett. 2016 Apr 7;5(3):173-87. doi: 10.2174/221030310503160401121141.
Mazumder S, Dewangan AK, Pavurala N. Enhanced dissolution of poorly soluble antiviral drugs from nanoparticles of cellulose acetate based solid dispersion matrices. Asian J Pharm Sci. 2017 Nov 1;12(6):532-41. doi: 10.1016/j.ajps.2017.07.002, PMID 32104366.
Kharwade RS, Mahajan NM. Formulation and evaluation of nanostructured lipid carriers based anti-inflammatory gel for topical drug delivery system. Asian J Pharm Clin Res. 2019 Apr 7;12:286-91.
Jahangir MA, Khan R, Sarim Imam S. Formulation of sitagliptin-loaded oral polymeric nano scaffold: process parameters evaluation and enhanced antidiabetic performance. Artif Cells Nanomed Biotechnol. 2018 Oct 31;46Suppl 1:66-78. doi: 10.1080/21691401.2017.1411933, PMID 29226729.
Lokhande A, Mishra S, Kulkarni R, Naik J. Development and evaluation of nateglinide loaded polycaprolactone nanoparticles. Micro Nanosystems. 2015 Jun 28;7(1):43-8. doi: 10.2174/1876402907666150624173231.
Yuan H, Wang LL, Du YZ, You J, Hu FQ, Zeng S. Preparation and characteristics of nanostructured lipid carriers for control-releasing progesterone by melt-emulsification. Colloids Surf B Biointerfaces. 2007 Nov 15;60(2):174-9. doi: 10.1016/j.colsurfb.2007.06.011, PMID 17656075.
Czajkowska Kosnik A, Szymanska E, Czarnomysy R, Jacyna J, Markuszewski M, Basa A. Nanostructured lipid carriers engineered as topical delivery of etodolac: optimization and cytotoxicity studies. Materials (Basel). 2021 Feb 1;14(3):1-21. doi: 10.3390/ma14030596, PMID 33514018.
Dhome AG, Deshkar SS, Shirolkar SV. Gliclazide solid lipid nanoparticles: formulation, optimization and in vitro characterization. Pharm Reson. 2018;1:1.
Rawat MK, Jain A, Singh S. Studies on binary lipid matrix based solid lipid nanoparticles of repaglinide: in vitro and in vivo evaluation. J Pharm Sci. 2011 Jun;100(6):2366-78. doi: 10.1002/jps.22435, PMID 21491449.
Date AA, Vador N, Jagtap A, Nagarsenker MS. Lipid nanocarriers (GeluPearl) containing amphiphilic lipid Gelucire 50/13 as a novel stabilizer: fabrication, characterization and evaluation for oral drug delivery. Nanotechnology. 2011 Jul 8;22(27):275102. doi: 10.1088/0957-4484/22/27/275102, PMID 21606564.
Teeranachaideekul V, Muller RH, Junyaprasert VB. Encapsulation of ascorbyl palmitate in nanostructured lipid carriers (NLC)-Effects of formulation parameters on physicochemical stability. International Journal of Pharmaceutics. 2007;340(1-2):198-206. doi: 10.1016/j.ijpharm.2007.03.022, PMID 17482778.
El-Housiny S, Shams Eldeen MAS, El-Attar YA, Salem HA, Attia D, Bendas ER, El-Nabarawi MA. Fluconazole-loaded solid lipid nanoparticles topical gel for the treatment of pityriasis versicolor: formulation and clinical study. Drug Delivery. 2018;25(1):78-90. doi: 10.1080/10717544.2017.1413444, PMID 29239242.
Westesen K, Bunjes H, Koch MHJ. Physicochemical characterization of lipid nanoparticles and evaluation of their drug loading capacity and sustained release potential. Journal of Controlled Release. 1997;48:223-36. doi: 10.1016/S0168-3659(97)00046-1.
Purvis T, Mattucci ME, Crisp MT, Johnston KP, Williams RO. Rapidly dissolving repaglinide powders are produced by the ultra-rapid freezing process. AAPS PharmSciTech. 2007 Jul 20;8(3):E58. doi: 10.1208/pt0803058, PMID 17915808.
Kassem AA, Abd El-Alim SH, Basha M, Salama A. Phospholipid complex enriched micelles: A novel drug delivery approach for promoting the antidiabetic effect of repaglinide. Eur J Pharm Sci. 2017 Mar 1;99:75–-84. doi: 10.1016/j.ejps.2016.12.005, PMID 27998799.
Muller R. Cyclosporine-loaded solid lipid nanoparticles (SLN®): drug-lipid physicochemical interactions and characterization of drug incorporation. European Journal of Pharmaceutics and Biopharmaceutics. 2008;68(3):535-44. doi: 10.1016/j.ejpb.2007.07.006.
Marquele Oliveira F, de Almeida Santana DC, Taveira SF, Vermeulen DM, Moraes de Oliveira AR, da Silva RS, Lopez RFVMarquele-Oliveira F, Santana DC, Taveira SF, Vermeulen DM, de Oliveira AR, da Silva RS. Development of nitrosyl ruthenium complex-loaded lipid carriers for topical administration: improvement in skin stability and in nitric oxide release by visible light irradiation. Journal of Pharmaceutical and Biomedical Analysis. 2010;53(4):843-51. doi: 10.1016/j.jpba.2010.06.007, PMID 20634015.
Mohseni R, ArabSadeghabadi Z, Ziamajidi N, Abbasalipourkabir R, RezaeiFarimani A. Oral administration of resveratrol-loaded solid lipid nanoparticle improves insulin resistance through targeting expression of SNARE proteins in adipose and muscle tissue in rats with type 2 diabetes. Nanoscale Research Letters. 2019;14(1):227. doi: 10.1186/s11671-019-3042-7, PMID 31290033.
Vijayakumar MR, Kumari L, Patel KK, Vuddanda PR, Vajanthri KY, Mahto SK, Singh S. Intravenous administration of trans-resveratrol-loaded TPGS-coated solid lipid nanoparticles for prolonged systemic circulation, passive brain targeting and improved in vitro cytotoxicity against C6 glioma cell lines. RSC Advances. 2016;6(55):50336-48. doi: 10.1039/C6RA10777J.
Siepmann J, Siepmann F. Mathematical modeling of drug delivery. International Journal of Pharmaceutics. 2008;364(2):328-43. doi: 10.1016/j.ijpharm.2008.09.004, PMID 18822362.
Ebrahimi HA, Javadzadeh Y, Hamidi M, Jalali MB. Repaglinide-loaded solid lipid nanoparticles: effect of using different surfactants/stabilizers on physicochemical properties of nanoparticles. Daru. 2015;23(1):46. doi: 10.1186/s40199-015-0128-3, PMID 26392174.