
1Noida Institute of Engineering and Technology, Plot no-19, Knowledge Park-II, Greater Noida, Uttar Pradesh 201306, India, 2*Lloyd School of Pharmacy, Plot no-3, Knowledge Park-II, Greater Noida, Uttar Pradesh 201306, India
Email: anjalirajora111@gmail.com
Received: 26 May 2022, Revised and Accepted: 30 Aug 2022
ABSTRACT
Objective: This work was aimed to formulate and evaluate the effect of zein on Ciprofloxacin HCl floating tablets. According to previous studies, it was set up to be useful against bacteria i.e. Helicobacter pylori which leads to peptic ulcers. Thus, it is quite necessary to enhance the Gastric Retention Time for similar medicines.
Methods: 12 different floating tablets of Ciprofloxacin HCl were formulated with wet granulation method with a rise in the concentration of zein. Further, all different formulations prepared were evaluated for different parameters i.e. pre-compression considerations, along with post-compression factors like weight variation, content uniformity, thickness, visual assessment, hardness, friability, buoyancy studies i.e. total floating time as well as floating lag time, swelling index, dissolution and drug release kinetics.
Results: The F6 formulation was considered to be among finest formulation with appropriate hardness. It was found that with the increasing concentration of zein, the hardness of tablets was also increased. It showed TFT of more than 7 h, FLT of 310 sec, a swelling index time of 99.5 % in 4 hr, while drug release kinetics was found to follow Higuchi Model.
Conclusion: Overall it was also found that HPMCK-100M is more effective as compared to HPMC-K15M and Zein has a major role in increasing the hardness of tablets. In the future, the investigation will be continued with the following studies: An in vivo study and a long-term stability study.
Keywords: Ciprofloxacin hydrochloride, Zein, Peptic ulcer, Gastroretentive drug delivery, Higuchi model, Floating time
© 2022 The Authors. Published by Innovare Academic Sciences Pvt Ltd. This is an open access article under the CC BY license (https://creativecommons.org/licenses/by/4.0/)
DOI: https://dx.doi.org/10.22159/ijap.2022v14i6.45354. Journal homepage: https://innovareacademics.in/journals/index.php/ijap
Oral delivery system is among the most desired way of drug delivery owing to, ease of administration, easy preparation and patient compliance. A Floating Drug Delivery System i.e. (FDDS) is principally designed to accomplish extended Gastric Emptying Time (GET) (typically 2-3 h) and bioavailability through the first absorption region of the stomach or upper intestine [1]. The oral delivery is a recognized way that supports various drugs. Gastro retentive drug delivery system (GRDDS) is a way to augment Gastric Residence Time (GRT) by providing the precise release of drugs into the Gastrointestinal tract (GIT) for appropriate effects [2]. Such dosage forms are capable of remaining in the GIT for a long time, besides delaying GRT. This delivery system composed and installed with swelling structures delay the withdrawal of the GRDDS from GIT. It is designed to keep drugs in the GIT for a longer duration [3]. FDDS is one important way to ensure better gastric function and obtain adequate bioavailability of drugs. After the drug is discharged, the remaining drug is blown out of the stomach and leads to an increase in GRT [4].
Undoubtedly, the preservation of drugs in the stomach has received a lot of attention in past few years [5]. Most of the conventional delivery systems have revealed several limits linked to rapid gastric emptying [6].
Zein is a major corn storage protein and has many industrial applications. Especially in the last 10-15 y, zein has emerged as a potential part of a drug with different properties. Zein is a natural, biocompatible, and decomposing substance produced from renewable sources. It is insoluble; however, due to its amphiphilic nature, it contains compounds which have been exploited by the formation of microparticles and nanoparticle film. In addition, zein can hydrate and therefore be used in arbitrary matrices to extract controlled drugs. Other uses of zein in oral delivery include its inclusion in the strong dispersal of undeveloped drugs and in drug delivery systems [7, 8]. This study is hereby an effort to determine effect of zein on floating tablets.
Materials
The chemicals which were used for the formulation of floating tablets were Ciprofloxacin hydrochloride (as API), zein (corn protein), Hydroxy Propyl Methyl Cellulose (HPMC), crosscarmellose sodium (CCS), Sodium Starch Glycolate (SSG) as a swelling agent, crosspovidone (CP), Hydroxy Propyl Methyl Cellulose (HPMC K15M and K100M) as a hydrophilic polymer, Sodium Bicarbonate (SBC) as an effervescent agent, talc and Magnesium Stearate (MgS). All the chemicals, including Active Pharmaceutical Ingredient (API) were obtained from R. K. Enterprises, Meerut (CDH) and were of laboratory grade.
Methods
Pre-formulation studies
These studies were performed to identify the basic summary of the drug, like drug bioavailability, drug efficacy, pharmacokinetic and pharmacodynamic properties and adverse drug reactions [9-11].
Drug-excipients compatibility studies
Fourier transform infrared (FTIR) spectroscopy
FT-IR spectroscopy estimates and determination of the pure drug and polymer were performed by utilizing infrared spectroscopy [12]. IR spectroscopy by Potassium Bromide (KBr) pellet methods was done on medication, polymer andphysical blend of medication [13]. Around 2 mg of each sample was triturated properly with pre-dried KBr for 30 min at 120 °C. The mixture is evenly mixed with the drug as well as placed in a holder and compressed under pressure in a hydraulic press to form pellets and further scanned at 4000-400 cm-1 in a spectrophotometer and the peak was obtained were recorded and shown in graph [14].
Organoleptic properties
The organoleptic properties tested for the drug were color, appearance, and odor [15].
Melting point
Find the capillary tube with one closed and open side. Incorporate open portion of this capillary into the powdered drug. Keep rotating and tapping the tube to make the drug fall at the bottom. Improper packaging may cause it to shrink during heating, which may cause uncertainty in the determination of the melting point. This tube was introduced into the equipment entrance. The tool having the silicon oil was warmed along with the temperature of the metal rises and the melting point was found [16].
Solubility
5-10 mg of drug sample was taken and its solubility was examined in different solvents like HCl and water [17].
Measurement of λmax
The estimation of the drug was done by spectrophotometric technique. For the determination of λmax 25 mg drug was dissolved in the 0.1N HCl buffer solution. From this solution, 1-10µg/ml concentration was prepared and was scanned in the range of 200-400 nm utilizing a double beam UV-spectrophotometer [18]. In this, peaks were observed at 272 nm. Since the analytical wavelength mentioned for the drug in pharmacopeia was about 272 nm, so the wavelength of 272 nm was selected and used for further quantitative examination [19].
Preparation of granules
Weighed amount of API, HPMC (K 100M and K15M), zein and swelling agents like CP, SSG and CCS were taken. They were then sieved through seive. 40 and blended consistently in pestle and mortar for about 7-10 min. Mixture was converted to granules by using 5% w/v PVP K 30 within isopropyl alcohol. Then the dough was screened over sieve no. 14 and then dried up at 50 °C in a hot air oven [20].
Formulation and evaluation of formulated tablet
Before compression granules were mixed with talc and MgS. Compression was done via tablet punching machine by utilizing 13 mm sized round flat punches. All these formulations were prepared and tested for evaluation parameters i.e., Floating Lag Time (FLT), Total Floating Time (TFT) and drug release kinetics [21]. Various formulations designed are shown in table 1. The total weight of tablets were 1000 mg.
Table 1: Formulations of ciprofloxacin floating tablets
| Formulation | Ingredients (in mg) | |||||||||
| API | SBC | HPMCK15M | CP | CCS | SSG | HPMCK100M | Zein | Talc | MgS | |
| F1 | 540 | 110 | 55 | 20 | 35 | 30 | 60 | 10 | 115 | 25 |
| F2 | 540 | 110 | 55 | 20 | 35 | 30 | 60 | 15 | 110 | 25 |
| F3 | 540 | 110 | 55 | 20 | 35 | 30 | 60 | 20 | 105 | 25 |
| F4 | 540 | 110 | 55 | 20 | 35 | 30 | 60 | 25 | 100 | 25 |
| F5 | 540 | 110 | 55 | 20 | 35 | 30 | 60 | 30 | 95 | 25 |
| F6 | 540 | 110 | 55 | 20 | 35 | 30 | 60 | 35 | 90 | 25 |
| F7 | 540 | 110 | 55 | 20 | 35 | 30 | 60 | 40 | 85 | 25 |
| F8 | 540 | 110 | 55 | 20 | 35 | 30 | 60 | 45 | 80 | 25 |
| F9 | 540 | 110 | 55 | 20 | 35 | 30 | 60 | 50 | 75 | 25 |
| F10 | 540 | 110 | 55 | 20 | 35 | 30 | 60 | 55 | 70 | 25 |
| F11 | 540 | 110 | 55 | 20 | 35 | 30 | 60 | 60 | 65 | 25 |
| F12 | 540 | 110 | 55 | 20 | 35 | 30 | 60 | 65 | 60 | 25 |
Evaluation parameters
Pre-compression studies
Angle of repose
Dry mixture was accurately weighed and transferred to a funnel. The height of the funnel was regulated such that the dry powder will just touch the pile heap. This dry powder was allowed to run continuously through the funnel. Then heap height and diameter was determined and accordingly angle of repose (Ɵ) was found. Measurement was done in triplicate manner [22].
θ = tan-1 
h-height, r-radius (Shah 2008)
Density
Loose density (LD), as well as Tapped density (TD), were measured. A measured quantity of powder was kept in a measuring cylinder of 50 ml. Then bulk volume was noted. Further, the measuring cylinder was positioned on TD apparatus. After 100 taps, the tapped volume was determined. Subsequently, LD and TD was determined [23].
TD= 
LD=
Hausner ratio (HR) and compressibility index (CI)
The BD and TD were utilized to calculate the CI and HR to evaluate the compressibility of powder and flow properties before compression. Measurement was done in a triplicate manner.
CI=
HR=
[24]
Post-compression parameters for formulated tablet studies
Physicochemical characterization
Visual assessment
Tablets were checked to confirm that they have a smooth surface. They were checked for mottling, lamination, capping, picking and sticking [25].
Weight variation
This was determined by the measurement of weights of 20 tablets with a weighing balance [26].

Hardness
It was estimated by utilizing a Monsanto-type analyzer. The test was executed on three tablets from every formulation and the average reading was noted as kg/cm2 [27].
Friability (%)
Six tablets were initially weighed i.e. (Winitial) and then tested using a Roche friabilator. Tablets from every batch were kept in the plastic container to determine the mutual influence of shockwave and scratch. This compartment spins at 25 rpm and drops the tablet from a distance in each spin and subsequently rotated for 100 revolutions for 4 min. These tablets were separated, wiped and weighed again (W final). Percent friability was determined using the formula [28].
% Friability =
× 100
Content uniformity
Around 20 tablets were taken and the proportion of medication that was present in every tablet was determined. The tablets were squashed in a mortar and the powder equal to 100 mg of medication was moved to 100 ml flask. The tablets were broken down and made up to volume with 0.1N HCl. Further, it was passed through a 0.45 μ filter and after that, drug content was measured by UV spectrophotometer at 272 nm by using HCl as the medium [29].
Thickness
Thickness of these tablets was estimated by utilizing vernier callipers. Haphazardly about ten tablets were chosen for evaluating thickness that was portrayed in mean±SD in mm [30].
Swelling index (SI)
SI was determined using three tablets at room temperature in 0.1N HCl having pH 1.2. The tablets were preweighed and placed for defined time intervals i.e. 5 min, 30 min, 60 min, 120 min, 180 min and 240 min). Once the tablets got swollen up they were wiped using a muslin cloth and weighed [31, 32]. The SI was calculated using the equation given below:
Swelling index = 
Wt-weight after time t
Wo-initial weight of the tablet
Floating behavior
FLT and TFT help in determining floating studies. This was determined using 100 ml of HCl solution (pH 1.2) stored at 37±0.5 °C in a glass beaker [33, 34]. The total time during which the tablet continued to float in the dissolution medium is indicated by the TFT [35, 36]. While the time required for the tablet to come up from the bottom to the dissolution medium surface is indicated by the FLT. Tests were taken in triplicate [37, 38].
In vitro dissolution studies
It was done using a standard Paddle type USP Dissolution Test Apparatus (Electro Lab, India). This study was completed with 900 ml of 0.1 N HCI over approximately 8 h using three tablets from each batch [39]. Temperature was maintained at 37±0.5 °C with a steady paddle speediness of 50 rpm. Sample (5 ml) was removed at specific time intervals and the volume of medium was kept constant by substituting the volume with fresh liquid. The samples removed were then filtered with filter paper and analyzed with UV at 272 nm [40].
Drug release kinetics
Zero-order equation
In this condition, it is expected that the combined measure of medication releases with respect to time.
C = K0. t [41]
Here, K0 = is the rate constant of zero-order,
t = time in h.
First-order release
The drug release via the first-order condition was communicated as log aggregate level of medication versus time. The condition might be as per the following equation:
Log C = Log C0-
Where, C0 = Drug concentration at t =0, C = amount of drug left un-dissolved after time, t.
k = release rate constant [42]
Higuchi model
The drug-releasing rate expressed by following the Higuchi equation shows that the drug was released by a diffusion mechanism.
Q=Kt1/2
Where Q=cumulative drug released, t= time and K=Higuchi constant
Korsmeyer–peppas model
This is a basic experiment which describes drug release when exact mechanism is unknown or multiple mechanisms are involved.
Q/Q0 = Ktn
Where K = Constant comprising the structural geometric qualities, Q/Q0 = % drug released after time t and n = the diffusion exponent that relies upon release mechanism [43].
Selection of most effective formulations
Among all formulations, best one was determined based on dissolution examination, drug release profile, buoyancy, drug content and swelling index [44]. Further, the kinetic studies utilizing different kinetic models were calculated after choosing the best one [45].
The tablets were effectively formulated using zein by wet granulation technique and then different parameters like buoyancy studies, in vitro studies and drug release kinetics were determined [46, 47]. Similar study was also done by Raza et al., 2020 on captopril-loaded floating tablets along with menthol [48].
Drug-excipients compatibility studies
FTIR spectroscopy
The IR spectra of Ciprofloxacin HCl is stated below in fig. 1. While IR spectra of formulation 6 is shown in fig. 2. From the study, major peaks of the drug were found to be at 3524, 1698, 1615, 1263 cm-1. Major peaks for F6 were found to be at 1624, 1611, 3531, 3372, 1025 cm-1. Other peaks were associated with the presence of excipients. Therefore, no interactions between the drug and auxiliary substances in the composition were found.

Fig. 1: FTIR spectra of pure drug

Fig. 2: FTIR spectra of formulation F6
The presence of the above peaks confirms that no major shifting of bands was seen between polymers and drug. This indicates that no incompatibility had occurred between the drug and the polymer.
Physical appearance
The drug was faint to light yellowish and crystalline in nature.
Melting point
It was decomposed at 225-257 °C that indicates the purity of the drug.
Solubility
It was soluble in dilute 0.1N HCl and soluble in water at 20 °C.
Measurement of λmax
The λmax of Ciprofloxacin was found using 1-10 μg/ml drug solution at the range of 200-400 nm in UV. The spectra disclosed that the λmax was 277 nm in 0.1 N HCl with pH 1.2.
Standard drug calibration
The Standard Calibration curves of drug i. e Ciprofloxacin HCl were prepared using buffer 0.1N HCl at pH 1.2 using different concentration of 0-10 μg as shown in fig. 3 below. The absorbance was determined at λmax of 277 nm. The R2 was found to be 0.997.
Pre-compression parameters
The evaluation of Pre-formulation parameters (BD and TD) and flow property of powder (Angle of repose, Hausner’s ratio and Carr’s index) were studied and tabulated in table 2 below.
Bulk density
The BD of all the formulations was in the range of 0.40 to 0.54 g/cm3. The values of BD displayed that the mixture was non firmly packed and specified decent flow properties. The outcomes of BD for the formulations are shown in the table below.

Fig. 3: Standard calibration curve of ciprofloxacin HCl
Tapped density
The TD of all the formulations were between 0.47 to 0.58 g/cm3. The results specified that the mixtures of all the formulations showed good flow property. The results of TD for all the formulations were shown in table 2.
Angle of repose
The AOR helped in the determination of flow property of powder. The AOR of all the preparations was in the range of 27°.03’ to 30°.08’. The results showed that all the formulations showed outstanding flow property.
Carr’s compressibility index
The CI of all the preparations were in the range of 6.29 to 16.39 %. This value less than 10% designates that powder has outstanding flow property plus appropriate compressibility. The outcomes of CI for all preparations are shown in the table below.
Hausner’s ratio
The HR of all the preparations were in the range of 1.06 to 1.19. It was below 1.11 which indicates the appropriate flow property of blend. The results of HR are given in the table 2 below.
Table 2: Pre-compression parameters
Formulation |
BD |
TD |
AOR |
CI |
HR |
| F1 | 0.41667±0.005369 | 0.454367±0.004899 | 27.51733±1.66749 | 8.08333±1.228061 | 1.08833±0.015144 |
| F2 | 0.43667±0.006149 | 0.507433±0.006539 | 27.03601±1.60370 | 13.2333±2.118875 | 1.15267±0.028868 |
| F3 | 0.39667±0.005508 | 0.437067±0.006149 | 28.11712±2.15224 | 9.16211±0.121244 | 1.10133±0.000577 |
| F4 | 0.41667±0.006381 | 0.477033±0.005138 | 27.43012±1.52241 | 12.5701±1.975930 | 1.14367±0.025541 |
| F5 | 0.43667±0.006429 | 0.513667±0.006351 | 27.93967±2.86950 | 13.3433±1.154701 | 1.15267±0.014572 |
| F6 | 0.42333±0.005292 | 0.513667±0.005023 | 28.83201±1.09617 | 13.0067±1.110375 | 1.14967±0.015144 |
| F7 | 0.44667±0.006429 | 0.487112±0.006110 | 27.64233±1.39201 | 6.29333±0.075056 | 1.06733±0.000577 |
| F8 | 0.41333±0.005508 | 0.477033±0.005831 | 29.51170±1.73715 | 10.7833±0.132791 | 1.12067±0.001528 |
| F9 | 0.39667±0.011846 | 0.463367±0.005658 | 28.27631±0.78406 | 14.9833±1.991641 | 1.18667±0.031754 |
| F10 | 0.35333±0.005461 | 0.466733±0.005892 | 30.08253±0.55444 | 12.4133±2.315650 | 1.14167±0.030022 |
| F11 | 0.45667±0.006149 | 0.406821±0.005774 | 28.82531±1.84231 | 16.4501±1.686802 | 1.19733±0.024028 |
| F12 | 0.39062±0.010021 | 0.546667±0.005461 | 27.49974±1.78137 | 15.8302±1.360441 | 1.19102±0.024331 |
All formulas represent (Number of experiments n=3, mean±SD)
Post-compression parameters
The post-compression parameters characterizations were examined from formulation F1 to F12 and showed satisfactory result within the pharmacopoeial limit as mentioned below in table 3.
Visual assessment
All the tablets were found to have smooth texture with no sign of mottling, lamination or capping.
Weight variation test
The weight of each formulation was ranging from 23.58 mg to 24.42 mg and it was seen that the weight variation test was passed by all the tablets. As the % weight variation was to be satisfactory. The results are shown in the table below.
Hardness
The hardness of all the formulations was in the range of 7.4–9.4 kg/cm2. The result showed that zein has a great role in increasing the mechanical strength of tablets. The hardness results for all formulations are shown in the table below and it was found that increasing the concentration of zein increased the tablet hardness.
Friability test
The results showed that the friability of all formulations varied from 0.42% to 0.93%. It was less than 1%, which indicates good mechanical stability of the tablets. In addition, it was observed that friability decreases with increasing zein concentration. The results are shown in the table below.
Uniformity of drug content
The drug content in the tablet formulations were in the range of 80.43-87.53%. The results showed that all batches were within satisfactory limits according to IP. The results are presented in the table below.
Thickness
The thickness of the tablets of all preparations was 6 mm. The results showed that all the formulations have the same shape and size. The results are shown in table 3 below.
Table 3: Post-compression parameters
| Formulation | Weight variation (mg) | Thickness (mm) | Friability (%) | Hardness (Kg/cm2) | Content Uniformity |
| F1 | 24.30±1.34 | 6.00±0.00 | 0.93±0.32 | 7±0.12 | 86.31±0.27 |
| F2 | 23.92±1.13 | 6.00±0.00 | 0.90±1.52 | 7.5±1.27 | 80.43±0.11 |
| F3 | 24.07±1.05 | 6.00±0.00 | 0.85±1.56 | 7.8±0.05 | 85.33±0.21 |
| F4 | 23.85±0.93 | 6.00±0.00 | 0.81±2.12 | 7.9±0.9 | 86.53±0.25 |
| F5 | 24.30±1.44 | 6.00±0.01 | 0.81±1.45 | 8.5±1.34 | 85.33±0.35 |
| F6 | 23.58±1.00 | 6.00±0.00 | 0.72±0.95 | 9.4±1.10 | 87.41±0.18 |
| F7 | 23.94±0.80 | 6.00±0.00 | 0.60±0.68 | 10.4±1.47 | 87.53±0.29 |
| F8 | 24.38±0.78 | 6.00±0.00 | 0.56±1.52 | 10.5±0.46 | 81.10±0.15 |
| F9 | 24.24±0.79 | 6.00±0.00 | 0.51±0.25 | 11.0±0.37 | 87.53±0.25 |
| F10 | 24.30±0.65 | 6.00±0.01 | 0.49±1.56 | 12.5±0.64 | 85.88±0.45 |
| F11 | 24.00±1.35 | 6.00±0.00 | 0.47±0.24 | 17.4±0.53 | 82.24±0.22 |
| F12 | 24.42±0.84 | 6.00±0.00 | 0.33±0.64 | 8.6±0.79 | 86.43±0.24 |
(Number of experiments n=20 for weight variation, n=10 for thickness, n=6 for friability, n=3 for hardness, n=20 for content uniformity, mean±SD)
Swelling property
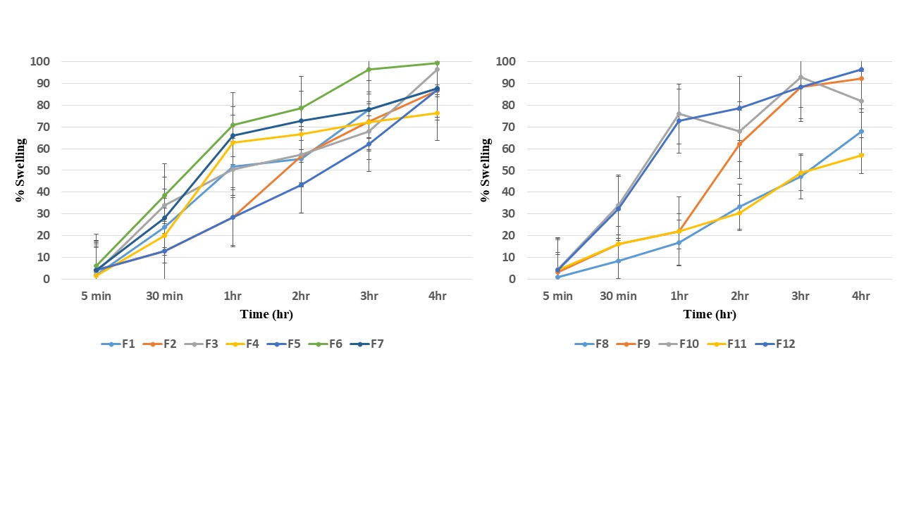
The swelling property of tablets can be evaluated with the help of USP type-II dissolution apparatus by using 0.1N HCl (900 ml) as buffer rotated at 50 rpm keeping temperature 37±0.5 °C. Then its weight increase, dimensional changes or water intake at normal intervals was estimated which reflects its delay and drug release Thus, it may be concluded that formulation F6 was considered as best formulation because it showed the best swelling property among all formulation as shown in fig. 4 below.
Study of FLT, FT and disintegration time
The FLT and FT were measured and all the formulations showed FLT range of 70 sec to 310 sec with FT ranging between 3 h to more than 7 h as shown in table 4.
Dissolution study
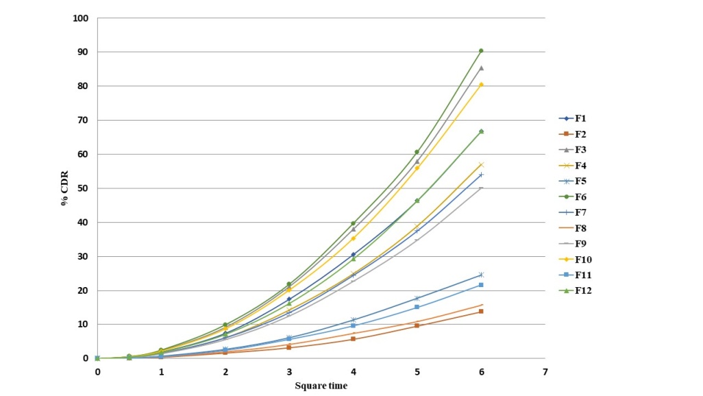
Cumulative drug release was determined which showed that the formulations F6 and F3 displayed rapid dissolution rate. The percentage cumulative drug release after 6 h found in formulation F6 and F3 was 69.28% and 65.24%, respectively. Thus, it may be concluded that Formulations F6 and F3 may be considered as best formulation but overall F6 was best among all formulations. The cumulative drug release percentage data were shown in table 5 and fig. 5.
Drug release kinetics studies
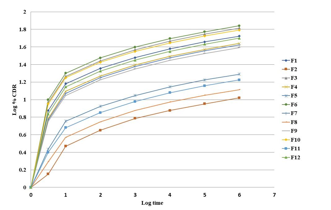
All the formulations were studied for drug release kinetics model such as Zero-order, Higuchi, First-order and Korsmeyer Peppas model, in which the formulations F6 and F3 displayed with maximum drug release kinetics and the overall formulations F6 fits best in Higuchi model with highest R2 value (0.98711). The studied data were tabulated in table 6.

Fig. 4: Swelling property of different formulations (mean±SEM)
Table 4: TFT, FLT and disintegration time
| Formulation | TFT (h) | FLT (sec) | Disintegration time* (min) |
| F1 | >6 | 175 | 6.55±0.28 |
| F2 | Not stable | 70 | 7.66±0.75 |
| F3 | >5 | 210 | 6.76±0.21 |
| F4 | >7 | 180 | 8.89±0.10 |
| F5 | 4 | 75 | 6.48±0.17 |
| F6 | >7 | 310 | 7.78±0.23 |
| F7 | >7 | 275 | 6.32±0.22 |
| F8 | Not stable | 80 | 7.74±0.14 |
| F9 | >7 | 170 | 8.19±0.11 |
| F10 | >4 | 196 | 8.58±0.18 |
| F11 | 3 | 90 | 6.77±0.22 |
| F12 | >7 | 140 | 7.22±0.12 |
Number of experiments n=3, *mean±SD
Table 5: Cumulative percentage drug release
| Time (h) | Percentage cumulative drug release | |||||||||||
| F1 | F2 | F3 | F4 | F5 | F6 | F7 | F8 | F9 | F10 | F11 | F12 | |
| 0.5 | 7.52 | 1.42 | 9.27 | 6.11 | 2.73 | 9.93 | 5.89 | 1.96 | 5.67 | 8.94 | 2.51 | 6.87 |
| 1 | 15.16 | 2.95 | 18.44 | 12.44 | 5.67 | 19.96 | 11.78 | 3.71 | 11.13 | 17.78 | 4.8 | 13.96 |
| 2 | 22.69 | 4.47 | 27.61 | 18.54 | 8.4 | 29.89 | 17.78 | 5.56 | 16.81 | 26.62 | 7.09 | 21.16 |
| 3 | 30.11 | 6.11 | 36.98 | 24.87 | 11.13 | 39.61 | 23.89 | 7.53 | 22.36 | 35.34 | 9.49 | 28.25 |
| 4 | 37.85 | 7.53 | 46.47 | 31.09 | 13.96 | 49.53 | 29.89 | 9.38 | 27.93 | 44.29 | 12 | 35.45 |
| 5 | 45.49 | 8.95 | 55.74 | 37.31 | 16.8 | 59.24 | 36.01 | 11.24 | 33.61 | 53.12 | 14.4 | 42.76 |
| 6 | 52.91 | 10.47 | 65.24 | 43.63 | 19.53 | 69.28 | 42.01 | 12.98 | 39.16 | 62.07 | 16.8 | 50.18 |
| N=3 | ||||||||||||

Fig. 5: Cumulative (%) drug release of different formulations, number of experiments n=3), error bars were omitted
Table 6: Zero-order, first-order, Korsmeyer peppas, and higuchi model
| Formulation | Zero-order | Higuchi model | First order (Log) | Korsmeyer peppas model |
| N | ||||
| F1 | 0.958119 | 0.97643 | 0.961199 | 0.9979031 |
| 2 | 0.964772 | 0.98317 | 0.951979 | 0.999304 |
| 3 | 0.954806 | 0.98221 | 0.961876 | 0.997096 |
| 4 | 0.954605 | 0.97666 | 0.960311 | 0.999048 |
| 5 | 0.951647 | 0.97225 | 0.956665 | 0.998894 |
| 6 | 0.958761 | 0.98711 | 0.961672 | 0.998043 |
| 7 | 0.956936 | 0.75583 | 0.962341 | 0.999185 |
| 8 | 0.966391 | 0.96519 | 0.961844 | 0.999414 |
| 9 | 0.960339 | 0.98271 | 0.961984 | 0.999171 |
| 10 | 0.957238 | 0.97782 | 0.961999 | 0.998945 |
| 11 | 0.951274 | 0.97422 | 0.962456 | 0.999006 |
| 12 | 0.951492 | 0.96221 | 0.956659 | 0.998044 |
Zero-order
In the zero-order (fig. 6) the graph was plotted between time and cumulative percentage release.
First order
In the first order (fig. 7) the graph was extrapolated between time and log cumulative drug release.

Fig. 6: Zero-order graph

Fig. 7: First-order graph
Higuchi model
The graph was plotted between % CDR and t2 as shown in fig. 8 and fig. 9.
Korsmeyer peppas model
In the Korsmeyer Peppas model, the graph was plotted between log time and log percentage cumulative drug release, as shown in fig. 10.

Fig. 8: All formulations displayed in higuchi model

Fig. 9: Formulation F6 displayed in higuchi model

Fig. 10: Korsmeyer peppas model
The best formulation was selected based on studies like hardness, friability, swelling index, buoyancy, dissolution and drug release kinetics. Kinetic release of F6 fits best in the Higuchi model with the highest R2 value and displayed a short lag time of 310 s with FT of more than 7 h, swelling index 99.5% in 4h and drug release 69.28% in 6 h. Based on all these parameters, F6 was found as the best formulation.
Tablets based on direct compression of zein have been found to have a lower density in comparison to tablets compressed using the wet granulation technique or direct compression tablets comprising calcium hydrophosphate [49]. The hardness of these formulations was seen to increase in significant amount with increasing concentration. These outcomes were obtained in agreement with a prior study in which a higher tensile strength of zein-containing formulation was detected following a higher treatment temperature in the leaching procedure [50]. Zein tablets were porous and showed better results when compared to HPMC/Polyethylene Oxide (PEO) built effervescent floating tablets, as they demonstrated a retention time of greater than 5 min to obtain a score of 10/10, which was attributed to retention of floating behavior [51]. Zein has a lipophilic nature but can swell up in an aqueous environment. Guo and Shi (2009) stated dry coated zein tablets that showed a preliminary swelling of around 80% and an erosion of 4% that continued persistently with time [52]. Zein has been reported to be non-erosive in aqueous media and tolerant to intestinal enzymes; nevertheless, the longer term may increase zein degradation [53, 54]. Another reason for the lack of pepsin impact on the release of the drug may be the limited surface exposed to the dissolution media due to its buoyant nature. Zein can act as a retarder by forming a glutinous coating upon contacting the gastric medium at room temperature [52]. Water absorption is reported to be the key process for the release of drugs as zein is non-erodible [55]. Matrices based on zein have formerly been conveyed to have an exponent of less than 0.45 [55]. In previous studies, it has been seen those tablets having a smaller amount of zein in their coating layer showed quasi-Fickian diffusion having n less than 0.45, but tablets having more zein showed abnormal release with n more than 0.45 [56]. Zein has a rubbery texture under wet environments by rearranging the secondary structure, which leads to better wettable mechanical properties of the tablets over a longer period in contrast to formerly reported dosage forms [57]. For example, Hwang et al., (2017) described work done of about 2 mJ after 8 h of soaking with a force of lesser than 0.5 N for porous floating tablets based on HPMC [58]. While Thapa and Jeong (2018) stated that the work done was lesser than 6 N mm (mJ) for probe permeation up to 8 h for effervescent floating tablets, which were PEO-based [59]. In general, the tablets having zein demonstrated excellent mechanical strength in an aqueous environment. The rubbery texture and hydrophobicity of zein in wet environment is explained by the mechanical stability of the tablets, which is essential to resist the load of the stomach.
In current research work, Ciprofloxacin hydrochloride floating tablets were framed by utilizing different grades of HPMC (K100M and K15M) as polymer and increasing the concentration of zein. In this, 12 different formulations were investigated based on an in vitro parameter that falls within the pharmacopeial limit. Post-formulation and in vitro parameters were studied for all 12 formulations. The swelling property, FLT, TFT, and all cumulative percentage drug release parameters were utilized to choose the best formulation. F6 formulation gives the best result in all parameters with FLT and TFT of 310 sec and more than 7 hr, respectively. Kinetic release of F6 fits best in the Higuchi model with the maximum R2 value. Therefore, it was determined that on increasing concentration of zein hardness of tablets also increases with a decrease in friability. While zein was not found to affect any other parameter of floating tablets.
FDDS-Floating Drug Delivery System, GET-Gastric Emptying Time, GRDDS-Gastro retentive drug delivery system, GRT-Gastric residence Time, GIT-Gastro-Intestinal Tract, API-Active Pharmaceutical Ingredient, CCS-Croscarmellose Sodium, CP-Cross Povidone, SBC-Sodium Bicarbonate, SSG-Sodium Starch Glycolate, MgS-Magnesium Stearate, HPMC-Hydroxy Propyl Methyl Cellulose, FTIR-Fourier transform infrared spectroscopy, KBr-Potassium Bromide, PVP-PolyVinyl Pyrrolidine, TFT-Total Floating Time, FLT-Floating Lag Time, LD-Loose density, HR-Hausner Ratio, TD-Tapped density, CI-Compressibility Index
Authors are thankful to Dr Rupa Mazumder (Professor Dean of R and D), Mrs Swarupanjali Padhi (Assistant professor), and NIET Pharmacy Institute, Greater Noida, UP (India) for giving services to carry the research work.
Nil
All the authors have contributed equally.
The authors declare no conflict of interest for the publication of this article.
Kumar A, Srivastava R. In vitro in vivo studies on floating microspheres for gastroretentive drug delivery system: a review. Asian J Pharm Clin Res. 2021 Jan 5:13-26.
Rajora A, Nagpal K. A critical review on floating tablets as a tool for achieving better gastric retention. Crit Rev Ther Drug Carrier Syst. 2022;39(1):65-103. doi: 10.1615/CritRev TherDrugCarrierSyst.2021038568, PMID 34936318.
Thulluru A, Basha SS, Rao CB, Kumar CSP, Mahammed N, Kumar KS. Optimization of HPMC K100M and sodium alginate ratio in metronidazole Floating Tablets for the Effective Eradication of Helicobacter pylori. Asian J Pharm Technol. 2019;9(3):195-203. doi: 10.5958/2231-5713.2019.00033.3.
Siahaan RD, Bangun H, Sumaiyah S. In vitro and in vivo evaluation of floating gastroretentive drug delivery system of cimetidine using hard alginate capsules. Asian J Pharm Clin Res. 2018 Jun 7:162-8.
Roy A, Arees R, Blr M. Formulation development of oral fast-dissolving films of Rupatadine fumarate. Asian J Pharm Clin Res. 2020;13(11):67-72.
Jhain SK, Jhain NK, Agarwal GP. Gastro retentive floating drug delivery: an overview. Drug Deliv Technol. 2005;5:21-31.
Banker GS, Anderson NR. Tablets. In: Lachman L, Lieberman A, Kanig JL, editors. The theory and practice of industrial pharmacy. 3rd ed. Bombay: Varghese publishing house; 1991. p. 317.
Vyas J, Mehta J, Pal N, Daxini K. Development and optimization of floating tablets containing rebamipide. Rese Jour Pharmaceut Dosag Form and Technol. 2020;12(1):7-12. doi: 10.5958/0975-4377.2020.00002.6.
Carr RL. Evaluation of flow properties of solid. Chem Eng. 1965;3:163-8.
Manoj G, Rajesh P, Kapil KP, Mehta SC. Floating drug delivery system. J Curr Pharm Res. 2011;5:7-18.
Dodou D, Breedveld P, Wieringa PA. Mucoadhesives in the gastrointestinal tract: revisiting the literature for novel applications. Eur J Pharm Biopharm. 2005;60(1):1-16. doi: 10.1016/j.ejpb.2005.01.007, PMID 15848050.
Brahmankar DM, Jaiswal SB. Biopharmaceutics and pharmacokinetics a treatise. Vallabh Prakashan New Delhi; 1995. p. 64-70.
Mayavanshi AV, Gajjar SS. Floating drug delivery systems to increase gastric retention of drugs: a review. Res J Pharm Technol. 2008;1:345-8.
Tadros MI. Controlled-release effervescent floating matrix tablets of ciprofloxacin hydrochloride: development, optimization and in vitro-in vivo evaluation in healthy human volunteers. Eur J Pharm Biopharm. 2010;74(2):332-9. doi: 10.1016/j.ejpb.2009.11.010, PMID 19932750.
Pharmacopoeia I. Government of India Ministry of Health and Family Welfare, Published by the Indian Pharmacopoeia Commission. Volume 1st. 2007;477(478):177-83.
Debjit Bhowmik CB, Krishnakanth P, Chandira RM. Fast dissolving tablet an overview. J Chem Pharm Res. 2009;1:163-77.
Amrutha JV. Pre and post-compression studies of tablets. Inorg Chem Indian J. 2016;3:1-10.
Reddy VS. Formulation and evaluation of floating tablets of ciprofloxacin hydrochloride. Asian J Pharm Free Full Text Artic Asian J Pharm. 2018;12.
Pharmaceutical technology Editors, Achieving Zero-Order Release Kinetics Using Multi-Step Diffusion-Based Drug Delivery. Pharm Technol. 2014;5.
Patel H, Panchal DR, Patel U, Brahmbhatt T. Matrix type drug delivery system: a review. J Pharm Sci Biosci Res. 2011;1:143-51.
Gaikwad VD, Yadav VD, Gaikwad MD. Novel sustained release and swellable gastroretentive dosage form for ciprofloxacin hydrochloride. Int J Pharm Investig. 2014;4(2):88-92. doi: 10.4103/2230-973X.133057, PMID 25006553.
Deshpande AA, Rhodes CT, Shah NH, Malick AW. Controlled-release drug delivery systems for prolonged gastric residence: an overview. Drug Dev Ind Pharm. 1996;22(6):531-9. doi: 10.3109/03639049609108355.
Arza RA, Gonugunta CS, Veerareddy PR. Formulation and evaluation of swellable and floating gastroretentive ciprofloxacin hydrochloride tablets. AAPS PharmSciTech. 2009;10(1):220-6. doi: 10.1208/s12249-009-9200-y, PMID 19277869.
Prajapati ST, Patel LD, Patel DM. Gastric floating matrix tablets: design and optimization using a combination of polymers. Acta Pharm. 2008;58(2):221-9. doi: 10.2478/v10007-008-0006-3, PMID 18515232.
Sauzet C, Claeys Bruno M, Nicolas M, Kister J, Piccerelle P, Prinderre P. An innovative floating gastro retentive dosage system: formulation and in vitro evaluation. Int J Pharm. 2009;378(1-2):23-9. doi: 10.1016/j.ijpharm.2009.05.027, PMID 19465095.
Garg R, Gupta GD. Progress in controlled gastroretentive delivery systems. Trop J Pharm Res. 2008;7(3):1055-66. doi: 10.4314/tjpr.v7i3.14691.
Xu X, Sun M, Zhi F, Hu Y. Floating matrix dosage form for phenoporlamine hydrochloride based on gas forming agent: in vitro and in vivo evaluation in healthy volunteers. Int J Pharm. 2006;310(1-2):139-45. doi: 10.1016/j.ijpharm.2005.12.003, PMID 16413710.
Deshpande AA, Shah NH, Rhodes CT, Malick W. Development of a novel controlled-release system for gastric retention. Pharm Res. 1997;14(6):815-9. doi: 10.1023/a:1012171010492, PMID 9210203.
Chavanpatil MD, Jain P, Chaudhari S, Shear R, Vavia PR. R. Novel sustained release, swellable and bioadhesive gastroretentive drug delivery system for ofloxacin. Int J Pharm. 2006;316(1-2):86-92. doi: 10.1016/j.ijpharm.2006.02.038, PMID 16567072.
Hwang SJ, Park H, Park K. Gastric retentive drug-delivery systems. Crit Rev Ther Drug Carrier Syst. 1998;15(3):243-84. PMID 9699081.
Patel N, Nagesh C, Chandrashekhar S, Jinal P, Devdatt J. Floating drug delivery system: an acceptable innovative approach in gastroretentive drug delivery. Res Pharm Forms Technol. 2012;4(2):93-103.
Sheth PR, Tossounian J. The hydrodynamically balanced system (Hbs™): A novel drug delivery system for oral use. Drug Dev Ind Pharm. 1984;10(2):313-39. doi: 10.3109/ 03639048409064653.
Hondadakatti R, Iliger SR, Lagali M. Formulation and evaluation of floating drug delivery system of antidiabetic drug. RJPDFT. 2021 Apr 1;13(2):100-6. doi: 10.52711/0975-4377.2021.00018.
Harrigan RM. Drug delivery device for preventing contact of the undissolved drug with the stomach lining. US Patent 4055178; 1977 Oct 25.
Whitehead L, Fell JT, Collett JH. Development of a gastroretentive dosage form. Eur J Pharm Sci. 1996;4:S182.
Kawashima Y, Niwa T, Takeuchi H, Hino T, Itoh Y. Hollow microspheres for use as a floating controlled drug delivery system in the stomach. J Pharm Sci. 1992;81(2):135-40. doi: 10.1002/jps.2600810207, PMID 1372046.
Chen J, Blevins WE, Park H, Park K. Gastric retention properties of super porous hydrogel composites. J Control Release. 2000;64(1-3):39-51. doi: 10.1016/s0168-3659(99)00139-x, PMID 10640644.
Groning R, Berntgen M, Georgarakis M. Acyclovir serum concentrations following peroral administration of magnetic depot tablets and the influence of extracorporal magnets to control gastrointestinal transit. Eur J Pharm Biopharm. 1998;46(3):285-91. doi: 10.1016/s0939-6411(98)00052-6, PMID 9885300.
Singh BN, Kim KH. Floating drug delivery systems: an approach to oral controlled drug delivery via gastric retention. J Control Release. 2000;63(3):235-59. doi: 10.1016/s0168-3659(99)00204-7, PMID 10601721.
Philadelphia: Lippincott Williams & Wilkins. Remington: the science and practice of pharmacy. 21st ed; 2005.
Jeong YI, Na HS, Seo DH, Kim DG, Lee HC, Jang MK. Ciprofloxacin-encapsulated poly (DL-lactide-co-glycolide) nanoparticles and its antibacterial activity. Int J Pharm. 2008;352(1-2):317-23. doi: 10.1016/j.ijpharm.2007.11.001, PMID 18160236.
Jeong YI, Na HS, Nah JW, Lee HC. Preparation of ciprofloxacin-encapsulated poly (DL-lactide-co-glycolide) microspheres and its antibacterial activity. J Pharm Sci. 2009;98(10):3659-65. doi: 10.1002/jps.21680, PMID 19226632.
Hajare AA, Patil VA. Formulation and characterization of metformin hydrochloride floating tablets. Asian J Pharm Res. 2012;2(3):111-7.
Arza RA, Gonugunta CS, Veerareddy PR. Formulation and evaluation of swellable and floating gastroretentive ciprofloxacin hydrochloride tablets. AAPS PharmSciTech. 2009;10(1):220-6. doi: 10.1208/s12249-009-9200-y, PMID 19277869.
Salve PS. Development and in vitro evaluation of gas generating floating tablets of metformin hydrochloride. Asian J Res Pharm Sci. 2011;1(4):105-12.
Varshosaz J, Tavakoli N, Roozbahani F. Formulation and in vitro characterization of ciprofloxacin floating and bioadhesive extended-release tablets. Drug Deliv. 2006;13(4):277-85. doi: 10.1080/10717540500395106, PMID 16766469.
Srinatha A, Pandit JK. Multi-unit floating alginate system: effect of additives on ciprofloxacin release. Drug Deliv. 2008;15(7):471-6. doi: 10.1080/10717540802329282, PMID 18712625.
Raza A, Hayat U, Wang HJ, Wang JY. Preparation and evaluation of captopril-loaded gastro-retentive zein-based porous floating tablets. Int J Pharm. 2020;15579;(579):119185. doi: 10.1016/j.ijpharm.2020.119185, PMID 32112929.
Georget DM, Barker SA, Belton PS. A study on maize proteins as a potential new tablet excipient. Eur J Pharm Biopharm. 2008 Jun;69(2):718-26. doi: 10.1016/j.ejpb.2008.01.006, PMID 18294824.
Wang GW, Yang H, Wu WF, Zhang P, Wang JY. Design and optimization of a biodegradable porous zein conduit using microtubes as a guide for rat sciatic nerve defect repair. Biomaterials. 2017 Jul;131:145-59. doi: 10.1016/j.biomaterials.2017.03.038, PMID 28391036.
Kim S, Hwang KM, Park YS, Nguyen TT, Park ES. Preparation and evaluation of non-effervescent gastroretentive tablets containing pregabalin for once-daily administration and dose proportional pharmacokinetics. Int J Pharm. 2018 Oct 25;550(1-2):160-9. doi: 10.1016/j.ijpharm.2018.08.038, PMID 30138708.
Guo HX, Shi YP. A novel zein-based dry coating tablet design for zero-order release. Int J Pharm. 2009 Mar 31;370(1-2):81-6. doi: 10.1016/j.ijpharm.2008.11.026, PMID 19100825.
Nguyen MNU, Tran PHL, Tran TTD. A single-layer film coating for colon-targeted oral delivery. Int J Pharm. 2019 Mar 25;559:402-9. doi: 10.1016/j.ijpharm.2019.01.066, PMID 30738130.
Wang H, Zhang X, Zhu W, Jiang Y, Zhang Z. Self-assembly of zein-based microcarrier system for colon-targeted oral drug delivery. Ind Eng Chem Res. 2018 Sep 5;57(38):12689-99. doi: 10.1021/acs.iecr.8b02092.
Berardi A, Bisharat L, Cespi M, Basheti IA, Bonacucina G, Pavoni L, AlKhatib HS. Controlled release properties of zein powder filled into hard gelatin capsules. Powder Technol. 2017 Oct 1;320:703-13. doi: 10.1016/j.powtec.2017.07.093.
Raza A, Shen N, Li J, Chen Y, Wang JY. Formulation of zein-based compression coated floating tablets for enhanced gastric retention and tunable drug release. Eur J Pharm Sci. 2019 Apr 30;132:163-73. doi: 10.1016/j.ejps.2019.01.025, PMID 30695689.
Gong S, Wang H, Sun Q, Xue ST, Wang JY. Mechanical properties and in vitro biocompatibility of porous zein scaffolds. Biomaterials. 2006 Jul;27(20):3793-9. doi: 10.1016/j.biomaterials.2006.02.019, PMID 16527348.
Hwang KM, Cho CH, Tung NT, Kim JY, Rhee YS, Park ES. Release kinetics of highly porous floating tablets containing cilostazol. Eur J Pharm Biopharm. 2017 Jun;115:39-51. doi: 10.1016/j.ejpb.2017.01.027, PMID 28219750.
Thapa P, Jeong SH. Effects of formulation and process variables on gastroretentive floating tablets with A high-dose soluble drug and experimental design approach. Pharmaceutics. 2018 Sep 17;10(3):161. doi: 10.3390/pharmaceutics10030161, PMID 30227678.