
1Department of Chemistry, Faculty of Pharmacy, Medical University Sofia, Dunav Str. No. 2, Sofia 1000, Bulgaria
Email: m.smerikarova@pharmfac.mu-sofia.bg
Received: 23 Jun 2022, Revised and Accepted: 03 Aug 2022
ABSTRACT
Transthyretin kinetic stabilizers are used as first-line drug therapy for transthyretin amyloid polyneuropathy mostly in patients unsuitable for liver transplantation. The two drugs prescribed in clinical practice are Tafamidis and Diflunisal. The European Medicines Agency approved Tafamidis for this prescription in 2011 and 2019 American Food and Drug Association also registered it for the same use. Diflunisal is a non-steroidal anti-inflammatory drug but its structural similarities to Tafamidis determine its “off-label” use for such clinical conditions. This review article represents the various analytical methods available in published literature for the determination of Tafamidis and Diflunisal in bulk drugs, pharmaceutical formulations, and biological matrices. Detailed information about all developed quantitative methods consisting of spectrophotometry, spectrofluorimetry, high-performance liquid chromatography with ultraviolet, fluorescence or diode array detection, liquid chromatography-tandem mass spectrometry, and voltammetry is provided and can be effectively used in the development of new analytical procedures and routine drug manufacturing or clinical practice.
Keywords: Tafamidis, Diflunisal, Biological matrix, Review, HPLC, Spectrometry
© 2022 The Authors. Published by Innovare Academic Sciences Pvt Ltd. This is an open access article under the CC BY license (https://creativecommons.org/licenses/by/4.0/)
DOI: https://dx.doi.org/10.22159/ijap.2022v14i5.45612. Journal homepage: https://innovareacademics.in/journals/index.php/ijap
One of the most common types of systemic amyloidosis is familial amyloidosis caused by transthyretin (TTR) dissociation and amyloid fibril deposition due to mutation in the TTR gene [1]. Under the influence of denaturing conditions or under some physiological conditions, dissociation of the TTR molecule or partial unfolding is possible, and as a result, aggregation of the individual monomers is observed. Aggregates called amyloid fibrils or amyloid plaques are formed and their deposition is associated with the development of amyloidosis. A common feature of all types of systemic amyloidosis is the expression of the precursor protein mainly in the extracellular spaces at a specific initial site, followed by its release and transport to other tissues and organs [2]. After diagnosing the disease, the stage of neuropathy and systemic involvement is determined, and the most appropriate course of treatment is prescribed. There is a different approach in patients at each stage to slow the progression of the disease. An overall systematic assessment, including the heart, eyes, and kidneys, is essential to ensure that the stage of the disease is correctly determined [3]. TTR amyloidosis treatment requires a multidisciplinary approach to prevent further production and/or deposition of amyloid aggregates, as well as symptomatic therapy of cardiac, renal, and ocular manifestations [4]. Treatment options are limited, and in mild or moderate disease, after a diagnosis confirmed by genetic testing and biopsy, liver transplantation is one of the main therapeutic approaches [5]. However, symptomatic treatment to provide immediate relief is also a priority, with various therapies being developed in the last few years, mainly for the early stages of the disease [4]. The three treatment options for amyloidosis patients include amyloid fibril synthesis inhibition, stabilization of the protein molecule, and degradation of already formed plaques.
TTR tetrameric stabilizers (also called kinetic stabilizers) are agents designed to stabilize the normal circulating form of TTR by binding to the T4-binding sites of the protein (that are predominantly (>90 %) unoccupied in physiological conditions) and thus prevent its dissociation [4]. Two drugs, Tafamidis (TAF) and Diflunisal (DIF) were evaluated in detail in control clinical studies [4]. According to our knowledge, there is no review article published on the TTR kinetic stabilizers analysis and this provoked our interest to summarize and describe the developed analytical methods applied for pharmaceutical formulations and biological media. Google Scholar, Web of Science, Science Direct, and PubMed were searched. Keywords such as Tafamidis, Diflunisal, Pharmaceutical Formulations, Biological Matrices, Chromatography, Spectroscopy, etc., have been used in various combinations to extract the maximum possible information. Articles published from 1980 to the present are covered.
Clinical application
Chemical structure and mechanism of action
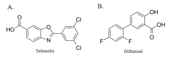
Chemically, TAF is a 1,3-benzoxazole carboxylic acid (fig. 1A) and DIF is biphenyl carboxylic acid (fig. 1B) with molecular weights 308.1 and 250.2, respectively. They are white to almost white crystalline powders, with water solubility of 0.03 and 0.07 mg/ml for TAF and DIF, respectively [6, 7].

Fig. 1: Chemical structures of TAF and DIF
Mutant TTR stabilization is provided by TAF or DIF binding to T4 sites of the tetramer and preventing dissociation into amyloidogenic and toxic monomers [8-11]. Thus, the established binding with high affinity and selectivity induces dose-dependent kinetic stabilization of wild-type TTR (wtTTR) and a number of TTR variants (Val30Met, Val122Ile, Glu89Gln, etc.). In 2011 TAF has been approved by the European Medicines Agency (EMA) for biopsy-proven stage 1 polyneuropathy and 8 y later, in 2019, it was also approved by the American Food and Drug Association (FDA) [8]. But the DIF case is different. This non-steroidal anti-inflammatory drug (NSAID) was developed in 1971 and approved for the treatment of arthritis and dysmenorrhea. Just a few years ago, it was applied “off-label” for the first time in the treatment of TTR amyloidosis because of its structural similarities to TAF [11].
Pharmacokinetics and pharmacodynamics
TAF is administered orally, 20 mg once daily in polyneuropathy cases and 80 mg/61 mg once daily in cardiomyopathy ones, according to FDA [12-14]. The small molecule of TAF achieves high oral bioavailability, while there is no adverse side activity of NSAIDs [12]. It is highly bound to plasma proteins (up to 99.5 %), glucuronidation is the major metabolic pathway, and the major circulating form in plasma is the acid compound. In healthy volunteers, TAF was rapidly absorbed after a single oral dose of 20 mg, with a mean time to reach peak concentration (Cmax) of approximately 2.0 h. Pharmacokinetic parameters are similar after single and multiple dosing, indicating a lack of metabolic induction or inhibition. Elimination is slow by bile, with a mean half-life of approximately 59 h [8]. The most common side effects are urinary tract infections (2–17 %), diarrhea with fecal incontinence, or constipation [9]. Despite several observed adverse effects on the cardiovascular system, it has been confirmed that Tafamidis does not have an adverse effect on cardiac conduction and repolarization [15]. The application to women with childbearing potential is specific. In these cases, drug therapy with TAF must be accompanied by appropriate contraception [9, 16].
DIF, also a potent inhibitor of TTR formation of amyloid fibrils in vitro [9, 17] is prescribed at a daily dose of 500 mg (2 x 250 mg). The rare side effects observed are consistent with the known side effects of NSAIDs (gastrointestinal, renal, and cardiac disorders) [17]. Gastrointestinal, renal, and blood-related events are only a few caused by chronic DIF therapy, but close monitoring of patients can significantly reduce the chance of their occurrence [18, 19]. The deficiency of DIF in its activity and affinity for binding and inhibition of tetramer dissociation in all pathogenic genetic variants is compensated by the observed very high levels of plasma concentration [20-22].
Efficiency and safety
TAF has been evaluated in a total of seven studies on the effect of its use in polyneuropathy [23-29] and in four of its effect on transthyretin amyloidosis (ATTR)-associated cardiomyopathy [30-33]. The pivotal multicenter, placebo-controlled, phase III clinical trial involving 128 ATTR-Val30Met patients showed stabilization of TTR in 98 % of patients and no progression of neuropathy in 60 % of patients (versus placebo group), with preserved quality of life [23]. Comparable to these results are the data obtained with non-Val30Met mutations [26-29]. An additional evaluation of efficacy and safety in ATTR patients reaffirmed the beneficial effects of TAF during long-term treatment and in the early stages of the disease [24, 34-39]. Ongoing open-label studies have found that the progression of neurological disease is more severe in patients with higher baseline neuropathy impairment score (NIS) values (more advanced stages of the disease), which justifies the need for early treatment [40]. In more advanced cases with late-onset, TAF cannot prevent disease progression [25, 29].
After oral administration DIF shows high serum concentrations [41]. The ability to significantly reduce disease progression was evaluated in a control clinical study with the participation of 130 ATTR patients with early-stage polyneuropathy, carriers of various mutations (mainly Val30Met-54.6 %), and a reference group on placebo treatment [12, 17, 21]. The use of DIF in patients with late-onset ATTR amyloidosis has also been evaluated in a randomized clinical trial, and the results clearly demonstrated a significant reduction in the rate of progression of neuropathy [4] and preservation of quality of life [41].
Analysis of pharmaceutical formulations and biological matrices
There are a limited number of validated analytical techniques presented in the available literature for the quantification of transthyretin kinetic stabilizers. The information on TAF analysis is scarce. Only a few articles on its bioanalysis have been published so far and this is probably due to its very specific clinical application and a relatively short time since its approval by EMA and FDA. On the other hand, DIF is used in clinical practice for a long time and this may explain the larger number of published research articles.
Spectral and liquid chromatographic methods are mainly represented in the bioanalysis of TAF and DIF in bulk drugs, pharmaceutical formulations, and biological samples. Spectral analytical methods for TAF have not been developed, but there are some for DIF-spectrophotometry (SPM) [42] and spectrofluorimetry (SFM) [42-45]. Liquid chromatography (HPLC-UV and LC-MS) is the method of choice for the analysis of TAF plasma levels [46-49]. DIF is also quantified predominantly by HPLC [50-59] and LC-MS [60] alone [50-53, 60], in combination with other drugs [54-57], metabolites [58] or impurities [59]. Most of the analytical methods found in the literature were developed in the 1980s [42, 51-53, 57, 58], some in the 1990s and 2000s [43-45, 50, 54, 55, 60] and two in 2021 [56, 59].
Sample preparation
Bioanalysis is extremely challenging because most of the target pharmaceuticals are present in the blood, urine, and saliva samples in very low concentrations (ng/ml or even pg/ml). In these cases, highly sensitive instruments and reliable methods for analysis should be used. For a successful bioassay, complete isolation of the drugs from the biological matrix and final quantitative measurement. The choice of sample preparation technique (protein precipitation (PPT), liquid-liquid extraction (LLE), or solid phase extraction (SPE)) is based on the properties of the studied drug, the type and properties of the biological matrix, and the analytical method specifications.
In the analysis of TAF in biological media, complete blood samples were collected in tubes containing ethylenediaminetetraacetic acid (EDTA) [47-49] or sodium citrate [46] as an anticoagulant. For complete plasma separation, the samples are allowed to stand for 30 min at 18-25 °C and centrifuged for 20 min to separate the supernatant [46]. Based on the studies performed, it is recommended that plasma samples be stored at-10 to-30 °C [48] or-75 °C [46, 47] and thawed at room temperature before analysis [46-49]. Sample preparation methods include PPT for the treatment of human blood plasma [46-48] and LLE, in the analysis of rat plasma [49]. The PPT methods developed include pipetting 20-160 µl plasma and using 1 % trichloroacetic acid [46, 47] or acetonitrile [48] as precipitating agents. One of the HPLC methods does not use an internal standard to study the accuracy of the developed analytical procedure [46], but in the other three, a structurally similar compound was selected as an internal standard [47-49]. Solution with known concentration was prepared, and 50 [48] or 100 µl [47] were mixed with blank plasma sample before the actual protein precipitation. After the addition of the precipitating solution, the samples were mixed for 20 [47] or 30 min [46] at room temperature and centrifuged for 10 min at maximum speed in an ultracentrifuge [46, 47]. Additional dilution of the obtained supernatant with 200 µl of purified water is used only in the method developed by Lockwood et al. [48]. The obtained supernatant was used in the quantitative analysis. The PPT method developed by Hyun et al. involved mixing 50 µl plasma, 50 µl internal standard solution at a concentration of 1 µg/ml, and 50 µl 11.3 µM HCl in methanol. The organic solvent used for drug extraction was 1 ml of ethyl acetate and the mixture was vortexed for 10 min and centrifuged for 10 min at 13 500 rpm. The separated supernatant was pipetted, transferred to a test tube, and evaporated to dryness over 40 min at 50 °C. The dry residue was reconstituted in a 200 µl mobile phase and analyzed [49].
According to the methods described in the literature, all three main techniques were suitable for the analysis of DIF in a biological matrix-PPT [44, 45, 52, 58], LLE [51, 53, 57] and SPE [60].
The developed PPT methods were used for the treatment of plasma [52], serum [44, 45, 58] and urine [52, 58] and included the mixing of 50-100 µl sample (plasma/serum from patients or additionally injected with DIF pure plasma) with 50-100 µl solution of appropriate internal standard-chlorinated analog of DIF [52] with subsequent precipitation using 0.1 M solution of phosphoric acid and acetonitrile [60] or direct treatment of the biological sample with acetonitrile [58], 0.1 M solution of trichloroacetic acid [44] or methanol [45]. The resulting samples were vortexed for 2 min [44, 52] or in an ultrasonic bath for 5 min [45] and centrifuged for 4 min at 18 000 rpm [58] or for 5-15 min at 2000-4500 rpm [44, 45, 52]. The separated supernatant is pipetted and used for quantitative analysis. The preparation of urine samples by the PPT technique involved several additional steps before the centrifugation step to separate the supernatant-addition of 150 µl 70 % perchloric acid solution, heating for 1h. at 90 °C, subsequent cooling of the sample and mixing with 500 µl 5 M sodium hydroxide solution and 200 µl acetonitrile [52].
The LLE procedure was applicable in plasma [51, 53], urine [53] and serum [57]. When adapting the standard internal method to this quantitative analysis, an internal standard solution of a certain concentration was added to the biological sample, mixed briefly and the drug substance was extracted from the aqueous medium of the biological sample by adding 4-5 ml of mixed organic solvent-hexane-diethyl ether in a ratio of 50:50 v/v [51, 53, 57]. Then samples were centrifuged for 15 min at 1500 rpm [50], the organic phase was transferred to a clean tube, evaporated to dryness, reconstituted in methanol [51] or mobile phase [53], and analyzed. Despite its many advantages, the SPE sample preparation technique is not widely used in the analysis of DIF in biological media. Information is available only on its application to the development of a quantitative method for plasma analysis. In this procedure to 200 µl plasma (obtained by spiked plasma with DIF solution) was added 200 µl solution of the internal standard-Clofibric acid with a concentration of 50 µg/ml, then the mixture was vortexed, 2 % solution of formic acid was added and the obtained sample was injected into the SPE separation column. A solution of acetonitrile and 5 mmol ammonium formate (pH = 8) was passed through the column in the elution process at a ratio of 90:10 v/v and the resulting eluate was analyzed [60].
UV-VIS spectrophotometric and spectrofluorimetric methods
Spectral methods of analysis are widely used in the analysis of bulk drugs and dosage forms (table 1). Relatively simple methodological procedures, low consumption of reagents and samples, and affordable equipment ensure fast, precise, and accurate results. Spectrofluorimetric methods have been developed for the analysis of DIF alone [43] or in combination with other drugs [42, 44, 45], in blood serum (or urine) [43-45], and tablets [42].
Abdel-Hamid et al. established a spectrophotometric (SPM) and spectrofluorimetric (SFM) method for differential determination of DIF in tablets. The developed techniques were rapid, simple, and accurate with different applications. DIF exhibited a fluorescence activity highly dependent on the pH of the medium with inhibition at acidic pH and enhance at basic pH. Spectrophotometric and spectrofluorimetric procedures can be used in routine practice for dosage form control. The precision parameter for the two methods, determined as CV % was 1.31 and 1.8 for SPM and SFM, respectively. Accuracy was good with mean recovery values of 100.90 and 99.90 for SPM and SFM, respectively. The linearity parameter was evaluated by the correlation coefficient (R2). It was determined as>0.9997 for all methods. The SPM absorbance was measured at 274 and SFM-at 260 nm [42].
Ioannou et al. developed a SFM method for the determination of DIF in serum and urine based on its ternary complex with terbium and EDTA. Terbium ions form fluorescence ternary complex with EDTA and DIF in alkaline aqueous solutions (pH range from 9.0 to 13.5) by using TRIS buffer and concentration 1.0 x 10-3 mol/l of the Tb-EDTA mixture. The complex thus formed shifted the emission maximum to longer wavelengths and so the obtained optimum wavelengths were excitation at 284 nm and emission at 547 nm. Fluorescence was measured in the range 0.01-6.00 µg/ml with R2>0.9991 and a limit of detection (LOD) 2.4 ng/ml. The influence of other drugs was tested but none of them interfered with the DIF determination and the method was claimed to be suitable for adoption in LC-MS or flow-injection techniques [43].
Two methods for DIF and naproxen (NAP) simultaneous determination were developed by two independent research teams in 1998 and 2008. The first method was based on the intrinsic fluorescence of both compounds in sodium dodecyl sulfate micellar medium [44] and the second-in methanolic aqueous solution [45]. A first-derivative synchronous fluorescence spectrometry was selected for the determinations [44, 45]. The studied concentration ranges were 20-250 µg/ml [44] and 0.02-1.00 µg/ml [45] with limits of detection 0.006 and 0.014 µg/ml, respectively. The proposed methods showed very good accuracy with recovery ratios of 96-101 % [44] and 99.09 % [45]. All the results obtained in these methods demonstrate that they were promised for the routine analysis and quality control of mixtures. Furthermore, the use of derivative techniques in spectrometry improved the selectivity of multi-component spectra and resolved mixtures with overlapping spectra [45].
Table 1: Conditions of spectrophotometric and spectrofluorimetric methods for determination of TTR kinetic stabilizers
| Drugs | Pharmaceutical or biological matrix | Wavelength (nm) | Linearity (µg/ml) | Accuracy of the method (%) | Ref. |
| UV-VIS spectrophotometric method | |||||
| DIF | Tablet | 274 | 50-200 | 100.90 | [42] |
| Spectrofluorimetry | |||||
| DIF | Tablet | 260/425 | 0.5–3.0 | 99.60 | [42] |
| DIF | Serum and urine | 284/546 | 0.01–6.00 | 96.8-101.2 in serum and 98.0-102.0 in urine |
[43] |
| DIF and NAP | Serum | 303/413 | 20-250 | 96-101 | [44] |
| DIF and NAP | Tablet and serum | 243/310-460 | 0.02–1.0 | 99.09 | [45] |
Chromatographic techniques–HPLC and LC-MS
Four analytical techniques for bioassay and quantification of the transthyretin kinetic stabilizer TAF in plasma, focused entirely on liquid chromatography-RP-HPLC [46, 47] and LC-MS [48, 49], are presented in the literature. Due to its high resolution and sensitivity, it is the first choice for the determination of multicomponent drug systems, and the ability to detect traces of the main active substance in biological samples makes it extremely suitable for adaptation in the process of therapeutic drug monitoring. The developed methods of analysis aim to be applied to studies determining the degree of stabilization of TTR protein during treatment with TAF [46], mean plasma levels in patients with Glu89Gln mutation [47], assessment of bioavailability and bioequivalence of the drug in the two therapeutic regimens for ATTR cardiomyopathy-61 mg capsules containing TAF in the form of pure acid or 4 x 20 mg capsules containing the salt TAF meglumine [48] and for analysis in the plasma of rats [49]. The key factors for achieving reliable results are the selection and careful optimization of chromatographic conditions. The chromatographic columns used to determine TAF were C18, measuring 50 x 2.1 mm or 150 x 4.6 mm, and having a particle size of 3 or 5 μm. The mobile phase is another very important condition for reliable quantification and accurate results. The most commonly used is acetonitrile mixed with a solution of trifluoroacetic acid [46, 47], formic acid [48] or ammonium formate [49] in isocratic mode of elution [47, 49] or gradient mode [46, 48] at a flow rate of 0.3 or 0.5 ml/min in LC-MS [48, 49] assays and 1.0 ml/min in RP-HPLC [47]. The determinations were performed at room temperature. In one of the RP-HPLC procedures, UV detection at 280 nm was used for TAF quantification [47]. Developed methods for mass detection analysis include the use of electrospray ionization of substances in nitrogen gas at a temperature of 550 [48] or 500 °C [49] and recorded m/z values of the mass analyzer were in the range 305.43-262.2 for TAF [48, 49].
The analytical chromatographic methods for the analysis of DIF described in the literature determined reverse phase liquid chromatography as the preferred fast and reliable method. Both LC-MS [60] procedures and HPLC with UV [42, 50, 51, 54, 55, 57-59] or FLD detection [52, 53, 56] adapted for bioassay in plasma [50-53, 56, 60], serum [57, 58] or urine [52, 53, 58] have been developed.
Octadecyl silica columns (ODS or C18) are generally preferred in stationary phase analyzes [42, 52, 55-57, 59, 60], but the applicability of C8 chromatographic columns providing different degrees of selectivity is also noted [51, 53, 54, 58]. Reverse phase columns ranging in size from 50 x 4.6 mm to 250 x 4.6 mm were used, all of which gave sufficiently good separation of the active substance from its metabolites or complex drug mixtures, with longer columns showing a characteristic prolongation of the retention-3.3 [55, 60]-3.9 min [42], compared to the short-1.4 min [52]. It was found that better results were obtained for columns with a particle size of 5 µm [42, 51, 53-55, 58-60] compared to those with 10 µm [57]. The use of short and narrow columns reduces the analysis time and the volume of solvents required, but is not applicable to all drugs, as an important determining factor is the chemical structure of the target analyte.
The selectivity also depends on the composition of the mobile phase, the flow rate, and the type of elution. Methanol and acetonitrile are used as basic organic components in combination with buffer solutions with different pH values [52-57, 59], glacial acetic acid [42, 50], and ammonium formate [60] or tetramethylammonium hydrogen sulfate [51, 58]. Methanol provides good separation and better peak shapes and is therefore preferred as an organic solvent [50-53, 57, 58] in HPLC-UV and HPLC-FLD analysis in a mixture with phosphate buffer pH = 3, 3.5, or 7 and ratios ranging from 58: 42 to 64:36 v/v. The combination of acetonitrile: buffer pH = 3.4 (50:50 v/v) or acetonitrile: ammonium formate (45:55 v/v) is preferred in HPLC-DAD and LC-MS. The analysis of the organic: aqueous phase ratios showed a delay in the total analysis time and wider peaks with the increasing percentage of the aqueous phase and a correspondingly poor separation with increasing organic solvent [54]. In some cases, tetrahydrofuran or potassium citrate is added to the mobile phase as an additional reagent to reduce the tailing factor [42, 58]. The mobile phase in HPLC assays is fed at a rate in the range of 1.0 to 1.8 ml/min, while in LC-MS, it is significantly lower-0.6 ml/min, in isocratic or gradient mode.
Temperature is another factor used to optimize analytical procedures. HPLC-UV [42, 50, 51, 57-59] and HPLC-DAD [54, 55] assays were performed predominantly at room temperature, while HPLC-FLD [52, 53, 56] assays were performed at column temperatures of 40-65 °C. Lowering the temperature in these cases leads to a delay in the analysis [52], and buffers with higher pH values were used to increase the fluorescence [42]. Based on the spectrum of DIF solution, two regions with maximum absorption were determined-230 and 254 nm. The developed HPLC-UV methods of analysis [42, 50, 51, 57-59] use 254 nm as the reference wavelength, and HPLC-DAD [54, 55]-225-230 nm. The analysis with fluorescence detection is characterized by the determination of two wavelengths-excitation and emission. In the described quantitative methods, these are 260 nm and 315 nm and 418 nm and 389 nm, respectively [52, 53].
The published methods of quantitative analysis have been validated against the parameters linearity, precision, accuracy, LOD, and limit of quantification (LOQ). Concentration intervals ranging from 0.5 to 400 µg/ml were chosen to monitor linearity, based on the detected maximum plasma concentrations of DIF in healthy volunteers. The described methods have been proven linear with a correlation coefficient (R2) greater than 0.9997 [42, 52-55]. Intra-and inter-day accuracy calculated as mean %RSD was<10 % for HPLC-UV methods [42, 50, 58],<5 % for HPLC-FLD [53, 56],<2 % for HPLC-DAD [54, 55] and<4.2 % for LC-MS [60]. The accuracy of the analytical procedures was assessed by the repeated tests, and the obtained mean values were >98.4 % for HPLC-UV methods [42, 50, 51, 58, 59],>98.9 % for HPLC-FLD [52, 56],>99.0 % for HPLC-DAD [54, 55] and>92.0 % in LC-MS [60]. The results showed the high reliability and precision of the developed methods. The assessment of method applicability in practice mainly depends on the limits of detection and quantification of the target analyte in the complex matrices of biological samples. The lowest values for LOD and LOQ were achieved by one of the HPLC-DAD methods-0.025 and 0.15 µg/ml, respectively [55]. HPLC-FLD methods provide a mean detection limit of 1.0 µg/ml [52, 53], and LC-MS values are 0.1 and 1.0 µg/ml for LOD and LOQ, respectively [60]. More details on the chromatographic conditions are given in table 2.
Table 2: Conditions of chromatographic methods for determination of TTR kinetic stabilizers
| Drugs | Pharmaceutical or biological matrix | Stationary phase | Mobile phase | Detection | Linearity (µg/ml or µM) |
Accuracy of the method (%) | Ref. |
| HPLC | |||||||
| TAF | Human plasma | Betabasic C18 (50 mm, 3 µm) | Buffer A: water: Acetonitrile: Trifluoroacetic acid in the proportion 95:4.9:0.1 v/v/v Buffer B: water: Acetonitrile: Trifluoroacetic acid in the proportion 4.9:95:0.1 v/v/v Linear gradient from 10 to 100% Buffer B |
- | 1-24 µM | - | [46] |
| TAF | Human plasma | Purospher C18 (150x4.6 mm, 5 µm) T = 25 °C |
0.1% Trifluoroacetic acid in mixture of Water: Acetonitrile in the proportion 42:58 v/v Isocratic elution Flow rate=1.0 ml/min |
UV λ=280 nm |
1-10 µM | 100.70 | [47] |
| LC-MS | |||||||
| TAF | Human plasma | Atlantis C18 (50x2.1 mm, 5 µm) | Buffer A: water: formic acid in the proportion of 100:0.1 v/v and Buffer B: acetonitrile: methanol: firmic acid in the proportion of 50:50:0.1v/v Linear gradient from 63 to 95% Buffer B Flow rate=0.7 ml/min |
MS ESI ionization; nitrogen gas; T = 550 °C |
0.01-10.0 µg/ml | - | [48] |
| TAF | Rat plasma | Zorbax Eclipse XDB | 10 mmol ammonium formate: acetonitrile in the proportion of 50:50 v/v Isocratic elution Flow rate= 0.3 ml/min |
MS multiple reaction monitoring (MRM) |
0.003-3.0 µg/ml | 85.23 | [49] |
| HPLC | |||||||
| DIF | Tablet | Ultraspere ODS column (250x4.6 mm, 5 µm) | Water and acetonitrile (50:50 v/v): glacial acetic acid: tetrahydrofuran in the proportion of 80:16:4 v/v/v Flow rate=1.8 ml/min |
UV λ=254 nm |
5-20 µg/ml | 99.90 | [42] |
| DIF | Human plasma | Spherisorb C18 | Methanol: water: glacial acetic acid in the proportion of 66: 30: 4 v/v/v Flow rate=1.0 ml/min |
UV λ=250 nm |
0.5-100 µg/ml | 97.25 | [50] |
| DIF | Human plasma | LiChrosorbC8 (150x4.6 mm, 5 µm) T = 32 °C |
Methanol: water in the proportion of 50: 50 v/v with added 0.01M tetramethylammonium hydrogen sulfate and Tris (hydroxymethyl) aminomethane Flow rate=1.4 ml/min |
UV λ=254 nm |
5-100 µg/ml | 96 | [51] |
| DIF | Human plasma and urine | Sepralyte C18 (50x4.6 mm, 3 µm) T = 65 °C |
0.05 M phosphate buffer adjusted to pH=3.5: methanol in the proportion of 42: 58 v/v Flow rate=1.5 ml/min |
FLD λex=260 nm λem=418 nm |
5-200 µg/ml in plasma and 10-400 µg/ml in urine | ≥ 98 | [52] |
| DIF | Human plasma and urine | Ultrasphere ODS C8 (250x4.6 mm, 5 µm) T °C = 50 °C |
Methanol: 0.05 M phosphate buffer adjusted to pH=3 in the proportion of 64:36 v/v Flow rate=1.0 ml/min Isocratic mode in plasma and gradient mode in urine |
FLD λex=350 nm λem=389 nm |
0.05-100.0 µg/ml | - | [53] |
| DIF and DIC | Tablet | Zorbax SB C8 (250x4.6 mm, 5 µm) T °C = 25 °C |
0.05M orthophosphoric acid: acetonitrile: methanol in the proportion of 40: 48: 12 v/v/v Flow rate=1.0 ml/min |
UV λ=228 nm |
5-100 µg/ml | 98.80–100.75 | [54] |
| DIF and NAP | Tablet | Eclipse XDB C18 (150x4.6 mm, 5 µm) T = 25 °C |
Acetonitrile: 0.05M phosphate buffer adjusted to pH=3.4 in the proportion of 50: 50 v/v Flow rate=1.0 ml/min |
UV λ=225 and 230 nm |
0.25-5 µg/ml | 99.04 | [55] |
| DIF, LES and FEB | Human plasma | Hypersil BDS C18 T = 40 °C |
Acetonitrile: 30 mmol phosphate buffer adjusted to pH=5.5 in the proportion of 32.2: 67.8 v/v Flow rate=1.0 ml/min Isocratic mode |
FLD | 0.05-0.5 µg/ml | 98.1–101.3 | [56] |
| DIF, ASA, SA, IMC, IPF and IBF | Serum | Bondapak C18 (30x3.9 mm, 10 µm) | Methanol: 0.03M phosphate buffer adjusted to pH=7.0 in the proportion of 60:40 v/v | UV λ=254 nm |
2-800 µM | - | [57] |
| DIF and glucuronides | Serum and urine | Spherisorb Octyl C8 (250x4.6 mm, 5 µm) T = 40 °C |
Methanol: 20 mmol Potassium citrate adjusted to pH=3.6 and 0.02M tetramethylammonium hydrogen sulfate in the proportion of 48: 52 v/v Flow rate=1.0 ml/min |
UV λ=254 nm |
2-400 µg/ml | 81.0-97.3 in serum and 97.5-104.9 in urine | [58] |
| DIF and impurity | Bulk drug | C18 (250x4.6 mm, 5 µm) |
0.05 M buffer adjusted to pH=4: Acetonitrile in the proportion of 40:60 v/v | UV λ=254 nm |
5-30 µg/ml for DIF and 2-9 µg/ml for impurity | 100.10 and 98.88 | [59] |
| LC-MS | |||||||
| DIF | Human plasma | Prodigy ODS 3V (150x4.6 mm, 5 µm) |
Acetonitrile: 5 mmol ammonium formate in the proportion of 45: 55 v/v Isocratic elution Flow rate=0.6 ml/min |
MS multiple reaction monitoring (MRM) |
1-160 µg/ml | >92 | [60] |
DIC: diclofenac sodium; LES: lesinurad; FEB: febuxostat; ASA: acetylsalicylic acid; SA: salisylic acid; IMC: indomethacin; IPF: indoprofen; IBF: indobufen
Other methods
HPTLC-densitometry method
A highly sensitive high performance thin layer chromatography (HPTLC) method was developed by Farid et al. for the simultaneous determination of DIF and its impurity biphenyl-4-ol (BPL) in bulk drug and pharmaceutical formulations. Separation was achieved on silica gel TLC F254 plates, using toluene: acetone: acetic acid solution (3.5:6.5:1, v/v) as a developing solvent system. Detection was carried out at 254 nm and the regression plot was linear over the concentration range of 0.5-3.0 and 0.3-1.7 µg/band for DIF and BPL, respectively. The mean percentage recovery was 100.22 % (SD 0.893) for DIF and 100.52 % (SD 0.952) for BPL. The proposed method was the first published in the literature for the simultaneous analysis of DIF and its pharmacopeial impurity [59].
Voltammetric methods
Voltammetry is another rapid and sensitive analytical technique often applied for the quantification of bulk drug or pharmaceutical formulations in various matrices [61-63]. There are two developed voltammetric methods for DIF determination alone [64] or with Piroxicam at DIF-derived gold nanoparticles [65]. It is possible to quantify DIF by using a montmorillonite-Ca-modified carbon paste electrode (MMT-Ca-modified CPE) [64] or differential pulse voltammetry with a modified glassy carbon electrode (DPV GCE) [65]. The analyte was measured with an electrolyte consisting of Ag/AgCl/3M KCl in acetate buffer with pH=5.0 using 10% (w/w) Ca-modified CPE. The proposed method was sensitive and accurate with mean recovery values for the different pharmaceutical formulations of 98.7% and all method validation parameters within the specified limits [64]. Under the optimized conditions methods showed good linearity in the concentration ranges 8x10-8–4x10-6 M, 3x10-8–5x10-7 M and 5x10-9–2x10-7 for 60s, 180s and 300s, respectively [64] and 0.5–50 µM [65] with obtained correlation coefficients over 0.996 [64]. The achieved LOD values were 0.375 ng/ml for MMT-Ca-modified CPE (300s) [64] and 50 nM for the second one [65]. LOQ was determined only in one of the methods as 150 nM [65]. After five replicate determinations the estimated relative standard deviation was 0.61 % [64]. The MMT-Ca-modified CPE method was suggested for application in control laboratory analysis and pharmacokinetic studies.
A summary of various analytical methods reported in the available literature was made in the present review. The objective of our research team was to collect maximum information about the specific analytical techniques and study them in detail. Among the published developments on the analysis of TAF and DIF in bulk drugs, pharmaceutical formulations and biological matrixes (plasma, serum, urine), chromatography has the greatest significance because of its numerous and undeniable advantages. It offers a rapid, precise, and reproducible quantitative analysis suitable for the complicated multi-component matrices that easily can be upgraded with mass spectroscopy.
Declared none
Nil
All authors have contributed equally.
The authors declare that there are no conflicts of interest regarding the publication of this article.
Connors LH, Lim A, Prokaeva T, Roskens VA, Costello CE. Tabulation of human transthyretin (TTR) variants, 2003. Amyloid. 2003 Sep;10(3):160-84. doi: 10.3109/13506120308998998, PMID 14640030.
Westermark P, Benson MD, Buxbaum JN, Cohen AS, Frangione B, Ikeda S. A primer of amyloid nomenclature. Amyloid. 2007 Sep;14(3):179-83. doi: 10.1080/13506120701460923, PMID 17701465.
Cakar A, Durmus Tekçe H, Parman Y. Familial amyloid polyneuropathy. [Noro psikiyatr Ars]. Noro Psikiyatr Ars. 2019 May 6;56(2):150-6. doi: 10.29399/npa.23502, PMID 31223250.
Luigetti M, Romano A, Di Paolantonio A, Bisogni G, Sabatelli M. Diagnosis and treatment of hereditary transthyretin amyloidosis (hATTR) polyneuropathy: current perspectives on improving patient care. Ther Clin Risk Manag. 2020 Feb 21;16:109-23. doi: 10.2147/TCRM.S219979. PMID 32110029, PMCID PMC7041433.
Ando Y, Coelho T, Berk JL, Cruz MW, Ericzon BG, Ikeda S. Guideline of transthyretin-related hereditary amyloidosis for clinicians. Orphanet J Rare Dis. 2013 Feb 20;8:31. doi: 10.1186/1750-1172-8-31, PMID 23425518, PMCID PMC3584981.
PubChem, National Library of Medicine [internet]. National library of medicine, National Center for Biotechnology Information, USA; c2022. Available from: https://pubchem.ncbi.nlm.nih.gov. [Last accessed on 21 Jun 2022]
DrugBank online database [Internet]. Database for drug and drug target information, USA; c2022. Available from: https://go.drugbank.com [Last accessed on 21 Jun 2022]
Coelho T, Merlini G, Bulawa CE, Fleming JA, Judge DP, Kelly JW. Mechanism of action and clinical application of tafamidis in hereditary transthyretin amyloidosis. Neurol Ther. 2016 Jun;5(1):1-25. doi: 10.1007/s40120-016-0040-x. PMID 26894299, PMCID PMC4919130.
Adams D. Recent advances in the treatment of familial amyloid polyneuropathy. Ther Adv Neurol Disord. 2013 Mar;6(2):129-39. doi: 10.1177/1756285612470192, PMID 23483184, PMCID PMC3582309.
Sekijima Y. Recent progress in the understanding and treatment of transthyretin amyloidosis. J Clin Pharm Ther. 2014 Jun;39(3):225-33. doi: 10.1111/jcpt.12145, PMID 24749898.
Snetkov P, Morozkina S, Olekhnovich R, Uspenskaya M. Diflunisal targeted delivery systems: a review. Materials (Basel). 2021 Nov 6;14(21):6687. doi: 10.3390/ma14216687, PMID 34772213, PMCID PMC8588122.
Obici L, Merlini G. An overview of drugs currently under investigation for the treatment of transthyretin-related hereditary amyloidosis. Expert Opin Investig Drugs. 2014 Sep;23(9):1239-51. doi: 10.1517/13543784.2014.922541. PMID 25003808.
Burton A, Castano A, Bruno M, Riley S, Schumacher J, Sultan MB. Drug discovery and development in rare diseases: taking a closer look at the tafamidis story. Drug Des Devel Ther. 2021;15:1225-43. doi: 10.2147/DDDT.S289772. PMID 33776421.
Gundapaneni BK, Sultan MB, Keohane DJ, Schwartz JH. Tafamidis delays neurological progression comparably across Val30Met and non-Val30Met genotypes in transthyretin familial amyloid polyneuropathy. Eur J Neurol. 2018 Mar;25(3):464-8. doi: 10.1111/ene.13510. PMID 29115008, PMCID PMC5838526.
Klamerus KJ, Watsky E, Moller R, Wang R, Riley S. The effect of tafamidis on the QTc interval in healthy subjects. Br J Clin Pharmacol. 2015 Jun;79(6):918-25. doi: 10.1111/bcp.12561, PMID 25546001, PMCID PMC4456124.
McKeage K, Lyseng-Williamson KA, Scott LJ. Tafamidis in transthyretin amyloidosis: a guide to its use in delaying peripheral neurological impairment in patients with stage 1 polyneuropathy. Drugs Ther Perspect. 2017;33(2):47-53, doi: 10.1007/s40267-016-0368-4.
Kerschen P, Plante Bordeneuve V. Current and future treatment approaches in transthyretin familial amyloid polyneuropathy. Curr Treat Options Neurol. 2016 Dec;18(12):53. doi: 10.1007/s11940-016-0436-z, PMID 27873215.
Sekijima Y, Tojo K, Morita H, Koyama J, Ikeda S. Safety and efficacy of long-term diflunisal administration in hereditary transthyretin (ATTR) amyloidosis. Amyloid. 2015;22(2):79-83. doi: 10.3109/13506129.2014.997872. PMID 26017328.
Gertz MA, Mauermann ML, Grogan M, Coelho T. Advances in the treatment of hereditary transthyretin amyloidosis: a review. Brain Behav. 2019 Sep;9(9):e01371. doi: 10.1002/brb3.1371. PMID 31368669, PMCID PMC6749475.
Miller SR, Sekijima Y, Kelly JW. Native state stabilization by NSAIDs inhibits transthyretin amyloidogenesis from the most common familial disease variants. Lab Invest. 2004 May;84(5):545-52. doi: 10.1038/labinvest.3700059, PMID 14968122.
Tojo K, Sekijima Y, Kelly JW, Ikeda S. Diflunisal stabilizes familial amyloid polyneuropathy-associated transthyretin variant tetramers in serum against dissociation required for amyloidogenesis. Neurosci Res. 2006 Dec;56(4):441-9. doi: 10.1016/j.neures.2006.08.014. PMID 17028027.
Tempero KF, Cirillo VJ, Steelman SL. Diflunisal: a review of pharmacokinetic and pharmacodynamic properties, drug interactions, and special tolerability studies in humans. Br J Clin Pharmacol. 1977 Feb;4 Suppl 1:31S-6S. doi: 10.1111/j.1365-2125.1977.tb04511.x. PMID 328032, PMCID PMC1428837.
Coelho T, Maia LF, Martins da Silva A, Waddington Cruz M, Plante Bordeneuve V, Lozeron P. Tafamidis for transthyretin familial amyloid polyneuropathy: a randomized, controlled trial. Neurology. 2012 Aug 21;79(8):785-92. doi: 10.1212/WNL.0b013e3182661eb1. PMID 22843282, PMCID PMC4098875.
Coelho T, Maia LF, da Silva AM, Cruz MW, Plante Bordeneuve V, Suhr OB. Long-term effects of tafamidis for the treatment of transthyretin familial amyloid polyneuropathy. J Neurol. 2013 Nov;260(11):2802-14. doi: 10.1007/s00415-013-7051-7. PMID 23974642, PMCID PMC3825212.
Lozeron P, Theaudin M, Mincheva Z, Ducot B, Lacroix C, Adams D. Effect on disability and safety of tafamidis in late onset of Met30 transthyretin familial amyloid polyneuropathy. Eur J Neurol. 2013 Dec;20(12):1539-45. doi: 10.1111/ene.12225. PMID 23834402.
Merlini G, Plante Bordeneuve V, Judge DP, Schmidt H, Obici L, Perlini S. Effects of tafamidis on transthyretin stabilization and clinical outcomes in patients with non-Val30Met transthyretin amyloidosis. J Cardiovasc Transl Res. 2013 Dec;6(6):1011-20. doi: 10.1007/s12265-013-9512-x. PMID 24101373, PMCID PMC3838581.
Barroso FA, Judge DP, Ebede B, Li H, Stewart M, Amass L. Long-term safety and efficacy of tafamidis for the treatment of hereditary transthyretin amyloid polyneuropathy: results up to 6 years. Amyloid. 2017 Sep;24(3):194-204. doi: 10.1080/13506129.2017.1357545. PMID 28758793.
Cortese A, Vita G, Luigetti M, Russo M, Bisogni G, Sabatelli M. Erratum to: monitoring effectiveness and safety of Tafamidis in transthyretin amyloidosis in Italy: a longitudinal multicenter study in a non-endemic area. J NeurolJ Neurol. 2016;263(5):925-6. doi: 10.1007/s00415-016-8116-1. PMID 27098978.
Plante Bordeneuve V, Gorram F, Salhi H, Nordine T, Ayache SS, Le Corvoisier P. Long-term treatment of transthyretin familial amyloid polyneuropathy with tafamidis: a clinical and neurophysiological study. J Neurol. 2017 Feb;264(2):268-76. doi: 10.1007/s00415-016-8337-3. PMID 27878441.
Maurer MS, Grogan DR, Judge DP, Mundayat R, Packman J, Lombardo I. Tafamidis in transthyretin amyloid cardiomyopathy: effects on transthyretin stabilization and clinical outcomes. Circ Heart Fail. 2015 May;8(3):519-26. doi: 10.1161/CIRCHEARTFAILURE.113.000890. PMID 25872787.
Maurer MS, Schwartz JH, Gundapaneni B, Elliott PM, Merlini G, Waddington-Cruz M. Tafamidis treatment for patients with transthyretin amyloid cardiomyopathy. N Engl J Med. 2018 Sep 13;379(11):1007-16. doi: 10.1056/NEJMoa1805689. PMID 30145929.
Damy T, Judge DP, Kristen AV, Berthet K, Li H, Aarts J. Cardiac findings and events observed in an open-label clinical trial of tafamidis in patients with non-Val30Met and non-Val122Ile hereditary transthyretin amyloidosis. J Cardiovasc Transl Res. 2015 Mar;8(2):117-27. doi: 10.1007/s12265-015-9613-9. PMID 25743445, PMCID PMC4382536.
Rapezzi C, Elliott P, Damy T, Nativi Nicolau J, Berk JL, Velazquez EJ. Efficacy of tafamidis in patients with hereditary and wild-type transthyretin amyloid cardiomyopathy: further analyses from ATTR-ACT. JACC Heart Fail. 2021 Feb;9(2):115-23. doi: 10.1016/j.jchf.2020.09.011. PMID 33309574.
Ishii T, Hirano Y, Matsumoto N, Takata A, Sekijima Y, Ueda M. Characteristics of patients with hereditary transthyretin amyloidosis and an evaluation of the safety of tafamidis meglumine in Japan: an interim analysis of an all-case postmarketing surveillance. Clin Ther. 2020 Sep;42(9):1728-37.e6. doi: 10.1016/j.clinthera.2020.07.001. PMID 32800381.
Huber P, Flynn A, Sultan MB, Li H, Rill D, Ebede B. A comprehensive safety profile of tafamidis in patients with transthyretin amyloid polyneuropathy. Amyloid. 2019 Dec;26(4):203-9. doi: 10.1080/13506129.2019.1643714. PMID 31353964.
Suhr OB, Conceicao IM, Karayal ON, Mandel FS, Huertas PE, Ericzon BG. Post hoc analysis of nutritional status in patients with transthyretin familial amyloid polyneuropathy: impact of tafamidis. Neurol Ther. 2014 Dec 11;3(2):101-12. doi: 10.1007/s40120-014-0023-8, PMID 26000226, PMCID PMC4386428.
Amass L, Li H, Gundapaneni BK, Schwartz JH, Keohane DJ. Influence of baseline neurologic severity on disease progression and the associated disease-modifying effects of tafamidis in patients with transthyretin amyloid polyneuropathy. Orphanet J Rare Dis. 2018 Dec 17;13(1):225. doi: 10.1186/s13023-018-0947-7, PMID 30558645, PMCID PMC6296038.
Merlini G, Coelho T, Waddington Cruz M, Li H, Stewart M, Ebede B. Evaluation of mortality during long-term treatment with tafamidis for transthyretin amyloidosis with polyneuropathy: clinical trial results up to 8.5 Years. Neurol Ther. 2020 Jun;9(1):105-15. doi: 10.1007/s40120-020-00180-w. PMID 32107748, PMCID PMC7229124.
Keohane D, Schwartz J, Gundapaneni B, Stewart M, Amass L. Tafamidis delays disease progression in patients with early stage transthyretin familial amyloid polyneuropathy: additional supportive analyses from the pivotal trial. Amyloid. 2017 Mar;24(1):30-6. doi: 10.1080/13506129.2017.1301419. PMID 28393570.
Russo M, Gentile L, Di Stefano V, Di Bella G, Minutoli F, Toscano A. Use of drugs for ATTRv amyloidosis in the real world: how therapy is changing survival in a non-endemic area. Brain Sci. 2021 Apr 27;11(5):545. doi: 10.3390/brainsci11050545, PMID 33925301, PMCID PMC8146901.
Müller ML, Butler J, Heidecker B. Emerging therapies in transthyretin amyloidosis-a new wave of hope after years of stagnancy? Eur J Heart Fail. 2020 Jan;22(1):39-53. doi: 10.1002/ejhf.1695. PMID 31912620.
Abdel Hamid ME, Najib NM, Suleiman MS, El-Sayed YM. Differential spectrophotometric, fluorimetric and high-performance liquid chromatographic determination of diflunisal and its tablets. Analyst. 1987 Nov;112(11):1527-30. doi: 10.1039/an9871201527, PMID 3439602.
Ioannou PC, Lianidou ES, Konstantianos DG. Simple, rapid and sensitive spectrofluorimetric determination of diflunisal in serum and urine based on its ternary complex with terbium and EDTA. Anal Chim Acta. 1995;300(1-3):237-41. doi: 10.1016/0003-2670(94)00415-I.
Perez Ruiz T, Martinez Lozano CM, Tomas V, Carpena J. Sensitive synchronous spectrofluorimetric methods for the determination of naproxen and diflunisal in serum. Fresenius J Anal Chem. 1998;361(5):492-5. doi: 10.1007/s002160050931.
Maher HM. Simultaneous determination of naproxen and diflunisal using synchronous luminescence spectrometry. J Fluoresc. 2008 Sep;18(5):909-17. doi: 10.1007/s10895-008-0322-5. PMID 18256908.
Rappley I, Monteiro C, Novais M, Baranczak A, Solis G, Wiseman RL. Quantification of transthyretin kinetic stability in human plasma using subunit exchange. Biochemistry. 2014 Apr 1;53(12):1993-2006. doi: 10.1021/bi500171j. PMID 24661308, PMCID PMC3977577.
Smerikarova M, Bozhanov S, Maslarska V, Tournev I. Determination of tafamidis plasma concentrations in amyloidosis patients with Glu89Gln mutation by HPLC-UV detection. J Chromatogr Sci. 2021 Dec 11:bmab132. doi: 10.1093/chromsci/bmab132. PMID 34897414.
Lockwood PA, Le VH, O’Gorman MT, Patterson TA, Sultan MB, Tankisheva E. The bioequivalence of tafamidis 61-mg free acid capsules and tafamidis meglumine 4 × 20-mg capsules in healthy volunteers. Clin Pharmacol Drug Dev. 2020 Oct;9(7):849-54. doi: 10.1002/cpdd.789. PMID: 32196976, PMC7754314.
Hyun HC, Jeong JW, Kim HR, Oh JH, Lee JH, Choi S, Kim YS, Koo TS. Development and validation of a liquid chromatography-tandem mass spectrometry method for the assay of tafamidis in rat plasma: application to a pharmacokinetic study in rats. J Pharm Biomed Anal. 2017 Apr 15;137:90-5. doi: 10.1016/j.jpba.2017.01.020. PMID: 28107689.
Gao L, Xing J, Liu W. Determination of diflunisal in plasma by RP-HPLC after solid-liquid extraction. Yao Xue Xue Bao. 1998;33(4):286-9. PMID: 11939069.
Van Loenhout JW, Ketelaars HC, Gribnau FW, Van Ginneken CA, Tan Y. Rapid high-performance liquid chromatographic method for the quantitative determination of diflunisal in plasma. J Chromatogr. 1980 Jun 13;182(3-4):487-91. doi: 10.1016/s0378-4347(00)81506-6, PMID: 7391195.
Schwartz M, Chiou R, Stubbs RJ, Bayne WF. Determination of diflunisal in human plasma and urine by fast high-performance liquid chromatography. J Chromatogr. 1986 Aug 2;380(2):420-4. doi: 10.1016/s0378-4347(00)83673-7, PMID: 3760071.
Ray JE, Day RO. High-performance liquid chromatographic analysis of diflunisal in plasma and urine: application to pharmacokinetic studies in two normal volunteers. J Pharm Sci. 1983 Dec;72(12):1403-5. doi: 10.1002/jps.2600721209, PMID: 6663474.
Shaalan RA, Belal TS. Validated stability-indicating HPLC-DAD method for the simultaneous determination of diclofenac sodium and diflunisal in their combined dosage form. Sci Pharm. 2013 Mar 17;81(3):713-31. doi: 10.3797/scipharm.1301-24, PMID: 24106669, PMCID: PMC3791935.
Maher HM. Development and validation of a stability-indicating HPLC-DAD method with ANN optimization for the determination of diflunisal and naproxen in pharmaceutical tablets. J Liq Chromatogr Relat Technol. 2014;37(5):634-52. doi: 10.1080/10826076.2012.758134.
Magdy G, Abdel Hakiem AF, Belal F, Abdel Megied AM. A novel quality by design approach for development and validation of a green reversed-phase HPLC method with fluorescence detection for the simultaneous determination of lesinurad, febuxostat, and diflunisal: application to human plasma. J Sep Sci. 2021 Jun;44(11):2177-88. doi: 10.1002/jssc.202100016. PMID: 33773042.
Waahlin Boll E, Brantmark B, Hanson A, Melander A, Nilsson C. High-pressure liquid chromatographic determination of acetylsalicylic acid, salicylic acid, diflunisal, indomethacin, indoprofen and indobufen. Eur J Clin Pharmacol. 1981;20(5):375-8. doi: 10.1007/BF00615408, PMID: 7286048.
Hansen Moøller J, Dalgaard L, Hansen SH. Reversed-phase high-performance liquid chromatographic assay for the simultaneous determination of diflunisal and its glucuronides in serum and urine. Rearrangement of the 1-O-acylglucuronide. J Chromatogr. 1987 Sep 4;420(1):99-109. doi: 10.1016/0378-4347(87)80159-7, PMID: 3667833.
Farid NF, Naguib IA, Moatamed RS, El Ghobashy MR. Separation and determination of diflunisal and its impurity by two chromatographic methods: TLC-densitometry and HPLC. J AOAC Int. 2021 Dec 11;104(6):1719-25. doi: 10.1093/jaoacint/qsab076, PMID: 34051091.
Patel DS, Sharma N, Patel MC, Patel BN, Shrivastav PS, Sanyal M. Sensitive and selective determination of diflunisal in human plasma by LC-MS. J Chromatogr Sci. 2013 Oct;51(9):872-82. doi: 10.1093/chromsci/bms181. PMID: 23144359.
Vidya D, Siva Prasad M, Vishnu Priya M, Roja K, Sreedhar NY. Voltammetric determination of desloratadine in pharmaceutical and human urine samples using glassy carbon electrode. Sri Int J Pharm Pharm Sci. 2014 Oct;6(10):119-22.
Jg MJg M. A new electrochemical sensor based on modified carbon nanotube-graphite mixture paste electrode for voltammetric determination of resorcinol. Asian J Pharm Clin Res. 2017 Dec 1;10(12):295-300. doi: 10.22159/ajpcr.2017.v10i12.21028.
Hanabaratti RM, Gowda JI, Tuwar SM. Development of a sensor by electro-polymerization of erichrome black-t on glassy carbon electrode and determination of an anti-inflammatory drug diclofenac. Int J Pharm Pharm Sci. 2019 Feb 1;11(2):81-7. doi: 10.22159/ijpps.2019v11i2.30648.
Beltagi AM. Utilization of a montmorillonite-Ca-modified carbon paste electrode for the stripping voltammetric determination of diflunisal in its pharmaceutical formulations and human blood. J Appl Electrochem. 2009;39(12):2375-84. doi: 10.1007/s10800-009-9924-0.
Shaikh T, Uddin S, Talpur FN, Khaskeli AR, Agheem MH, Shah MR. Ultrasensitive determination of piroxicam at diflunisal-derived gold nanoparticle-modified glassy carbon electrode. J Electron Mater. 2017;46(10):5957-66. doi: 10.1007/s11664-017-5573-y.