
1*Acropolis Institute of Pharmaceutical Education and Research, Indore, MP, 2KIET Group of Institutions (KIET School of Pharmacy), Delhi-NCR, Meerut Road (NH-58), Ghaziabad 201206
Email: rakhikhabiya@gmail.com
Received: 20 Sep 2022, Revised and Accepted: 18 Oct 2022
ABSTRACT
Globally, the burden of cancer is substantial and growing. The impact of the burden of such diseases over society is unpredictable in terms of health lost and cost. Unfortunately, the estimates shown the burden may be increasing in the upcoming decades. Cabozantinib (CBZ) is a newly developed tyrosin kinase inhibitor (TKI) for Differentiated thyroid cancer (DTC), Hepatic Cellular Carcinoma (HCC), Medullary thyroid cancer (MTC) and Renal Cell Carcinoma (RCC). The objective of the presented review is to provide updated knowledge of drugs especially covering analytical methodologies. The review covered the introduction, mechanism of action, pharmacokinetics, synthesis and developed analytical methods by various researchers. The review covered one spectrophotometry and about twenty chromatography methods. The review will be helpful for the scientist working in this area and especially helpful for analytical scientists exploring new analytical methodologies for CBZ.
Keywords: Cabozantinib, Cancer, Analytical methods, Spectrophotometry, Chromatography
© 2023 The Authors. Published by Innovare Academic Sciences Pvt Ltd. This is an open access article under the CC BY license (https://creativecommons.org/licenses/by/4.0/)
DOI: https://dx.doi.org/10.22159/ijap.2023v15i1.46409. Journal homepage: https://innovareacademics.in/journals/index.php/ijap
Cancer is the subsequent driving reason for death around the world [1], representing almost 10 million deaths in 2020 [2]. Cancers have tormented multicellular living creatures for more than 200 million years [3]. The circumstance is disturbing to such an extent that each fourth individual is having a lifetime chance of disease [4]. By 2040, the quantity of new patient growth cases every year is supposed to ascend to 29.5 million and the quantity of disease-related passings to 16.4 million [5]. Albeit the full degree of the effect of the COVID-19 pandemic in various world districts is right now obscure, defers in finding and therapy related with the worries of people, health system closures, including suspension of screening programs, and decreased accessibility of and admittance to mind are supposed to cause a transient decrease in disease rate followed by expansions in advanced stage diagnosis and cancer mortality in certain settings [6].
MTC occurs in both sporadic and heritable forms and is an aggressive form of thyroid cancer. Among all thyroid cancers, MTC prevalence is about 5 to 10%. MTC originate in the neural crest, emerges from the thyroid gland’s parafollicular C cells. The disease advances from C cell hyperplasia (CCH), frequently with raised calcitonin levels, to microscopically invasive carcinoma, then grossly evident carcinoma [7]. The patient with localized disease and patients in regional stage illness have 95% and 75% overall survival (OS) rate, respectively. Just 20% of patients survive 10 y with diagnosed distant metastases which is fundamentally lower than for DTCs [8].
RCC originates from renal epithelium cells and records for over 90% of renal cancers. About 2% of all cancer diagnoses and cancer deaths worldwide are due to RCC with prevalence rates generally higher in developed countries [9]. Medullary thyroid cancer (MTC) is a rare cancer which occurs sporadically in almost 75% of cases or as inherited autosomal dominant syndromes originating from thyroid gland’s parafollicular C cells [10]. Approximately 14% thyroid malignancy-related deaths are due to MTC accounting for 2% prevalence of all thyroid cancers. The survival rate is higher as compared to other cancers and the 10-year survival rate is 96% for benign thyroid cancer and 40% for malignant tumours [11].
HCC is a frequent type of liver cancer, which is the third driving reason for death due to cancer across the world [12]. Chronic liver infections (Hepatitis B and Hepatitis C), autoimmune hepatitis, smoking, alcohol intake, non-alcoholic steatohepatitis, non-alcoholic fatty liver disease and aflatoxins intake are the major reasons and risk factors for the occurrence of HCC in both developed and developing countries [13, 14].
Starting from the beginning of this thousand years, another class of anticancer medications plays acquired a significant part in the therapy of solid and haematological tumours: the small-molecule kinase inhibitors (SMKIs) [15]. Protein kinases have arisen as the main class of focuses in oncology drug discovery on account of their significant jobs in controlling cell development and endurance. Therapy of these tumors with MET inhibitors brings an about dramatic response like massive apoptosis or proliferative block [16].
Cabozantinib (CBZ), an orally bioavailable small molecule [17], a tyrosine kinase inhibitor(TKI), [18] has been approved for the treatment of DTC, HCC, MTC and RCC [19]. CBZ’s molecular formula (C28H24FN3O5), mol. wt. 501.5 and IUPAC name is “1-N-[4-(6,7-dimethoxyquinolin-4-yl)oxyphenyl]-1-N'-(4-fluorophenyl) cyclopropane-1,1-dicarboxamide” (fig. 1) [20]. CBZ is a BCS class II drug, having high permeability with low solubility and a weak base with pH-dependent solubility profile. CBZ is practically insoluble at pH˃4 and in 0.01 N HCl, the solubility is 0.11 mg/ml (highest solubility at gastric pH). The dosing regimen for CBZ for MTC is 140 mg (capsules) administered orally OD, required no less than 1 h prior or 2 h after a food [21]. CBZ is available in the market as film coated tablets (Cabometyx, 60 mg) and capsules (Cometriq, 140 mg) formulations consisting of malate salt. Both the formulations differ in the rate of absorption and hence are not bioequivalent [22]. The most frequent adverse events (AEs) are fatigue, diarrhoea, hand‐foot syndrome, hypertension, nausea, weight loss, and stomatitis [23].

Fig. 1: Chemical structure of CBZ
For literature review, bentham, wiley, nature, springer, taylor and francis, oxford, hindawi databases were searched. Other than this, related articles were also searched in google. The keywords used were “Cabozantinib”, “determination of cabozantinib”, “analysis of cabozantinib”, “mechanism of action of cabozantinib”, and “green analytical methods”.
Mechanism of action
A tumor can be defined as “A tumor (also called neoplasm) is an abnormal mass of cells in the body caused by cells dividing more than normal or not dying when they should” [24]. The tumor microenvironment is heterogeneous population of cells that respond to biological stimuli contributing to tumor growth. This dysregulated signalling of the cells can lead to abnormal cell growth and survival. Preclinical studies have shown that the dysregulated signalling of tyrosine receptor kinase (RTKs) such as AXL, MET and VEGFR play role in tumor cell proliferation, angiogenesis, and metastasis [25].
Receptor tyrosine kinases (RTKs) are known to be involved in both normal cellular function and pathological processes. Signalling of some RTKs such as MET, AXL and VEGFR also marginally modify the tumor response, which involves the activity of several immune cells, including dendritic cells, effector T cells and immunosuppressive cells e. g. regulatory T cells (Treg), Myeloid-derived suppressor cells (MDSC) and M2 tumor-associated macrophage [26].
The anti-tumor response may begin with dendritic cells capturing tumor-associated antigens and presenting them to T cells, which leads to T cell activation and proliferation. Activated T cells can infiltrate the tumor and promote T cell mediated killing of cancer cells. Inhibitory checkpoint proteins such as PD-1 and PD-L1, helps keeping immune system in check by preventing T cell activation; however, the tumor cells can exploit this mechanism by upregulated the checkpoints to invade immune detection [16]. In advanced renal cell carcinoma, the dysregulated signalling of MET, VEGFR and AXL can affect the entire tumor response in several ways including increase in immunosuppressive cells, decreasing antigen presentation, reducing cytotoxic T cells and T cells activation and reducing tumor recognition with an increase in PD1 and PD-L1 expression. The dysregulation of signalling of checkpoints together with MET, AXT and VEGFR, among other RTKs may help to hinder entire tumor immune response and contribute to tumour growth [27].
CBZ, a tyrosine kinase inhibitor that inhibits MET, AXL and VEGFR among other RTKs–“RET, ROS1, TYRO3, MER, KIT, TRKB, FLT-3, and TIE-2” [28, 29]. The molecular docking studies published regarding interaction of CBZ with TAM kinases [30] is presented under fig. 2. This will further block the angiogenesis and cell proliferation of tumor and may also effect the microenvironment by reducing levels of immunosuppressive cells and by promoting its recognition by reducing immune checkpoints, increasing antigen presentation and increase in cytotoxic presentation and normalizing the vasculature to promote immune cell infiltration [31, 32].
CBZ, after oral administration, exhibits rapid absorption (Cmax is achieved 3-5h post single oral dose) owing to its high permeability (BCS class II) [33, 34]. It exhibits long terminal t 1/2 (~ 120h) with high plasma protein binding (˃99.7%). It endures wide distribution in various body tissues and has substantial metabolism as it is a substrate of Cytochrome P450, hence is vulnerable to drug-drug interaction [22, 35, 36]. Animal study suggests hepatobiliary excretion as a prime mode of elimination [36, 37]. In patients receiving CBZ diarrhea is the most usual adverse effect [33].

Fig. 2: Interaction of CBZ with TAM kinase receptors
Synthesis
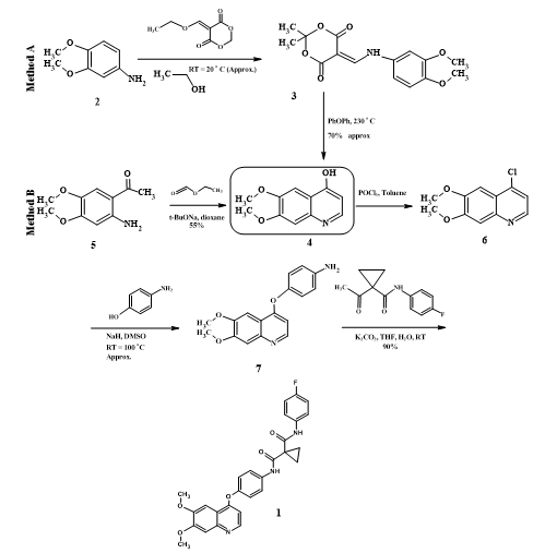
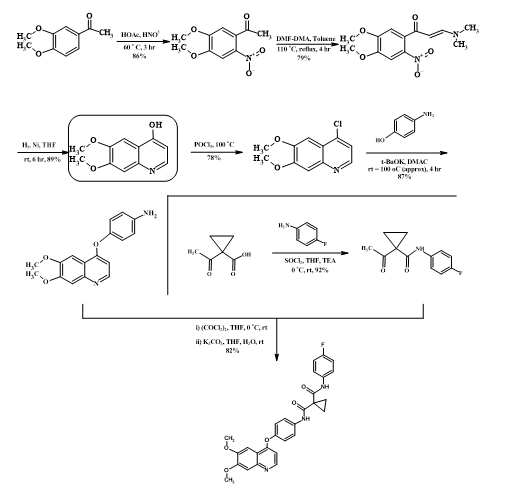
There are published reports [38, 39] and patents [40-45] regarding the synthesis of CBZ (fig. 3). The key intermediate 6,7-dimethoxyquinolin-4-ol (4) (also highlighted in box), for the preparation of drug, can be synthesized by two different methods (as shown in Scheme 1, as Method A and Method B). In the method published by Fang et al. [39], a better alternative method for the preparation of key intermediate was proposed (Scheme 2) due to high reaction temperature requirement and the disadvantages of the Dowtherm A, such as high boiling point, difficulty in recovery and possible allergic reactions to workers, in previously published methods. In their method, the key intermediate (4) (also highlighted in box) was prepared from “1-(4,5-dimethoxy-2-nitrophenyl)-3-(dimethyl amino) prop-2-en-1-one” by reduced cyclization process (Scheme 2). The overall yield of the drug obtained after synthesis was 82%, as claimed by authors. There are few more methods for preparation reported with low yield of either key intermediate [40, 41] or the pure drug [42, 43]. The conversion of CBZ into salts (HCl and maleate) form is reported in the patents of MSN laboratories [44] and Natco pharma [45].
Analytical methods
Spectrophotometry
Spectrophotometry can be an expansion of any of the prior kinds of spectroscopy. A term alludes to the quantitative examination of spectra to compare the relative absorption or emission of light’s different wavelengths [46]. Fluorescence occurs in simple as well as in liquid, complex gaseous, and chemical systems (solids). While fluorescence can be seen from all molecules with an “excitation beam in adequate intensity” just a little piece of particles exhibits fluorescence qualities which are attractive for scientific purposes. In this manner, fluorescence spectroscopy is less general than absorption procedures, even though it is more selective [47].
The micelle-enhanced spectrofluorimetric method of CBZ for determination in spiked human plasma and dosage form without any derivatization developed by Darwish et al. [48]. The wavelength selected was λem at 430 nm and λex at 275 nm. The LOD value was 13.34 ng/ml is lower than many of the published chromatographic methods. The method is based on the principle in the presence of Polyoxyl 40 hydrogenated castor oil (Cr RH 40), the native fluorescence of the drug in an aqueous solution increases to approximately nine folds. The NMR and IR spectrum are shown under fig. 5 and 6, respectively.

Fig. 3: Scheme of synthesis of CBZ (Scheme I)

Fig. 4: Scheme for synthesis of CBZ (Scheme II)

Fig. 5: NMR spectrum of CBZ

Fig. 6: IR spectrum of CBZ
Chromatography
With the advancement in separation science, chromatography methods along with modern detectors are widely used for the analysis of simple to complex matrices because of more selectivity and sensitivity [49, 50]. The summary of chromatography methods is provided under table 1.
Table 1: Summary of chromatography methods
| Method | Column | Detector | Mobile phase | Elution | Linear range | LOD | LOQ | Applications | References |
| LC | C18 (4.6 mm × 250 mm, 5 µm), 40 ᵒC, | TOF-MS | ACN: CH3COONH4 buffer (20 mmol), 57:43 (v/v) at 1.0 ml/min | Isocratic | 0.05-60 µg ml1 | 0.01 µg ml1 | 0.05 µg ml1 | Forced degradation and degradation kinetics | [51] |
| MS/MS | |||||||||
| UPLC | C18 (2.1 mm × 100 mm, 1.7 µm | MS/MS | ACN and water (+0.1% formic acid) | Gradient | 5–5000 ng/ml | - | - | Pharmacokinetics and tissue distribution in rat | [52] |
| LC | C18 column (50 × 2 mm, 5 µm) | MS/MS | ACN-H2O (45:55, v/v), 5 mmol NH4HCO2 buffer (pH adjusted to 5), 0.4 ml/min | Isocratic | 0.5–1000 ng/ml | - | 0.5 ng/ml | Rat plasma | [53] |
| LC | - | MS/MS | - | - | 0.5-400 ng/ml | - | 0.5–1 ng/ml | Pharmacokinetic drug interaction studies | [54] |
| LC | - | MS | - | - | 0.5-400 ng/ml | - | 0.5 ng/ml | Effect of gastric pH and food on pharmacokinetics | [55] |
| LC | C18 (50 mm × 2.0 mm i.d., 3.0 µm) | MS | ACN: 0.01 M NH4HCO2 buffer (pH 4.1), 50:50, 0.3 ml. min-1 | Isocratic | 1.0-100 ng ml1 | 0.29 ng ml1 | 0.91 ng ml1 | Simultaneous estimation with tofacitinib and afatinib in human plasma and urine | [56] |
| LC | 50 mm × 2.0 mm i.d., 3.0 µm | MS/MS | ACN: 0.01 M NH4HCO2 buffer (pH 4.1), 50:50, 0.3 ml. min-1 | Isocratic | 2.5-100 ng ml-1 | 0.32 ng ml1 | 0.97 ng ml1 | Simultaneous determination with other five tyrosine kinase inhibitors in human plasma | [57] |
| UPLC | C18 (100 mm × 2.1 mm, 1.7 µ) | UV, 244 nm | 0.1% H3PO4 and ACN (55:45%v/v), column temp. 30 °C 0.3 ml/min. |
Isocratic | 20–120 µg/ml | 0.15 µg/ml | 0.17 µg/ml | Stability-indicating method | [58] |
| LC | C18 column (2.1×150 mm, 3 µm) | MS-MS | ACN: 10 mmol CH3COONH4 (+0.1% HCOOH) (78:22, v/v), 0.3 ml/min | Isocratic | 0.500-5000 ng/ml | - | 0.5 µg/ml | simultaneous determination with cabozantinib N-oxide (metabolite) | [59] |
| LC | C18, 50 × 4.6 mm, 5 µm | MS-MS | 10 mmol CH3COONH4:Methanol, 20:80 v/v, 0.7 ml/min | Isocratic | 5.0-5000 pg/ml | 50 pg/10 μl | 5 pg/ml | Human plasma | [60] |
| LC | C18 150 × 4.6 mm, 5µ | UV, 210 nm | KH2PO4 Buffer and ACN (55:45% v/v), 1.0 ml/min | Isocratic | 5-30 μg/ml | 0.03 µg/ml | 0.10 µg/ml | API and dosage forms | [61] |
| LC | C18 column (150×4.6 mm, 3.5µ) | UV, 219 nm | 0.1% TEA: ACN, (70:30), 1 ml/min | Isocratic | 1-20µg/ml | 0.1 µg/ml | 1 µg/ml | Rat plasma | [62] |
| UPLC | C18 Column (2.1 × 50 mm, 1.6 µm) | MS-MS | A: 0.1% HCOOH in water, B: 0.1% HCOOH in ACN | Gradient | 6-1,000 µg/l | - | 99.9 µg/l | Simultaneous determination-cobimetinib, cabozantinib, dabrafenib, niraparib, olaparib, vemurafenib, regorafenib and its metabolite regorafenib M2 | [63] |
| MLC | C18 100 A˚ | Fluorescence (Ex: 245–295, Em; 342–483 nm | ACN, CTAB (0.2 mol. L-1), and tris buffer (pH 8.5), 40:50:10 (v/v) ratio. | Isocratic | 20 to 700 ng. ml1 | 2.11 ng. ml1 | 20 ng. ml1 | CBZ and main metabolites | [64] |
| HPLC | C18, 4.6 × 250 mm, 5 µm | UV, 244 nm | MeOH: phosphate buffer (pH. 3.00), (55:45 % v/v), flow rate, 0.8 ml/min | Isocratic | 10 60 µg/ml | 0.2085 µg/ml | 0.6321 µg/ml | API and dosage form | [65] |
| RP-HPTLC | RP-18 silica gel 60 F254S plates | 247 nm | acetone/water 85:15, vv−1 | - | 10–1000 ng band−1 | 3.42±0.10 ng band−1 | 10.26±0.30 ng band−1 | tablets and capsules | [66] |
| NP-HPTLC | NP-18 silica gel 60 F254S plates | 247 nm | Ethyl acetate/ethanol, 97.5:2.5, v v−1 | - | 50–600 ng band−1 | 17.01±0.26 ng band−1 | 51.03±0.78 ng band−1 | ||
| LC | 150×4.6 mm, 3.5 µm | UV, 222 nm | 0.1% TEA: ACN (70:30), 1 ml/min | Isocratic | 6-90 µg/ml | 0.075µg/ml | 0.248µg/ml | Simultaneous determination with Nivolumab | [67] |
| LC | C18, 150×4.6 mm, 3.5 μ | UV, 216 nm | 0.1 % H3PO4: ACN | Gradient | 20 to 300 μg/ml | 0.2 µg/ml | 2 µg/ml | Assay, related substances and dissolution studies | [68] |
| LC | 2.1 mm × 100 mm, 3.5 µ | MS-MS | 0.2% HCOOH: ACN (40:60 v/v), 0.12 ml/min | Isocratic | 5 ng/ml to 75 ng/ml | 1.5 ng/ml | 5 ng/ml | Dosage form | [69] |
The development of a suitable analytical method is one of the critical steps in drug development [70-74]. The CBZ is no exception, and following discussion is regarding the different analytical methods available for its determination in different matrices.
Stability indicating methods
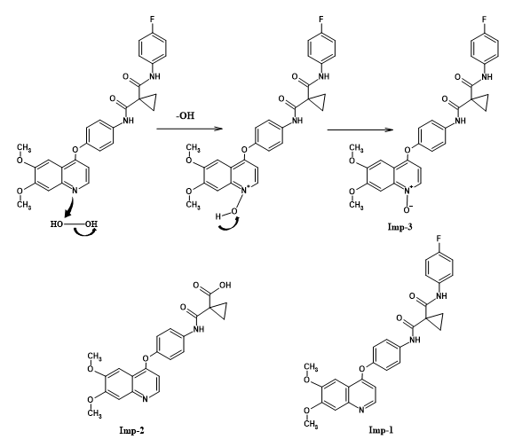
The LC/TOF-MS and LC–MS/MS methods were the initial developed methods with an aim to examine the degradation kinetics of CBZ [51]. Oxidation and hydrolysis are the primary degradation pathways, as reported by researchers. The scheme of formation of oxidative degradation product (Imp-3) and hydrolysis products of acidic and alkaline stress conditions (Imp-1 and Imp-2) are shown in fig. 7. Forced degradation under extreme conditions was also utilized for the separation of potential degradants. The approach was used in the stability indicating method reported by Gojra et al. [58]. The retention time was just 1.3 min, but the structure of degradants was not reported.
UPLC methods
UPLC strategies are utilized over the HPLC techniques, as they give influence of time, endeavours, and saving resources [70]. Two methods based on UPLC gradient elution available. The first method by Wang et al. [52] is based on gradient elution in which ACN (95%) maintained for 0.5 min and kept up with at 20% for 0.4 min with 3 min total run time. Another method [63] is for the simultaneous determination of other six anticancer drugs with run time of 7 min. The gradient elution was performed using 0.1% HCOOH in water plus 0.1% HCOOH in ACN. The method, however, utilized more solvents but additional advantageous, particularly for those pharmaceutical companies producing more than one anticancer drug. Another stability-indicating method [58] based on isocratic elution UPLC method is also reported.

Fig. 7: The degradation products and impurities of CBZ
Pharmacokinetic studies
The pharmacokinetic and tissue distribution study of CBZ is published by Wang X et al. [52] compared four different dosages of the drug i.e., s (iv 5, 10 mg/kg and intragastric (ig) 15, 30 mg/kg) in four groups rats. They reported the elimination half-life (t1/2) more than 10 h., possibly due to decrease in metabolic activity with the an increase in dosage and tissue distribution observed was liver>lung>kidney>spleen>heart. Another LC-MS/MS method aimed for pharmacokinetic study in in Sprague-Dawley rats, developed by Su Q et al. [53], using a single dose (0.5 mg/kg) of oral administration. The pharmacokinetics of CBZ was described by a two-compartment model with zero-order absorption.
The pharmacokinetic drug-drug interactions with rifampin and ketoconazole in healthy volunteers and rosiglitazone in patient with solid tumors were published by Nguyen et al. [54]. The plasma and urine samples were evaluated using LC-MS/MS method. The researchers reported an increased and decreased metabolism of CBZ with concomitant usage of rifampin and ketoconazole, respectively. There is no significant effect of steady-state concentration of CBZ on rosiglitazone metabolism.
The effect of food and pH on the bioavailability of CBZ was evaluated by Nguyen and co-researchers [55]. The plasma drug concentration was evaluated using LC-MS/MS method. The researchers concluded to avoid CBZ intake with food (to be taken on an empty stomach) and there is low risk of interaction with proton pump inhibitor esomeprazole. The primary oxidative (nonconjugated) metabolite is cabozantinib N-oxide is carcinogenic and mutagenic. The simultaneous method with the parent molecule was developed by Ren et al. [59], for the pharmacokinetic study in rats at different dosages.
Determination in marketed formulations
There are seven different methods [61, 65-69] with different applications like determination in API and/or dosage forms [61, 65-69], related substance [68], dissolution studies [68] or in combinations. The recently developed LC-MS/MS method [69] with LOD and LOQ of 1.5 ng/ml and 5 ng/ml, respectively, is the most sensitive method in this segment.
Green analytical method
Green analytical method energizes diminishing the utilization of harmful synthetics/reagents, utilizing energy-proficient equipment, and creating negligible waste. The new patterns in analytical strategy advancement center around the scaling down of the example readiness gadgets, the improvement of solventless or dissolvable limited extraction methods, and the use of less harmful solvents [75, 76]. In the analytical method development of CBZ, the research published by Alam et al. [66] is the only direct attempt. In the RP-HPTLC method, green acetone/water (85:15, vv−1) was used as mobile phase. For NP-HPLTC method, green ethyl acetate/ethanol (97.5:2.5, vv−1) was utilized as the mobile phase.
The UPLC methods utilizes short column with low porosities and high pressure from pump allowed only minute volume of mobile phase passing through the line at a time. This not only minimizes the separation time but also reducing mobile phase volume which is mainly consisting of toxic or corrosive solvents. Thus, these methods also indirectly contribute to the green analytical chemistry approach.
Globally, the burden of cancer is substantial and growing. The ineffectiveness of drugs due to resistance is believed to be reason for the deaths up to 90% for cancer patients. The CBZ is one of the additions for therapy with potential antineoplastic activity. The advancement in the field of knowledge of targeted therapeutics for cancer treatment with drug development strategies may be one of the challenges for research scientists. The presented review is an attempt to support them in recent developments about CBZ. Currently, there is only one spectrophotometry method is available, which explores the opportunity to analytical scientists to develop the sensitive and simple method. There are many chromatography methods available, and a summary is presented under table 1. The incorporation of green analytical method concept is also one of the requirements to develop cost-effective, environmentally friendly analytical methods.
Authors acknowledge the financial support of Acropolis Institute for providing financial support. KIET group of institutions providing facilities. We are also thankful to Slayback pharma, Hyderabad for providing gift sample of the drug.
All the authors have contributed equally.
Declared none
Herbrink M, Nuijen B, Schellens JH, Beijnen JH. Variability in bioavailability of small molecular tyrosine kinase inhibitors. Cancer Treat Rev. 2015;41(5):412-22. doi: 10.1016/j.ctrv.2015.03.005. PMID 25818541.
Cancer. World Health Organization; 2022. Available from: https://www.who.int/news-room/fact-sheets/detail/cancer#:~:text=The%20problem-,Cancer%20is%20a%20leading%20cause%20of%20death%20worldwide%2C%20accounting%20for,lung%20(2.21%20million%20cases)%3B. [Last accessed on 09 Sep 2022]
Hausman DM. What is cancer? Perspect Biol Med. 2019;62(4):778-84. doi: 10.1353/pbm.2019.0046, PMID 31761807.
Roy PS, Saikia BJ. Cancer and cure: A critical analysis. Indian J Cancer. 2016 Jul-Sep;53(3):441-2. doi: 10.4103/0019-509X.200658, PMID 28244479.
National Cancer Institute at the National Institutes of Health; 2020. Available from: https://www.cancer.gov/about-cancer/understanding. [Last accessed on 27 Jun 2022]
Bray F, Ferlay J, Soerjomataram I, Siegel RL, Torre LA, Jemal A. Global cancer statistics 2018: GLOBOCAN estimates of incidence and mortality worldwide for 36 cancers in 185 countries. CA Cancer J Clin. 2018;68(6):394-424. doi: 10.3322/caac.21492, PMID 30207593.
Maxwell JE, Sherman SK, O’Dorisio TM, Howe JR. Medical management of metastatic medullary thyroid cancer. Cancer. 2014;120(21):3287-301. doi: 10.1002/cncr.28858, PMID 24942936.
Priya SR, Dravid CS, Digumarti R, Dandekar M. Targeted therapy for medullary thyroid cancer: a review. Front Oncol. 2017;7:238. doi: 10.3389/fonc.2017.00238, PMID 29057215.
Hsieh JJ, Purdue MP, Signoretti S, Swanton C, Albiges L, Schmidinger M. Renal cell carcinoma. Nat Rev Dis Primers. 2017;3:17009. doi: 10.1038/nrdp.2017.9, PMID 28276433.
Elisei R, Schlumberger MJ, Muller SP, Schoffski P, Brose MS, Shah MH. Cabozantinib in progressive medullary thyroid cancer. J Clin Oncol. 2013;31(29):3639-46. doi: 10.1200/JCO.2012.48.4659, PMID 24002501.
Schlumberger M, Elisei R, Muller S, Schoffski P, Brose M, Shah M. Overall survival analysis of EXAM, a phase III trial of cabozantinib in patients with radiographically progressive medullary thyroid carcinoma. Ann Oncol. 2017;28(11):2813-9. doi: 10.1093/annonc/mdx479, PMID 29045520.
Villanueva A. Hepatocellular carcinoma. N Engl J Med. 2019;380(15):1450-62. doi: 10.1056/NEJMra1713263, PMID 30970190.
Veerman GDM, Hussaarts KGAM, Jansman FGA, Koolen SWL, van Leeuwen RWF, Mathijssen RHJ. Clinical implications of food-drug interactions with small-molecule kinase inhibitors. Lancet Oncol. 2020;21(5):e265-79. doi: 10.1016/S1470-2045(20)30069-3, PMID 32359502.
Dimitroulis D, Damaskos C, Valsami S, Davakis S, Garmpis N, Spartalis E. From diagnosis to treatment of hepatocellular carcinoma: an epidemic problem for both developed and developing world. World J Gastroenterol. 2017 Aug 7;23(29):5282-94. doi: 10.3748/wjg.v23.i29.5282. PMID 28839428.
Forner A, Reig M, Bruix J. Hepatocellular carcinoma. Lancet. 2018 Mar 31;391(10127):1301-14. doi: 10.1016/S0140-6736(18)30010-2, PMID 29307467.
Chahrour O, Cairns D, Omran Z. Small molecule kinase inhibitors as anti-cancer therapeutics. Mini Rev Med Chem. 2012;12(5):399-411. doi: 10.2174/138955712800493915, PMID 22303944.
Yakes FM, Chen J, Tan J, Yamaguchi K, Shi Y, Yu P. Cabozantinib (XL184), a novel MET and VEGFR2 inhibitor, simultaneously suppresses metastasis, angiogenesis, and tumor growth. Mol Cancer Ther. 2011;10(12):2298-308. doi: 10.1158/1535-7163.MCT-11-0264. PMID 21926191.
Liu H, Sun S, Wang G, Lu M, Zhang X, Wei X. Tyrosine kinase inhibitor cabozantinib inhibits murine renal cancer by activating innate and adaptive immunity. Front Oncol. 2021;11:663517. doi: 10.3389/fonc.2021.663517, PMID 33954115.
Cabozantinib-S-malate. National Cancer Institute. Available from: https://www.cancer.gov/about-cancer/treatment/drugs/cabozantinib-s-malate. [Last accessed on 09 Sep 2022]
PubChem. PubChem Compound Summary for CID 25102847, Cabozantinib. Bethesda: National Library of Medicine (US). National Center for Biotechnology Information; 2004. Available from: https://pubchem.ncbi.nlm.nih.gov/compound/Cabozantinib. [Last accessed on 17 Sep 2022]
Food and Drug Administration. CDER clinical pharmacology and biophamaceutics reviews[s] for cabozantinib [COMETRIQ]; 2012. Available from: http://www.accessdata.fda.gov/drugsatfda_docs/nda/2012/203756Orig1s000ClinPharmR.pdf. [Last accessed on 17 Sep 2022]
Lacy SA, Miles DR, Nguyen LT. Clinical pharmacokinetics and pharmacodynamics of cabozantinib. Clin Pharmacokinet. 2017;56(5):477-91. doi: 10.1007/s40262-016-0461-9, PMID 27734291.
Schmidinger M, Danesi R. Management of adverse events associated with cabozantinib therapy in renal cell carcinoma. Oncologist. 2018;23(3):306-15. doi: 10.1634/theoncologist.2017-0335, PMID 29146618.
Patel A. Benign vs malignant tumors. JAMA Oncol. 2020;6(9):1488. doi: 10.1001/jamaoncol.2020.2592, PMID 32729930.
Bhullar KS, Lagaron NO, McGowan EM, Parmar I, Jha A, Hubbard BP. Kinase-targeted cancer therapies: progress, challenges and future directions. Mol Cancer. 2018;17(1):48. doi: 10.1186/s12943-018-0804-2, PMID 29455673.
Roskoski R Jr. Properties of FDA-approved small molecule protein kinase inhibitors: A 2022 update. Pharmacol Res. 2022;175:106037. doi: 10.1016/j.phrs.2021.106037. PMID 34921994.
Damghani T, Moosavi F, Khoshneviszadeh M, Mortazavi M, Pirhadi S, Kayani Z. Imidazopyridine hydrazone derivatives exert an antiproliferative effect on lung and pancreatic cancer cells and potentially inhibit receptor tyrosine kinases including c-Met. Sci Rep. 2021;11(1):3644. doi: 10.1038/s41598-021-83069-4, PMID 33574356.
Roskoski R. Classification of small molecule protein kinase inhibitors based upon the structures of their drug-enzyme complexes. Pharmacol Res. 2016;103:26-48. doi: 10.1016/j.phrs.2015.10.021. PMID 26529477.
Hara T, Kimura A, Miyazaki T, Tanaka H, Morimoto M, Nakai K. Cabozantinib inhibits AXL- and MET-dependent cancer cell migration induced by growth-arrest-specific 6 and hepatocyte growth factor. Biochem Biophys Rep. 2020;21:100726. doi: 10.1016/j.bbrep.2020.100726. PMID 32055714.
Naresh GKRS, Guruprasad L. Enhanced metastable state models of TAM kinase binding to cabozantinib explains the dynamic nature of receptor tyrosine kinases. J Biomol Struct Dyn. 2021;39(4):1213-35. doi: 10.1080/07391102.2020.1730968, PMID 32070235.
Grullich C. Cabozantinib: a MET, RET, and VEGFR2 tyrosine kinase inhibitor. Recent Results Cancer Res. 2014;201:207-14. doi: 10.1007/978-3-642-54490-3_12, PMID 24756794.
Wiechno P, Kucharz J, Sadowska M, Michalski W, Sikora Kupis B, Jonska-Gmyrek J. Contemporary treatment of metastatic renal cell carcinoma. Med Oncol. 2018;35(12):156. doi: 10.1007/s12032-018-1217-1, PMID 30368624.
Lacy S, Yang B, Nielsen J, Miles D, Nguyen L, Hutmacher M. A population pharmacokinetic model of cabozantinib in healthy volunteers and patients with various cancer types. Cancer Chemother Pharmacol. 2018;81(6):1071-82. doi: 10.1007/s00280-018-3581-0. PMID 29687244.
Benzaghou F, Nguyen TXQ, Lacy S. Pharmacokinetics of cabozantinib in Asian and non-Asian populations. Ann Oncol. 2018;29Suppl 9:ix74. doi: 10.1093/annonc/mdy435.
Gerner B, Scherf Clavel O. Physiologically based pharmacokinetic modelling of cabozantinib to simulate enterohepatic recirculation, drug-drug interaction with rifampin and liver impairment. Pharmaceutics. 2021;13(6):778. doi: 10.3390/pharmaceutics13060778, PMID 34067429.
Cerbone L, Combarel D, Geraud A, Auclin E, Foulon S, Alves Costa Silva C. Association of cabozantinib pharmacokinetics, progression and toxicity in metastatic renal cell carcinoma patients: results from a pharmacokinetics/pharmacodynamics study. ESMO Open. 2021;6(6):100312. doi: 10.1016/j.esmoop.2021.100312. PMID 34864351.
European Medicines Agency. Assessment report-CHMP assessment report on Cabometyx. Proced no EMEA/H/C/004163/0000. Energy Market Authority of Singapore/664123(September):1–199; 2016.
Ding HX, Leverett CA, Kyne RE Jr, Liu KK, Sakya SM, Flick AC. Synthetic approaches to the 2012 new drugs. Bioorg Med Chem. 2014;22(7):2005-32. doi: 10.1016/j.bmc.2014.02.017, PMID 24629448. bmc.2014.02.017.
Fang R, Wang B, Zhao Z, Yin L, Wang H, Xu J. A new synthesis of cabozantinib. Org Prep Proced Int. 2019;51(4):381-7. doi: 10.1080/00304948.2019.1615362.
Boyer S, Cantin D, Sidney X. Pyridonecarboxamide derivatives useful in treating hyperproliferative and angiogenesis disorders. WO2008/048375A1, Publication date; 2008.
Di Pietro LV, Harmange J, Daniel BC, Germain EJ, Habgood GJ, Kim JL. Heterocyclic compounds and methods of use. US 7,531,553 B2. Date of patent; 2009.
Ann WJ, Sriram N, Matthew P, Neil A. Process of preparing quinoline derivatives. WO2013/059788A1; 2013.
Aftab DT. A dual Met-Vfgf modulator for treating osteolytic bone metastases. WO2013/166296A1; 2013.
Srinivasan TR, Sajja E, Gogulapati VPR, Sagyam RR, Gandham SKB, Rajesham B. The process for the preparation of N-(4-(6,7-Dimethoxyquinolin-4-Yloxy)Phenyl)-N′′-(4-Fluorophenyl)Cyclopropane-1,1-Dicarboxamide, (2S)-Hydroxybutanedioate and its polymorphs thereof. Pet Care Trust/IN2017/000139; 2017. Available from: https://patentscope.wipo.int/search/en/detail.jsf?docId=WO2018104954. [Last accessed on 11 Sep 2022]
Kompella A, Gampa VK, Annadasu A, Ganganamoni S, Konakanchi DP, Muddasani PR. An improved process for the preparation of cabozantinib and its pharmaceutically acceptable salts thereof. Pet Care Trust/IN2019/050432; 2019. Available from: https://patentscope.wipo.int/search/en/detail.jsf?docId=WO2019234761. [Last accessed on 11 Sep 2022]
Eyring MB. Spectroscopy in forensic science. Encyclopedia of physical science and technology. 3rd ed Meyers RA, editor. Academic Press; 2003. p. 637-43. doi: 10.1016/B0-12-227410-5/00957-1.
Ozturk B, Ankan A, Ozdemir D. Olive oil adulteration with sunflower and corn oil using molecular fluorescence spectroscopy. Olives and olive oil in health and disease prevention Preedy VR, Watson RR, editors. Academic Press; 2010 p. 451-61. doi: 10.1016/B978-0-12-374420-3.00050-4.
Darwish HW, Abdelhameed AS, Bakheit AH, Alanazi AM. A new method to determine the new C-Met inhibitor ”cabozantinib” in dosage form and human plasma via micelle-enhanced spectrofluorimetry. RSC Adv. 2015;5(51):40484-90. doi: 10.1039/C5RA04109K.
Coskun O. Separation techniques: chromatography. North Clin Istanb. 2016;3(2):156-60. doi: 10.14744/nci.2016.32757, PMID 28058406.
Shrivastava A, Mittal A. A mini-review on characteristics and analytical methods of otilonium bromide. Crit Rev Anal Chem. 2022;52(7):1717-25. doi: 10.1080/10408347.2021.1913983, PMID 34039224.
Wu C, Xu X, Feng C, Shi Y, Liu W, Zhu X. Degradation kinetics study of cabozantinib by a novel stability-indicating LC method and identification of its major degradation products by LC/TOF-MS and LC-MS/MS. J Pharm Biomed Anal. 2014;98:356-63. doi: 10.1016/j.jpba.2014.06.008. PMID 24992215.
Wang X, Wang S, Lin F, Zhang Q, Chen H, Wang X. Pharmacokinetics and tissue distribution model of cabozantinib in rat determined by UPLC-MS/MS. J Chromatogr B Analyt Technol Biomed Life Sci. 2015;983-984:125-31. doi: 10.1016/j.jchromb.2015.01.020. PMID 25638029.
Su Q, Li J, Ji X, Li J, Zhou T, Lu W. An LC-MS/MS method for the quantitation of cabozantinib in rat plasma: application to a pharmacokinetic study. J Chromatogr B Analyt Technol Biomed Life Sci. 2015;985:119-23. doi: 10.1016/j.jchromb.2015.01.024. PMID 25678398.
Nguyen L, Holland J, Miles D, Engel C, Benrimoh N, O’Reilly T. Pharmacokinetic (PK) drug interaction studies of cabozantinib: effect of CYP3A inducer rifampin and inhibitor ketoconazole on cabozantinib plasma PK and effect of cabozantinib on CYP2C8 probe substrate rosiglitazone plasma PK. J Clin Pharmacol. 2015;55(9):1012-23. doi: 10.1002/jcph.510, PMID 25854986.
Nguyen L, Holland J, Mamelok R, Laberge MK, Grenier J, Swearingen D. Evaluation of the effect of food and gastric pH on the single-dose pharmacokinetics of cabozantinib in healthy adult subjects. J Clin Pharmacol. 2015;55(11):1293-302. doi: 10.1002/jcph.526, PMID 25907407.
Kadi AA, Abdelhameed AS, Darwish HW, Attwa MW, Bakheit AH. Liquid chromatographic-tandem mass spectrometric assay for simultaneous quantitation of tofacitinib, cabozantinib and afatinib in human plasma and urine. Trop J Pharm Res. 2016;15(12):2683-92. doi: 10.4314/tjpr.v15i12.21.
Abdelhameed AS, Attwa MW, Kadi AA. An LC-MS/MS method for rapid and sensitive high-throughput simultaneous determination of various protein kinase inhibitors in human plasma. Biomed Chromatogr. 2017 Feb;31(2). doi: 10.1002/bmc.3793, PMID 27450926.
Ashok G, Mondal S. Stability-indicating method development and validation for the estimation of cabozantinib in pharmaceutical dosage forms by ultra-performance liquid chromatography. Asian J Pharm Clin Res. 2018;11(10):238-41. doi: 10.22159/ajpcr.2018.v11i10.27409.
Ren LJ, Wu HJ, Sun LH, Xu X, Mo LY, Zhang L. A sensitive LC-MS/MS method for simultaneous determination of cabozantinib and its metabolite cabozantinib N-oxide in rat plasma and its application in a pharmacokinetic study. Biomed Chromatogr. 2018;32(7):e4227. doi: 10.1002/bmc.4227, PMID 29500905.
Inturi S, Avula PR. A sensitive bioanalytical method development and validation of cabozantinib in human plasma by LC-ESI-MS/MS. Braz J Pharm Sci. 2018;54(2):e17163. doi: 10.1590/s2175-97902018000217163.
Kuna AK, Seru G, Radha GV. A novel RP-HPLC method for the quantification of cabozantinib in active pharmaceutical ingredients and pharmaceutical dosage forms. Int J Pharm Sci Res. 2019;10(8):3963-9. doi: 10.13040/IJPSR.0975-8232.10(8).3963-9.
Pravallika KE, Avula PR. Method development and validation for simultaneous estimation of cabozantinib and nivolumab in rat plasma by HPLC. Int J Pharm Sci Rev Res. 2020;61(2):8-12.
Krens SD, van der Meulen E, Jansman FGA, Burger DM, van Erp NP. Quantification of cobimetinib, cabozantinib, dabrafenib, niraparib, olaparib, vemurafenib, regorafenib and its metabolite regorafenib M2 in human plasma by UPLC-MS/MS. Biomed Chromatogr. 2020;34(3):e4758. doi: 10.1002/bmc.4758, PMID 31758580.
Qi X, Zhang S, Yu M, Khan S. Concurrent detection of cabozantinib as an anticancer agent and its major metabolites in human serum using fluorescence-coupled micellar liquid chromatography. Arab J Chem. 2021;14(7):103206. doi: 10.1016/j.arabjc.2021.103206.
Chaudhary AA, Shelke AV, Jadhav AG. Development and validation of RP-HPLC Method of cabozantinib in active pharmaceutical ingredient and pharmaceutical dosage form. J Pharm Res Int. 2021;33(11):81-90. doi: 10.9734/jpri/2021/v33i1131247.
Alam P, Salem Bekhit MM, Al-Joufi FA, Alqarni MH, Shakeel F. Quantitative analysis of cabozantinib in pharmaceutical dosage forms using green RP-HPTLC and green NP-HPTLC methods: A comparative evaluation. Sustain Chem Pharm. 2021;21:100413. doi: 10.1016/j.scp.2021.100413.
Satyadev TNVSS. A new selective separation method development and validation of cabozantinib and nivolumab using HPLC. J Pharm Sci Res. 2021;13(3):188-92.
Podili B, Seelam M, Kammela PR. A simple reversed phase high performance liquid chromatography method for the estimation of related substances, assay of cabozantinib and nivolumab and its application to dissolution studies. Indian J Pharm Sci. 2021;83(4):701-13. doi: 10.36468/pharmaceutical-sciences.821.
Venkateshwarlu P, Patel MM. Method development and validation of cabozantinib by LC-MS/MS. Pharmacia. 2022;69(2):407-13. doi: 10.3897/pharmacia.69.e82684.
Shriİvastava A. Characteristics and analytical methods of novel PDE5 inhibitor avanafil: an update. Hacettepe University Journal of the Faculty of Pharmacy Fac Pharm. 2022;134-47. doi: 10.52794/hujpharm.1017182.
Ivanovna KL, Sergeevich IO, Vladimirovna KO. Validation of the spectrofotometric method for the determination of quantitative composition of S-2,6-diagenoxic acid of 3-methyl-1,2,4-triazolyl- 5-thioacetate. Asian J Pharm Clin Res. 2018;11(9). doi: 10.22159/ajpcr.2018.v11i9.26684.
Bandla J, Ganapaty S. New stability-indicating ultra performance liquid chromatography method development and validation of lenvatinib mesylate in bulk drug and pharmaceutical dosage forms. Asian J Pharm Clin Res. 2018;11(9):140-3. doi: 10.22159/ajpcr.2018.v11i9.26766.
Mahajan NS, Deshmukh MFS, Farooqui M. Degradation kinetics of carvedilol pharmaceutical dosage forms (tablets) through stress degradation study. Int J Curr Pharm Sci. 2022;14(1):54-9. doi: 10.22159/ijcpr.2022v14i1.44112.
Choppella V, Badipati RBKS, Gonthina H, Chukka VK, Choppella V, K RB, Badipati S, Gonthina H, Chukka VK. Stability indicating method development and validation for simultaneous quantification of sorafenib and regorafenib drug subtances by using RP-UPLC. Int J Curr Pharm Sci. 2020;12(1):56-62. doi: 10.22159/ijcpr.2020v12i1.36832.
Beg S, Rahman M. Analytical quality by design for liquid chromatographic method development. Handbook of analytical quality by design Beg S, Hasnain MS, Rahman M, Almalki WH, editors. Academic Press; 2021. p. 87-97. doi: 10.1016/B978-0-12-820332-3.00010-8.
Sajid M, Płotka Wasylka J. Green analytical chemistry metrics: a review. Talanta. 2022;238:123046. doi: 10.1016/j.talanta.2021.123046. PMID 34801903.