
Department of Pharmaceutics, Seemanta Institute of Pharmaceutical Sciences, Jharpokharia, Mayurbhanj 757086, Odisha, India
Email: pranab_btpuri@yahoo.com
Received: 27 Sep 2022, Revised and Accepted: 05 Nov 2022
ABSTRACT
Objective: The objectives of the present work were to carry out thiol-modification (i.e., thiolation) of fenugreek polysaccharide (FP) and to assess the synthesized thiolated product (TFP) as a mucoadhesive excipient in the designing of mucoadhesive formulations (metronidazole gels and metronidazole buccal discs).
Methods: Extracted CG was thiol-modified via an esterification reaction by utilizing thioglycolic acid with an acidic milieu (using hydrochloric acid). Metronidazole mucoadhesive gels and buccal discs made of extracted FP and TFP (as mucoadhesive excipients) were prepared and evaluated to assess their biomucoadhesivity. Mucoadhesive gels containing 1%w/v metronidazole were prepared using both FP and TFP (1% w/v), separately. Mucoadhesive buccal discs containing metronidazole were prepared by the compression method, where FP and TFP (100 mg) were used as mucoadhesive excipients separately, along with 50 mg lactose and 25 mg PEG 4000.
Results: The yield of TFP was 53.46% and the content of the thiol group in TFP was found to be 5.18 mmol of thiol group/g of FP. FTIR analysis results indicated the thiolation of FP in the synthesized TFP. Both types of formulations (mucoadhesive gels and buccal discs) made of TFP exhibited excellent improved ex vivo biomucoadhesion and a sustained pattern of metronidazole release over a prolonged period.
Conclusion: The synthesized TFP can be used as improved mucoadhesive agent in the designing of biomucoadhesive systems for drug delivery.
Keywords: Mucoadhesive polymer, Plant polysaccharide, Fenugreek polysaccharide, Drug delivery, Buccal disc
© 2023 The Authors. Published by Innovare Academic Sciences Pvt Ltd. This is an open access article under the CC BY license (https://creativecommons.org/licenses/by/4.0/)
DOI: https://dx.doi.org/10.22159/ijap.2023v15i1.46459. Journal homepage: https://innovareacademics.in/journals/index.php/ijap
Plant-derived polysaccharides and their chemical derivatives have widely been employed in many industrial applications, including foods, pharmaceuticals, biomedicals, water purification, etc. [1-3]. The main causes of the gaining popularity of the use of plant polysaccharides in pharmaceutical applications include easy availability from plant resources, economic extraction methodologies, hydrophilicity, nontoxicity, and biodegradability [4, 5]. In addition, their diverse molecular structures and the availability of functional chemical moieties in their molecular structures facilitate chemical modifications or functionalization like cross-linking, carboxymethylation, esterification, sulfation, phosphorylation, thiolation, grafting, etc., in order to introduce or improve derived functional properties [6-9]. Amongst these chemical modifications, a thiolation is a well-recognized approach to polysaccharide modification that imparts improvement of mucoadhesion of polysaccharides [10, 11]. Thus, the above-mentioned chemical modifications can improve the applicability of different plant polysaccharides.
The term ‘Biomucoadhesion’ describes the adhesion of any system to the biological mucous membrane [10]. Mucoadhesive polymers are capable of prolonging contact as well as residence time when they are incorporated as mucoadhesive excipients in drug delivery systems [12]. On hydration, the mucoadhesive drug delivery system becomes adhesive and, therefore, can be utilized to release drugs over a prolonged period [12, 13]. In general, mucoadhesivity of the majority of polymers is associated with the formation of different kinds of non-covalent bonds like ionic interaction, hydrogen bonds, and Van der’s Wall, which are weak bonds in nature [14, 15]. Thus, these non-covalent bonds are not capable of providing high mucoadhesive contact and prolonging residence time [10, 11]. As a result, the drug delivery system is unable to adhere to the mucous membrane of the target site over a prolonged period.
To improve the mucoadhesivity of polymers, the chemical modification of polymers via the introduction of a thiol group (i.e., thiolation) has already been investigated and reported [16]. Thiol groups are capable of forming stronger covalent bonds (di-sulfide linkage) when they come in contact with glycoproteins of the mucus [17]. The formation of stronger covalent bonds in-between thiolated mucoadhesive polymers and mucus glycoproteins guarantees the improvement of biomucoadhesivity, and this facilitates the localization of drug delivery systems at target sites. In the last few years, different plant polysaccharides, such as tamarind seed polysaccharides [14], tamarind xyloglucan [18], moringa exudate gum [15], karaya gum [19], etc., have been chemically modified via thiolation to improve their biomucoadhesivity.
Fenugreek seed polysaccharide (FP) extracted from methi (Trigonella foenum-graecum L.; family-Leguminosae) seeds is a heterogenous polysaccharide with a β (1→4)–D mannan backbone and a D-galactose branch connected [α-(1→6)] at the C-6 position with galactose to mannose ratio of 1: 1 [20]. It has already been reported as a suspending agent [21], tablet-binder [22], disintegrating agent [23], gelling agent [24], sustained release agent [25, 26], and so on. Our research group already reported the usefulness of FP as a plant-derived mucoadhesive agent in the designing of various biomucoadhesive beads [25-27]. The molecular structure of FP contains-OH groups to side-chain and these-OH groups are capable of interacting with the mucosal glycoprotein contributing to its biomucoadhesivity. Amidation of FP has already been done to improve biomucoadhsivity and is reported [20]. In the current research, the introduction of thiol groups within the molecular structure of FP (i.e., thiolation of FP) was planned to improve biomucoadhesion of FP, which has not been reported till date. Therefore, the current research is novel of its kind. The current research attempted to synthesize thiolated FP (TFP) using thioglycolic acid and to evaluate the use of synthesized TFP as an improved biomucoadhesive excipient in two different kinds of drug delivery formulations—metronidazole biomucoadhesive gels and metronidazole biomucoadhesive buccal discs.
Materials
Metronidazole (obtained from B. S. Traders, India) was used as a model drug. FP was extracted from ripe and matured fenugreek seeds, which were collected from Baripadamarket in the month of March, 2019. Thioglycolic acid (99%), Carbopol 974P, Lactose, PEG 4000, L-cysteine, triethanolamine, Ellman’s reagent [DTNB; 5,5′-dithiobis (2-nitrobenzoic acid)] were procured from Hi-Media Laboratories Pvt. Ltd., India. All other reagents, chemicals and solvents used in this research were of analytical grade and commercially available.
Methods
Extraction of FP from fenugreek seeds
FP was extracted from ripe and matured fenugreek seeds. Hot water extraction method was used for the extraction of polysaccharide from fenugreek seeds [28, 29]. Fenugreek seeds (500 g) were soaked in demineralized water (4 L) overnight and boiled using a temperature-controlled electric water bath to prepare a slurry. After cooling, the cooled slurry was kept in a refrigerator for 12 h to settle out the undissolved materials. The cooled solution (at room temperature) was added to thrice the volume of acetone with continuous stirring. The precipitate was formed and the formed precipitate was repeatedly rinsed using acetone and dried at 45±2 °C in a tray drier for 24 h. The extracted material was ground by using a clean pestle mortar and was then passed through the sieve 80. The extracted FP was then stored in an air-tight desiccator for further experiment.
Preparation of TFP by esterification
Thiolation of extracted FP was carried out via esterification employing thioglycolic acid (HSCH2CO2H) and hydrochloric acid (HCl) [15, 30]. In distilled water (50 ml), FP (12 g) was dissolved to prepare an aqueous FP solution. To the prepared FP solution, 7.2 ml HSCH2CO2H and 4 ml of 7N HCl were added. Then, the mixture of 12 g FP, 7.2 ml HSCH2CO2H and 4 ml of 7N HCl was allowed for esterification at a temperature of 80 °C for 3 h. The above reaction mixture was cooled, and the cooled reaction mixture was poured into 1 L of acetone. A creamy-white precipitate of the thiolated product was washed thrice with acetone to eradicate unreacted HSCH2CO2H and then dried in a tray drier at a temperature of 50 °C.
Characterization of TFP
Determination of thiol group contents by Ellman’s method
The number of thiol group substitutions in TFP was determined by quantifying the thiol group amount in both extracted FP and synthesized TFP by Ellman’s method [14, 15]. In brief, a 0.1% w/v aqueous solution of TFP was prepared in 5 M phosphate buffer (pH 8) and the prepared solution was incubated with a 0.03% w/v solution of Ellman’s reagent (DTNB, in 5 M phosphate buffer, pH 8) at room temperature for 2 h, followed by measurement of the absorbance of the reaction mixture at 450 nm. The thiol group substitution in the synthesized TFP was determined by measuring the absorbance of the reaction mixture at 450 nm. The number of thiol group substitutions (Thiol group/g) in TFP was calculated using the calibration curve prepared by the reaction of standard solution of L-cystine with Ellman’s reagent.
Confirmatory study of thiol group by fourier transform infrared (FTIR) spectroscopy
Extracted FP (extracted from ripe and matured fenugreek seeds) and synthesized TFP samples (by thiolation reaction) were subjected to FTIR spectroscopy analyses in a FTIR spectrophotometer (Perkin-Elmer Spectrum RX I, USA) as potassium bromide (KBr, IR-grade) pellets (containing samples) in a scan range of 4000–400 cm-1.
Preparation of metronidazole gels made of FP and TFPby aqueous dispersion method
Gel was prepared by the aqueous dispersion method [14, 30]. In brief, 1.5% w/v Carbopol 974P was dispersed into the aqueous solution of 1% w/v metronidazole containing 1% w/v FP or TFP (separately). The mixture solutions are allowed to sufficiently hydrate overnight, followed by the addition of triethanolamine (1% w/v) to form FP-based metronidazole-containing gels. Table 1 shows the compositions of metronidazole gels made of FP and TFP.
Table 1: Compositions of metronidazole gelsmade of FP and TFP
| Code | FP (% w/v) | TFP (% w/v) | Carbopol 974P (% w/v) | Triethanolamine (% w/v) | Metronidazole (% w/v) |
| G-FP | 1 | - | 1.50 | 1 | 1 |
| G-TFP | - | 1 | 1.50 | 1 | 1 |
Evaluation of metronidazole gels made of FP and TFP
Measurement of viscosity
The viscosity of these formulated metronidazole gels containing FP and TFP was measured using a Brookfield viscometer (Brookfield DV-E Viscometer) at different speeds with spindle 6 at room temperature.
Evaluation of ex vivo biomucoadhsivity
The ex vivo biomucoadhesivity of these formulated metronidazole gels containing FP and TFP was evaluated using a modified physical balance comprising of a tared 2-arm balance, one side of which contained 2-glass plates: the lower plate was permanently fitted to the basement of the one-arm of the base and the upper plate was glued to the one-arm of the modified balance [31, 32]. In this study, the biological membrane used for biomucoadhesivity testing was goat intestinal mucosal membrane. The excised and fresh goat intestinal mucosal membrane was fixed with glue (cyanoacrylate adhesive) to the upper plate. Metronidazole gel (1 g) was placed on the upper portion of the lower plate. The upper plate was positioned over the lower plate and on initial pressure as preload was applied by finger-tip for 5 min. After the removal of the preload force, a gradually increasing weight was applied to the second arm (of the modified physical balance). The weight (in g) required to detach the lower plate from the upper plate was noted as mucoadhesive strength (shear stress). Furthermore, the force of adhesion (in N) and bonding strength (in N/M2) of metronidazole gels were calculated employing the following formula [33]:


In vitro drug release study
Drug release was study was carried out in a dialysis bag using a phosphate buffer solution [34]. In brief, 1 g of metronidazole gels made of FP and TFP was sampled individually for an in vitro drug release study using a dialysis sac (molecular weight cut off of 10 kDa) in a USP type-II dissolution apparatus (Campbel Electronics, India). Accurately weighed metronidazole gels were individually placed within the dialysis sac and then tied with the paddle of the dissolution apparatus. The paddle was then immersed in the release medium, which was phosphate buffer at pH 6.8. The whole dissolution system was maintained at 37±0.5 °C temperature with a paddle rotation of 50 rpm speed. Aliquots (5 ml) were sampled at various time intervals; freshly prepared release medium (phosphate buffer, pH 6.8) of the same volume (i.e., 5 ml) was added at the same time points of sample withdrawal. The released metronidazole contents from the gels were estimated by an UV-VIS spectrophotometer (Shimadzu, Japan) at a wavelength of 320 nm.
Preparation of metronidazole buccal discs made of FP and TFP
Metronidazole buccal discs using of FP and TFP were prepared by direct compression method [35, 36]. Powdered blends of FP or TFP (100 mg), metronidazole (100 mg), lactose (50 mg) and PEG 4000 (25 mg) were prepared and compressed at 75 kg/cm2 for 1 min using an IR hydraulic press to produce discs of 13 mm diameter. Table 2 shows the compositions of metronidazole buccal discs made of FP and TFP.
Table 2: Compositions of metronidazole buccal discs made of FP and TFP
| Code | FP (mg) | TFP (mg) | Lactose (mg) | PEG 4000 (mg) | Metronidazole (mg) |
| G-FP | 75 | - | 75 | 25 | 10 |
| G-TFP | - | 75 | 75 | 25 | 10 |
Evaluation of metronidazole buccal discs made of FP and TFP
Measurement of weight uniformity
The weight uniformity of metronidazole buccal discs made of FP and TFP was measured by weighing the buccal discs (20 nos.) individually from each formulation using an electronic balance (Metler Toledo). The average weight and standard deviation were calculated. The weight variation (%) was calculated as [37]:

Measurement of thickness uniformity
The thickness uniformity of metronidazole buccal discs made of FP and TFP was measured using a digital slide caliper (Mitutoyo Corporation, Japan).
Measurement of content uniformity
The uniformity of drug contents in these metronidazole buccal discs made of FP and TFP was measured by estimating the metronidazole contents in 6 buccal discs from each formulation. The buccal discs were crushed by using a set of clean pastle and mortar. The powdered sample (100 mg) was dissolved in phosphate buffer, pH 6.8, filtered by using Whatman® filter paper (No. 40) and appropriately diluted with freshly prepared phosphate buffer, pH 6.8. The metronidazole contents in the filtrates were determined by measuring the absorbance at 320 nm in a UV-VIS spectrophotometer (Shimadzu, Japan).
Measurement of friability
The friability of metronidazole buccal discs made of FP and TFP was measured by the Friability tester USP 23 (Electro Lab, India). For each formulation, 6 buccal discs were weighed and placed in a friabilator. These discs were rotated for 4 min at 25 rpm. The discs were dedusted and reweighted. The friability (%) was computed as the weight loss (%) using the following formula [36]:

where, I = Initial weight and, F = Weight after friability
Evaluation of biomucoadhsivity
The ex vivo biomucoadhesivity of metronidazole buccal discs made of FP and TFP was assessed by measuring their biomucoadhesion time using goat buccal mucosal membrane [15, 36]. Goat buccal pouch collected within an hour of slaughter was cleaned by removing underlying fat materials and then thoroughly ringed using simulated saliva fluid (pH 6.8). The washed mucosal membrane was tied to the paddle of the USP type-II dissolution apparatus. One buccal disc was pasted on the inner portion of the mucosal membrane, employing a light force for about 30 sec. The ex vivo mucoadhesion time was then calculated by estimating the time required for the buccal discs to detach or erode from the mucosal surface.
In vitro drug release study
In vitro release of metronidazole from buccal discs made of FP and TFP was performed using a USP type-II dissolution apparatus (Campbel Electronics, India) [15, 36]. The dissolution medium used was 250 ml simulated saliva fluid (pH 6.8), which was maintained at 37±0.5 °C temperature with a paddle rotation of 50 rpm speed. The buccal disc was attached with cyanoacrylate glue to the inner portion of the dissolution vessel. At an appropriate interval, aliquots (5 ml) were sampled and then replaced with freshly prepared 5 ml of simulated saliva fluid (pH 6.8) at the same time points of sample withdrawal. The released metronidazole contents from the buccal discs were estimated by an UV-VIS spectrophotometer (Shimadzu, Japan) at a wavelength of 320 nm.
Statistical analysis
The mean standard deviation (SD) was used to express all data. The simple statistical analysis was conducted using Microsoft Excel 2002.
Extraction of FP and TFP
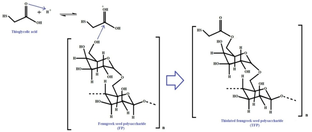
FP is reported as a plant-derived heterogenous polysaccharide possessing a galactomannan structure [20]. The yield of extracted FP was found to be 18.44%. In the current study, the chemical esterification reaction in between the-OH groups of the galactomannan structure of FP and a the-COOH group of HSCH2CO2H was performed under the acidic milieu to achieve the TFP (fig. 1). The yield of TFP was found to be 53.46%. The synthesized TFP was creamy-white in colour and soluble in cold as well as hot water.

Fig. 1: Schematic representation of thiolation of FP using HSCH2CO2
Characterization of TFP
Thiol group contents
The thiol group content in TFP was found 5.18 mmol of thiol group/g of FP as determined.
FTIR
The FTIR spectrum of unmodified FP (extracted) and thiol-modified FP (i.e., TFP) is presented in fig. 2. FTIR spectra of FP (fig. 2a) showed characteristic peaks in-between 3500-3150 cm-1for–OH stretching vibration, at 2923.17 cm-1for–CH stretching vibration, at 1637.99 cm-1 for scissoring vibration of-OH bond, and at 1382.03 cm-1 for symmetrical deformation of-CH2 groups. In addition, a series of characteristic peaks were noticed in-between 1150–800 cm-1 representing highly coupled C-C-O, C-OH, and C-O-C stretching of the polymeric backbone of FP molecular structure. This result is almost similar to the previous researches reported [20, 25-27]. In the FTIR spectrum of TFP (fig. 2b), various characteristic peaks of the unmodified FP (extracted) were found to appear with very minute/without any significant shifting. In particular, characteristic peaks at 2925.80 cm-1for–CH stretching vibration, at 1637.86 cm-1 for scissoring vibration of-OH bond, and at 1387.57 cm-1for symmetrical deformation of-CH2 groups were observed in the FTIR spectrum of TFP. In addition, analogous patterns of characteristic peaks in-between 3500-3150 cm-1representing–OH stretching vibration along with a series of characteristic peaks in-between 1150-800 cm-1 representing highly coupled C-C-O, C-OH, and C-O-C stretching of the polymeric backbone were also noticed in the FTIR spectrum of TFP. However, a weak shoulder at 2558.02 cm−1 due to the-SH stretch of the thiol group was detected in the FTIR spectrum of TFP. Recent research has also found that the characteristic peaks representing the thiol group are only weakly detectable in FTIR spectroscopy [15, 38].

Fig. 2: FTIR spectrum of (a) unmodified FP and (b) thiol-modified FP (TFP)

Fig. 3: The comparative viscosity results of metronidazole gels made of FP and TFP (G-FP and G-TFP)
Preparation of metronidazole gels made of FP and TFP
To evaluate the mucoadhesive potential of TFP, mucoadhesive gels were formulated, where metronidazole (1% w/w) was used as a model drug. In these gels (G-FP and G-TFP), 1.5% w/v Carbopol 974P was used as a gel-forming agent, whereas 1%w/v FP and thiolated FP were employed as biomucoadhesive agents. In addition, triethanolamine (1% w/v) was used to form gels.
Evaluation of metronidazole gels made of FP and TFP
Viscosity
The viscosity of all these metronidazole gels was measured by a Brookfield viscometer (Brookfield DV-E Viscometer). The comparative viscosity results of metronidazole gels made of FP and TFP (G-FP and G-TFP) are presented in fig. 3. It was observed that the viscosity of G-FP metronidazole gel made of FP as a mucoadhesive agent was higher than that of G-TFP metronidazole gel made of TFP. Similar result was also noticed in a work reported where thiolated tamarind seed polysaccharide was investigated as a mucoadhesive agent by formulating metronidazole gel [14].
Biomucoadhesivity
The ex vivo biomucoadhesion of these metronidazole gels (1 g) made of FP and TFP (G-FP and G-TFP) onto excised goat buccal mucosa was evaluated by modified physical balance. The ex vivo mucoadhesivity results (mucoadhesive strength, force of adhesion, and bonding strength) of metronidazole gels made of FP and TFP (G-FP and G-TFP) are presented in table 3. The measured ex vivo mucoadhesive strength, force of adhesion, and bonding strength of G-TFP metronidazole gel made of TFP were higher (more than 1.75-folds) than those of G-FP metronidazole gel made of unmodified FP. The biomucoadhesivity of G-FP metronidazole gel can be attributed to the fact that the hydroxyl groups occurred in the molecular structure of FP from weaker non-covalent bonds like hydrogen bonds, Vander’s Wall forces, and ionic interactions with the mucus glycoproteins [15]. In contrast, the enhanced biomucoadhesivity by the G-TFP metronidazole gels made of TFP can be attributed to the fact of the ability of thiol groups (occurred in the synthesized TFP) to form stronger covalent bonds (di-sulfide linkage) in contact with glycoproteins of mucous. Therefore, TFP can be used as an improved biomucoadhesive excipient in biomucoadhesive gel-based drug delivery systems.
Table 3: Ex vivo mucoadhesivity results (mucoadhesive strength, force of adhesion and bonding strength) of metronidazole gels made of FP and TFP (G-FP and G-TFP)
| Code | Mucoadhesive strength (g)a | Force of adhesion (N) | Bonding strength (N/m2) |
| G-FP | 12.98±0.16 | 0.1273 | 448.23 |
| G-TFP | 22.81±0.24 | 0.2238 | 788.02 |
aData are expressed as mean±SD; n=3
In vitro drug release
The in vitro drug release from metronidazole gels made of FP and TFP (G-FP and G-TFP) was evaluated using a dialysis sac in phosphate buffer, pH 6.8. The comparative in vitro drug release from metronidazole gels made of FP and TFP (G-FP and G-TFP) is presented in fig. 4. The G-FP metronidazole gels made of FP released almost all the total drug within the release period of 6 h. The G-TFP metronidazole gel made of TFP exhibited slower sustained drug release than that of the G-FPmetronidazole gel made of FP. The observed results of the in vitro drug release study were not found to be consistent with the viscosity results. Even though the G-FP metronidazole gel made of unmodified FP showed a comparatively higher viscosity than that of the G-TFP metronidazole gel made of TFP. Similar result was also noticed in a work reported where thiolated tamarind seed polysaccharide was investigated as a mucoadhesive agent by formulating metronidazole gel [14]. Comparatively slower-sustained drug release from G-TFP metronidazole gel made of TFP could be due to possible interaction of metronidazole with TFP or due to in situ cross-linking contributed by di-sulfide linkage of TFP.

Fig. 4: Comparative in vitro drug release from metronidazole gels made of FP and TFP (G-FP and G-TFP) in phosphate buffer, pH 6.8 [Data are expressed as mean±SD; n=3]
To analyze the in vitro drug release kinetics along with the drug release mechanism, the in vitro drug release data of metronidazole gels made of FP and TFP (G-FP and G-TFP) in phosphate buffer, pH 6.8 was fitted into important mathematical kinetic models. Table 4 presents the model-fitting results for in vitro drug release from these metronidazole gels. The in vitro drug release from both the metronidazole gels made of FP and TFP (G-FP and G-TFP) followed the Korsmeyer-Peppas model (R2 = 0.9872 for G-FP and R2 = 0.9968 for G-TFP) as the best-fitting model. However, in both the cases of metronidazole gels, the Higuchi model (R2 = 0.9828 for G-FP and R2 = 0.9899 for G-TFP) was also found to be closer to the best-fitting Korsmeyer-Peppas model. Further, the value of the release exponent (n) of the Korsmeyer-Peppas equation (n ≤ 0.5) indicated that the mechanism of in vitro drug release from both the metronidazole buccal gels made of FP and TFP (G-FP and G-TFP) in phosphate buffer, pH 6.8 was followed by a diffusion-dependent releasing mechanism.
Table 4: The model-fitting results for in vitro drug release from these metronidazole gels made of FP and TFP (G-FP and G-TFP)
| Code | Zero-order model | First-order model | Higuchi model | Korsmeyer-Peppas model | Release exponent (n) |
| G-FP | 0.9337 | 0.8403 | 0.9828 | 0.9872 | 0.4910 |
| G-TFP | 0.9647 | 0.8435 | 0.9899 | 0.9968 | 0.4634 |
Preparation of metronidazole buccal discs made of FP and TFP
In this work, metronidazole buccal discs (13 mm dia.) were formulated using FP or TFP (as mucoadhesive agent), PEG 4000 (as plasticizer) and lactose (as diluent) via compression employing an IR hydraulic press. Powdered blends of FP or TFP (75 mg), metronidazole (100 mg), lactose (75 mg) and PEG 4000 (25 mg) were compressed at 75 kg/cm2 for 1 min.
Evaluation of metronidazole buccal discs made of FP and TFP
Weight uniformity
Weight uniformity results, namely, average weight (mg) and weight variation (%) of metronidazole buccal discs made of FP and TFP (D-FP and D-TFP) are tabulated in table 5. The average weight (mg) of D-FP metronidazole buccal discs made of unmodified FP (191.23±2.30 mg) was almost similar as compared to that of D-TFP metronidazole buccal discs made of TFP (190.41±2.68 mg). However, the weight variation (%) of D-FP metronidazole buccal discs made of unmodified FP (1.20%) was less as compared to that of D-TFP metronidazole buccal discs made of TFP (1.41%). The weight variation (%) values of both the metronidazole buccal discs were less than 5%. Therefore, the results of the weight uniformity of both the metronidazole buccal discs indicated that powdered FP or TFP, metronidazole, lactose, and PEG 4000 were well blended during the preparation of these metronidazole buccal discs made of FP and TFP (D-FP and D-TFP).
Table 5: The results of weight uniformity (average weight and weight variation), thickness uniformity, content uniformity and friability of metronidazole buccal discs made of FP and TFP (D-FP and D-TFP)
| Code | Average weight (mg)a | Weight variation (%) | Thickness (mm)b | Drug content (%)b | Friability (%)b |
| D-FP | 191.23±2.30 | 1.20 | 1.14±0.02 | 99.37±2.42 | 0.82±0.03 |
| D-TFP | 190.41±2.68 | 1.41 | 1.21±0.04 | 99.08±2.57 | 0.96±0.02 |
aData are expressed as mean±SD; n = 20, bData are expressed as mean±SD; n = 6
Thickness uniformity
The thickness of both the metronidazole buccal discs made of FP and TFP (D-FP and D-TFP) was measured (by digital slide caliper), and the results are tabulated in table 5. The thickness of D-FP metronidazole buccal discs made of unmodified FP (1.14±0.02 mm) was almost similar as compared to that of D-TFP metronidazole buccal discs made of TFP (1.21±0.04 mm). Therefore, the results of the thickness uniformity of both the metronidazole buccal discs indicated that the sizing of buccal discs (13 mm dia.) was appropriately done during preparation, in particular by applying a uniform compression force of 75 kg/cm2 for 1 min by IR hydraulic press.
Content uniformity
The drug content uniformity results of both the metronidazole buccal discs made of FP and TFP (D-FP and D-TFP) are tabulated in table 5. The drug content of D-FP metronidazole buccal discs made of unmodified FP (99.37±2.42%) was almost similar as compared to that of D-TFP metronidazole buccal discs made of TFP (99.08±2.57%). Therefore, the drug content uniformity results ascertain the presence of contained metronidazole within the compendia quality limit in both the metronidazole buccal discs made of FP and TFP (D-FP and D-TFP).
Friability
The measurement of friability is usually used to assess the resistance of the solid dosage forms (here, buccal discs) to abrasion. The friability (%) results of both the metronidazole buccal discs made of FP and TFP (D-FP and D-TFP) are tabulated in table 5. The friability (%) of D-FP metronidazole buccal discs made of unmodified FP (0.82±0.03%) was comparatively less than that of D-TFP metronidazole buccal discs made of TFP (0.96±0.02). Overall, it was found that the friability (%) values of both the metronidazole buccal discs made of FP and TFP (D-FP and D-TFP) were less than 1% w/w, which conformed to the compendial specifications of friability for tablets (i.e., less than 1% w/w).
Biomucoadhsivity
The ex vivo biomucoadhesivity of metronidazole buccal discs made of FP and TFP (D-FP and D-TFP) was assessed by measuring their biomucoadhesion time using goat buccal mucosal membrane. The ex vivo biomucoadhesion time of D-TFP metronidazole buccal discs made of TFP (12.5 h) was comparatively higher (almost 1.5-fold) than that of D-FP metronidazole buccal discs made of FP (8.2 h). Similarly, enhanced ex vivo biomucoadhesivity of G-TFP metronidazole gels made of TFP was observed as compared to that of G-FP metronidazole gels made of unmodified FP. The enhanced ex vivo biomucoadhesivity of thiol-modified polysaccharide-based formulations can be attributed to the ability of thiol groups (occurred in the synthesized thiolated polysaccharide) to form stronger covalent bonds (di-sulfide linkage) in contact with glycoproteins of mucous [15, 36]. Therefore, TFP can be used as an improved mucoadhesive excipient in the buccomucoadhesive drug delivery system. Similar results were also noticed in the studies reported where thiolated thiolated moringa gum and thiolated xanthan gum were investigated as a mucoadhesive agent by formulating metronidazole buccal discs [15, 36].

Fig. 5: Comparative in vitro drug release from metronidazole buccal discs made of FP and TFP (D-FP and D-TFP) in simulated saliva fluid, pH 6.8 [Data are expressed as mean±SD; n = 3]
In vitro drug release
The in vitro drug release from these metronidazole buccal discs made of FP and TFP (D-FP and D-TFP) was evaluated in simulated saliva fluid, pH 6.8. The comparative in vitro drug release from metronidazole buccal discs made of FP and TFP (D-FP and D-TFP) is presented in fig. 5. The D-FP metronidazole buccal discs made of unmodified FP released almost all the drug within the release period of 5 h. In contrast, D-TFP metronidazole buccal discs made of TFP showed a sustained pattern of drug release over 24 h. The slower drug release by D-TFP metronidazole buccal discs made of TFP can be explained by the formation of stronger covalent bonds (due to in situ cross-linking contributed by di-sulfide linkage) in-between glycoprotein of the mucous and the thiol-group present in TFP (which was incorporated within the formula of D-TFP metronidazole buccal discs).
Furthermore, the in vitro drug release data of metronidazole buccal discs made of FP and TFP (D-FP and D-TFP) in simulated saliva fluid, pH 6.8 was analyzed by fitting into important mathematical kinetic models to reveal the drug-releasing kinetics and mechanism. Table 5 presents the model fitting results for in vitro drug release from these metronidazole buccal discs made of FP and TFP (D-FP and D-TFP). The in vitro drug release from D-FP metronidazole buccal discs made of FP followed the Korsmeyer-Peppas model (R2 = 0.9941) as the best-fit model. However, it was also closer to the zero-order model release kinetics (R2 = 0.9894). On the other hand, in vitro drug release from G-TFP metronidazole buccal discs made of TFP followed the Korsmeyer-Peppas model (R2 = 0.9825). The values of the release exponent (n) of the Korsmeyer-Peppas equation (n ≤ 0.43) indicated that the in vitro drug release from D-FP metronidazole buccal discs followed an anomalous transport mechanism(diffusion and relaxation-dependent releasing), while the G-TFP metronidazole buccal discs made of TFP followed the diffusion-dependent (Fickian) mechanism.
Table 5: The model-fitting results for in vitro drug release from these metronidazole buccal discs made of FP and TFP (D-FP and D-TFP)
| Code | Zero-order model | First-order model | Higuchi model | Korsmeyer-Peppas model | Release exponent (n) |
| D-FP | 0.9894 | 0.8777 | 0.8197 | 0.9941 | 0.7953 |
| D-TFP | 0.9644 | 0.9001 | 0.8676 | 0.9825 | 0.4281 |
Natural polysaccharides have numerous open hydroxyl groups in their molecules, which makes them a suitable material for easy attachment of thiol groups. They are also inexpensive, and the process of thiolation is also simple. Gels prepared by FP and TFP showed biomucoadhesion property. However, the biomucoadhesion potential of thiolated products (i.e., TFP) was much higher (1.75 times). From the release study, it was observed that thiolated products showed a slower rate of drug release and, thereby, TFP can be used as a biomaterial for preparing sustained release formulations for application in gum as well as the mouth cavity in the management of oral infections. Thin and sleek buccal discs can also be prepared by quite a simple method of compression. These discs showed uniformity in weight, were non-brittle, and had uniformity in drug content. However, metronidazole buccal discs prepared with a thiolated derivative of polysaccharide showed improved biomucoadhesion potential, which was 1.5 times higher than the metronidazole buccal discs prepared by FP. Discs prepared with TFP showed a slow and uniform release of metronidazole. This quality is essential when the sustained release of a drug is required for a long period of time. Therefore, these biomucoadhesive discs can be used for gastroretentive drug delivery.
The authors are thankful to Seemanta Institute of Pharmaceutical Sciences, Jharpokharia, Mayurbhanj-757086, Odisha, India for providing the necessary research facility.
All the authors have contributed equally.
The authors declare no conflict of interest
Lovegrove A, Edwards CH, De Noni I, Patel H, El SN, Grassby T. Role of polysaccharides in food, digestion, and health. Crit Rev Food Sci Nutr. 2017 Jan 22;57(2):237-53. doi: 10.1080/10408398.2014.939263, PMID 25921546.
Rani N, Dev D. Formulation and evaluation of fast disintegrating tablet of propranolol hydrochloride using modified tamarind seed gum as a natural superdisintegrant. Asian J Pharm Clin Res. 2022;15(9):185-92. doi: 10.22159/ajpcr.2022.v15i9.45284.
Bramhe NN, Kilor VA. Evaluation and optimization of Lepidium sativum seed mucilage as binder in tablet formulation. Int J Pharm Pharm Sci. 2014 Oct;6(10):285-91.
Das S, Ghosh A, Das R, Nandi G, Ghosh LK. Development of quality control parameters for standardization of a novel mucilage obtained from okra (Abelmoschus esculentus (L.) Moench) fruit. Int J Curr Pharm Res. 2021;13(3):28-41.
Nayak AK, Hasnain MS. Plant polysaccharides in drug delivery applications. In: Nayak AK, Hasnain MS, editors. Plant polysaccharides-based multiple-unit systems for oral drug delivery. Berlin: Springer; 2019. p. 19-23. doi: 10.1007/978-981-10-6784-6_2.
Maity S, Mahapatra SK. Preparation and evaluation of gellan gum-linseed gum blend microbeads for sustained release of aceclofenac. Int J App Pharm. 2022;14(3):49-55. doi: 10.22159/ijap.2022v14i3.43652.
Prajapati VD, Jani GK, Moradiya NG, Randeria NP. Pharmaceutical applications of various natural gums, mucilages and their modified forms. Carbohydr Polym. 2013 Feb 15;92(2):1685-99. doi: 10.1016/j.carbpol.2012.11.021, PMID 23399207.
Al-Muhanna MK, Anwar N, Hasnain MS, Nayak AK. Synthesis of tailor-made polysaccharides: an overview. In: Nayak AK, Hasnain MS, editors. Tailor-made polysaccharides in drug delivery. Academic Press, Elsevier Inc; 2022. p. 1-28.
Kaur L, Gupta GD. Gum karaya-G-poly (acrylamide): microwave-assisted synthesis, optimisation and characterisation. Int J App Pharm. 2020;12(5):143-52. doi: 10.22159/ijap.2020v12i5.37732.
Naveen NR, Gopinath C, Rao DS. A spotlight on thiolated natural polymers and their relevance in mucoadhesive drug delivery system. Future J Pharm Sci. 2018 Jun;4(1):47-52. doi: 10.1016/j.fjps.2017.08.002.
Bandyopadhyay PK, Hasnain MS, Nayak AK. Thiolated polysaccharides in drug delivery. In: Nayak AK, Hasnain MS, editors. Tailor-made polysaccharides in drug delivery. Academic Press, Elsevier Inc; 2022. p. 82-106.
Khutoryanskiy VV. Advances in mucoadhesion and mucoadhesive polymers. Macromol Biosci. 2011 Jun 14;11(6):748-64. doi: 10.1002/mabi.201000388, PMID 21188688.
Shaikh R, Raj Singh TR, Garland MJ, Woolfson AD, Donnelly RF. Mucoadhesive drug delivery systems. J Pharm Bioallied Sci. 2011 Jan;3(1):89-100. doi: 10.4103/0975-7406.76478, PMID 21430958.
Kaur H, Yadav S, Ahuja M, Dilbaghi N. Synthesis, characterization and evaluation of thiolated tamarind seed polysaccharide as a mucoadhesive polymer. Carbohydr Polym. 2012 Nov 6;90(4):1543-9. doi: 10.1016/j.carbpol.2012.07.028.
Grewal P, Mundlia J, Ahuja M. Thiol modified moringa gum–a potential bioadhesive polymer. Carbohydr Polym. 2019 Apr 1;209:400-8. doi: 10.1016/j.carbpol.2018.12.100, PMID 30732824.
Puri V, Sharma A, Kumar P, Singh I. Thiolation of biopolymers for developing drug delivery systems with enhanced mechanical and mucoadhesive properties: a review. Polymers (Basel). 2020 Aug 11;12(8):1803. doi: 10.3390/polym12081803, PMID 32796741.
Duggan S, Cummins W, O’ Donovan O, Hughes H, Owens E. Thiolated polymers as mucoadhesive drug delivery systems. Eur J Pharm Sci. 2017 Mar 30;100:64-78. doi: 10.1016/j.ejps.2017.01.008, PMID 28087353.
Bhalekar MR, Bargaje RV, Upadhaya PG, Madgulkar AR, Kshirsagar SJ. Formulation of mucoadhesive gastric retentive drug delivery using thiolated xyloglucan. Carbohydr Polym. 2016 Jan 20;136:537-42. doi: 10.1016/j.carbpol.2015.09.064, PMID 26572385.
Bahulkar SS, Munot NM, Surwase SS. Synthesis, characterization of thiolated karaya gum and evaluation of effect of pH on its mucoadhesive and sustained release properties. Carbohydr Polym. 2015 Oct 5;130:183-90. doi: 10.1016/j.carbpol.2015.04.064, PMID 26076615.
Bassi P, Kaur G. Fenugreek gum derivatives with improved bioadhesion and controlled drug release: in vitro and in vivo characterization. J Drug Deliv Sci Technol. 2015;29:42-54. doi: 10.1016/j.jddst.2015.06.006.
Nayak AK, Pal D, Pradhan J, Ghorai T. The potential of Trigonella foenum-Graecum L. Seed mucilage as suspending agent. Indian J Pharm Educ Res. 2012 Mar 27;46:312-7.
Chen L, Jiang Z, Luo X, Zhong Y, Wang H, Wang X. Highly stabilized sulfur cathode with natural fenugreek gum as binder. Chem Eng J. 2021;421. doi: 10.1016/j.cej.2020.127769.
Nagajyothi B, Babu MK. Design and development of glipizide fast dissolving tablets using natural gum superdisintegrant. Asian J Pharm Clin Res 2014 Feb;7(6):144-8.
Khanekar P, Momin M, Mhatre S. Application of 25 factorial design in optimization of superporous hydrogel synthesis containing natural mucilage. Int J Pharm Pharm Sci. 2014 Jul;6(7):215-9.
Nayak AK, Pal D, Pradhan J, Hasnain MS. Fenugreek seed mucilage-alginate mucoadhesive beads of metformin HCl: design, optimization and evaluation. Int J Biol Macromol. 2013 Mar;54:144-54. doi: 10.1016/j.ijbiomac.2012.12.008, PMID 23246901.
Nayak AK, Pal D, Das S. Calcium pectinate-fenugreek seed mucilage mucoadhesive beads for controlled delivery of metformin HCl. Carbohydr Polym. 2013 Jul 1;96(1):349-57. doi: 10.1016/j.carbpol.2013.03.088, PMID 23688491.
Nayak AK, Pal D. Trigonella foenum-Graecum L. seed mucilage-gellan mucoadhesive beads for controlled release of metformin HCl. Carbohydr Polym. 2014 Jul 17;107:31-40. doi: 10.1016/j.carbpol.2014.02.031, PMID 24702915.
Ullah S, Khalil AA, Shaukat F, Song Y. Sources, extraction and biomedical properties of polysaccharides. Foods. 2019 Aug 1;8(8):304. doi: 10.3390/foods8080304, PMID 31374889.
Liu Y, Huang G. Extraction and derivatisation of active polysaccharides. J Enzyme Inhib Med Chem. 2019 Dec;34(1):1690-6. doi: 10.1080/14756366.2019.1660654, PMID 31537126.
Khan AW, Kotta S, Ansari SH, Sharma RK, Kumar A, Ali J. Formulation development, optimization and evaluation of Aloe vera gel for wound healing. Pharmacogn Mag. 2013 Oct;9(Suppl 1):S6-S10. doi: 10.4103/0973-1296.117849, PMID 24143047.
Alexander A, Ajazuddin GT, Sawrna SP. Various evaluation parameters used for the evaluation of different mucoadhesive dosage forms. Int J Drug Formul Res. 2011 Mar-Apr;2(2):1-26.
Bansal K, Rawat MK, Jain A, Rajput A, Chaturvedi TP, Singh S. Development of satranidazole mucoadhesive gel for the treatment of periodontitis. AAPS PharmSciTech. 2009;10(3):716-23. doi: 10.1208/s12249-009-9260-z, PMID 19479385.
Hasnain MS, Rishishwar P, Ali S, Nayak AK. Preparation and evaluation of aceclofenac dental pastes using Dillenia fruit gum for periodontitis treatment. SN Appl Sci. 2020 Feb 17;2(3):1-8. doi: 10.1007/s42452-020-2240-3.
Hoang Thi TH, Chai F, Leprêtre S, Blanchemain N, Martel B, Siepmann F. Bone implants modified with cyclodextrin: study of drug release in bulk fluid and into agarose gel. Int J Pharm. 2010 Nov 15;400(1-2):74-85. doi: 10.1016/j.ijpharm.2010.08.035, PMID 20816734.
Yehia SA, El-Gazayerly ON, Basalious EB. Design and in vitro/in vivo evaluation of novel mucoadhesive buccal discs of an antifungal drug: relationship between swelling, erosion, and drug release. AAPS PharmSciTech. 2008 Dec 11;9(4):1207-17. doi: 10.1208/s12249-008-9166-1, PMID 19082739.
Bhatia M, Ahuja M, Mehta H. Thiol derivatization of xanthan gum and its evaluation as a mucoadhesive polymer. Carbohydr Polym. 2015 Oct 20;131:119-24. doi: 10.1016/j.carbpol.2015.05.049, PMID 26256167.
Nayak AK, Hasnain MS, Malakar J. Development and optimization of hydroxyapatite-ofloxacin implants for possible bone delivery in osteomyelitis treatment. Curr Drug Deliv. 2013 Apr;10(2):241-50. doi: 10.2174/1567201811310020008, PMID 23092295.
Medeiros Borsagli FGL, Carvalho IC, Mansur HS. Amino acid-grafted and N-acylated chitosan thiomers: construction of 3D bio-scaffolds for potential cartilage repair applications. Int J Biol Macromol. 2018 Jul 15;114:270-82. doi: 10.1016/j.ijbiomac.2018.03.133, PMID 29578009.