
Department of Pharmaceutical Chemistry, School of Pharmacy, GITAM (Deemed to be University), Gandhinagar Campus, Rushikonda, Visakhapatnam 530045, A. P., India
Email: logonchemistry@gmail.com
Received: 11 Jan 2023, Revised and Accepted: 06 Mar 2023
ABSTRACT
Objective: The present investigation aims to develop an efficient, rapid, sensitive, selective, linear, and accurate method for analyzing capecitabine in bulk and tablet dosage form by UV-spectroscopy approaches.
Methods: Capecitabine is an estimation by three different developed methods with different UV detection, method A (zero-order spectrophotometric method) at 239 nm, method B (first-order spectrophotometric method) at 231 nm, and method C (area under the curve spectrophotometric method) at 230 to 248 nm. The method's validation and stress degradation studies were done following the International Conference on Harmonization (ICH) guidelines.
Results: The methods were validated using the prescribed parameters like system suitability, LOD, LOQ, accuracy, precision, robustness, specificity, etc. The relative standard deviation (% RSD) of the peak area observed in each case was found within the accepted range (<2%). The linearity study's coefficient of correlation (R2) value was<0.99. The methods were quantified accurately in the presence of degraded products.
Conclusion: The developed simple and economical method is a suitable option for the qualitative and quantitative study of capecitabine in bulk and tablets, even in its degraded products, which may arise because of oxidation, hydrolysis, thermal, and photolytic decomposition.
Keywords: Capecitabine, Spectroscopic methods, Method development, Validation, Stress degradation studies
© 2023 The Authors. Published by Innovare Academic Sciences Pvt Ltd. This is an open access article under the CC BY license (https://creativecommons.org/licenses/by/4.0/)
DOI: https://dx.doi.org/10.22159/ijap.2023v15i3.47316. Journal homepage: https://innovareacademics.in/journals/index.php/ijap
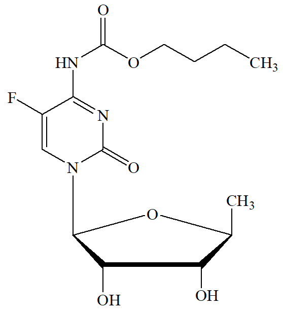
The correlation between cancer, life, and drugs is vital and frightening. Cancer causes life-threatening situations, and certain magical medications can save lives; conversely, some medicines or drug consumption can cause cancer and death. Capecitabine (N4-pentyloxycarbonyl-5'-deoxy-5-fluoro-cytidine), an oral fluoropyrimidine, has been synthesized in the laboratory as an inactive precursor that passes intact through the intestinal mucosa and is sequentially converted to 5'-deoxy-5-fluorocytidine (5'-DFCR), 5'-deoxy-5-fluorouridine (5'-DFUR) and finally 5-FU in the liver and tumour tissues selectively [1]. Based on data demonstrating consistent activity across several trials in patients with heavily pre-treated breast cancer, capecitabine was approved in the U. S. in 1998 for treating patients with metastatic disease resistant to paclitaxel and anthracycline-containing therapy, with later European Union approval for single-agent capecitabine in the metastatic setting. In 2001, the U. S. Food and Drug Administration approved capecitabine plus docetaxel (XT) for treating metastatic breast cancer based on a substantial phase III trial comparing XT with docetaxel alone, which demonstrated a survival benefit for combination therapy compared to single-agent therapy [2]. Capecitabine has provided compelling efficacy data for treating metastatic breast cancer and stage III or IV colorectal cancer, both as monotherapy and in combination regimens [3]. Capecitabine (fig. 1) is converted to 5-fluorouracil (5-FU) in a three-step enzymatic process, the final stage of which is mediated by thymidine phosphorylase (TP). Significantly higher TP activity (p<.05) has been recorded in several human tumor tissues (including the colorectum, breast, stomach, cervix, uterus, ovary, kidney, bladder, and thyroid) compared with normal tissue adjacent to the tumor [4]. In animal models, capecitabine is metabolically activated preferentially at the tumour site and shows antineoplastic activity [5]. In first-line metastatic colorectal cancer (MCRC), capecitabine results in superior response rates and equivalent progression-free and overall survival compared with i. v., 5-FU/lV [6]. In adults, capecitabine has a bioavailability of approximately 100% with a Cmax of 3.9 mg/l, Tmax of 1.5 to 2 h, and AUC of 5.96 mg. h/l. The predominant route of elimination is renal, and a dosage reduction of 75% is recommended in patients with creatinine clearance (CrCl) of 30 to 50 ml/min. The drug is contraindicated if CrCl is<30 ml/min [7]. The most common treatment-related adverse events are palmar-plantar erythrodysesthesia, diarrhoea, and stomatitis [8]. Capecitabine is an effective and well-tolerated drug in elderly patients with metastatic breast cancer (MBC), including for first-line treatment [9]. Data from two large phase III trials performed in patients receiving first-line chemotherapy for metastatic colorectal cancer showed that capecitabine yielded higher objective response rates and equivalent median time to tumor progression and overall survival rates as 5-FU/leucovorin [10]. In a pooled analysis, intermittent capecitabine therapy delivered first-line therapeutic outcomes that were noticeably superior to fluorouracil with leucovorin therapy for patients with advanced or metastatic colorectal cancer [11].

Fig. 1: Structure of capecitabine
Capecitabine quantification has been reported using various analytical techniques and tools, including UV, HPLC, UPLC, and LC-MS [12-21]. Based on the previously mentioned analytical techniques, our primary goal is to develop efficient, rapid, sensitive, selective, linear, and accurate UV-spectroscopy approaches for determining capecitabine and performing stability-indicating stress degradation studies. The procedure was assessed based on ICH and USP 26 standards. According to ICH Q2R1 recommendations, the drug concentration of capecitabine in various pharmaceutical products is assessed using linearity, accuracy, precision, specificity, the limit of detection (LOD), and the limit of quantification (LOQ) [22, 23].
Materials
Mylan Laboratories Ltd., Hyderabad, India, provided capecitabine bulk powder as a kind gift. Capecitabine was purchased from the local pharmacy using the branded tablet capegard (500 mg). The investigation used only chemical reagents of analytical quality. Ethanol was procured from GlaxoSmithKline Pharmaceuticals Limited in Mumbai, India. From Gujarat, India's Ideal Chemicals Pvt. Ltd., we received potassium dihydrogen phosphate, sodium hydroxide, hydrogen peroxide, and hydrochloric acid.
Instrumentation
This analysis was conducted using a Shimadzu 1800 UV spectrophotometer, UV probe 4.2 series software, and 1 cm matched quartz cells for all measurements. The investigation employed borosilicate glass pipettes, volumetric flasks, beakers, a digital analytical balance (Mettler Toledo, India), an ultrasonic sonicator (Spectra Lab, India), and other instruments.
Preparation of phosphate-buffered saline (pH 7.2)
For the preparation of phosphate buffered saline (pH 7.2), 8.50 g of sodium chloride, 1.910 g of disodium hydrogen phosphate, and 0.380 of potassium dihydrogen phosphate was dissolved in 500 ml of water, and the pH was adjusted to pH (at 25 °C) 7.2±0.2 and diluted with water in a 1000 ml volumetric flask.
Preparation of solutions for UV spectrophotometry
Capecitabine was accurately weighed at 10 mg and then transferred to a volumetric flask with a 10 ml capacity. The solute was first dissolved in the ethanol to make a standard stock solution with a 1,000 µg/ml concentration. This solution was then further sonicated and diluted with the phosphate-buffered saline (pH 7.2) to the desired level. To achieve the working standard with a 100 µg/ml concentration, further, dilute the previously prepared standard stock solution with the phosphate-buffered saline (pH 7.2). The solutions with the requisite concentrations for procedures A, B, and C were diluted with the phosphate-buffered saline (pH 7.2) made from the working standard.
Different methods of development
Method A (Zero order spectrophotometric method)
The UV-spectroscopy principle is used to conduct numerous analyses in the simplest possible manner. Phosphate Buffered Saline (pH 7.2) blank solution was kept constant. Samples from 200 to 400 nm were taken. The linearity investigation revealed that the maximum wavelength (λmax) is 239 nm.
Method B (First-order spectrophotometric method)
The UV-Spectroscopy principle is used to conduct numerous analyses in the simplest possible manner. The phosphate-buffered saline (pH 7.2) was kept as a blank solution. Spectra between 200 and 400 nm were measured. The zero-order spectra were transformed into first-order derivative spectra (delta lambda 8, scaling factor 1) using the inbuilt software of the instrument. After interpreting the data for linearity, the λmax was 231 nm.
Method C (Area under the curve spectrophotometric method)
Two effective areas on the mixed spectrum directly proportional to the concentration of the desired spectral component effectively solve the broad spectrum with the methodology. A reference solution was preserved for the Phosphate Buffered Saline (pH 7.2). Samples were captured between 200 and 400 nm. Using UV probe software-2.42, the spectra between 230 and 248 nm were recorded. The area versus concentration data was used to conduct the linearity assessment.
Method validation
The developed method was validated according to the ICH guidelines (ICH Q2R1) for linearity, specificity, precision, accuracy, robustness, the limit of detection, and quantification [22].
Linearity
Linearity is an analytical technique that achieves test results proportionate to the analyte concentration in the test sample. A plethora of solutions was made for the standard calibration curve based on beer's lambert law for methods A and C at 6-18 µg/ml and 6-20 µg/ml for method B.
Precision
The analytical method, or precision, denotes the reproducibility of the analytical process. Precision is the degree of agreement between individual test results when a technique is subjected to numerous samplings of a homogenous sample. Six concentrations of 12 µg/ml (methods A, B, C) of standard drug solution are evaluated for intraday and interday precision, and variations are investigated. The drug concentrations were evaluated on different consecutive days in the intermediate precision investigation, demonstrating the laboratory variation on different days. The percentage RSD was calculated.
Accuracy
The analytical technique of accuracy examines the degree to which test findings and the actual value are near one another. Accuracy was assessed at three distinct concentration levels (50%, 100%, and 150%) by appropriately incorporating capecitabine standard stock solution into the sample. The amount of drug in triplicate preparations at each concentration level and the percent recovery were used to calculate the recovery.
Robustness
Robustness is a measure of its capacity to stay unaffected by little. Still, deliberate changes in analytical process parameters indicate its consistency over time. It was performed by altering the UV-spectrophotometric technique's wavelength (±2 nm). Still, there was no apparent difference in the results within the ICH guidelines [23, 24]. The sample evaluation was done six times.
Sensitivity
The limit of quantification and limit of detection were used as parameters in the sensitivity calculation. LOD refers to the lowest analyte concentration in a sample that can be detected but not fundamentally quantified. The lowest level at which an analyte may be measured with acceptable accuracy and precision is known as the LOQ.
The following formulae were used to calculate LOD and LOQ [25].


Analysis of commercial dosage form
To analyse various commercial tablet dosage forms based on the efficacy and pharmacokinetics study evaluation, chose a distinct manufacturer tablets and carried out the assay to determine the amount of drug present in the dosage forms [26]. The 500 mg brand-name capegard tablets of capecitabine (20 tablets) were compared in this dissertation. For evaluation, 20 tablets are accurately energized and weighed. The powdered tablet containing the equivalent of 10 mg of capecitabine was weighed and placed into a volumetric flask with a capacity of 10 ml. The ethanol was added to the mark and sonicated, and all solutions were filtered. The solutions with the requisite concentrations for procedures A, B, and C were diluted with the phosphate-buffered saline (pH 7.2) made from the working standard. Measure the tablet brand (capegard) by contrasting them to the reference drug.
Stress degradation studies
Oxidation stress degradation studies
The 1 ml of capecitabine stock solution was combined with 1 ml of 35% hydrogen peroxide, diluted with ethanol up to 10 ml, and left at room temperature for 90 min. The reference solution underwent the same conditions without adding 35% hydrogen peroxide. The test solution was sufficiently diluted to provide test solutions with 12 µg/ml concentrations for methods A, B, and C. At last, the samples were analyzed using UV spectroscopy to calculate the degradation percentage.
Acid stress degradation studies
The 1 ml of capecitabine stock solution was mixed with 1 ml of 1N hydrochloric acid, and the volume was filled off with ethanol to 10 ml and maintained at room temperature for 90 min. The same conditions were applied to the reference solution without adding acid. The test solution was neutralized with NaOH and diluted adequately to get a test solution of 12 µg/ml for method A, method B, and method C. The samples were also scanned in UV spectroscopy, and the degradation percentage was calculated.
Alkali stress degradation studies
In addition, 1 ml of 1N NaOH was added to 1 ml of capecitabine stock solution. The volume was then filled to 10 ml with ethanol and left at room temperature for 90 min. Additionally, the reference solution was treated under identical circumstances without adding NaOH. Further, the solution was diluted to provide test solutions with 12 µg/ml concentrations for methods A, B, and C. To calculate the percentage of deterioration, the samples were further scanned using UV spectroscopy.
Dry heat stress degradation studies
The standard drug solution was kept in an oven at 80 °C for 48 h to assess dry heat degradation, developed the 12 µg/ml test solutions for methods A, B, and C. The reference solution underwent the same procedures without the sample being heated. The samples' deterioration percentages were also estimated after the samples were scanned employing UV spectroscopy.
Photolytic stress degradation studies
The sample solution was exposed to UV light at 365 nm for 48 h in a UV chamber to test the drug's photolytic stability, developed the 12 µg/ml test solutions for methods A, B, and C. The reference solution was also subjected to the same circumstances but without exposure to UV light. After the samples were scanned using UV, the degree of deterioration was also recorded.
Linearity
For methods A, C, and B in linearity studies, the concentration range for the calibration curves was 6–18 µg/ml and 6–20 µg/ml, respectively. The linear regression equation of method A is y = 0.0554x-0.1414 with a correlation coefficient of 0.9992 (fig. 2 and 3), Method B is y = 0.0011x+0.0024 with a correlation coefficient of 0.9967 (fig. 4 and 5), Method C is y = 0.1141x-0.2421 with a correlation coefficient of 0.9973 (fig. 6 and 7).

Fig. 2: Calibration curve of capecitabine for method A (Zero order spectrophotometric method)

Fig. 3: Overlay spectrum of capecitabine for method A (Zero order spectrophotometric method)

Fig. 4: Calibration curve of capecitabine for method B (First-order spectrophotometric method)

Fig. 5: Overlay spectrum of capecitabine for method B (First-order spectrophotometric method)

Fig. 6: Calibration curve of capecitabine for method C (Area under the curve spectrophotometric method)

Fig. 7: Spectrum of capecitabine for method C (Area under the curve spectrophotometric method)
Precision
When the percentage of RSD in precision studies was less than 2%, the suggested procedure had acceptable reproducibility. The performance of intraday and interday precision and the percent RSD for the response of six replicate measurements in methods A, B, and C were within the acceptable ranges. Results from the intraday and interday precision studies are summarized in tables 1 and 2.
Table 1: Intraday precision for capecitabine methods A, B, and C
| S. No. | Conc. (µg/ml) | Method A | Method B | Method C | % RSD | ||
| Absorbance | Area | Method | |||||
| A | B | C | |||||
| 1 | 12 | 0.524 | 0.011 | 1.138 | 1.58% | 0% | 0.77% |
| 2 | 12 | 0.525 | 0.011 | 1.145 | |||
| 3 | 12 | 0.524 | 0.011 | 1.123 | |||
| 4 | 12 | 0.524 | 0.011 | 1.129 | |||
| 5 | 12 | 0.526 | 0.012 | 1.140 | |||
| 6 | 12 | 0.524 | 0.011 | 1.144 |
Method A (Zero order spectrophotometric method), Method B (First-order spectrophotometric method), and method C (Area under the curve spectrophotometric method).
Table 2: Interday precision for methods A, B, and C of capecitabine
| S. No. | Conc. (µg/ml) | Method A | Method B | Method C | %RSD | ||
| Absorbance | Area | Method A | Method B | Method C | |||
| 1 | 12 | 0.532 | 0.011 | 1.178 | 1.28% | 0% | 1.84% |
| 2 | 12 | 0.539 | 0.011 | 1.189 | |||
| 3 | 12 | 0.549 | 0.011 | 1.145 | |||
| 4 | 12 | 0.552 | 0.011 | 1.156 | |||
| 5 | 12 | 0.544 | 0.011 | 1.177 | |||
| 6 | 12 | 0.547 | 0.011 | 1.134 |
Method A (Zero order spectrophotometric method), method B (First-order spectrophotometric method), and method C (Area under the curve spectrophotometric method).
Table 3: Capecitabine accuracy observations for methods A and C
| Level | Conc. (µg/ml) |
Amount of drug added (µg/ml) | Amount recovered (µg/ml) | % Recovery | |||
| Pure | Formulation | Method | Method | ||||
| A | C | A | C | ||||
| 50% | 4.5 | 2 | 2.5 | 4.48 | 4.38 | 1.85 % | 1.92 % |
| 4.5 | 2 | 2.5 | 4.32 | 4.35 | |||
| 4.5 | 2 | 2.5 | 4.43 | 4.51 | |||
| 100% | 9 | 2 | 7 | 9.03 | 8.89 | 0.32 % | 0.06% |
| 9 | 2 | 7 | 8.98 | 8.88 | |||
| 9 | 2 | 7 | 8.98 | 8.88 | |||
| 150% | 13.5 | 2 | 11.5 | 13.43 | 13.49 | 0.34 % | 0.14% |
| 13.5 | 2 | 11.5 | 13.34 | 13.51 | |||
| 13.5 | 2 | 11.5 | 13.40 | 13.53 | |||
Method A (Zero order spectrophotometric method), method C (Area under the curve spectrophotometric method).
Accuracy
The percentage of recovery values in the accuracy studies demonstrates that the proposed method is accurate and that interference response exists. Three replicate measurements using three different methods, A, B, and C, showed that the percent recovery was within the allowed ranges (tables 3 and 4).
Table 4: Capecitabine accuracy observations for methods B
| Level | Conc. (µg/ml) | Amount of drug added (µg/ml) | Amount recovered (µg/ml) | % Recovery | |
| Pure | Formulation | ||||
| 50% | 5 | 2 | 3 | 5.01 | 0.34% |
| 5 | 2 | 3 | 5.01 | ||
| 5 | 2 | 3 | 4.98 | ||
| 100% | 10 | 2 | 8 | 9.92 | 0.35% |
| 10 | 2 | 8 | 9.95 | ||
| 10 | 2 | 8 | 9.99 | ||
| 150% | 15 | 2 | 13 | 15.01 | 0.17% |
| 15 | 2 | 13 | 14.97 | ||
| 15 | 2 | 13 | 15.02 |
Method B (First-order spectrophotometric method)
Robustness
Table 5: The capecitabine robustness data for several approach techniques using UV techniques
| Method | Condition | %RSD |
| A | Wavelength 237 nm | 0.41 |
| Wavelength 241 nm | 0.34 | |
| B | Wavelength 229 nm | 0.12 |
| Wavelength 233 nm | 0.23 | |
| C | Wavelength 228 nm to 246 nm | 1.32 |
| Wavelength 232 nm to 250 nm | 1.44 |
*Mean of six observations (n=6). Method A (Zero order spectrophotometric method), Method B (First-order spectrophotometric method), and Method C (Area under the curve spectrophotometric method). All the parameters were passed with no notable changes. The percent RSD was within the acceptable range (table 5).
Assay
The commercially available Capegard (500 mg) formulations of capecitabine assay were carried out, and the purity percentage was assessed by methods A, B, and C. Neither substantial variation was found during the percentage purity analysis. The interpretation findings for the marketed tablets of capecitabine are depicted in table 6.
Table 6: Assay data for the commercially available capecitabine formulations (Capegard 500 mg) using UV techniques
| Drug and label claim | Amount estimated (mg/tab) | Purity (% w/w)±S. D, (%RSD) | ||||
| Method | Method | |||||
| A | B | C | A | B | C | |
| Capegard (500 mg) | 499±0.52 | 499±0.44 | 499±0.22 | 99.56±0.27 (0.25%) | 99.61±0.23 (0.21%) | 99.64±0.12 (0.12%) |
*Mean of three observations (n=3), (mean±SD). Method A (Zero order spectrophotometric method), Method B (First-order spectrophotometric method), and Method C (Area under the curve spectrophotometric method).
Sensitivity
In the LOD analysis, the detection limits for methods A, B, and C were 0.36, 0.63, and 0.19 µg/ml, while the quantitation limits were 1.08, 1.9, and 0.59 µg/ml. Table 7 displays the relevant LOD and LOQ values for capecitabine.
Stress degradation studies
Studies on stress degradation were carried out under various stressful conditions, but no significant degradation was observed. The highest degradation percentage was observed in oxidation stress tribunals, where methods A, B, and C observed 11.46, 18.18, and 12.91% of degradation, respectively (fig. 8).
Table 7: Employing UV techniques, capecitabine's sensitivity assessments (LOD and LOQ)
| Method | LOD (μg/ml) | LOQ (μg/ml) |
| Method A | 0.36 | 1.08 |
| Method B | 0.63 | 1.9 |
| Method C | 0.19 | 0.59 |
*Mean of three observations (n=3). Method A (Zero order spectrophotometric method), Method B (First-order spectrophotometric method), and Method C (Area under the curve spectrophotometric method).

A B

C
Fig. 8: The oxidative stress degradation studies spectrum for methods A, B, and C

A B

C
Fig. 9: The acid stress degradation studies spectrum for methods A, B, and C
Studies on acid stress degradation indicated that methods A, B, and C exhibited 9.35, 18.18, and 4.21% degradation, respectively (fig. 9).
In investigations on alkali stress degradation, it was revealed that methods a, b, and c exhibited degradation rates of 4.38, 9.09, and 2.02%, respectively (fig. 10).

A B

C
Fig. 10: The alkali stress degradation studies spectrum for methods A, B, and C
Dry heat stress degradation studies observed less degradation, with methods A and C found to be 2.48 and 1.05%. However, no degradation was seen for method B throughout the analysis period (fig. 11).
Regarding photolytic stress degradation, methods A and C showed degradation percentages of 0.38 and 0.35; however, method B showed no degradation at any stage (fig. 12).

A B

C
Fig. 11: The thermal stress degradation studies spectrum for methods A, B, and C

A B

C
Fig. 12: The photolytic stress degradation studies spectrum for methods A, B, and C, The suggested spectrophotometric analytical technique for determining was simple, rapid, accurate, precise, and inexpensive
Table 8: Overview of capecitabine UV-spectrophotometric validation parameters
| Parameters | Method A | Method B | Method C |
| λmax | 239 nm | 231 nm | 230-248 nm |
| Linearity (μg/ml) | 6-18 μg/ml | 6-20 μg/ml | 6-18 μg/ml |
| Regression coefficient | R² = 0.9992 | R² = 0.9967 | R² = 0.9973 |
| Regression equation (y=mx+c) | y = 0.0554x-0.1414 | y = 0.0011x+0.0024 | y = 0.1141x-0.2421 |
| Intra-day precision (% RSD) | 1.58% | 0% | 0.77% |
| Inter-day precision (% RSD) | 1.28% | 0% | 1.84% |
| Robustness (% RSD) | 0.34-0.41 | 0.12-0.23 | 1.32-1.44 |
| LOD (μg/ml) | 0.36 | 0.63 | 0.19 |
| LOQ (μg/ml) | 1.08 | 1.90 | 0.59 |
Method A (Zero order spectrophotometric method), Method B (First-order spectrophotometric method), and method C (Area under the curve spectrophotometric method).
Table 9: The desired outcome of capecitabine stress degradation studies employing UV-spectrophotometric
| Degradation condition | Method A | Method B | Method C | % Degradation | ||
| Absorbance | Area | Method | ||||
| A | B | C | ||||
| Oxidation | 0.464 | 0.009 | 0.991 | 11.46% | 18.18% | 12.91% |
| Acid | 0.475 | 0.009 | 1.090 | 9.35% | 18.18% | 4.21% |
| Alkali | 0.501 | 0.010 | 1.115 | 4.38% | 9.09% | 2.02% |
| Dry Heat | 0.511 | 0.011 | 1.126 | 2.48% | 0% | 1.05% |
| Photolytic | 0.522 | 0.011 | 1.134 | 0.38% | 0% | 0.35% |
Method A (Zero order spectrophotometric method), Method B (First-order spectrophotometric method), and Method C (Area under the curve spectrophotometric method).
The suggested spectrophotometric analytical technique for determining was simple, rapid, accurate, precise, and inexpensive. Capecitabine in commercial formulations and bulk can be distinguished using recently established methodologies. Established methods A (zero order spectrophotometric approach), B (first order spectrophotometric method), and C (area under the curve spectrophotometric method), each of which showed excellent results in the study of validation following the ICH guidelines. The ICH guidelines and limitations accept the achieved linearity, accuracy, precision, and robustness. As mentioned above, the linearity investigation of the three approaches reveals a linear curve with an excellent R2 value (0.99). In other parameters, such as accuracy, precision, and robustness, the %RSD findings are less than 2%, indicating the usefulness of the methods with ICH criteria [23]. According to assay studies, the capecitabine commercial formulation (capegard 500 mg) contained 99 to 100% of the drug and showed a %RSD value of less than 2%. Studies on stress degradation have shown that minimal degradation was observed during the investigation under various applied stress conditions [15].
The current research proposes an accurate, efficient, and specific for routine capecitabine analysis. It can be used to identify related substances or other contaminants during storage conditions and estimate the analyte of interest without interferences. Different methods (such as the zero-order spectrophotometric method, First-order spectrophotometric, and area under the curve spectrophotometric) can provide a more accurate analysis with validity or enforceability. As a result, according to ICH Q2 (R1) criteria, the UV methods can obtain high specificity in less time while analyzing capecitabine and its formulations.
The authors are grateful for the research facilities provided by GITAM (Deemed to be University), Visakhapatnam, Andhra Pradesh, India.
Nil
All authors have contributed equally.
For this work, the authors report no conflicts of interest.
Pentheroudakis G, Twelves C. The rational development of capecitabine from the laboratory to the clinic. Anticancer Res. 2002 Nov-Dec;22(6B):3589-96. PMID 12552961.
Gelmon K, Chan A, Harbeck N. The role of capecitabine in first-line treatment for patients with metastatic breast cancer. Oncologist. 2006 Feb;11Suppl 1:42-51. doi: 10.1634/theoncologist.11-90001-42, PMID 16971739.
Aprile G, Mazzer M, Moroso S, Puglisi F. Pharmacology and therapeutic efficacy of capecitabine: focus on breast and colorectal cancer. Anticancer Drugs. 2009 Apr;20(4):217-29. doi: 10.1097/CAD.0b013e3283293fd4, PMID 19247178.
O’Shaughnessy JA, Kaufmann M, Siedentopf F, Dalivoust P, Debled M, Robert NJ. Capecitabine monotherapy: a review of studies in first-line her-2-negative metastatic breast cancer. Oncologist. 2012 Apr;17(4):476-84. doi: 10.1634/theoncologist.2011-0281, PMID 22418569.
Wagstaff AJ, Ibbotson T, Goa KL. Capecitabine: a review of its pharmacology and therapeutic efficacy in the management of advanced breast cancer. Drugs. 2003 Feb;63(2):217-36. doi: 10.2165/00003495-200363020-00009, PMID 12515569.
Sternberg CN, Reichardt P, Holland M. Development of and clinical experience with capecitabine (Xeloda) in the treatment of solid tumours. Eur J Oncol Nurs. 2004;8Suppl 1:S4-S15. doi: 10.1016/j.ejon.2004.06.005, PMID 15341878.
Walko CM, Lindley C. Capecitabine: a review. Clin Ther. 2005 Jan;27(1):23-44. doi: 10.1016/j.clinthera.2005.01.005, PMID 15763604.
Cadoo KA, Gajria D, Suh E, Patil S, Theodoulou M, Norton L. Decreased gastrointestinal toxicity associated with a novel capecitabine schedule (7 d on and 7 d off): a systematic review. 2016 Mar;2:16006.
Kotsori AA, Noble JL, Ashley S, Johnston S, Smith IE. Moderate dose capecitabine in older patients with metastatic breast cancer: a standard option for first-line treatment? Breast. 2010 Oct;19(5):377-81. doi: 10.1016/j.breast.2010.03.023, PMID 20392643.
Rothenberg ML. Current status of capecitabine in the treatment of colorectal cancer. Oncol (Williston Park). 2002 Dec;16(12)Suppl 14:16-22. PMID 12520635.
McGavin JK, Goa KL. Capecitabine: a review of its use in the treatment of advanced or metastatic colorectal cancer. Drugs. 2001 Feb;61(15):2309-26. doi: 10.2165/00003495-200161150-00015, PMID 11772141.
Kurra P, Babu PS, Babu K. Development and validation of UV spectrophotometric method and RP-HPLC method for estimation of capecitabine in bulk and tablet dosage forms. Int J Appl Pharm. 2016 Jan;8(3):24-9.
Kumbhar SC, Salunkhe VR. UV spectrophotometric method development for capecitabine eudragit and chitosan-based microspheres and its validation. IJPBR. 2013 Mar;1(3):32-8. doi: 10.30750/ijpbr.1.3.7.
Bhatia MS, Raut JN, Barve AC, Patil PS, Jadhav SD. HPLC assay method development and validation for quantification of capecitabine in tablets and forced degradation samples. Marmara Pharm J. 2017 Mar;21(3):660-8. doi: 10.12991/marupj.323588.
Ramakrishna B, Mondal S, Chakraborty S. A new stability indicating method development and validation report for the assay of nivolumab by RP-UPLC. J Pharm Neg Results. 2022 Nov;13(7):1020-32.
Andhale SM, Nikalje APG. Simultaneous estimation of azilsartan and cilnidipine in bulk by RP-HPLC and assessment of its applicability in marketed tablet dosage form. Int J App Pharm. 2022 Jan;14(1):116-23. doi: 10.22159/ijap.2022v14i1.42208.
Ramakrishna B, Mondal S, Chakraborty S. Development and validation of novel method for the determination of favipiravir and peramivir using reverse-phase ultraperformance liquid chromatography. Ymer. 2022 Nov;21(10):1618-32.
Munir MA, Inayatullah A, Ibrahim S, Rimba Putri IR, Emelda E, Fatmawati A. A modest UV spectrophotometric assisted by chemometric approach for verification of acetaminophen level in various manufactured tablets and syrups in Indonesian pharmacies. Int J App Pharm. 2023 Jan;15(1):195-205. doi: 10.22159/ijap.2023v15i1.46290.
Vainchtein LD, Rosing H, Schellens JHM, Beijnen JH. A new, validated HPLC-MS/MS method for the simultaneous determination of the anti-cancer agent capecitabine and its metabolites: 5′-deoxy-5-fluoro cytidine, 5′-deoxy-5-fluorouridine, 5-fluorouracil and 5-fluorodihydrouracil, in human plasma. Biomed Chromatogr. 2010 Apr;24(4):374-86. doi: 10.1002/bmc.1302, PMID 19650151.
Licea Perez H, Wang S, Bowen C. Development of a sensitive and selective LC-MS/MS method for the determination of alpha-fluoro-beta-alanine, 5-fluorouracil and capecitabine in human plasma. J Chromatogr B Analyt Technol Biomed Life Sci. 2009 Apr;877(11-12):1040-46. doi: 10.1016/j.jchromb.2009.02.025, PMID 19285927.
Wang Z, Li X, Yang Y, Zhang F, Li M, Chen W. A sensitive and efficient method for determination of capecitabine and its five metabolites in human plasma based on one-step liquid-liquid extraction. J Anal Methods Chem. 2019 Jan;2019:9371790. doi: 10.1155/2019/9371790, PMID 30719375.
United States pharmacopoeia. The United States of America Pharmacopeial Convention. Vol. 3669. US Pharmacopeia 42; 2019; II. p. NF37.
Anonymous. Validation of analytical procedures: methodology. International Conference on Harmonization. Vol. Q2B (CPMP/ICH/281/95); 2005.
Mondal S, Reddy GS, Mondal P, Prathyusha VS, Nair AP, Rahaman ST. A new stability indicating ultra-performance liquid chromatography-PDA method for the estimation of valganciclovir in bulk and tablet dosage form. Pharm Methods. 2018 Dec;9(2):94-8. doi: 10.5530/phm.2018.2.16.
Seshukumar D, Abhishek GG, Kona SS, Gupta RS, Semwal VP. Development and validation of stability indicating RP-UPLC method for simultaneous determination in fixed-dose combination of Ezetimibe and Simvastatin. J Chromatogr Sep Tech. 2012 Mar;3(3):1-7.
Lasure A, Ansari A, Kalshetti M. UV Spectrophotometric analysis and validation of acyclovir in solid dosage form. Int J Curr Pharm Sci 2020;12:100-3. doi: 10.22159/ijcpr.2020v12i2.37501.