
Nanotechnology Research Lab, Department of Pharmacy, Shri G. S. Institute of Technology and Science, Indore 452003, (M. P.), India
Email: soniprakashpharma@gmail.com
Received: 31 Jan 2023, Revised and Accepted: 14 Mar 2023
ABSTRACT
Objective: The present research is aimed to design and optimize a liposomal gel formulation of salicylic acid (SA) for enhanced drug permeation, higher skin drug retention, sustained release drug delivery and reduced side effects in the effective treatment of foot corn.
Methods: Formulation designing and optimization of SA-loaded liposomes was done by box-Behnken experimental design using the three-factor, three-level approach. Phospholipid content, cholesterol content and drug content were selected as independent variables; while the critical quality attributes (CQAs) of liposomal formulation like particle size, PDI, zeta potential, entrapment efficiency and cumulative % drug release were considered as response variables. The SA-loaded liposomes were prepared by ethanol injection method and were characterized for desired CQAs. Finally, topical gel formulation of SA-loaded liposomes was developed and evaluated for drug content, homogeneity, spreadability, in vitro drug release, drug release kinetics, ex-vivo drug permeation and skin retention properties.
Results: The particle size, PDI, zeta potential, entrapment efficiency and cumulative % drug release of SA-loaded liposomes was found to be 261.2 nm, 0.28, 0.7 mV, 57.53% and 99.57%, respectively. Developed topical gel formulation of SA-loaded liposomes exhibited a sustained drug release profile (64.48% cumulative release over 360 min) following Higuchi model kinetics. The developed formulation showed almost 2-fold enhanced drug permeation (i.e., 26.50%) and more than 2-fold higher drug retention (i.e., 10.90%) on porcine ear skin as compared to the plain salicylic acid gel.
Conclusion: The SA-loaded liposomes and developed topical gel formulation possessed all desired CQAs. The in vitro drug release kinetics, ex-vivo drug permeation and skin retention studies confirmed the suitability of the developed formulation for topical application in the effective treatment of foot corn.
Keywords: Salicylic acid, Liposomes, Box-behnken design, Liposomal gel, Topical drug delivery, Foot corn, Design of experiment, Optimization
© 2023 The Authors. Published by Innovare Academic Sciences Pvt Ltd. This is an open access article under the CC BY license (https://creativecommons.org/licenses/by/4.0/)
DOI: https://dx.doi.org/10.22159/ijap.2023v15i3.47455. Journal homepage: https://innovareacademics.in/journals/index.php/ijap
Foot corn is a widespread skin condition that affects many individuals, causing pain and difficulty in walking. It is a small patch of thick, dead skin that develops on the toes, usually as a result of pressure or friction [1]. The center of a corn is a dry, hard papule and typically flesh-colored above the bony prominence generally caused by an overgrowth of keratin, leading to thickening of the skin [2, 3]. Though the topical route of drug administration is an appropriate and targeted approach for treating foot corns but the presently available conventional formulations like creams, gels and ointments does not deliver the drug effectively across the desired layers of the skin. There are various types of drug substances presently used in the treatments of foot corn, including topical keratolytic agents, such as salicylic acid, hydrocolloid dressings, silver nitrate and urea. Amongst all these, salicylic acid (SA) is considered as the finest medication to treat foot corn as it helps to exfoliate and remove the outer layer of the skin. However, it may cause skin irritation, dryness, burning sensations and may also lead to salicylate poisoning if used in high amounts or applied to large areas of skin [4]. On the other hand, poor drug penetration limits its effectiveness when applied in small doses. So, the development of a suitable and effective drug delivery system is remained a challenge which can provide the desired therapeutic efficacy in minimal dose administration.
Liposomes are extensively studied and reported for their ability to carry drugs even through barrier. It can efficiently administer drug within skin and are designed to improve the delivery of drugs to the skin by encapsulating the active ingredient and protecting it from degradation [5, 6]. Liposomes are biodegradable phospholipid vesicles and have been reported to enhance drug permeation, provide sustained drug release, increase skin drug retention and have the flexibility to deliver both hydrophilic and lipophilic drugs [7]. The lipid bilayer also helps to improve the drug permeation through the skin and gradually break down and releases the active ingredients, improving the drug delivery into the skin and to target specific cells or tissues [8, 9].
Encapsulating the salicylic acid in liposomes can minimize exposure to the high amount of free salicylic acid, potentially controlling its irritant properties while enhancing drug penetration and sustained release resulting into less frequent drug application. Further, the liposomal dispersions, when applied topically, may have short retention on the site of application; thus, its final development as topical gel/semisolid formulation may be advantageous [10]. Liposomal gels have been shown to enhance skin retention, deliver higher and prolonged topical drug concentrations without increasing systemic absorption [10, 11]. Integrating liposomes into a gel matrix can also enhance their stability and boost percutaneous drug penetration [12].
For optimal benefits of liposomal drug delivery systems in topical applications, it is crucial to precisely control their key characteristics during formulation development, including particle size, polydispersity index, zeta potential, drug entrapment efficiency and release rate. Optimum control of these critical attributes can maximize the effectiveness of the liposomal delivery system, leading to improved treatment outcomes. The optimization of drug-loaded liposomes involves the selection of an appropriate method of preparation, type of phospholipid and its concentration, as well as cholesterol and drug concentration, solvent system and other process parameters. The optimization aimed to enhance the characteristics of the drug-loaded liposomes. Therefore, the objective of the present research work is to design and optimize salicylic acid-loaded liposomal gel formulation for enhanced drug permeation and skin retention, decreased side effects and reduced dosing frequency overcoming the limitations of conventional topical dosage forms in the effective treatment of foot corns with better patient compliance. The liposomes were prepared by ethanol injection method using soy phosphatidylcholine and formulation optimization was done by box-Behnken experimental design, selecting phospholipid content, cholesterol content and drug content as independent variables and particle size, PDI, zeta potential, entrapment efficiency and cumulative % drug release at different time intervals as response variables. The developed SA-loaded liposomes and topical gel were characterized for desired critical quality attributes, in vitro drug release kinetics, ex-vivo drug permeability and skin retention studies.
Materials
Salicylic acid (SA) was purchased from M/s. Sigma Aldrich (India). Soy phosphatidylcholine was procured as gift sample from M/s. Amilife (Mumbai, India) and cholesterol was purchased from M/s. Sigma–Aldrich (Bangalore, India). All other chemicals and reagents used were of analytical grade.
Methods
Preparation of salicylic acid (SA) loaded liposomes
Liposomes were prepared by ethanol injection method as schematically shown in fig. 1. Accurately weighed amounts of phospholipid (soy phosphatidylcholine), cholesterol and salicylic acid were dissolved in absolute ethanol and the resultant solution was injected dropwise in a preheated aqueous phase, i.e., pH 6.8 phosphate buffer and polyethylene glycol 200 (4:1 volume ratio). The mixture was stirred and maintained at 50-55 °C temperature for 120 min duration using a hot plate magnetic stirrer. The resulting liposomal dispersion so obtained was left overnight at 4°C for maturation.
The computer-aided optimization of SA-loaded liposomes was done by Design Expert trial version software (Stat-Ease Inc., Minneapolis, MN) using Box-Behnken experimental design taking a three-factor, three-level approach [13]. The independent variables in the experimental design were phospholipid content (mg), cholesterol content (% of lipid content) and drug content (mg/ml). The desired critical quality attributes, i.e., particle size, PDI, zeta potential, entrapment efficiency and cumulative % drug release at 15 min, 30 min, 60 min, 120 min, 240 min and 360 min were selected as response variables. The variables and their levels are depicted in table 1. The 15 runs (formulation trials) suggested by the Box-Behnken design were prepared and characterized for response variables. The observation are recorded in table 2. A 3D response surface plot was also generated to show how the independent and dependent variables interacted. ANOVA test (p-value<0.05) was used to determine the significance of the factors on the responses and the model. Correlation coefficients (R2) and adjusted R2 were used to assess the model's adequacy [14]. The statistical data are shown in table 3.
The polynomial equation generated by this experimental design is given as,
R = β0+β1 A+β₂ B+β 3 C+β12 AB+β13 AC+β23 BC+β11 A2+β22 B2+β33 C2
In this scenario, A, B and C are the coded levels of independent variables; R is the response variable, β0 is the constant, β1, β2 and β3 are the linear coefficients calculated from the observed experimental values of R. The interaction coefficients are represented by β12, β13 and β23 and the quadratic coefficients are represented by β11, β22 and β33 [15, 16].

Fig. 1: Schematic diagram of the ethanol injection method
Table 1: Independent and response variables in box-behnken experimental design
| Independent variables | Units | Levels | ||
| Low | Medium | High | ||
| A: Phospholipid | mg | 200 | 350 | 500 |
| B: Cholesterol | % | 0 | 10 | 20 |
| C: Drug | mg/ml | 10 | 15 | 20 |
| Response variables | Units | Constraints | ||
| R1: Particle size | Nm | Minimize | ||
| R2: PDI | Minimize | |||
| R3: Zeta potential | mV | Maximize | ||
| R4: Entrapment efficiency | % | Maximize | ||
| R5: Cumulative % drug release at 15 min | % | Maximize | ||
| R6: Cumulative % drug release at 30 min | % | Maximize | ||
| R7: Cumulative % drug release at 60 min | % | Maximize | ||
| R8: Cumulative % drug release at 120 min | % | Maximize | ||
| R9: Cumulative % drug release at 240 min | % | Maximize | ||
| R10: Cumulative % drug release at 360 min | % | Maximize |
Characterization of SA-loaded liposomes
Particle size and polydispersity index
The particle size of liposomes affects their ability to penetrate the skin barrier and smaller liposomes generally exhibits better penetration. PDI is a measure of the size distribution of the liposomes and a low PDI (narrow size distribution) is desirable for more consistent skin permeation. The particle size distribution and polydispersity index of SA-loaded liposomes were determined by a particle size analyzer (Horiba Scientific SZ-100) using dynamic light scattering technique [17]. The samples were diluted in purified water and measured at 25 °C. The size distribution of the particles was calculated from the diffraction pattern and shown as a particle size distribution curve.
Zeta potential is a measure of the surface charge of particles suspended in a liquid medium which influences their interaction with the skin. The zeta potential was determined using the zeta sizer (Horiba Scientific SZ-100) by measuring the particle electrophoretic mobility [18].
The entrapment efficiency (% EE) of SA-loaded liposomes were determined by the centrifugal ultrafiltration method [19]. The liposomal formulation was transferred to Amicon® Ultra-0.5 centrifugal filters (Millipore Inc.) of 100 kDa molecular weight cutoff and centrifuged at 10000 rpm for 30 min to separate the free drug from the entrapped drug in liposomes as shown in fig. 2. The entrapped drug in the form of SA-loaded liposomes remained on the surface of the filter membrane at upper tube and the free drug present is in filtrate collected into the bottom tube of the unit. The filtrate was suitably diluted with ethanol and analyzed spectrophotometrically on a double-beam UV-visible spectrophotometer (Shimadzu® 1700) at 296 nm to estimate the amount of unentrapped drug. The amount of entrapped drug was calculated by subtracting the amount of unentrapped drug from the total drug taken.
Drug entrapment efficiency = 
X 100

Fig. 2: Schematics of centrifugal ultrafiltration method
In vitro drug release study
The in vitro drug release characteristic of SA-loaded liposomes was studied by dialysis method [20] using 12-14 kDa MWCO dialysis membrane-70 (HiMedia) as schematically represented in fig. 3. A treated dialysis bag (5 cm length) was filled with 1 ml of liposomal dispersion and placed into phosphate buffer pH 5.5 maintained at 37±0.5 °C and continuously stirred at 250 rpm. Samples were taken at regular intervals up to 360 min and replaced with fresh buffer. The samples were analyzed at 296 nm on a double-beam UV-Visible spectrophotometer (Shimadzu®1700).
Preparation of optimized formulation of SA-loaded liposomes
The software predicted an optimized SA-loaded liposomes taking 261.04 mg of phospholipid content, 0 % of cholesterol content and 17.59 mg/ml of drug content of (as shown in table 4) having the highest desirability value of 0.860. The predicted optimized formulation of SA-loaded liposomes were prepared according to the composition recommended by the software and evaluated for each response variable to verify the reliability of the software-predicted optimized formulation. Comparing the theoretically predicted response values with the experimentally observed response values of optimized SA-loaded liposomes, the relative error (%) was determined; which is shown in table 4.
Drug content of optimized SA-loaded liposomes
The drug content of SA-loaded liposomes was evaluated by lysis of the liposome. One ml of the collected liposome concentrate was lysed with absolute ethanol and further dilution was made up with phosphate buffer pH 6.8. The total amount of drug entrapped in liposome concentrate was then estimated using a UV-visible spectrophotometer (Shimadzu® 1700).
Drug content = 
Differential scanning calorimetry
Differential scanning calorimetry (DSC) is a technique that is used to measure the thermal properties of materials, such as their melting point, heat capacity and enthalpy. DSC studies are carried out to study the thermal stability of drugs and drug formulations, as well as the interactions between drugs and excipients [21, 22]. The thermal property of optimized SA-loaded liposome, salicylic acid, cholesterol and the physical mixture was studied using a differential scanning calorimeter (DSC-6000 Perkin Elmer). Approximately 3 mg of salicylic acid drug sample was placed in sealed aluminum pans and heated from 50 to 300 °C in a dry nitrogen atmosphere at a heating rate of 20 °C/min [23]. The DSC thermogram was recorded which showed thermal transitions occurred in the samples during the heating process, such as melting or decomposition [24].
The topical gel formulation of an optimized batch of SA-loaded liposomes was developed using carbopol as gelling agent for the improvement of rheological properties and enhancement of drug retention within the skin layer [25]. The 2% w/w gel was prepared by dissolving accurately weighed carbopol 934 in distilled water. Methylparaben (0.1%) and propylparaben (0.1%) were added to this and then the mixture was neutralized using triethanolamine. The optimized SA-loaded liposomes (equivalent to 2% salicylic acid) was then gradually added to the carbopol gel base with vigorous and continuous stirring [26]. Similarly, a plain (non-liposomal) gel formulation of salicylic acid was also prepared for comparative study.
Evaluation of SA-loaded liposomal gel formulation
The developed gel formulation was examined visually to assess its appearance and homogeneity. The clarity of formulation was also studied against white and black backgrounds [27].
pH of the SA-loaded liposomal gel was measured by a digital pH meter (Cyberscan 510). One gram of formulated gel was dissolved in 100 ml of milli-Q water and left for one hour. Readings were taken three times with the electrode dipped in the gel solution and an average value was calculated [28].
The spreadability of gel preparations is defined as the ability of the gel to be spread on the surface of the skin. Weighed amount of 0.5 g of gel sample was pressed between two slides and kept for 5 min where no further spreading was anticipated. The diameter of the spread circle was then measured in centimeters and used as a standard for spreadability [29, 30].
Drug content is a critical quality characteristic that must be closely monitored and controlled to guarantee the safety and effectiveness of the drug product. One gram of the formulated gel was dissolved in one hundred milliliters of ethanol. Aliquots of various concentrations were created using the proper dilutions and then analyzed at 296 nm using a double-beam UV-Visible spectrophotometer (Shimadzu® 1700) [31].
The in vitro drug release profile of SA loaded liposomes was studied by dialysis method [20] using 12-14 kDa MWCO dialysis membrane-70 (HiMedia). A treated dialysis bag (5 cm length) was filled with 1 ml of liposomal gel and placed into phosphate buffer pH 5.5 maintained at 37±0.5 °C and continuously stirred at 250 rpm. Samples were taken at regular intervals up to 360 min and replaced with fresh buffer. The samples were analyzed at 296 nm on a double-beam UV-Visible spectrophotometer (Shimadzu®1700).
To study the rate and extent of drug release from a drug delivery system, the release kinetics of the drug was investigated. The in vitro drug release data of the optimized SA-loaded liposome formulation were plotted using various drug release kinetic models, including zero order, first order, Hixon-Crowel and Korsmeyer-Peppas. The R2 values of each equation were calculated and the best-fitting drug release kinetic model was selected based on the comparison of correlation coefficient (R2) values of different models [32-34]. The data of release kinetics and model fitting of SA-loaded liposomes was listed in table 5.
The ex-vivo drug permeation of the developed formulation across the freshly excised porcine skin was studied using franz diffusion apparatus. The porcine skin was procured from the nearby slaughterhouse. The effective permeability area and receptor cell volume for the permeation study were 2.53 cm2 and 15 ml, respectively. The receptor compartment was filled with 15 ml of phosphate buffer pH 5.5 and maintained at 37±0.5 °C using heating and circulating water bath [35]. SA-loaded liposomal gel and the salicylic acid plain gel was instilled on porcine skin placed on the donor compartment. The sample was withdrawn from the receptor compartment and replaced with an equal amount of fresh buffer to maintain sink condition. The drug concentration was determined at 296 nm using a double-beam UV-visible spectrophotometer (Shimadzu®1700). The comparison of cumulative drug permeation vs. time graphs for an optimized liposomal gel formulation containing salicylic acid and a plain salicylic acid gel was plotted. The graphs were used to calculate the apparent permeability coefficient (Papp) and steady-state drug permeation flux (Jss).
The drug retention on the skin layer was studied on the porcine skin tissue after the ex-vivo drug permeation study. The excess formulation was removed from the porcine skin using phosphate buffer pH 5.5 [35, 36]. The amount of salicylic acid in the porcine skin was determined by soaking the skin in ethanol, vortexing for 15 min to extract the drug and leaving it undisturbed overnight [37]. The amount of salicylic acid in the ethanol was then measured at 296 nm using a double-beam UV-visible spectrophotometer (Shimadzu® 1700).
Various types of phospholipids were explored in preparation of the liposomal system and screened based on structural uniformity, solubility in ethanol and sedimentation rate for the development of liposomal formulation. Soy phosphatidylcholine was selected because of its good solubility in ethanol and the formation of small uniform vesicles. Cholesterol concentration was optimized based on vesicle uniformity and entrapment efficiency. Polyethylene glycol 200 used in aqueous media serves as a cosolvent as well as a humectant, penetration enhancer and skin moisturizer [38]. The mixture of phosphate buffer pH 6.8 and polyethylene glycol 200 was used to improve the entrapment efficiency of the drug.
The Box-Behnken design with three center points suggested a total of fifteen trial batches and the results were obtained from the response surface variables. Sequential comparison and the lack of fit tests were used to select the best models. A sum of squares, R–squared and p-value statistical analysis was used to evaluate the design. The three-dimensional response surface plots constructed for each response variable (fig. 4-10) demonstrate the impact of changes to independent factors and their interactions on response variables. The influence of several independent parameters interacting at various levels as well as the correlation between each independent variable and the response variable were all independently assessed for every response variable of the liposomal formulation.

Fig. 3: Schematic diagram of in vitro drug release study
Table 2: Observed response of the optimization batches of SA loaded liposomes suggested by box-behnken design
| Batch No. | A: Phospholipid (mg) |
B: Cholesterol (%) |
C: Drug (mg/ml) |
R1: Particle size (nm) |
R2: PDI |
R3: Zeta potential (mV) |
R4: Entrapment efficiency (%) |
R5: CDR at 15 min (%) |
R6: CDR at 30 min (%) |
R7: CDR at 60 min (%) |
R8: CDR at 120 min (%) |
R9: CDR at 240 min (%) |
R10: CDR at 360 min (%) |
| SAL1 | 500 | 10 | 20 | 382.9 | 0.635 | -0.9 | 67.69 | 32.442 | 47.457 | 62.317 | 83.918 | 87.546 | 96.916 |
| SAL2 | 200 | 10 | 20 | 271.6 | 0.231 | -0.8 | 64.76 | 33.758 | 51.973 | 71.818 | 88.210 | 93.892 | 94.181 |
| SAL3 | 350 | 0 | 20 | 268.3 | 0.181 | 0.4 | 69.49 | 33.171 | 53.476 | 75.412 | 96.349 | 97.167 | 97.483 |
| SAL4 | 500 | 10 | 10 | 425.2 | 0.731 | -1.0 | 62.73 | 22.289 | 48.619 | 66.274 | 82.060 | 88.939 | 89.513 |
| SAL5 | 500 | 0 | 15 | 322.1 | 0.400 | 0.9 | 62.17 | 30.721 | 50.369 | 72.888 | 88.973 | 96.411 | 97.782 |
| SAL6 | 350 | 20 | 20 | 368 | 0.250 | -0.6 | 58.48 | 24.950 | 44.581 | 69.303 | 74.390 | 86.022 | 96.677 |
| SAL7 | 350 | 10 | 15 | 243.1 | 0.589 | 0.1 | 71.67 | 38.800 | 53.161 | 74.540 | 89.240 | 93.768 | 94.133 |
| SAL8 | 350 | 0 | 10 | 267.7 | 0.649 | 0.8 | 47.15 | 19.200 | 51.190 | 66.427 | 75.196 | 84.713 | 98.088 |
| SAL9 | 200 | 10 | 10 | 281.9 | 0.294 | -2.0 | 65.44 | 27.260 | 47.828 | 65.124 | 81.889 | 91.288 | 94.600 |
| SAL10 | 350 | 10 | 15 | 263.2 | 0.410 | 0.1 | 72.27 | 37.583 | 53.392 | 74.198 | 89.405 | 93.337 | 94.035 |
| SAL11 | 500 | 20 | 15 | 246.7 | 0.335 | -0.9 | 67.62 | 29.911 | 48.816 | 70.840 | 90.628 | 96.502 | 99.504 |
| SAL12 | 200 | 20 | 15 | 248.3 | 0.191 | -1.0 | 64.29 | 33.831 | 54.938 | 76.615 | 91.607 | 97.838 | 98.474 |
| SAL13 | 350 | 10 | 15 | 249 | 0.399 | 0.2 | 71.23 | 38.974 | 53.427 | 74.285 | 88.972 | 93.848 | 94.309 |
| SAL14 | 350 | 20 | 10 | 257.8 | 0.274 | -0.3 | 68.97 | 32.844 | 47.913 | 61.642 | 78.679 | 85.117 | 88.433 |
| SAL15 | 200 | 0 | 15 | 221.6 | 0.379 | 0.6 | 41.61 | 35.394 | 56.355 | 83.750 | 92.453 | 97.048 | 98.370 |
#CDR: Cumulative % drug release
Effect of independent variables on particle size
Design-expert software defined the correlation between particle size (R1) and different values of independent variables by the following quadratic model equation:
R1= 251.77+44.19A+5.14B+7.28C-25.53AB-8.00AC+27.40BC+28.93A2-21.02B2+59.70C2
Where A is the amount of phospholipid, B is the amount of cholesterol and C is the amount of drug. The independent variable in the equation that has a positive sign before its coefficient value will have an increasing influence on the particle size; those that have a negative sign will have a decreasing effect.
The particle size (R1) range of 15 optimization trial batches (SAL1–SAL15) was from 221.6 nm to 452.2 nm (as recorded in table 2). The three-dimensional response surface plots in fig. 4 illustrate the influence of independent variables on the particle size of optimization trial batches. The results indicated that the liposome particle size significantly increases with an increase in the concentration of phospholipid and cholesterol whereas an increase in the drug concentration results in a slight increase in particle size. Increased phospholipid concentration exhibits a positive impact on particle size, which might be because of the increased internal viscosity of the lipid-solvent phase, which causes a slow diffusion rate of organic solvent to the external phase [39]. However, increasing cholesterol content, due to its known lipophilic character, would have increased the hydrophobicity of the phospholipid bilayer and may have induced rupture in the vesicular membrane, widening the radius of the vesicle and generating a more thermodynamic stable form [40]. Vigorous vortexing and short sonication stages result in the formation of smaller vesicles with a more uniform size distribution [41]. Furthermore, when cholesterol content increased, so did membrane stiffness and resistance to sonication, which results in larger vesicles [42]. As the drug salicylic acid is lipophilic, it will get entrapped in the liposomal bilayer and hence increase in drug amount will increase particle size.

Fig. 4: 3-D response surface plot showing the effect of (a) phospholipid and cholesterol, (b) phospholipid and drug content on particle size
Effect of independent variables on polydispersity index
The following linear model equation was generated by the Design-Expert software to define the correlation between PDI (R2) and different levels of independent variables:
R2 = 0.3965+0.1257A-0.0699B-0.0814C
The PDI (R2) range of 15 optimization trial batches (SAL1–SAL15) was from 0.181 to 0.731. Fig. 5 displays surface plots showing the influence of independent variables on the PDI value of optimization batches. The amount of phospholipid in SA-loaded liposomes had a significant impact on the PDI, but there was no significant effect on PDI value with varying drug content. Increasing the quantity of cholesterol in the phospholipid bilayer enhanced particle homogeneity (PDI). Liposomes containing more cholesterol had a low PDI (monodisperse), whereas those containing less or no cholesterol had a higher PDI (polydisperse) [43]. With the addition of more cholesterol, the distribution of liposome particle diameter was narrower [44].

Fig. 5: 3-D response surface plot showing effect of (a) phospholipid and cholesterol, (b) phospholipid and drug content on PDI
Effect of independent variables on zeta potential
The following quadratic model equation was generated by the Design-Expert software as the correlation between zeta potential (R3) and different levels of independent variables:
R3 = 0.1333+0.1625A-0.6875B+0.0750C-0.0500AB-0.2750AC+0.0250BC-0.7417A2+0.5083B2-0.5667C2
The range of zeta potential (R3) of 15 optimization trial batches (SAL1–SAL15) was from -2 to 0.9 mV. The three-dimensional response surface plots in fig. 6 depicted the influence of independent factors on zeta potential. The zeta potential of SA-loaded liposomes was observed to get increased with increasing phospholipid and drug content and decreased with increasing cholesterol content. As the phospholipid is cationic it results in the increased zeta potential of SA-loaded liposomes. As the drug salicylic acid is acidic, it will lower the pH of the formulation, which will result in an increased positive charge on the particle surface which will lead to increased zeta potential. Since the incorporation of cholesterol into the bilayer decreases the surface binding affinity between the cations in the buffer solution and the bilayer, that is why the zeta potential is slightly decreased by the increase in cholesterol content [45].

Fig. 6: 3-D response surface plot showing effect of (a) phospholipid and cholesterol (b) phospholipid and drug content on zeta potential

Fig. 7: 3-D response surface plot showing effect (a) phospholipid and cholesterol (b) phospholipid and drug content on entrapment efficiency
Effect of independent variables on drug entrapment efficiency
The following quadratic model equation was generated by Design-Expert software to describe the correlation between drug entrapment efficiency (R4) and various levels of independent variables:
R4 = 71.72+3.01A+4.87B+2.02C-4.31AB+1.41AC-8.21BC-4.33A2-8.47B2-2.23C2
The entrapment efficiency (R4) of 15 optimization trial batches ranged from 41.61 to 72.27%. Fig. 7 shows surface plots showing the influence of independent factors on drug entrapment efficiency. It was discovered that increasing the content of phospholipid and cholesterol increased the entrapment of SA loaded liposomes, whereas varying the amount of drug content had no noticeable effect on entrapment efficiency. Higher phospholipid concentrations improved the ability to encapsulate both hydrophilic and hydrophobic drugs because it causes an increase in the thickness of the lipidic liposomal membranes containing hydrophobic molecules [46]. As the level of cholesterol increases, bilayer hydrophobicity and stability increase while permeability decreases, resulting in the efficient trapping of hydrophobic drugs into bilayers as vesicles form, increasing entrapment efficiency [47].
Effect of independent variables on in vitro drug release
The software determined the correlation of cumulative % drug release at 15 min (R5), 30 min (R6), 60 min (R7), 120 min (R8), 240 min (R9) and 360 min (R10) with the various levels of independent variables using the quadratic model equations given below:
R5 = 38.45-1.86A+0.3812B+2.84C+0.1883AB+0.9137AC-5.47BC-2.30A2-3.69B2-7.22C2
R6 = 53.33-1.98A-1.89B+0.2421C-0.0340AB-1.33AC-1.40BC-0.5140A2-0.1932B2-3.84C2
R7 = 74.34-3.12A-2.53B+2.45C+1.27AB-2.66AC-0.2860BC-0.0427A2+1.73B2-7.92C2
R8 = 83.21-1.07A-2.21B+3.13C+0.6253AB-1.12AC-6.36 BC+2.29A2-0.5781B2-7.47C2
R9 = 93.65-1.33A-1.23B+1.82C-0.1747AB-0.9992AC-2.89BC+2.73A2+0.5686B2-5.96C2
R10 = 94.16-0.2388A-1.08B+1.83C+0.4045AB+1.96AC+2.210248BC+1.50A2+2.87B2-1.86C2
The cumulative % drug release data (R5-R10) ranged from 19.2 to 38.97% at 15 min and 88.43 to 99.50% at 360 min. Surface plots for the effect of independent variables on cumulative % drug release are shown in fig. 8 to 10, respectively. According to the equations, phospholipid and cholesterol content have a considerable negative influence on the cumulative % drug release rate. The rigidity and fluidity of the bilayer membrane are affected by the cholesterol level. Increasing the cholesterol content makes the liposome vesicles more tightly packed, which helps to prevent the release of the drug from the membrane [48]. Higher levels of phospholipids have a negative effect on drug release because they increase the stiffness of the vesicles and decrease the amount of drug that is released [49]. The drug concentration does not seem to have any noticeable effect on the amount of drug that is released.

Fig. 8: 3-D response surface plot showing effect of (a) phospholipid and cholesterol, (b) cholesterol and drug content on cumulative % drug release at 30 min

Fig. 9: 3-D response surface plot showing effect of (a) phospholipid and cholesterol, (b) cholesterol and drug content on cumulative % drug release at 120 min

Fig. 10: 3-D response surface plot showing effect of (a) phospholipid and cholesterol, (b) cholesterol and drug content on cumulative % drug release at 360 min
Table 3: ANOVA summary of response variables of salicylic acid liposomal formulation
| Response variable | Model | Sequential p value | Lack of fit p value | Adjusted R2 value | Predicted R2 value | Remarks |
R1: Particle size |
Linear | 0.2042 | 0.0288 | 0.1473 | -0.3518 | - |
| 2FI | 0.6465 | 0.0234 | 0.0359 | -1.5848 | - | |
| Quadratic | 0.1120 | 0.0355 | 0.4896 | -1.8572 | Suggested | |
| Cubic | 0.0355 | - | 0.9697 | - | Aliased | |
R2: PDI |
Linear | 0.0472 | 0.3905 | 0.3639 | 0.0143 | Suggested |
| 2FI | 0.4992 | 0.3592 | 0.3390 | -0.6556 | - | |
| Quadratic | 0.3830 | 0.3398 | 0.3970 | -1.7295 | - | |
| Cubic | 0.3398 | - | 0.6354 | - | Aliased | |
R3: Zeta potential |
Linear | 0.0942 | 0.0055 | 0.2711 | -0.1684 | - |
| 2FI | 0.9171 | 0.0039 | 0.0561 | -1.6281 | - | |
| Quadratic | 0.0160 | 0.0133 | 0.7780 | -0.2588 | Suggested | |
| Cubic | 0.0133 | - | 0.9951 | - | Aliased | |
R4: Entrapment efficiency |
Linear | 0.3028 | 0.0031 | 0.0736 | -0.3814 | - |
| 2FI | 0.1725 | 0.0037 | 0.2943 | -0.4015 | - | |
| Quadratic | 0.0656 | 0.0071 | 0.7021 | -0.6954 | Suggested | |
| Cubic | 0.0071 | - | 0.9965 | - | Aliased | |
R5: CDR at 15 min |
Linear | 0.4756 | 0.0134 | -0.0237 | -0.4103 | - |
| 2FI | 0.3523 | 0.0131 | 0.0434 | -0.5985 | - | |
| Quadratic | 0.0047 | 0.0728 | 0.8628 | 0.2492 | Suggested | |
| Cubic | 0.0728 | - | 0.9832 | - | Aliased | |
R6: CDR at 30 min |
Linear | 0.1201 | 0.0021 | 0.2348 | -0.1714 | - |
| 2FI | 0.6787 | 0.0016 | 0.1203 | -1.1889 | - | |
| Quadratic | 0.0764 | 0.0029 | 0.6040 | -1.2588 | Suggested | |
| Cubic | 0.0029 | - | 0.9981 | - | Aliased | |
R7: CDR at 60 min |
Linear | 0.1692 | 0.0009 | 0.1797 | -0.3140 | - |
| 2FI | 0.8056 | 0.0007 | -0.0044 | -1.7781 | - | |
| Quadratic | 0.0094 | 0.0028 | 0.8095 | -0.0867 | Suggested | |
| Cubic | 0.0028 | - | 0.9991 | - | Aliased | |
R8: CDR at 120 min |
Linear | 0.4264 | 0.0009 | 0.0014 | -0.6322 | - |
| 2FI | 0.2792 | 0.0010 | 0.1281 | -1.4511 | - | |
| Quadratic | 0.0303 | 0.0026 | 0.7331 | -0.5227 | Suggested | |
| Cubic | 0.0026 | - | 0.9989 | - | Aliased | |
R9: CDR at 240 min |
Linear | 0.5316 | 0.0027 | -0.0505 | -0.7473 | - |
| 2FI | 0.7116 | 0.0021 | -0.2281 | -2.6515 | - | |
| Quadratic | 0.0311 | 0.0055 | 0.6200 | -1.1648 | Suggested | |
| Cubic | 0.0055 | - | 0.9965 | - | Aliased | |
R10: CDR at 360 min |
Linear | 0.3480 | 0.0016 | 0.0453 | -0.5696 | - |
| 2FI | 0.3457 | 0.0016 | 0.1127 | -1.5447 | - | |
| Quadratic | 0.0688 | 0.0029 | 0.6179 | -1.1798 | Suggested | |
| Cubic | 0.0029 | - | 0.9982 | - | Aliased |
CDR: Cumulative % drug release
Validation of optimized response parameters
The software predicted an optimized formulation of SA-loaded liposomal dispersion with phospholipid content (Soy-PC) of 261.04 mg, cholesterol content of 0 % and drug content of 17.59 mg/ml with a high desirability value of 0.860. Fig. 12 shows the 2D contour plot with maximum desirability, a 3D plot of the optimized formulation of SA-loaded liposomes. Fig. 13 shows the release profile of predicted and observed formulations of SA-loaded liposomal dispersions that were in close agreement with each other.

Fig. 11: In vitro drug release profile of SA loaded liposomes (SAL1 to SAL15) mean±SD; (n=3)

Fig. 12: 2D-contour plot and 3-D response surface plot showing the maximum desirability of SA-loaded liposome
Table 4: Software predicted and experimentally observed data of optimized SA-loaded liposomes
| Optimized formulation composition | Observed responses | ||||
| Ingredients | Amount | Evaluation parameter | Software predicted value | Experimentally observed value |
Relative error (%) |
| A: Phospholipid content | 261.04 mg | Particle size | 202.56 nm | 261.20 nm | 28.94 |
| B: Cholesterol content | 0.00 % | PDI | 0.350 | 0.288 | 17.71 |
| C: Drug content | 17.59 mg/ml | Zeta potential | 0.9 mV | 0.7 mV | 22.22 |
| Entrapment efficiency | 56.79% | 57.53% | 1.29 | ||
| CDR at 15 min | 36.87% | 32.74% | 11.20 | ||
| CDR at 30 min | 56.22% | 53.88% | 4.16 | ||
| CDR at 60 min | 81.29% | 84.21% | 3.59 | ||
| CDR at 120 min | 95.90% | 93.32% | 2.69 | ||
| CDR at 240 min | 98.24% | 97.72% | 0.52 | ||
| CDR at 360 min | 97.71% | 99.57% | 1.90 |
#CDR: Cumulative % drug release

Fig. 13: Comparison of (a) overlay plot of software predicted and experimentally observed in vitro drug release and (b) regression plot of software predicted vs. experimentally observed in vitro drug release of SA loaded liposomes
Characteristics of SA-loaded liposomes
The particle size of liposomes varied from 221.60 to 425.20 nm in optimization trial batches, which was discovered to be ideal for skin distribution since the thickness of the stratum corneum is roughly 10 µm, allowing liposomes to penetrate readily. The criteria for optimization for particle size was set to a minimum, which, based on statistical analysis, was predicted to be 202.564 nm in the optimized batch. The average particle size of the optimized formulation as measured experimentally, was found to be 261.20 nm, which was nearly the value that was expected and graphically represented in fig. 14. Particle size is an important factor affecting drug permeation across the skin, as the penetration of liposomes into the skin is highly size dependent. As per the reported studies, the observed particle size of SA-loaded liposome is within the acceptable range for skin permeation [50].
The polydispersity of the liposomal system is shown by the PDI value. When the PDI value is less than or equal to 0.3, the population of liposomes is homogenous [50]. The desired PDI constraint was set to a minimum. The PDI values varied from 0.181 to 0.731 as depicted in table 2. The optimized formulation software-predicted PDI was 0.350 and the PDI that was experimentally observed was 0.288. The observed lower PDI value suggests that liposomes possess narrow particle size distribution having majority of vesicles falling within a nano-metric size range. The uniformity of size would have uniform drug permeation and retention in the targeted tissue.

Fig. 14: Particle size distribution of optimized SA loaded liposomes
Zeta potential
The human skin/epithelium have a negative charge on its surface and the positively charged formulations provide intensive adsorption to the negatively charged corneocytes of the stratum corneum, the main barrier of the human epidermis, prolonging drug retention and increasing drug permeation. As a result, employing formulations that are positively charged to increase drug penetration is a promising approach [51, 52]. Liposomes must have inter-particle repulsive forces, which are represented by their zeta potential to prevent agglomeration. In 15 optimization trial batches, the zeta potential ranged from-2 to 0.9 mV, as indicated in table 2. In the optimized formulation, the required criteria for optimization of zeta potential was set to maximum. The zeta potential observed experimentally was 0.7 mV, while the software's projected zeta potential for the optimized formulation was 0.9 mV.
Entrapment efficiency
The ethanol injection method favours ethanol-soluble, hydrophobic drugs over hydrophilic ones. Adding PEG 200 as a cosolvent increased the solubility of salicylic acid and allowed for drug entrapment in both the lipid bilayer and the aqueous core of liposomes. The range of entrapment efficiency of the optimized trial batches was from 41.61 to 72.27% as indicated in table 2. The desired entrapment efficiency constraint was set to maximum, with a projected value of 56.79% for the optimized batch. The experimentally observed value was 57.53%, which was nearly the expected value.
In vitro drug release study
The cumulative % drug release of 15 optimization trial batch software designs varies from 19.20 to 38.97% at 15 min and 88.43 to 99.50% at 360 min, indicating a sustained drug release profile of salicylic acid liposomal dispersion. The results of the experimental observations and the software predictions were in close agreement as depicted in table 4. The graph comparing the software's predicted and experimentally observed drug release profile (fig. 13) had a high degree of agreement, with a regression coefficient of 1.018 and a correlation coefficient of 0.996. This shows that the expected and observed values of drug release were very close.
Drug content of optimized SA-loaded liposomes
The drug content of the SA-loaded liposomes was estimated by lysing the liposomes with ethanol, diluting the lysate with phosphate buffer (pH 6.8) and estimating the total drug entrapment by UV-visible spectrophotometer (Shimadzu®1700). Drug content of the optimized SA-loaded liposome formulation was calculated to be 23.5 mg/ml.
Differential scanning calorimetry
The DSC thermogram (as shown in fig. 15) determines the thermal properties of drug and excipient interactions of a formulation. The differential scanning calorimetry (DSC) thermogram of salicylic acid showed an endothermic peak at 166.3 °C, which corresponds to the melting point of the drug. This endothermic peak confirms that the sample of salicylic acid is crystalline, as the crystalline substance exhibits sharp endothermic peak due to sudden breakdown of physical bonds [53, 54]. The DSC thermogram of cholesterol also showed an endothermic peak at 152.3 °C, which is characteristic of the compound which was found in agreement with previously reposted work [55]. The physical mixture of salicylic acid and the formulation excipient showed a weak endothermic peak at 166.31 °C, which corresponds to the characteristic peak shown in pure salicylic acid. However, the DSC thermogram of SA-loaded liposomes did not show a peak corresponding to salicylic acid. This suggests that the drug was completely incorporated into the liposomal vesicles and transformed into an amorphous form.
Evaluation of SA-loaded liposomal gel formulation
Visual appearance and homogeneity
The gel was found to be homogeneous, white colored/opaque, having a semi-solid texture and smooth appearance. It did not contain any gritty particles and was easily washable.

Fig. 15: DSC thermograms of salicylic acid, cholesterol, carbopol 934, SA loaded liposomes and physical mixture of drug with formulation excipients
Determination of pH
The pH of the developed SA loaded liposomal gel formulation was found to be in the range of 6.2–6.8, which suggests that the prepared gel formulation would be non-irritant to the skin.
Spreadability
The prepared gels were required to have adequate spreadability to ensure uniform and smooth application on the skin [28]. Upon application, the gels were observed to spread readily over the skin. The polymer used in the formulation affected spreadability, as it had characteristic physicochemical qualities that caused surface tension between the slide and the product [29]. The spreadability of the developed liposomal gel formulation was evaluated by measuring the diameter of 0.5 g of gel between horizontal plates after 1 minute. The diameter of the spread circles ranged from 4.6 cm to 5.3 cm, demonstrating good spreadability and the ability of the gel to reach a greater surface area of skin.
Drug content
The drug content of the optimized salicylic acid-loaded liposomal gel was found to be 91.80% when estimated quantitatively by UV-spectrophotometry at 296 nm. This indicated that the drug was uniformly distributed in the carbopol gel and there was negligible loss during the formulation process.
In vitro drug release study and kinetics model fitting
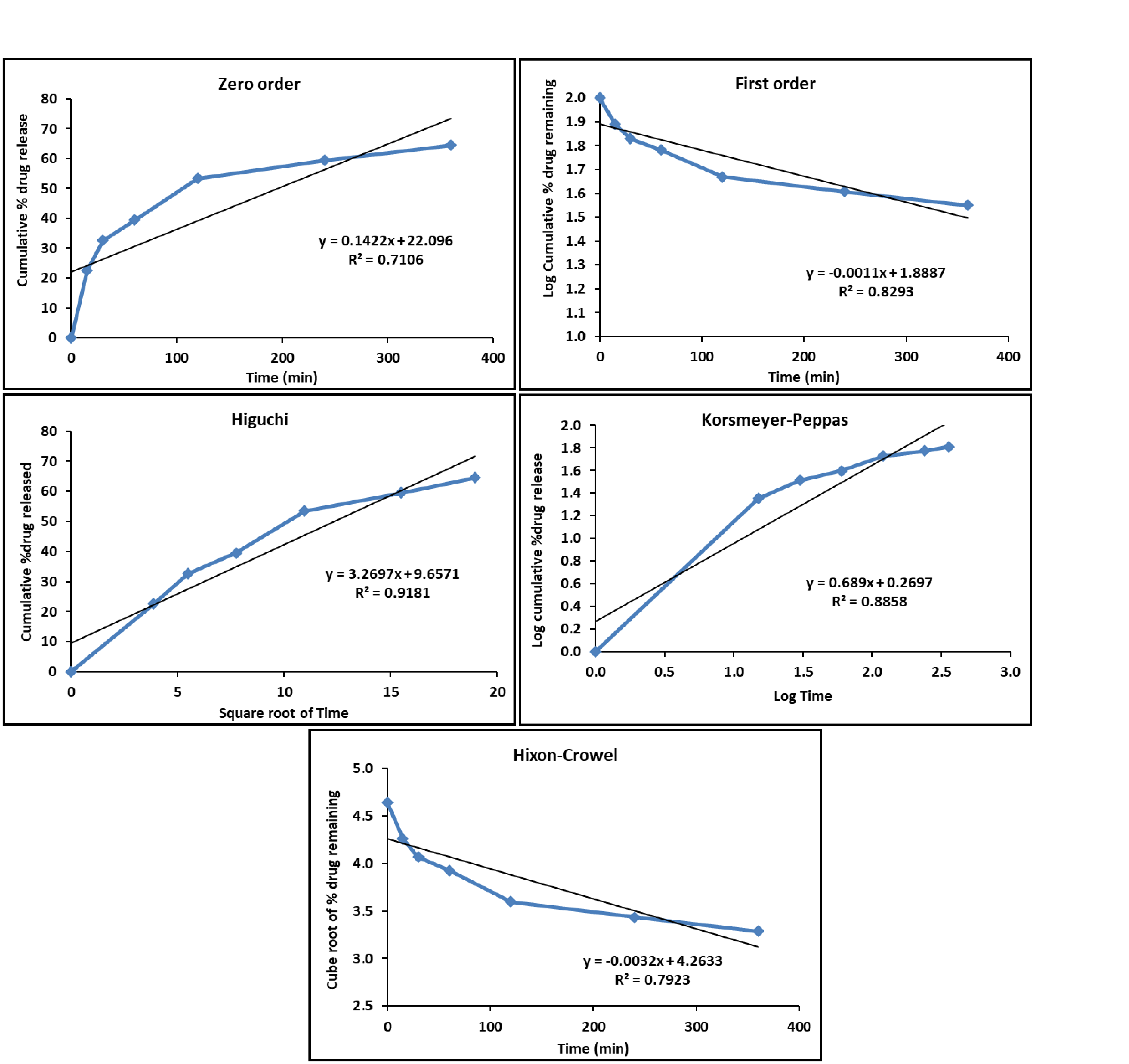
The in vitro drug release of the developed SA loaded liposomal gel was carried out in phosphate buffer pH 5.5 and drug concentration was determined spectrophotometrically at 296 nm. At 15 min, the cumulative % drug release was 22.59% and at 360 min, it was 64.48%. The results show that the formulated SA-loaded liposomal gel demonstrated sustained release pattern with an initial burst release within first 30 min.
The drug release kinetics of the formulated SA-loaded liposomal gel was carried out by fitting the in–vitro drug release data into different models like zero order, first order, Higuchi, korsmeyer-peppas and hixon-crowel. Table 5 shows the obtained values of the kinetic constant (k) and regression coefficient (R2). The graphs of all models were shown in fig. 16. The best kinetic model was confirmed based on the highest regression coefficient (R2), which was obtained in the Higuchi model i.e., 0.9181. Hence, the formulated SA-loaded liposomal gel followed Higuchi’s release kinetic model. In the case of liposomal gels, the Higuchi model favours a gradual and sustained release of the drug after the initial burst release. This pattern is typically observed in liposomal gels because the liposomes act as a reservoir for the drug, slowly releasing it over time duration. It has been found that the bilayer composition and hydration levels affect the drug release from liposomal gels [56].
Ex–vivo drug permeation study
Ex-vivo drug permeation studies were performed for SA loaded liposomal gel and salicylic acid plain gel across the porcine skin. It was observed that SA loaded liposomal gel showed 26.50% cumulative permeation as compared to 17.20% cumulative permeation in salicylic acid plain gel in 480 min and graphically shown in fig. 17. The findings of the drug permeation showed that the SA loaded liposomal gel had a higher steady state permeation flux through the skin (6.8 µg. cm-2. min-1) as compared to the plain salicylic acid gel (3.3 µg. cm-2. min-1) and exhibited two-fold higher permeation rate. This suggests that the liposomal gel may be more effective at delivering the drug to the skin [57]. Phospholipids have a high affinity to epidermal tissue and change the fluidity of cell membranes and enhance the percutaneous penetration of drugs [58, 59]. The apparent permeability coefficient (Papp) of liposomal formulation (0.34 cm. min-1) was also found to be significantly higher as compared to plain salicylic acid gel (0.16 cm. min-1) resulting into 2-fold higher amount of drug permeated across the skin. The higher drug permeation of developed formulation may be attributed to the nano-metric particle size and low PDI of drug loaded liposomes as reported in earlier studies [50].
Table 5: Drug release data and kinetics model fitting of SA-loaded liposomal gel
| S. No. | Kinetic models | Equation | K | R2 |
| 1. | Zero-order | Qo-Qt= k0t | 0.1422 | 0.7106 |
| 2. | First order | logQ = logQ0-kt/2.303 | -0.0011 | 0.8293 |
| 3. | Higuchi | Q0-Qt = kt1/2 | 3.2697 | 0.9181 |
| 4. | Korsmeyer-Peppas | log (Q0–Qt) = log k+nlogt | 0.689 | 0.8858 |
| 5. | Hixon–Crowel | Q01/3-Qt1/3 = kt | 0.0032 | 0.7923 |
Qo = initial drug concentration, Qt = amount of drug remaining at a specific time, k = rate constant, t = time.

Fig. 16: Drug release kinetic model graphs of SA loaded liposomal gel formulation

Fig. 17: Ex-vivo drug permeation profile of SA loaded liposomal gel vs plain gel (mean±SD); (n=3)
Skin retention study
The skin retention study is aimed to determine the amount of topical drug or topical formulation retained on the skin after application. Several factors, such as the size and charge of the liposomes, the viscosity of the gel and the properties of the skin, could affect the skin retention properties of a liposomal gel. The skin retention of salicylic acid-loaded liposomal gel was compared to that of salicylic acid plain gel. The study found that the liposomal gel resulted in 2-fold higher drug retention in the skin (10.9%) as compared to the plain gel (5.3%). The results observed were found in agreement to the previously reported work [9].
In the present work, the salicylic acid-loaded liposomal topical gel was successfully formulated and optimized by Box-Behnken experimental design and evaluated for all the desired response variables. The 3D surface plots and polynomial equations described the effect of independent variables on response variables. Based on the evaluation data and desired constraints of response variables the optimized formulation with the highest desirability was prepared and characterized for particle size, PDI, zeta potential, entrapment efficiency, cumulative % drug release, and drug content. The DSC thermogram of the formulation showed the absence of a salicylic acid peak, confirming the entrapment of salicylic acid in the lipid bilayer. Developed topical gel of SA-loaded liposomes exhibited sustained drug release (64.48%) over 360 min following Higuchi drug release kinetic model. The ex-vivo drug permeation study showed 2-fold enhanced skin permeation (26.50%) in case of SA loaded liposomal gel as compared to the plain gel. The skin drug retention study showed 2-fold higher drug skin retention (10.9%) of SA-loaded liposomes as compared to plain gel (5.3%). Thus, the SA loaded liposomes and developed topical gel formulation possessed all desired CQAs. The in vitro drug release, ex-vivo drug permeation and skin retention studies confirmed the suitability of the developed formulation for topical application that can attribute to better patient compliance and make the formulation more effective in the treatment of foot corn.
The authors acknowledge M/s. Amilife Ltd. (Mumbai, India) for providing gift sample of soy phosphatidylcholine.
Nil
All authors have contributed equally.
Silfverskiold JP. Common foot problems. Relieving the pain of bunions, keratoses, corns, and calluses. Postgrad Med. 1991;89(5):183-8. doi: 10.1080/00325481.1991.11700901, PMID 1826149.
Singh D, Bentley G, Trevino SG. Callosities, corns, and calluses. BMJ. 1996;312(7043):1403-6. doi: 10.1136/bmj.312.7043.1403a, PMID 8646101.
Redmond A, Allen N, Vernon W. Effect of scalpel debridement on the pain associated with plantar hyperkeratosis. J Am Podiatr Med Assoc. 1999;89(10):515-9.
Madan RK, Levitt J. A review of toxicity from topical salicylic acid preparations. J Am Acad Dermatol. 2014;70(4):788-92.
Princely S, Dhanaraju M. Design, formulation and characterization of liposomal-encapsulated gel for transdermal delivery of fluconazole. Asian J Pharm Clin Res. 2018;11(8):417-24.
Antimisiaris SG, Marazioti A, Kannavou M, Natsaridis E, Gkartziou F, Kogkos G. Overcoming barriers by local drug delivery with liposomes. Adv Drug Deliv Rev. 2021;174:53-86. doi: 10.1016/j.addr.2021.01.019, PMID 33539852.
Shahi S, Sonwane U, Zadbuke N, Tadwee I. Design and development of diphenhydramine hydrochloride topical liposomal drug delivery system. Int J Pharm Pharm Sci. 2013;5:534-42.
Shabnam SP, Babu R. Formulation and evaluation of parenteral methotraxate nanoliposomes. Int J Pharm Pharm Sci. 2014;6(11):295-300.
Bhalerao SS, Raje Harshal A. Preparation, optimization, characterization, and stability studies of salicylic acid liposomes. Drug Dev Ind Pharm. 2003;29(4):451-67. doi: 10.1081/ddc-120018380, PMID 12737538.
Wasankar SR, Faizi SM, Deshmuk AD. Formulation and development of liposomal gel for topical drug delivery system. Int J Pharm Sci Res. 2012;3(11):27-38.
Patel VB, Misra A, Marfatia YS. Topical liposomal gel of tretinoin for the treatment of acne: research and clinical implications. Pharm Dev Technol. 2000;5(4):455-64. doi: 10.1081/pdt-100102029, PMID 11109245.
Swami H, Bilandi A, Kataria M, Kaur K. Formulation and evaluation of liposomal gel of lornoxicam. World J Pharm Res. 2015;4990:2312-38.
Arpna I, Ahmed Masheer K. Box-behnken design for optimization of formulation variables for controlled release gastroretentive tablet of verapamil hydrochloride. Int J App Pharm. 2023;15(1):256-63. doi: 10.22159/ijap.2023v15i1.46489.
Ferreira SLC, Bruns RE, Ferreira HS, Matos GD, David JM, Brandao GC. Box-Behnken design: an alternative for the optimization of analytical methods. Anal Chim Acta. 2007;597(2):179-86. doi: 10.1016/j.aca.2007.07.011, PMID 17683728.
Chaudhary H, Kohli K, Amin S, Rathee P, Kumar V. Optimization and formulation design of gels of diclofenac and curcumin for transdermal drug delivery by box-Behnken statistical design. J Pharm Sci. 2011;100(2):580-93. doi: 10.1002/jps.22292, PMID 20669331.
Kesharwani PS, Alhakamy NA, Hosny KM, Haque A. QbD enabled azacitidine loaded liposomal nanoformulation and its in vitro evaluation. Polymers (Basel). 2021;13(2).
Vemuri S, Rhodes CT. Preparation and characterization of liposomes as therapeutic delivery systems: a review. Pharm Acta Helv. 1995;70(2):95-111. doi: 10.1016/0031-6865(95)00010-7, PMID 7651973.
Gupta A, Singh S, Kotla NG, Webster TJ. Formulation and evaluation of a topical niosomal gel containing a combination of benzoyl peroxide and tretinoin for antiacne activity. Int J Nanomedicine. 2015;10:171-82.
Soni PK, Saini TR. Purification of drug-loaded liposomal formulations by a novel stirred cell ultrafiltration technique. Pharm Nanotechnol. 2021;9(5):347-60. doi: 10.2174/2211738509666211124145848, PMID 34819014.
Soni PK, Saini TR. Formulation design and optimization of cationic-charged liposomes of brimonidine tartrate for effective ocular drug delivery by design of experiment (DoE) approach. Drug Dev Ind Pharm. 2021;47(11):1847-66. doi: 10.1080/03639045.2022.2070198, PMID 35484943.
Gill P, Moghadam TT, Ranjbar B. Differential scanning calorimetry techniques: applications in biology and nanoscience. J Biomol Tech. 2010;21(4):167-93. PMID 21119929.
Biltonen RL, Lichtenberg D. The use of differential scanning calorimetry as a tool to characterize liposome preparations. Chem Phys Lipids. 1993;64(1):129-42.
Fathalla D, Youssef EMK, Soliman GM. Liposomal and ethosomal gels for the topical delivery of anthralin: preparation, comparative evaluation and clinical assessment in psoriatic patients. Pharmaceutics. 2020;12(5):446-56. doi: 10.3390/pharmaceutics12050446, PMID 32403379.
Chiu MH, Prenner EJ. Differential scanning calorimetry: an invaluable tool for a detailed thermodynamic characterization of macromolecules and their interactions. J Pharm Bioallied Sci. 2011;3(1):39-59. doi: 10.4103/0975-7406.76463, PMID 21430954.
Tavano L. Liposomal gels in enhancing skin delivery of drugs. Percutaneous penetration enhancers chemical methods in penetration enhancement: drug manipulation strategies and vehicle effects. Berlin, Heidelberg: Springer; 2015. p. 329-41.
Mitkari B, Korde S, Mahadik K. Formulation and evaluation of topical liposomal gel for fluconazole. Indian J Pharm Educ Res. 2010;44:324-33.
Meghana G, Karri VVSR, Talluri S, Gunda R. Formulation and evaluation of tolnaftate loaded topical liposomal gel for effective skin drug delivery to treat fungal diseases. J Chem Pharm Res. 2014;6(10):856-66.
Shukla R, Tiwari G, Tiwari R, Rai AK. Formulation and evaluation of the topical ethosomal gel of melatonin to prevent UV radiation. J Cosmet Dermatol. 2020;19(8):2093-104.
Gupta SB, Bhairy SR, Hirlekar RS. Formulation development, characterization and assessment of in vitro antifungal efficacy against candida albicans of diallyl disulphide liposomal gel using 32 factorial design. J Drug Delivery Ther. 2019;9(2):105-17. doi: 10.22270/jddt.v9i2.2522.
Naveentaj S, Muzib YI, Radha R. Design and optimization of fluconazole-loaded pharmacosome gel for enhancing transdermal permeation and treating fungal infections through box-Behnken design. Integr J Appl Pharm. 2023;15(1):131-40.
Thorat YS, Kote NS, Patil VV, Hosmani AH. Formulation and evaluation of liposomal gel containing extract of piprine. Int J Curr Pharm. 2020;12(3):126-9.
Dash S, Murthy PN, Nath L, Chowdhury P. Kinetic modeling on drug release from controlled drug delivery systems. Acta Pol Pharm. 2010;67(3):217-23. PMID 20524422.
Costa P, Sousa Lobo JM. Modeling and comparison of dissolution profiles. Eur J Pharm Sci. 2001;13(2):123-33. doi: 10.1016/s0928-0987(01)00095-1, PMID 11297896.
Roy D, Das S, Samanta A. Design and in vitro release kinetics of liposomal formulation of acyclovir. Int J Appl Pharm. 2019;11(6):61-5.
Kumar S, Malick AW, Meltzer NM, Mouskountakis JD, Behl CR. Studies of in vitro skin permeation and retention of a leukotriene antagonist from topical vehicles with a hairless guinea pig model. J Pharm Sci. 1992;81(7):631-4. doi: 10.1002/jps.2600810708, PMID 1403694.
Gupta M, Goyal AK, Paliwal SR, Paliwal R, Mishra N, Vaidya B. Development and characterization of effective topical liposomal system for localized treatment of cutaneous candidiasis. J Liposome Res. 2010;20(4):341-50. doi: 10.3109/08982101003596125, PMID 20163329.
Fantini A, Demurtas A, Nicoli S, Padula C, Pescina S, Santi P. In vitro skin retention of crisaborole after topical application. Pharmaceutics. 2020;12(6):491-9. doi: 10.3390/pharmaceutics12060491, PMID 32481663.
Dainichi T, Ueda S, Imayama S, Furue M. Excellent clinical results with a new preparation for chemical peeling in acne: 30% salicylic acid in polyethylene glycol vehicle. Dermatol Surg. 2008;34(7):891-9. doi: 10.1111/j.1524-4725.2008.34174.x, PMID 18363720.
Schubert MA, Müller Goymann CC. Solvent injection as a new approach for manufacturing lipid nanoparticles-evaluation of the method and process parameters. Eur J Pharm Biopharm. 2003;55(1):125-31. doi: 10.1016/s0939-6411(02)00130-3, PMID 12551713.
Moghddam SR, Ahad A, Aqil M, Imam SS, Sultana Y. Formulation and optimization of niosomes for topical diacerein delivery using 3-factor, 3-level Box-Behnken design for the management of psoriasis. Mater Sci Eng C Mater Biol Appl. 2016;69:789-97. doi: 10.1016/j.msec.2016.07.043, PMID 27612773.
Deniz A, Sade A, Severcan F, Keskin D, Tezcaner A, Banerjee S. Celecoxib-loaded liposomes: effect of cholesterol on encapsulation and in vitro release characteristics. Biosci Rep. 2010;30(5):365-73. doi: 10.1042/BSR20090104.
Lee SC, Lee KE, Kim JJ, Lim SH. The effect of cholesterol in the liposome bilayer on the stabilization of incorporated retinol. J Liposome Res. 2005;15(3-4):157-66. doi: 10.1080/08982100500364131, PMID 16393907.
Farzaneh H, Ebrahimi Nik M, Mashreghi M, Saberi Z, Jaafari MR, Teymouri M. A study on the role of cholesterol and phosphatidylcholine in various features of liposomal doxorubicin: from liposomal preparation to therapy. Int J Pharm. 2018;551(1-2):300-8. doi: 10.1016/j.ijpharm.2018.09.047, PMID 30243944.
Fan M, Xu S, Xia S, Zhang X. Preparation of salidroside nano-liposomes by ethanol injection method and in vitro release study. Eur Food Res Technol. 2008;227(1):167-74.
Magarkar A, Dhawan V, Kallinteri P, Viitala T, Elmowafy M, Rog T. Cholesterol level affects surface charge of lipid membranes in saline solution. Sci Rep. 2014;4:5005. doi: 10.1038/srep05005. PMID 24845659.
Sala M, Miladi K, Agusti G, Elaissari A, Fessi H. Preparation of liposomes: A comparative study between the double solvent displacement and the conventional ethanol injection-from laboratory scale to large scale. Colloids Surf A Physicochem Eng Asp. 2017;524:71-8.
Gouda A, Sakr OS, Nasr M, Sammour O. Ethanol injection technique for liposomes formulation: an insight into the development, influencing factors, challenges and applications. J Drug Deliv Sci Technol. 2021;61:102174.
Jedlovszky P, Mezei M. Effect of cholesterol on the properties of phospholipid membranes. J Phys Chem B. 2003;107(22):5311-21. doi: 10.1021/jp0219505.
Mousa IA, Hammady TM, Gad S, Zaitone SA, El-Sherbiny M, Sayed OM. Formulation and characterization of metformin-loaded ethosomes for topical application to experimentally induced skin cancer in mice. Pharmaceuticals (Basel). 2022;15(6):774-85. doi: 10.3390/ph15060657, PMID 35745575.
Danaei M, Dehghankhold M, Ataei S, Hasanzadeh Davarani F, Javanmard R, Dokhani A. Impact of particle size and polydispersity index on the clinical applications of lipidic nanocarrier systems. Pharmaceutics. 2018;10(2). doi: 10.3390/pharmaceutics10020057, PMID 29783687.
Kitagawa S, Kasamaki M. Enhanced delivery of retinoic acid to skin by cationic liposomes. Chem Pharm Bull (Tokyo). 2006;54(2):242-4. doi: 10.1248/cpb.54.242, PMID 16462074.
Lin H, Xie Q, Huang X, Ban J, Wang B, Wei X. Increased skin permeation efficiency of imperatorin via charged ultra deformable lipid vesicles for transdermal delivery. Int J Nanomedicine. 2018;13:831-42. doi: 10.2147/IJN.S150086, PMID 29467573.
Choi JM, Kim K, Cho E, Jung S. Solubility enhancement of salicylic acid by complexation with succinoglycan monomers isolated from sinorhizobium meliloti. Bull Korean Chem Soc. 2012;33(6):2091-4. doi: 10.5012/bkcs.2012.33.6.2091.
Elbagerma MA, Edwards HGM, Munshi T, Scowen IJ. Identification of a new co-crystal of salicylic acid and benzamide of pharmaceutical relevance. Anal Bioanal Chem. 2010;397(1):137-46. doi: 10.1007/s00216-009-3375-7, PMID 20039022.
Rahman SA, Abdelmalak NS, Badawi A, Elbayoumy T, Sabry N, El Ramly A. Formulation of tretinoin-loaded topical proniosomes for treatment of acne: in vitro characterization, skin irritation test and comparative clinical study. Drug Deliv. 2015;22(6):731-9. doi: 10.3109/10717544.2014.896428. PMID 24670094.
Jain A, Jain SK. In vitro release kinetics model fitting of liposomes: an insight. Chem Phys Lipids. 2016;201(16):28-40. doi: 10.1016/j.chemphyslip.2016.10.005, PMID 27983957.
Paul S, Jana M, Bose A, Bhattacharjee S. Topical liposomal gel: A new strategy of novel drug delivery. World J Pharm Sci. 2020;6:568-77.
Yokomizo Y, Sagitani H. Effects of phospholipids on the percutaneous penetration of indomethacin through the dorsal skin of guinea pigs in vitro. J Control Release. 1996;38(2):267-74.
Cooper ER. Increased skin permeability for lipophilic molecules. J Pharm Sci. 1984;73(8):1153-6. doi: 10.1002/jps.2600730831, PMID 6491922.