
Nanotechnology Research Lab, Department of Pharmacy, Shri G. S. Institute of Technology and Science, Indore 452003, (M. P.), India
Email: soniprakashpharma@gmail.com
Received: 31 Jan 2023, Revised and Accepted: 14 Mar 2023
ABSTRACT
Objective: The present research was aimed to develop ketoconazole (KT) loaded microemulsion-based gel formulation for effective topical delivery through enhanced drug solubility, improved skin permeation and reduced side effects overcoming drawbacks of conventional dosage forms.
Methods: For the selection of oil, surfactant and co-surfactant mixture (Smix) ratio, the phase titration method was used and pseudo-ternary phase diagrams were prepared. D-optimal mixture design was employed to optimize the microemulsion system taking oil, Smix and water as independent variables and particle size, polydispersity index, zeta potential, % transmittance and cumulative % drug release as response variables. Finally, topical gel formulation of KT-loaded microemulsion was developed and evaluated for physico-chemical properties, rheological properties, in vitro drug release kinetics and ex-vivo drug permeation.
Results: The optimized microemulsion was found to be a transparent formulation with 19.7 nm particle size, 0.268 polydispersity index,-0.2 mV zeta potential, 97.83% transmittance and 85.85% cumulative drug release at 24 h. The developed gel of optimized microemulsion possessed pH 6.20, viscosity 2178 cps, spreadability 18.634 g.cm2/sec, adhesiveness 45.989 N/mm2, and cohesiveness-85.583. The in vitro drug release was found to be 69.08 % (at 24 h), showing sustained release and Higuchi kinetic profile. The developed gel exhibited 1.84-fold higher drug permeation flux as compared to the marketed product.
Conclusion: The developed gel formulation possessed all desired quality attributes and physico-chemical properties. The in vitro and ex-vivo study data proved it’s suitability as a better alternative to conventional products in the effective treatment of fungal skin infections.
Keywords: Ketoconazole, Microemulsion, Pseudoternary phase diagram, D-optimal mixture design, Optimization, Topical gel, In vitro drug release, Ex-vivo permeation
© 2023 The Authors. Published by Innovare Academic Sciences Pvt Ltd. This is an open access article under the CC BY license (https://creativecommons.org/licenses/by/4.0/)
DOI: https://dx.doi.org/10.22159/ijap.2023v15i3.47456. Journal homepage: https://innovareacademics.in/journals/index.php/ijap
Fungal infections can be of different nature, i.e., systemic (affecting the entire body) or superficial (affecting skin, hair, nail, or mucous membrane) [1]. The main types of superficial fungal infections are dermatophyte infection, tinea versicolor, and cutaneous candidiasis [2]. Dermatophytes cause superficial skin infections that can spread from person to person or through contact with animals. This infection is more likely to affect men than women and therefore, more than 90 % of adult males are likely to experience fungal skin infections at some point in their life [3]. On the other hand, the chronic superficial fungal infections are likely to affect roughly 20 % of the population. Tropical, humid areas seem to have the highest infection rates and generally, the fungi survives on the stratum corneum (the outermost layer of skin). The moist body parts, like gaps between fingers and toes, under breasts, and the vaginal region are more susceptible to such infection due to the favorable microenvironment [4].
The topical drug application is considered the most appropriate treatment approach for skin and cutaneous fungal diseases [5]. The main benefits of topical drug delivery system include application at site of action (local effect), avoiding first-pass metabolism and gastrointestinal incompatibilities, simple self-medication, better patient compliance, and easy termination of medication when needed. Additionally, drugs with short half-lives and narrow therapeutic index are also suitable for application as topical drug delivery system [6].
The large surface of human skin is easily explored for drug administration because a typical adult’s skin has a surface area of around 2 m2 and it receives around one-third of the blood circulated throughout the body [7]. However, the stratum corneum is the primary barrier for percutaneous drug absorption through the skin. It has a thickness of 10 µm and is made up of dead, keratinized, epidermal cells that serve as a physical barrier for the protection of skin. Therefore, it is extremely difficult to transport the drug molecules through the skin when it is administered in the form of conventional formulations, i.e., cream, lotion, ointment, powder, etc. [8]. These conventional formulations do not effectively penetrate the skin leading to inadequate drug availability, non-effective therapy and a longer treatment time. On the other hand, oral drug administration has drawbacks such as, first pass effect/liver toxicity, generalized side effects and low bioavailability. Therefore, development of a novel formulation is required that can effectively deliver the drug across the skin employing suitable permeation enhancers overcoming the drawbacks of conventional dosage forms.
Ketoconazole (an azole derivative) with broad-spectrum antifungal activity is a widely used drug to treat systemic or topical fungal infections. It blocks the P450-dependent enzyme lanosterol 14-demethylase and prevents the fungus from synthesizing ergosterol (a component of cell membrane of fungi), leading to cell death [9]. The drug is presently available in the market as various conventional formulations and suffers from various limitations, including poor drug permeation and side effects [10].
Microemulsions are transparent, isotropic, colloidal dispersions that have been extensively studied and reported for effective topical drug delivery overcoming the limitations associated with conventional formulations. They are thermodynamically stable systems made up of micro globules of oil or water that are held together by an interfacial film of surfactant and/or co-surfactant molecules [11]. The microemulsion droplet size ranges from 10 to 100 nm [12] and have been proved to improve the pharmacokinetic and pharmacodynamic attributes of insoluble drugs [13]. Rose oil is a transparent liquid with a pleasant fragrance and aesthetic color [14] and also possess antibacterial, anti-inflammatory and antioxidant effects [15, 16].
This research paper describes the formulation desiging and optimization of microemulsion system of ketoconazole using rose oil, cremophor RH 40 and tween 20 and it’s further development as topical gel formulation for easy, long retentive and patient-friendly application on skin for the treatment of fungal infections.
Materials
Ketoconazole (KT) was procured as gift sample from M/s Encube Ethicals Pvt Ltd, Mumbai (India). Pure rose oil (Khadi brand) was purchased from local market. Cremophor RH 40 was received as gift sample from BASF (India) and carbopol® 971P from Lubrisol (India). Tween 20 was purchased from Loba Chemie Pvt Ltd (India). Different oils and formulation components were purchased in pure form from local market. All other chemicals and solvents used were of analytical grade.
Formulation designing of KT-loaded microemulsion
Selection of oil
Approximate solubility method was used to select an oil having highest drug solubility, amongst various oils, i.e., clove oil, caprylic acid, oleic acid, peppermint oil, eucalyptus oil, castor oil, eugenol, labrafac, labrasol, olive oil, coconut oil, mustard oil, lemongrass oil, peanut oil, vitamin E oil, soyabean oil and rose oil. In this method, 10 ml of each oil medium was taken and a fraction of accurately weighed drug was added into it and mixed well using vortex mixer until it gets dissolved. Further small amount of the drug was added repeatedly until it remained undissolved and a saturation state was reached. The remaining amount of drug was weighed and the approximate solubility of ketoconazole was calculated. The oil exhibiting highest drug solubility was selected for microemulsion development. Different oils studied for drug solubility are shown in table 1.
Selection of surfactant
Selection of a safe and non-irritant surfactant is desirable that can facilitate a spontaneous formation of O/W emulsion with transparent appearance [17]. Different surfactants examined for microemulsion includes tween 20, tween 80, Brij 35, poloxamer 188, poloxamer 407, cremophor RH 40, PEG 400, propylene glycol, cremophor EL, transcutol P, PEG 200, PEG 300, and PEG 600. An accurate 10 ml of aqueous solution of different surfactants (10 % w/v) were separately prepared and selected oil was slowly added into it with the help of a micropipette. Initially, 10 µl oil was added and vortexed for 5 min and further oil addition was continued until the solution turned milky. The amount of oil accommodated before it turned milky was calculated. The selection of surfactant was done based on it’s ability to accommodate highest amount of oil. Different surfactants explored and their observations are shown in table 2.
Table 1: Different oils and their solubility of ketoconazole
| S. No. | Oils | Approximate solubility |
| 1. | Rose oil | 80 mg/ml |
| 2. | Lemongrass oil | 52 mg/ml |
| 3. | Peppermint oil | 25 mg/ml |
| 4. | Labrasol | 13.3 mg/ml |
| 5. | Labrafac | 12.7 mg/ml |
| 6. | Clove oil | 10.3 mg/ml |
| 7. | Eucalyptus oil | 2.7 mg/ml |
| 8. | Oleic acid | 2 mg/ml |
| 9. | Vitamin E oil | 1.5 mg/ml |
| 10. | Soyabean oil | 1.5 mg/ml |
| 11. | Coconut oil | 1.5 mg/ml |
| 12. | Peanut oil | 1.4 mg/ml |
| 13. | Castor oil | 1.4 mg/ml |
| 14. | Olive oil | 1.3 mg/ml |
| 15. | Mustard oil | 1.2 mg/ml |
Table 2: Oil accommodation capacity of different surfactant solutions
| S. No. | 10 % aqueous solution of surfactant | Oil accommodation |
| 1. | Tween 20 | 50 µl/ml |
| 2. | Tween 80 | 30 µl/ml |
| 3. | Brij 35 | 10 µl/ml |
| 4. | Poloxamer 188 | 20 µl/ml |
| 5. | Poloxamer 407 | 30 µl/ml |
| 6. | Cremophor RH 40 | 60 µl/ml |
| 7. | PEG 400 | 10 µl/ml |
| 8. | Propylene glycol | 10 µl/ml |
| 9. | Cremophor EL | 20 µl/ml |
| 10. | Transcutol P | 10 µl/ml |
| 11. | PEG 200 | 10 µl/ml |
| 12. | PEG 300 | 10 µl/ml |
| 13. | PEG 600 | 10 µl/ml |
Selection of co-surfactant
The functional ability of a surfactant is enhanced when a co-surfactant is used as mixture in the formation and stability of microemulsion. Different co-surfactants, namely transcutol P, tween 20, tween 80, tween 60, propylene glycol, brij 35, PEG 200, PEG 300, PEG 400, PEG 600, cremophor EL, ethanol, poloxamer 188, poloxamer 407, glycerin, and isopropyl alcohol were mixed separately with selected surfactant for evaluating their ability in microemulsion formation. A 10 % w/v aqueous solution of selected surfactant and different co-surfactant (at 1:1 ratio) was prepared. The selected oil was gradually added into 10 ml of Smix and vortexed for 10 min for microemulsion formation. This step was continued repeatedly until the mixture became milky. The amount of oil admixed in different Smix before it turned milky was calculated and the Smix showing the highest oil accommodation was selected. Different Smix studied and their observations are shown in table 3.
Table 3: Oil accommodation capacity of different surfactant: co-surfactant mixture (Smix)
| S. No. | Smix (1:1 ratio) | Oil accommodation |
| 1. | Cremophor RH-40: Transcutol P | 40 µl/ml |
| 2. | Cremophor RH-40: Tween 80 | 50 µl/ml |
| 3. | Cremophor RH-40: Tween 20 | 60 µl/ml |
| 4. | Cremophor RH-40: PG | 30 µl/ml |
| 5. | Cremophor RH-40: Brij 35 | 30 µl/ml |
| 6. | Cremophor RH-40: PEG 200 | 20 µl/ml |
| 7. | Cremophor RH-40: PEG 300 | 30 µl/ml |
| 8. | Cremophor RH-40: PEG 400 | 20 µl/ml |
| 9. | Cremophor RH-40: PEG 600 | 30 µl/ml |
| 10. | Cremophor RH-40: Cremophor EL | 30 µl/ml |
| 11. | Cremophor RH-40: Ethanol | 30 µl/ml |
| 12. | Cremophor RH-40: Poloxamer 188 | 20 µl/ml |
| 13. | Cremophor RH-40: Poloxamer 407 | 20 µl/ml |
| 14. | Cremophor RH-40: Tween 60 | 50 µl/ml |
| 15. | Cremophor RH-40: Glycerin | 20 µl/ml |
| 16. | Cremophor RH-40: IPA | 20 µl/ml |
| 17. | Cremophor RH-40: glycerol | 20 µl/ml |
Construction of pseudo-ternary phase diagram for optimum Smix ratio
Studying the phase behavior of a mixture of oil, surfactant/co-surfactant (Smix), and water is important for the development of optimal and effective microemulsion formulation. Therefore, the area of microemulsion formation with different composition of microemulsion components was determined by ternary phase diagrams for selecting the optimum Smix ratio [18, 19]. The microemulsion formulations were prepared using different surfactant and co-surfactant (Smix) ratios, i.e., 1:1, 1:2, 1:3, 2:1, and 3:1. Using each Smix ratio, various fractional mixtures of rose oil and Smix (1:9, 2:8, 3:7, 4:6, 5:5, 6:4, 7:3, 8:2, 9:1) were prepared separately using vortex mixture. The defined volume of these oils: Smix mixtures were titrated with gradual addition of water until it became milky or turbid. Based on the volume (fraction) of oil, Smix and water consumed, the ternary phase diagrams (fig. 1) were prepared using Origin 2019 software. The area of microemulsion formation was calculated and the Smix ratio exhibiting the highest area of microemulsion region was selected for further development. Various Smix ratio studied and their respective observed area of microemulsion are shown in table 4.





Fig. 1: Pseudo-ternary phase diagrams of microemulsion using different Smix ratio, i.e., 1:1 (A), 1:2 (B), 1:3 (C), 2:1 (D), and 3:1 (E)
Table 4: Area of microemulsion region in pseudo-ternary phase diagrams
| S. No. | The ratio of surfactant: co-surfactant mixture (Smix) | Area of microemulsion region (%) |
| 1. | 1:1 | 44.24 |
| 2. | 1:2 | 44.82 |
| 3. | 1:3 | 45.45 |
| 4. | 2:1 | 45.68 |
| 5. | 3:1 | 40.69 |
Formulation optimization by D-optimal mixture design
The D-optimal mixture design was used in the optimization of KT-loaded microemulsion due to it’s appropriateness when response variables depend only on the ratios of formulation components mixture. The components of the mixture cannot change individually so, they must add up to 100 % [20] and the D-optimal design is frequently used to identify the effects and interactions between the independent and response variables [21]. A single-block D-optimal mixture design was used to construct polynomial models using Design Expert software. Three different independent variables, i.e., A (oil), B (Smix), and C (water), whereas five different response variables, i.e., particle size, polydispersity index, zeta potential, % transmittance and cumulative % drug release were selected in optimization study as shown in table 5. The sum of A, B, and C was kept fixed at 100 %. The design suggested 12 runs (optimization batches) of microemulsion with different composition to describe the effect of formulation components on the particle size, polydispersity index, zeta potential, % transmittance and cumulative % drug release of microemulsion formulation.
Table 5: Independent and response variables of D-optimal mixture design
| S. No. | Independent variables | Response variables | ||
| Components | Low limit (%) | High limit (%) | ||
| 1. | Oil | 20 | 40 | Particle size (R1) |
| 2. | Smix | 50 | 70 | Polydispersity index (R2) |
| 3. | Water | 10 | 30 | Zeta potential (R3) |
| Transmittance (R4) | ||||
| Cumulative % drug release (R5) | ||||
Statistical model fitting
The software suggested 12 optimization batches (KT/ME/01 to KT/ME/12) were prepared and evaluated for all 5 response variables (R1 to R5). The phase titration method was used for the preparation of microemulsion formulation [22]. The observations of response variables (as shown in table 6) were fed into the software. Analysis of variance (ANOVA) was used to assess the statistical data and the p-value<0.05 was referred to as significant [23, 24].
Characterization of ketoconazole-loaded microemulsion
Particle size, polydispersity index and zeta potential
The particle size, polydispersity index and zeta potential of ketoconazole-loaded microemulsion was determined using Horiba SZ 100 particle size analyzer [25]. The particle size distribution data were calculated using the dynamic light scattering (DLS) technique. The results are recorded in table 6. The in vitro and ex-vivo performance of microemulsion is greatly influenced by it’s particle size because it determines the rate and extent of drug release and absorption [26]. The physical stability of microemulsion and particle interaction depends on the zeta potential, which also affects the flow behavior of the microemulsion [27].
Percentage transmittance
Percentage transmittance (clarity on appearance) of prepared microemulsion formulations of ketoconazole was determined by the UV-visible spectrophotometric technique [28]. The microemulsion formulation was diluted 10 times with continuous phase, i.e., water and was analyzed on a UV-visible spectrophotometer (Shimadzu® 1700) at the specific wavelength of 650 nm [29]. The observations are recorded in table 6.
In vitro drug release study
The KT-loaded microemulsion formulations were studied for in vitro drug release using dialysis membrane (HiMedia) with MWCO of 12-14 kDa [30]. The dialysis membrane was treated before the study, for which it was washed in running water for 3-4 h to remove the glycerin and treated with 0.3 % w/v sodium sulphite solution at 80 °C for 1 min to eliminate sulphur compounds. Then, it was washed with hot water at 60 °C for 2 min followed by acidification with 0.2 % v/v sulphuric acid and washing again with hot water to remove traces of acid. Finally, the membrane was kept in phosphate buffer pH 5.5: ethanol (1:1 ratio).
One ml of microemulsion formulation was filled into the dialysis membrane bag (5 cm) through the open end and then it was closed at another end with a closure clip. The dialysis bag was then placed in a beaker filled with 200 ml of phosphate buffer pH 5.5: ethanol (1:1) and stirred over a hot plate magnetic stirrer set at 37 °C. The in vitro drug release assembly is schematically shown in fig. 2. At regular intervals (i.e., 0.5 h, 1 h, 2 h, 3 h, 4 h, 6 h, 8 h, 10 h, and 24 h), an accurate 5 ml of release media was removed and analyzed at 244 nm using a UV-visible spectrophotometer (Shimadzu® 1700) for determination of % drug release. The observed data is recorded in table 6.

Fig. 2: Schematic presentation of in vitro drug release study
Table 6: The D-optimal design based microemulsion formulations and their observed responses
| S. No. | Formulation code | Independent variable (Formulation component) | Response variable (Evaluation parameter) | ||||||
| Oil (%) | Smix (%) | Water (%) | Particle size (nm) | PDI | Zeta potential (mV) | Transmittance (%) | % CDR at 24 h | ||
| 1. | KT/ME/01 | 30 | 50 | 20 | 46.4 | 0.474 | -0.3 | 97.83 | 87.32 |
| 2. | KT/ME/02 | 34 | 53 | 13 | 30.5 | 0.647 | 0.3 | 95.04 | 95.80 |
| 3. | KT/ME/03 | 40 | 50 | 10 | 39.6 | 0.469 | 0.4 | 6.177 | 62.62 |
| 4. | KT/ME/04 | 20 | 70 | 10 | 692.5 | 2.541 | -0.3 | 99.12 | 86.73 |
| 5. | KT/ME/05 | 30 | 60 | 10 | 954.5 | 1.534 | -0.1 | 97.68 | 83.71 |
| 6. | KT/ME/06 | 20 | 60 | 20 | 19.2 | 0.242 | -0.1 | 96.15 | 75.11 |
| 7. | KT/ME/07 | 30 | 50 | 20 | 46.4 | 0.474 | -0.3 | 97.83 | 86.87 |
| 8. | KT/ME/08 | 20 | 50 | 30 | 20.4 | 0.639 | 0.1 | 97.43 | 56.18 |
| 9. | KT/ME/09 | 23 | 53 | 24 | 22.6 | 0.381 | 0.1 | 96.24 | 90.77 |
| 10. | KT/ME/10 | 23 | 64 | 13 | 19.7 | 0.268 | -0.2 | 97.68 | 66.35 |
| 11. | KT/ME/11 | 20 | 60 | 20 | 19.2 | 0.242 | -0.1 | 96.15 | 73.11 |
| 12. | KT/ME/12 | 30 | 60 | 10 | 954.5 | 1.534 | -0.1 | 97.68 | 86.80 |
#KT = Ketoconazole; ME = Microemulsion; % CDR = Cumulative % drug release
Preparation of optimized KT-loaded microemulsion
The software predicted an optimized composition of ketoconazole-loaded microemulsion having highest desirability value of 0.877, which consists of 31.45 % oil, 55.07 % Smix, and 13.48 % water. The optimized formulation was prepared according to the software predicted composition and was evaluated for each response variables. The software-predicted and experimentally observed response data were compared to validate the optimization study.
Development of gel formulation of optimized microemulsion
For achieving formulation characteristics suitable for topical application, the optimized microemulsion was developed into a gel formulation. A gelling agent is incorporated into microemulsion systems to increase its viscosity, which extends the retention period of KT-loaded microemulsion on the skin. To form the gel base, several polymers, including carbopol 934, carbopol 940, carbopol 971P, and polycarbophil at various concentration (i.e., 1 to 3 %) were soaked and dissolved in the appropriate quantity of water for 1-2 h. Then the optimized formulation of ketoconazole-loaded microemulsion was mixed to the gel base to form a microemulsion-loaded gel formulation.
Evaluation of developed gel formulation
Physical appearance, pH and viscosity
The visual inspection of developed gel formulation was carried out in bright light to determine the physical appearance, colour and homogeneity of KT loaded microemulsion based gel formulation [31].
A 1 % aqueous solution of gel formulation was prepared and it’s pH was measured by a digital pH meter (Cyberscan 510), which should be close to the skin pH to make it patient-friendly and to be non-irritant.
The viscosity of the developed gel was determined by a Brookfield viscometer (DV-II+Pro) at room temperature. Spindle 64 was used for the determination of viscosity at a rotation speed of 10 rpm.
Determination of spreadability
Spreadability is an important parameter for assessment of the homogeneity and ease of application of topical gel formulation [32]. Spreadability describes the area to which gel spreads easily when applied to the skin or other affected areas. Hardness is the force required to produce a certain deformation. A sample is more spreadable when the hardness value is less [33]. TA-XT plus texture analyzer (Stable Microsystem, UK) was used to determine the spreadability of the developed gel formulation.
Determination of cohesiveness and adhesiveness
The ability of a material to stick together by the intermolecular attraction between molecules is referred to as cohesiveness. More physical crosslinking in a polymer allows it to stay in contact with the skin for a long duration. The adhesiveness refers to the energy required to overcome the force of attraction between the surface of the sample and the surface of the probe. TA-XT plus texture analyzer (Stable Microsystem, UK) was used to determine the cohesiveness and adhesiveness of the developed gel formulation.
In vitro drug release and kinetic model fitting
In vitro drug release study of a developed gel formulation of KT loaded microemulsion was carried out by dialysis membrane method in phosphate buffer pH 5.5:ethanol (1:1) as described earlier under the characterization of microemulsion.
To study the drug release kinetics of KT from the developed gel formulation, the in vitro drug release data were statistically analyzed in various kinetic models to identify the mechanism of drug release kinetics. Five different release kinetic models were studied namely zero order, first order, Hixon-Crowel, Korsmeyer-Peppas, and Higuchi’s model and their respective kinetic model plots were prepared [34]. A comparison of the correlation coefficient (R2) values of different kinetic models led to the selection of the drug release kinetic model that best suited the data [35].
Ex-vivo drug permeation study
The ex-vivo permeation study of developed gel formulation of KT loaded microemulsion was performed on the Franz diffusion cell using pork ear skin[36]. The freshly excised pork ear skin was collected from a local slaughterhouse and was rinsed under cold running water and shaved properly to remove hair. On the Franz diffusion cell apparatus, appropriately sized and trimmed pork skin was placed so that the stratum corneum faced the donor compartment and the dermis layer faced the receptor compartment. The receptor compartment containing phosphate buffer pH 5.5: ethanol (1:1) was maintained at 37 °C. Accurately weighed 1 gm of developed gel formulation was placed in the donor compartment. The schematics of ex-vivo permeation study is shown in fig. 3. Accurate 2 ml sample was withdrawn from receptor compartment at 0.5 h, 1 h, 2 h, 3 h, 4 h, 6 h, 8 h, and 10 h and was replaced by equal volume of fresh buffer media. The samples were analyzed on a UV-visible spectrophotometer (Shimadzu® 1700) at 244 nm for determination of amount of drug permeation. Similar permeation study of a marketed product was also done for comparison purpose. Apparent skin permeability coefficient (Papp) and drug permeation flux (Jss) were determined by the following formula:
Papp = 

Jss = Papp × C0
Where dQ/dt represents the slope of the linear portion of drug permeation in receptor chamber against time (mg/h) plot, C0 is the initial drug concentration in the donor compartment (mg/cm3), A is the exposed surface area for permeation (2.357 cm2) and 60 represents the hour to the minute conversion factor.

Fig. 3: Schematics of ex vivo drug permeation using Franz diffusion cell
Selection of microemulsion components
The approximate solubility of ketoconazole (KT) in different oils are shown in table 1. It was observed that the KT showed the highest solubility in pure rose oil (i.e., 80 mg/ml) so it was selected as oil component for further development of microemulsion formulation.
Oil accommodation capacity of different surfactants (as 10 % aqueous solution) was studied and the results are shown in table 2. The HLB value of the surfactant should be more than 10 for preparation of O/W microemulsion. Cremophor RH 40 showed the highest emulsification capacity with maximum accommodation of rose oil in comparison to other surfactants, so, it was selected as surfactant for the development of microemulsion formulation.
For selection of appropriate co-surfactant, different types of co-surfactant were used with selected surfactant (cremophor RH 40) in 1:1 ratio to evalute the oil accommodation capacity. Table 3 showed the oil accommodation capacity of various surfactant: co-surfactant mixture (Smix). Tween 20 was finally selected as the co-surfactant with cremophor RH 40 because it showed the maximum capacity to accommodate rose oil.
Selection of optimum Smix ratio by the pseudo ternary phase diagram
Pseudo-ternary phase diagrams were constructed for microemulsion formation using rose oil, water, and Smix (cremophor RH 40: tween 20) in a different ratio, i.e., 1:1, 1:2, 1:3, 2:1, 3:1 for selection of optimum Smix ratio. These pseudo-ternary phase diagrams are shown in fig. 1. The black area in these diagrams represents the turbid emulsions and the remaining white area represents the microemulsion formation region. The formulation containing 2:1 ratio of Smix (surfactant: co-surfactant ratio) was found to have the largest area of microemulsion region (45.68 %) as shown in table 4. Therefore, 2:1 ratio of Smix was selected for the development of microemulsion.
Optimization of ketoconazole-loaded microemulsion formulation
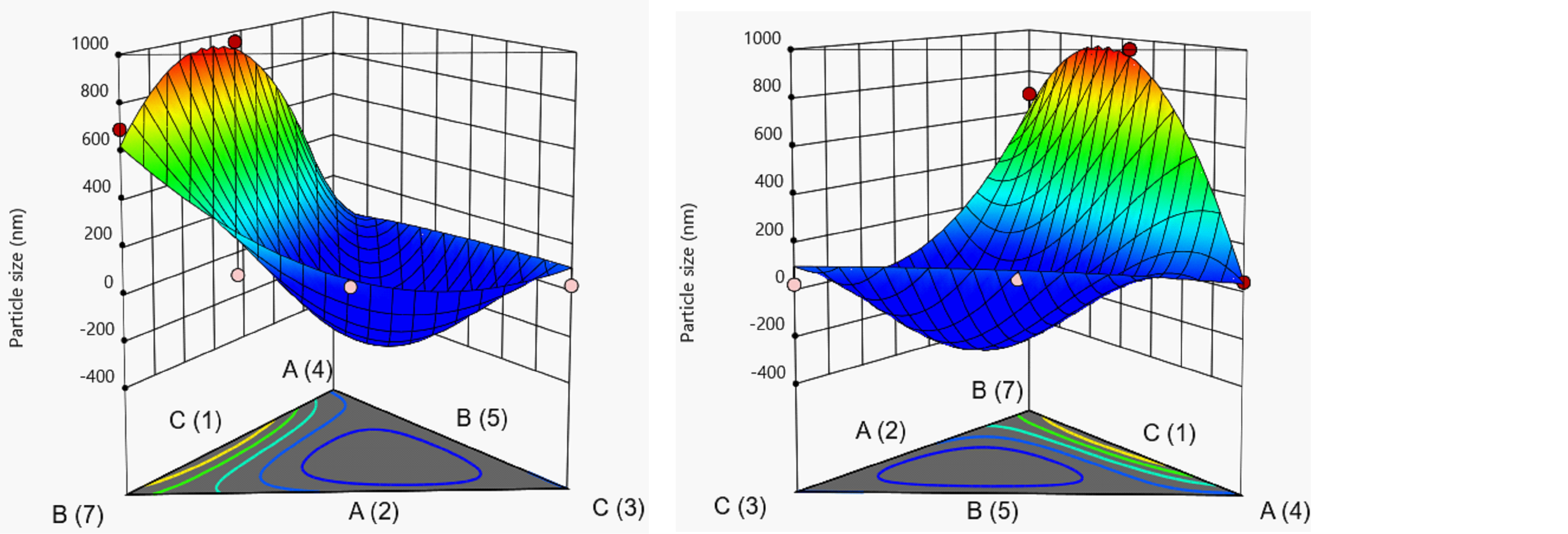
The D-optimal mixture design suggested 12 trial batches were prepared by phase titration method using different combinations of oil, Smix, and water. For optimization of microemulsion formulation, the desired constraints of response variables were set in the software as targeted range of particle size (R1), minimum PDI (R2), maximum zeta potential (R3), maximum % transmittance (R4), and maximum cumulative % drug release. The 3D response surface plots prepared for each response variable are shown in fig. 4 to 8, which demonstrate the effect of different independent variables and their interaction on the response variables. Each response variable of the KT-loaded microemulsion was individually evaluated and described as below.
Effect of independent variables on particle size
The following linear model equation of Design Expert software describes the correlation between various degrees of independent variables and particle size (R1).
R1= 35.47A+622.81B+97.61C+2362.98AB+62.97AC–1211.02BC–17452.92ABC
Where A is oil, B is Smix, and C is water. Any independent variable in the equation that has a positive sign before its coefficient value has an increasing effect on the particle size, whereas the negative sign has a lowering effect. In 12 optimization trial batches (KT/ME/01-KT/ME/12), the particle size data varied from 19.2 nm to 954.5 nm. The impact of oil, Smix, and water content (at constant drug) on the particle size of optimization batches is shown in fig. 4. It shows that the particle size of microemulsion increases with an increase in oil proportion which is in agreement to the previously reported study [37]. Whereas particle size decreases with an increase in proportion of water. The particle size was within the expected range when Smix was used in medium amount.

Fig. 4: Three diamensional surface plots depicting effect of oil (A), Smix (B), and water (C) on particle size of microemulsion
Effect of independent variables on polydispersity index
The following quadratic model equation of Design Expert software describes the correlation between various levels of independent variables and PDI (R2).
R2 = 0.5509A+2.35B+0.7529C–0.2493AB–0.7125AC–5.87BC
In the 12 optimization trial batches, the PDI varied from 0.242 to 2.541. The effect of oil, Smix, and water (at constant drug) on the PDI values of optimization batches is shown in fig. 5. The minimal polydispersity index (PDI) value indicates that the microemulsion had a narrow and homogenous size distribution [38]. The 3D response surface plot shows that the PDI decreases with the decrease in oil and Smix content, whereas it increases with the decrease in water proportion.

Fig. 5: Three diamensional surface plots depicting effect of oil (A), Smix (B), and water (C) on PDI of microemulsion
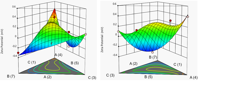
Effect of independent variables on zeta potential
The following cubic model equation of design expert software describes the correlation between various levels of independent variables and zeta potential (R3).
R3 = 0.4413A-0.3534B+0.1139C–0.6135AB–2.19AC–0.1380BC+13.32ABC
In the 12 optimization trial batches, the zeta potential value varied from-0.3 mV to 0.4 mV. The effect of oil, Smix, and water (at constant drug) on zeta potential of optimization batches is shown in fig. 6. High zeta potential value of microemulsion formulation is desirable which helps to promote stability and prevents aggregation [37]. The 3D response surface plot of zeta potential shows that with increases in oil proportion, the zeta potential increases. The concentration of Smix in the medium range leads to increased zeta potential. Whereas there was no significant effect of water on zeta potential.
Effect of independent variables on % transmittance
The following quadratic model equation describes the correlation between various levels of independent variables and % transmittance (R4).
R4 = 11.64A+96.60B+95.50C+179.75AB+184.44AC–14.05BC
In the 12 optimization trial batches the % transmittance data varied from 6.177 % to 99.12 %. The effect of oil, Smix, and water (at constant drug) on the % transmittance of optimization batches is shown in fig. 7. A high % transmittance of the microemulsion is desirable to maintain it’s transparent characteristics [39]. The 3D response surface plot shows that % transmittance increases with an increase in Smix and oil proportion. There was no significant impact of water on % transmittance at a lower and higher levels.
Effect of independent variables on cumulative % drug release
The following equation describes the correlation between various levels of independent variables and cumulative % drug release (R5).
R5 = 62.63A+86.73B+56.18C+36.32AB+111.73AC+17.72BC +1274.32A2BC–2292.22AB2C+1336.53ABC2
In the 12 optimization trial batches the cumulative % drug release (at 24 h) varied from 56.18 % to 95.80 %. The effect of oil, Smix, and water (at constant drug) on cumulative % drug release is shown in fig. 8. The 3D response surface plot shows that cumulative % drug release increases with an increase in oil and water proportion. Smix content at medium range results in increased cumulative % drug release. The cumulative % drug release profiles of different optimization batches (KT/ME/01 to KT/ME/12) are shown in fig. 9.

Fig. 6: Three diamensional surface plots depicting effect of oil (A), Smix (B), and water (C) on zeta potential of microemulsion

Fig. 7: Three diamensional surface plots depicting effect of oil (A), Smix (B), and water (C) on % transmittance of microemulsion

Fig. 8: Three diamensional surface plots depicting effect of oil (A), Smix (B), and water, (C) on cumulative % drug release of microemulsion

Fig. 9: In vitro cumulative % drug release profile of ketoconazole loaded microemulsion batches (n=3; data plotted as mean±SD)
Optimized formulation of ketoconazole microemulsion
The composition of optimized microemulsion formulation was predicted by design expert software based on the maximum desirability value of this formulation after statistical analysis of obtained response data and consideration of desired constraints set for each response variables, i.e., targeted particle size, minimum polydispersity index and maximum zeta potential, % transmittance, and cumulative % drug release in the optimized formulation.
The optimized microemulsion formulation was predicted to have 31.45 % oil content (rose oil), 55.07 % Smix content and 13.48 % water content with constant 2 % drug content and was projected to have the highest desirability value, i.e., 0.877. A 2D contour plot (fig. 10) indicated the maximum desirability of the optimized formulation. The predicted optimized formulation was prepared and evaluated for all response variables. The software-predicted value and experimentally observed value (table 7) were compared for validation of optimization studies.

Fig. 10: 2-Dimentional contour plot of optimized microemulsion showing the highest desirability
Table 7: Software predicted and experimentally observed variable response data
| Composition | Measured responses | |||
| Components | Quantity (%) | Response variable | Software predicted value | Experimentally observed value |
| A (oil) | 31.45 | Particle size (nm) | 50 | 19.7 |
| B (Smix) | 55.07 | PDI | 0.68 | 0.27 |
| C (Water) | 13.48 | Zeta potential (mV) | 0.20 | -0.20 |
| Transmittance (%) | 91.46 | 97.83 | ||
| Cumulative % drug release | 94.42 | 85.85 | ||
Characterization of ketoconazole-loaded microemulsion
Particle size, polydispersity index and zeta potential
The microemulsion formulation meant for topical application are desired to have a particle size less than 100 nm, which helps in better stability and drug retention in the dermal layer and results into enhanced drug permeation at the site of infection [28]. As shown in table 6 the particle size of 12 optimization batches varied from 19.2 nm to 954.5 nm. The particle size range was set to 50 nm in the software. The optimized microemulsion was found to have a particle size of 19.7 nm as shown in fig. 11. The particle size was maintained in the nanometric range even after 100 times dilution with water, demonstrating it’s dilutability and compatability with water. As the PDI values of optimization batches ranged from 0.24 to 2.54, the desired constraint for PDI was chosen to be minimal value. The optimized formulation exhibited minimal PDI value of 0.268, indicating a narrow particle size distribution and homogeneity of the formulation [40]. The zeta potential of optimization batches was found between-0.3 mV to 0.4 mV. It was set to maximum value in software for the optimized formulation; however, the zeta potential value of optimized microemulsion was found to be-0.2 mV. Observed results is shown in table 7.

Fig. 11: Particle size distribution of opti mized microemulsion formulation
Percent transmittance of microemulsion
Percent transmittance of KT microemulsion was determined after appropriate dilution by UV-visible spectrophotometer (Shimadzu® 1700) at a specific wavelength of 650 nm. The % transmittance of 12 optimization batches was found to be between 6.177 to 99.12 % and are recorded in table 6. The % transmittance of optimized batch was found to be 97.83 % which confirmed that the microemulsion formulation is clear and uniform with particle size in the nano range [41].
In vitro drug release of microemulsion
The in vitro drug release of KT-loaded microemulsion was studied in phosphate buffer pH 5.5: ethanol (1:1) using the dialysis method[30]. The cumulative % drug release of 12 optimization batches ranged from 0.20 to 4.26 % at 30 min, 1.37 to 5.95 % at 1 h, 4.32 to 10.46 % at 2 h, 6.55 to 19.32 % at 3 h, 8.18 to 28.35 % at 4 h, 13.11 to 47.82 % at 6 h, 29.13 to 62.47 % at 8 h, 38.40 to 72.41 % at 10 h, and 56.18 to 95.80 % at 24 h. The data are recorded in table 6 and graphically presented in fig. 9. For cumulative % drug release, the desired constraint was set to maximum in the software and the optimized formulation had 85.85 % cumulative drug release at 24 h showing sustained drug release profile.
Development of gel formulation of optimized microemulsion
The optimized formulation of KT loaded microemulsion was incorporated into aqueous solutions of different gelling agents. Among various gelling agents, carbopol 934, carbopol 940, sodium CMC and polycarbophil did not form appropriate gel with desired consistency and appearance; however, a sticky gel was formed with xanthan gum. Whereas, carbopol 971P (at 2.5 %) formed a proper gel with microemulsion that had the desired consistency and homogeneity.
Evaluation of developed gel formulation
Physical appearance, pH and viscosity
On visual inspection, the KT-loaded microemulsion-based gel formulation was appeared to be a uniform thick semisolid with desired homogeneity and clarity. There were no lumps formed or undissolved solids present in the gel.
The pH of the developed gel formulation was found to be 6.2 which was quite similar to pH of the skin. The pH value of gel formulation would be non-irritant to the skin.
The viscosity of the gel formulation was found to be 2178 cps when measured by Brookfield viscometer (DV-II+Pro) at 10 rpm in room temperature. The observed viscosity of gel formulation is quite optimum and acceptable for topical application as a semisolid dosage form.
Spreadability study
Spreadability is an important parameter of a gel formulation during the topical application and therefore, the gel should have a reasonably higher spreadability value. The spreadability of the developed gel was found to be 18.634 g. cm2/sec, which indicates that gel formulation has good spreadability and would require short spreading time.
Cohesiveness and adhesiveness study
Higher physical crosslinking of a polymer gel matrix allows it to stay in contact with the skin for a long duration. The adhesiveness and cohesiveness of the microemulsion gel were found to be 45.989 N/mm2and-85.583, respectively. The observation of cohesiveness study of gel indicated that the gel formulation would have stable semisolid consistancy. The adhesiveness results confirmed that gel formulation would have higher skin retention.
In vitro drug release and kinetic model fitting
The cumulative % drug release of the optimized microemulsion, developed gel of KT loaded microemulsion and the marketed product at 24 h was found to be 85.87 %, 69.08 % and 61.26 %, respectively. The results obtained indicates that the optimized microemulsion and its developed gel formulation showed better drug release than the marketed product over 24 h period. The drug release rate of developed formulation was exhibiting sustained release profile with higher cumulative % drug release.
The drug release kinetics of developed gel formulation was described by data fitting of drug release in different kinetic models which are graphically presented in fig. 13. The regression coefficient (R2values) for different release kinetic models were found to be as 0.79 (zero-order), 0.91 (first-order), 0.87 (Hixon-Crowel), 0.61 (Korsmeyer-Peppas) and 0.96 (Higuchi) and are recorded in table 8. The drug release kinetic data and kinetic model fitting confirmed that the developed gel formulation follows Higuchi’s release kinetic model because it exhibited the highest R2 value (i.e., 0.96) [35].

Fig. 12: In vitro cumulative % drug release of optimized microemulsion (ME), developed ME-based gel formulation, and marketed gel formulation (n=3; data plotted as mean±SD)





Fig. 13: Drug release kinetic models of developed gel formulation
Table 8: Drug release kinetic data of developed gel formulation
| S. No. | Release kinetic model | Equation | K | R2 |
| 1. | Zero-order | Q0–Qt = k0t | 2.74 | 0.79 |
| 2. | First order | log Q = logQ0–kt/2.303 | -0.02 | 0.91 |
| 3. | Hixson-Crowell | Q01/3–Qt1/3 = kt | 0.06 | 0.87 |
| 4. | Korsmeyer-Peppas | Log (Q0–Qt) = log k+n log t | 0.81 | 0.61 |
| 5. | Higuchi | Q0–Qt = kt1/2 | 15.44 | 0.96 |
k is rate constant; t is time; Q0 is initial drug amount; Qt is drug amount remaining at time t
Ex-vivo drug permeation of developed gel formulation
The developed gel formulation of KT loaded microemulsion was found to effectively permeate the drug across porcine skin with cumulative drug permeation of 28.93 % as compared to marketed product, i.e., 20.12 % in 10 h duration. The ex-vivo drug permeation profile of developed formulation and marketed product is graphically represented in fig. 14. As shown in table 9, the apparent permeability (Papp) and permeation flux (Jss) of developed formulation were found to be 10.3×10-4 cm. min-1 and 0.0206 mg/cm2. min, respectively which was 1.84 times higher than the value obtained from marketed product.
Table 9: Ex-vivo drug permeation data of developed gel formulation and marketed product
| S. No. | Sample for permeation study | Papp (cm. min-1) | Jss (mg/cm2. min) |
| 1. | Developed formulation | 10.3×10-4 | 0.0206 |
| 2. | Marketed product | 5.6×10-4 | 0.0112 |

Fig. 14: Ex-vivo drug permeation profile of developed gel formulation vs marketed product (n=3; data plotted as mean±SD)
The D-optimal mixture design was successfully used in the formulation optimization of ketoconazole-loaded microemulsion. The optimized microemulsion possessed all product attributes, i.e., particle size, polydispersity index, zeta potential, % transmittance, and cumulative % drug release in an acceptable range. The optimized microemulsion was a clear, transparent and homogenous system. The developed gel formulation of ketoconazole microemulsion using 2.5 % carbopol 971P was a smooth homogeneous semisolid having desired consistency and good appearance. The developed formulation exhibited sustained drug release profile following Higuchi’s kinetic model. The Ex-vivo drug permeation study revealed that the developed formulation showed almost 2 times higher drug permeation as compared to marketed product. Based on the physico-chemical properties, in vitro and ex-vivo studies it can be concluded that developed gel formulation showing all desired CQAs in acceptable range, sustained drug release profile and enhanced drug permeation properly may prove to be an effective drug delivery system for topical application of ketoconazole in treatment of fungal skin infections.
The authors are thankful to M/s. Encube Ethical Pvt. Ltd. Mumbai for providing Ketoconazole and BASF Mumbai for providing Cremophor RH 40 as a generous gift sample.
Nil
All authors have contributed equally.
The authors declare no conflict of interests.
Kaur IP, Kakkar S. Topical delivery of antifungal agents. Expert Opin Drug Deliv. 2010;7(11):1303-27. doi: 10.1517/17425247.2010.525230, PMID 20961206.
Zuber TJ, Baddam K. Superficial fungal infection of the skin. Where and how it appears help determine therapy. Postgrad Med. 2001;109(1):117-20. doi: 10.3810/pgm.2001.01.830, PMID 11198246.
Rezabek GH, Friedman AD. Superficial fungal infections of the skin. Diagnosis and current treatment recommendations. Drugs. 1992;43(5):674-82. doi: 10.2165/00003495-199243050-00004, PMID 1379146.
Vartak R, Menon S, Patki M, Billack B, Patel K. Ebselen nanoemulgel for the treatment of topical fungal infection. Eur J Pharm Sci. 2020;148:105323. doi: 10.1016/j.ejps.2020.105323, PMID 32259677.
Sharadha M, Gowda D, Vishal Gupta N, Akhila AR. An overview on topical drug delivery system–updated review. IJRPS 2020;11(1):368-85. doi: 10.26452/ijrps.v11i1.1831.
Ashara KC, Paun JS, Soniwala MM, Chavada JR, Mori NM. Micro-emulsion based emulgel: a novel topical drug delivery system. Asian Pac J Trop Dis. 2014;4:S27-32. doi: 10.1016/S2222-1808(14)60411-4.
Sharma N, Aggarwal G, Rana AC, Bhat Z, Kumar D. A review: transdermal drug delivery system: a tool for novel drug delivery system. Int J Drug Dev Res. 2011;3:70-84.
Kathe K, Kathpalia H. Film forming systems for topical and transdermal drug delivery. Asian J Pharm Sci. 2017;12(6):487-97. doi: 10.1016/j.ajps.2017.07.004, PMID 32104362.
Dudhipala N, Ay AA. Amelioration of ketoconazole in lipid nanoparticles for enhanced antifungal activity and bioavailability through oral administration for management of fungal infections. Chem Phys Lipids. 2020;232:104953. doi: 10.1016/j.chemphyslip.2020.104953, PMID 32814084.
Badawi AA, Sakran WS, Ramadan MA, El-Mancy SMS. Improvement of the microbiological activity of topical ketoconazole using microemulsion systems. J Drug Deliv Sci Technol. 2012;22(6):473-8. doi: 10.1016/S1773-2247(12)50083-3.
Date AA, Patravale VB. Microemulsions: applications in transdermal and dermal delivery. Crit Rev Ther Drug Carrier Syst. 2007;24(6):547-96. doi: 10.1615/critrevtherdrugcarriersyst.v24.i6.20, PMID 18298390.
Callender SP, Mathews JA, Kobernyk K, Wettig SD. Microemulsion utility in pharmaceuticals: implications for multi-drug delivery. Int J Pharm. 2017;526(1-2):425-42. doi: 10.1016/j.ijpharm.2017.05.005, PMID 28495500.
Egito EST, Amaral Machado L, Alencar EN, Oliveira AG. Microemulsion systems: from the design and architecture to the building of a new delivery system for multiple-route drug delivery. Drug Deliv Transl Res. 2021;11(5):2108-33. doi: 10.1007/s13346-020-00872-8, PMID 33164165.
Atanasova T, Kakalova M, Stefanof L, Petkova M, Stoyanova A, Damyanova S. Chemical composition of essential oil from rosa damascena mill., growing in new region of Bulgaria. Ukr Food J. 2016(5):492-8.
Pal PK. Evaluation, genetic diversity, recent development of distillation method, challenges and opportunities of rosa damascena: a review. J Essent Oil Bear. 2013;16(1):1-10.
Achuthan CR, Babu BH, Padikkala J. Antioxidant and hepatoprotective effects of Rosa damascena. Pharm Biol. 2003;41(5):357-61. doi: 10.1076/phbi.41.5.357.15945.
Tiwari N, Sivakumar A, Mukherjee A, Chandrasekaran N. Enhanced antifungal activity of ketoconazole using rose oil based novel microemulsion formulation. J Drug Deliv Sci Technol. 2018;47:434-44. doi: 10.1016/j.jddst.2018.07.007.
Nornoo AO, Osborne DW, Chow DS. Cremophor-free intravenous microemulsions for paclitaxel I: Formulation, cytotoxicity and hemolysis. Int J Pharm. 2008;349(1-2):108-16. doi: 10.1016/j.ijpharm.2007.07.042, PMID 17869459.
Shukla JB, Jani GK, Omri AW. Formulation and evaluation of oral self microemulsifying drug delivery system of candesartan cilexetil. Int J Pharm Pharm Sci. 2016;8(5):238-43.
Chouhan P, Saini TR. D-optimal design and development of microemulsion based transungual drug delivery formulation of ciclopirox olamine for treatment of onychomycosis. Indian J Pharm Sci. 2016;78(4):498-511. doi: 10.4172/pharmaceutical-sciences.1000145.
El-Malah Y, Nazzal S, Khanfar NM. D-Optimal mixture design: optimization of ternary matrix blends for controlled zero-order drug release from oral dosage forms. Drug Dev Ind Pharm. 2006;32(10):1207-18. doi: 10.1080/03639040600685167, PMID 17090443.
Singh PK, Iqubal MK, Shukla VK, Shuaib M. Microemulsions: current trends in novel drug delivery systems. Int J Pharm Chem Biol Sci. 2014;1(1):39-51.
Momoh MA, Franklin KC, Agbo CP, Ugwu CE, Adedokun MO, Anthony OC. Microemulsion-based approach for oral delivery of insulin: formulation design and characterization. Heliyon. 2020;6(3):e03650. doi: 10.1016/j.heliyon.2020.e03650, PMID 32258491.
Alam MS, Ali MD, Ansari MS, Sharma P. Inhibitory effects on tumor necrosis factor alpha and interleukin 12 using clobetasol propionate loaded tea tree oil nanoemulsion gel on animal model. Asian J Pharm Clin Res. 2018;11(6):182-5. doi: 10.22159/ajpcr.2018.v11i6.24888.
Kumar KJR, Muralidharan S, Dhanaraj SA. Antifungal activity of microemulsion based fluconazole gel for onychomycosis against Aspergillus niger. Int J Pharm Pharm Sci. 2012;5(1):96-102.
Gursoy RN, Benita S. Self-emulsifying drug delivery systems (SEDDS) for improved oral delivery of lipophilic drugs. Biomed Pharmacother. 2004;58(3):173-82. doi: 10.1016/j.biopha.2004.02.001, PMID 15082340.
Ujhelyi Z, Vecsernyes M, Feher P, Kosa D, Arany P, Nemes D. Physico-chemical characterization of self-emulsifying drug delivery systems. Drug Discov Today Technol. 2018;27:81-6. doi: 10.1016/j.ddtec.2018.06.005, PMID 30103867.
Gandhi J, Suthar D, Patel H, Shelat P, Parejiya P. Development and characterization of microemulsion based topical gel of essential oil of clove (Syzygium aromaticum) for superficial fungal infections. Adv Tradit Med (ADTM). 2021;21(3):519-34. doi: 10.1007/s13596-020-00462-6.
Patel HK, Barot BS, Parejiya PB, Shelat PK, Shukla A. Topical delivery of clobetasol propionate loaded microemulsion based gel for effective treatment of vitiligo: ex vivo permeation and skin irritation studies. Colloids Surf B Biointerfaces. 2013;102:86-94. doi: 10.1016/j.colsurfb.2012.08.011, PMID 23000677.
Soni PK, Saini TR. Purification of drug loaded liposomal formulations by a novel stirred cell ultrafiltration technique. Pharm Nanotechnol. 2021;9(5):347-60. doi: 10.2174/2211738509666211124145848, PMID 34819014.
Wulansari A, Jufri M, Budianti A. Studies on the formulation, physical stability, and in vitro antibacterial activity of tea tree oil (Melaleuca alternifolia) nanoemulsion gel. Int J App Pharm. 2017;9(1):135-9. doi: 10.22159/ijap.2017.v9s1.73_80.
Jagdale S, Brahmane S, Chabukswar A. Optimization of microemulgel for tizanidine hydrochloride. Antiinflamm Antiallergy Agents Med Chem. 2020;19(2):158-79. doi: 10.2174/1871523018666190308123100, PMID 30854978.
Pande V, Patel S, Patil V, Sonawane R. Design expert assisted formulation of topical bioadhesive gel of sertaconazole nitrate. Adv Pharm Bull. 2014;4(2):121-30. doi: 10.5681/apb.2014.019, PMID 24511475.
Jamil L, Jan SU, Gul R. Formulation of microemulsion based gel of salbutamol sulphate and it’s in vitro studies. Int J Curr Pharm Sci. 2020:102-7. doi: 10.22159/ijcpr.2020v12i4.39093.
Mohammed WH, Ali WK, Al-Awady MJ Research. Evaluation of in vitro drug release kinetics and antibacterial activity of vancomycin HCl-loaded nanogel for topical application. J Pharm Sci. 2018;10(11):2747-56.
Soni PK, Saini TR. Formulation design and optimization of cationic-charged liposomes of brimonidine tartrate for effective ocular drug delivery by design of experiment (DoE) approach. Drug Dev Ind Pharm. 2021;47(11):1847-66. doi: 10.1080/03639045.2022.2070198, PMID 35484943.
Shinde UA, Modani SH, Singh KH. Design and development of repaglinide microemulsion gel for transdermal delivery. AAPS PharmSciTech. 2018;19(1):315-25. doi: 10.1208/s12249-017-0811-4, PMID 28717973.
Barot BS, Parejiya PB, Patel HK, Gohel MC, Shelat PK. Microemulsion-based gel of terbinafine for the treatment of onychomycosis: optimization of formulation using D-optimal design. AAPS PharmSciTech. 2012;13(1):184-92. doi: 10.1208/s12249-011-9742-7, PMID 22187363.
Kumar N, Shishu. D-optimal experimental approach for designing topical microemulsion of itraconazole: characterization and evaluation of antifungal efficacy against a standardized tinea pedis infection model in wistar rats. Eur J Pharm Sci. 2015;67:97-112. doi: 10.1016/j.ejps.2014.10.014, PMID 25445834.
Kale SN, Deore SL. Emulsion micro emulsion and nano emulsion: a review. Syst Rev Pharm. 2016;8(1):39-47. doi: 10.5530/srp.2017.1.8.
Urmaliya H, Gupta M, Agrawal A, Jain NK, Dubey A. Formulation development and evaluation of microemulsion gel of ketoconazole as an antifungal agent. Int J Pharm Sci. 2016;2:120-30.