
1Department of Pharmacology, School of Pharmaceutical Education and Research, Jamia Hamdard, New Delhi-110062, India. 2Biobay Solutions, Ahmedabad-382481, Gujarat, India. 3Formulation Research and Development-Orals, Sun Pharmaceuticals Industries Limited, Gurugram-122017, Haryana, India
*Corresponding author: Kiran Dubey; *Email: kirandubey@gmail.com
Received: 25 Mar 2023, Revised and Accepted: 27 Apr 2023
ABSTRACT
Objective: Alectinib hydrochloride (AH), a poorly soluble drug, exhibits low solubility thereby very low bioavailability. The present study aims to develop and optimize surface-modified solid dispersion of AH (AH-SMSD) with enhanced solubility and dissolution using Soluplus® (SOL) and Gelucire 44/14 (GEL) as a polymer and surfactant, respectively.
Methods: Design of Experiments (DoE) was implemented to optimize the weight ratio of SOL (X1), and GEL (X2), keeping the drug weight constant to maximize the solubility (Y1) and dissolution (Y2). The optimized solid dispersion was subjected to solubility and dissolution in bio-relevant media and characterized using differential scanning calorimetry (DSC), Powder X-ray diffraction (pXRD), Fourier-transform infrared (FTIR), and scanning electron microscopy (SEM).
Results: A statistically significant model is obtained for solubility and dissolution through DoE. Formulation (F9) containing AH: SOL: GEL in weight ratios 1:5:5 showed a 547-fold increase in solubility. This solubility enhancement further translated into dissolution improvement with drug release of >80% in 15 min. The optimized formulation also showed improved solubility and dissolution in fasted-state bio-relevant media. DSC and pXRD showed a change in the crystallinity pattern of the drug. FTIR showed the existence of weak intermolecular interactions. Morphological evaluation through SEM demonstrated that the drug particles were dispersed to a hydrophilic carrier matrix, thus, transforming the hydrophobic drug into a hydrophilic form.
Conclusion: AH-SMSD with enhanced solubility and dissolution was successfully developed. The optimized formulation also showed improvement in the bio-relevant media and therefore has the potential to improve in vivo oral bioavailability (however, needs to be experimentally explored).
Keywords: Poor solubility, Soluplus, Gelucire, Surface-modified solid dispersion, Biorelevant media
© 2023 The Authors. Published by Innovare Academic Sciences Pvt Ltd. This is an open access article under the CC BY license (https://creativecommons.org/licenses/by/4.0/)
DOI: https://dx.doi.org/10.22159/ijap.2023v15i4.47851. Journal homepage: https://innovareacademics.in/journals/index.php/ijap
Alectinib hydrochloride (AH) is a Food and Drug Administration (FDA) approved drug for the treatment of patients with Anaplastic Lymphoma Kinase (ALK+) non-small-cell lung cancer (NSCLC). AH is a highly selective ALK inhibitor that has demonstrated 10-fold potency over crizotinib. Currently, AH is used in patients with ALK+NSCLC who are intolerant to crizotinib [1, 2]. AH exhibits poor solubility, thus, presenting challenges for dissolution and clinical bio-availability [3]. The absolute bioavailability of AH has been reported as 37% under fed conditions. The impaired bioavailability of AH has been attributed to its low aqueous solubility in aqueous buffers and moderate in vitro permeability, which results in incomplete absorption of AH from the clinical formulation [2–5]. Interestingly, the solubility of AH is substantially higher in fed-state simulated intestinal fluid (FeSSIF) than in fasted-state simulated intestinal fluid (FaSSIF), thus, indicating a surfactant-oriented drug solubility [6]. This improved solubility led to an approximately 3-fold increase in systemic exposure of AH when co-administrated with a high-fat meal (fed state) as compared to a fasting state [3, 7]. Due to its poor bioavailability, the recommended dose of AH is quite high i.e., 600 mg (4 x 150 mg capsule) twice daily taken along with food to meet clinical efficacy [6, 7]. Thus, addressing the solubility concern is the first and foremost challenge for a formulator in the development of an immediate-release solid dosage form [8].
Various pharmaceutical techniques have been reported in the literature to address the solubility concern. Some of the key reported techniques are surfactant/micelle, co-solvency, self-emulsification, complexation, prodrug, salt/ionization/pH control, nanosuspension/nanocrystal, polymorphism, solid dispersion, etc. [9–16]. Of all reported techniques, the solid dispersion (SD) technique has proven to be a promising and industrially scalable technique to address the solubility and dissolution issues, with several approved products available in the market [14, 17]. The enhancement in solubility and dissolution in the SD system can be attributed to several factors, such as the transformation of crystal lattice into a highly disordered amorphous state, particle size reduction, improved wettability, etc. [18, 19]. A novel surface-modified solid dispersion (SMSD) has been discussed in the literature. This novel SMSD provides improved solubility and oral bioavailability of poorly water-soluble drugs. This is attributed to the surface modification of the hydrophobic drug to a hydrophilic form with the use of hydrophilic polymer and surfactant. Further, this SMSD does not show any crystalline change and, thus, offers excellent stability [20, 21].
Polymers in SD play a vital role in improving solubility and dissolution by inducing polymer-drug interactions, further stabilizing the SD, and preventing the recrystallization of the drug during its shelf-life [13]. It also helps to maintain super-saturation in the gastrointestinal (GI) tract, thereby resulting in improved bioavailability through SD. Soluplus® (SOL), a synthetic polymer with amphiphilic properties, has gained attention for its applicability in SD with extensive solubilization nature for poorly soluble drugs [22–25]. SOL as a polymer offers excellent biopharmaceutical wettability of drugs, preventing recrystallization and maintaining super-saturation in the GI tract with minimum toxicity [17, 26]. Several studies in the literature have reported that SOL can improve solubility, dissolution, and bioavailability for a variety of drugs, including diosgenin [26], lopinavir [27], and felodipine [28].
The introduction of surfactants for ternary SD resulted in enhanced in vitro dissolution and bioavailability of poorly soluble drugs by improving the wettability of drugs and preventing drug precipitation from a supersaturated state. Surfactants further facilitate the inhibition of drug recrystallization by enhancing the miscibility between drug and carrier, therefore, stabilizing SD [18]. Gelucire 44/14 (GEL) is a semi-solid waxy amphiphilic excipient with surface-active properties that have been studied for solubility and dissolution enhancement of carbamazepine [29] and piroxicam [30], and bioavailability enhancement of piroxicam [31].
The present study focuses on developing and optimizing the SD formulation of AH with enhanced solubility and dissolution using the SMSD technique. Further, the performance of the optimized formulation was also evaluated for the drug release profile in bio-relevant media to foresee its performance in vivo conditions. Characterization of the optimized AH-SMSD was carried out using differential scanning calorimetry (DSC), Powder X-ray diffraction (pXRD), Fourier-transform infrared (FTIR), and Scanning Electron Microscopy (SEM) to investigate the possible reasons for solubility and dissolution enhancement.
Materials
Alectinib Hydrochloride (AH) was provided by Sun Pharmaceutical Industries Limited (India). Polyvinyl caprolactam polyvinyl acetate-polyethylene glycol graft copolymer (Soluplus® [SOL]), Copovidone (Kollidon® VA64), and Sodium lauryl Sulfate (Kolliphor® SLS) were kindly gifted by BASF (Germany). Plasdone™ K-29/32 was kindly gifted by Ashland (India). Hydroxypropyl cellulose (HPC-L) was provided by Nippon Soda Co. Lauroyl Polyoxyl-32 glycerides (Gelucire® 44/14 [GEL]) were provided by Gattefosse (France).
Formulation development
A systematic formulation development approach was taken for formulation development. It starts with screening suitable polymer and surfactant for SD and further optimizing the suitable ratio of polymer and surfactant to get maximum solubility and dissolution enhancement.
Carrier selection [Polymer/Surfactant]
Different SD carriers were screened to find suitable excipients for solubility enhancement. For screening the suitable carrier matrix, SD containing the drug to the carrier (SOL, GEL, Kollidon VA 64, Povidone K30, HPC-L, and SLS) in a 1:1 ratio was prepared and subjected to solubility studies in Simulated Gastric Fluid (SGF). The carrier that resulted in maximum solubility enhancement was selected as a suitable polymer and surfactant for further formulation development.
Optimization of AH-SMSD using design of experiments (DoE)
After the selection of a suitable polymer and surfactant, optimization of AH-SMSD for weight ratios of polymer and surfactant was carried out using design of experiments (DoE). Custom design with two factors and three levels was employed using JMP Statistical software version 9 (SAS Institute). The independent variables were the weight ratio for SOL (X1) and GEL (X2) at 0, 2.5 and 5 levels and 0, 5 and 10 levels, respectively, keeping AH weight ratio 1 constant. The dependent variables were solubility (Y1), and dissolution at 30 min (Y2). The experimental design suggested by JMP with independent variables (X1 and X2) along with their measured dependent variables (Y1, and Y2) has been summarized in table 1.
Preparation of solid dispersion
AH-SMSDs were prepared using the solvent evaporation method. Briefly, an accurately weighed quantity of carrier(s) was dissolved in acetone using a mechanical stirrer (RQ 124A, Universal Motors Ltd., Mumbai, India). Further, an accurately weighed quantity of AH was then added to the carrier solution and stirred for another 45–60 min. The obtained dispersion was then poured into petri-plates and dried at 40±2 °C in a vacuum oven (Remi, Mumbai, India). The dried samples were withdrawn, milled, and packed in the triple laminated bag.
Evaluation of solid dispersion
Solubility tests
The solubility tests of AH and AH-SMSDs were carried out in SGF pH 1.2. The excess amount of AH and AH-SMSDs samples was added to 25 ml of media. The suspension was kept at 37+1.0 °C for 24 h in a bio-shaker. Samples were withdrawn after 24 h and centrifuged at 4000 rpm for 10 min (REMI R-8C Laboratory Centrifuge). The supernatant was filtered through a 0.45 µm filter and subjected to HPLC analysis to determine the drug concentrations. Aliquots of 10 µl filtered samples were injected into a C18 column (250 x 4.6 mm, 5 µm, Waters). A gradient program consisting of mobile phases A and B was used for HPLC analysis. Mobile phases A and B consisted of pH 7 buffer and acetonitrile in 90:10 and 30:70 ratios, respectively. The flow rate and column temperature were maintained at 1.5 ml/min and 40 °C, respectively, during the analysis. A PDA detector was used to monitor the effluent at a wavelength of 230 nm [32].
In vitro dissolution tests
The drug release of all AH-SMSDs was studied in SGF pH 1.2 containing 0.25% Sodium lauryl sulfate (SLS), 900 ml, USP II apparatus (paddle), 100 rpm, 37.0±0.5 °C. AH-SMSD equivalent to 150 mg of AH-free base was used for dissolution studies. Samples were withdrawn at a predetermined time point and immediately replaced with fresh media. The withdrawn samples were filtered and injected into HPLC with a C18 column (250 x 4.6 mm, 5 µm, Waters). A gradient program consisting of mobile phases A and B was used for HPLC analysis. Mobile phases A and B consisted of water and acetonitrile and trifluoroacetic acid (TFA) in 700:300:0.5 v/v and 100:900:0.5 v/v, respectively. The flow rate and column temperature were maintained at 1.5 ml/min and 40 °C, respectively, during the analysis. A PDA detector was used to monitor the effluent at a wavelength of 230 nm [32].
Evaluation of optimized AH-SMSD in bio-relevant media
The optimized AH-SMSD formulation was further studied for its impact on solubility and dissolution in bio-relevant media. FaSSGF and FaSSIF media are reported to simulate the physiological condition of the stomach and proximal small intestine, respectively during the fasted state [33]. Studies in these media will help to understand the possibility of the improved in vivo oral bioavailability of the developed formulation. The solubility/dissolution samples were analyzed using HPLC parameters mentioned in the solubility tests and in vitro dissolution tests sections.
Preparation of FaSSGF media
HCl/NaCl solution was prepared by dissolving 19.990 g NaCl in about 9 L of purified water and the pH was adjusted to 1.6 by using HCl. The volume was made up to 10 L using purified water. 0.5597 g Simulated intestinal fluid powder was added to about 5 L of HCl/NaCl solution and then the volume was made up to 10 L using HCl/NaCl solution and thereafter it was used for dissolution studies.
Preparation of FaSSIF media
The preparation of FaSSIF starts with the preparation of blank FaSSIF. 6.186 g Sodium chloride, 4.47 g Sodium dihydrogen orthophosphate, and 0.348 g Sodium hydroxide were dissolved in 900 ml of distilled water. The pH of the obtained solution was adjusted to 6.5 by using 1 N NaOH or HCl, followed by a volume make up to 1000 ml using distilled water to get blank FasSSIF media. 2.240g Simulated intestinal fluid powder was dissolved in 500 ml of blank FaSSIF media to get a clear micellar solution. The volume of the solution was further made up to 1000 ml using blank FaSSIF media. The obtained solution was allowed to stand for 2 h and used thereafter [34]. The quantity of chemical reagents was adjusted as per the quantity of media required for the study.
Physicochemical characterization of optimized solid dispersion
Differential scanning calorimetry (DSC)
The optimized AH-SMSD and individual components were analyzed using a differential scanning calorimeter (STARe System DSC 3, Mettler Toledo). The instrument was calibrated using the Indium standard and Zinc. Experiments were performed to scan ranges from 30 to 400 °C at a heating rate of 10 °C/min at a nitrogen flow of 40 ml/min.
Powder X-ray diffraction (pXRD)
The powder X-ray patterns of optimized AH-SMSD and individual components were analyzed. pXRD of the samples was generated using a PANalytical X’Pert PRO diffractometer. The instrument was equipped with a Copper anode (Cu Kα radiation, 40 kV voltage, 40 mA current). The samples were scanned with a step size of 0.02° at 0.01°/sec scan speed between 3° to 40° 2θ range.
Fourier Transform Infrared Spectroscopy (FTIR)
The FT-IR spectra of the optimized AH-SMSD and individual components were studied using a Perkin Elmer Spectrum ONE FT-IR spectrometer in the range of 4000-400 cm-1 using a resolution of 4 cm-1.
Morphological study using Scanning Electron Microscope (SEM)
The morphologies of optimized AH-SMSD and individual components were characterized using SEM (Jeol, Model–JSM-6010LA, Japan). Before microscopic observation, all samples were exposed to platinum sputter-coating in argon.
Carrier selection [Polymer/Surfactant]
Carrier selection was performed based on drug solubility studies. SOL and GEL showed higher solubility enhancement among various screened carriers at a 1:1 drug-to-carrier ratio (fig. 1). SOL exhibited 52-fold higher solubility, while GEL showed 23-fold higher solubility at 24 h, respectively, compared to the pure drug (1 µg/ml).
A study was further undertaken to assess the relationship between drug solubility and different concentrations of screened individual SD carriers-SOL (polymer) and GEL (surfactant). The varying weight ratio of individual SD carriers keeping the drug weight ratio constant (1:1, 1:5, 1:10) was further evaluated to select the right weight ratios of these two SD carrier combinations for DoE studies. A comparison of the drug solubility and carriers’ concentration reveals higher linearity for GEL with R2=0.994 as compared to SOL with R2= 0.911 (fig. 2). A similar finding was observed where lapatinib ditosylate and carrier (SOL) concentration showed a linear relationship between solubility and carrier (SOL) concentration [15]. Further, GEL showed higher linearity for solubility above critical micellar concentration (CMC), indicating the solubilization is through micellization [35].
Solubility tests
One of the important factors that determine oral bioavailability is drug solubility [36, 37]. The poor aqueous solubility of the drug leads to incomplete absorption through the GI tract, thereby resulting in poor bioavailability [14]. One of the strategies to address the low bioavailability problem is to increase the apparent drug solubility and the dissolution rate [38]. To develop a formulation with maximum apparent solubility of the AH-SD, DoE was employed to optimize the weight ratio of SOL and GEL. The experimental design and the resultant experimental solubility data for AH-SMSD are elucidated in table 1. All AH-SMSD showed solubility enhancement as compared to pure AH. However, F7 and F9 with AH, SOL, and GEL in weight ratios 1:5:10 and 1:5:5 exhibited the highest solubility among the studied weight ratios.
The data (as a response) generated for each run of the suggested experimental design was analyzed using a fit model to achieve maximum solubility enhancement. A statistically significant model was obtained with a p-value<0.05 and R2 of the regression plot (actual vs predicted) was close to 1 for the solubility response (Y1). As evident from table 2a, p-values for both SOL and GEL were less than 0.05 indicating that both excipients significantly impact the solubility of prepared AH-SMSDs. The surface profiler (fig. 3a) was generated during the custom design analysis through JMP software, showing a graphical representation of the correlation between dependent and independent variables. SOL showed a relatively linear relationship, while GEL showed a curvature effect for solubility at 24 h.

Fig. 1: Screening of solid dispersion carrier system using solubility studies of Alectinib hydrochloride in SGF [mean±SD, n=3]. HPC-L: Hydroxypropyl cellulose (L grade); SLS: sodium lauryl sulfate

Fig. 2: Solubility of AH as a function of AH: Carrier solid dispersion. AH: Alectinib hydrochloride; SOL: Soluplus; GEL: Gelucire 44/14
Table 1: Summary of AH-SMSD prepared as per the design of experiments suggested by JMP and their solubility and dissolution measurements
| Formulation | AH | SOL [X1] |
GEL [X2] |
AH: SOL: GEL (Weight ratio) |
Mean saturation solubility# (µg/ml)±SD at 37 °C/24 h [Y1] | Mean dissolution## (%)±SD at 30 min [Y2] |
| F1 | 1 | 2.5 | 0 | 1:2.5:0 | 208±33.7 | 75±9.8 |
| F2 | 1 | 0 | 5 | 1:0:5 | 190±5.1 | 93±3.7 |
| F3 | 1 | 0 | 0 | 1:0:0 | 1±0.0 | 45±3.1 |
| F4 | 1 | 2.5 | 10 | 1:2.5:10 | 354±14.4 | 65±4.1 |
| F5 | 1 | 5 | 0 | 1:5:0 | 296±33.2 | 89±1.0 |
| F6 | 1 | 2.5 | 5 | 1:2.5:5 | 324±24.3 | 89±6.5 |
| F7 | 1 | 5 | 10 | 1:5:10 | 547±91.1 | 83±7.4 |
| F8 | 1 | 0 | 10 | 1:0:10 | 348±21.1 | 97±0.5 |
| F9 | 1 | 5 | 5 | 1:5:5 | 547±124.4 | 94±2.5 |
AH: Alectinib hydrochloride; SOL: Soluplus; GEL: Gelucire 44/14; AH-SMSD: Surface modified solid dispersion of Alectinib hydrochloride, #Simulated gastric fluid (SGF), n=3, ##900 ml, Simulated gastric fluid (SGF) containing 0.25% Sodium lauryl sulfate (SLS), USP-II, paddle speed 100 rpm, n=6
Table 2: Summary of parameter estimates for the design of experiments (DOE) suggested by JMP
a) Response: Solubility at 24 h
| Term | Estimate | Std Error | t Ratio | p-value, Prob>|t| |
| SOL(0,5) | 141.83333 | 26.00475 | 5.45 | 0.0121* |
| SOL*SOL | 26.166667 | 45.04154 | 0.58 | 0.6020 |
| GEL(0,10) | 124 | 26.00475 | 4.77 | 0.0175* |
| GEL*GEL | -61.33333 | 45.04154 | -1.36 | 0.2665 |
| SOL*GEL | -24 | 31.84918 | -0.75 | 0.5059 |
b) Response: Dissolution at 30 min
| Term | Estimate | Std error | T ratio | P-value, Prob>|t| |
| SOL(0,5) | 0.1666667 | 2.469568 | 0.07 | 0.9504 |
| SOL*SOL | 12.833333 | 4.277417 | 3.00 | 0.0577 |
| GEL(0,10) | 8.6666667 | 2.469568 | 3.51 | 0.0392* |
| GEL*GEL | -37.66667 | 4.277417 | -8.81 | 0.0031** |
| SOL*GEL | -17 | 3.024591 | -5.62 | 0.0111* |
*p-value<0.05, **p-value<0.01, AH: Alectinib hydrochloride; SOL: Soluplus; GEL: Gelucire 44/14
In vitro dissolution tests
Improvement in solubility is expected to result in an improved dissolution profile of the AH-SMSD. Accordingly, dissolution studies were carried out to investigate the improvement in the dissolution rate. The dissolution at 30 min, response (Y2), was analyzed using a fit model for the suggested experimental design to obtain maximum dissolution enhancement. A statistically significant model was obtained (p-value<0.05) with R2 of the regression plots close to 1. As evident from table 2b, a significant impact (p-value<0.05) was observed on dissolution at 30 min (Y2) for individual GEL (X2), quadratic GEL (X2), and interaction factor for SOL (X1) and GEL (X2) for prepared AH-SMSD. However, SOL showed a quadratic relation with a p-value slightly higher than 0.05. The surface profiler (fig. 3b) showed a curvature effect for both SOL and GEL for dissolution at 30 min.

Fig. 3: Surface profiler for [a] Solubility at 24 h (Y1), and [b] Dissolution at 30 min (Y2) as a response generated by JMP software for different weight ratios of SOL (X1) and GEL (X2). SOL: Soluplus; GEL: Gelucire 44/14
As evident in fig. 4, AH (F3) showed the slowest and incomplete dissolution among all evaluated formulations. Formulations (F1 and F4) showed incomplete drug release while other formulations (F2, F5, F6, F7, F8, F9) showed complete drug release (>85% at terminal time point). Formulation (F9) containing AH: SOL: GEL at 1:5:5 weight ratio showed the fastest drug release with>80% drug release in 15 min. These findings suggest that an optimum quantity of polymer (SOL) is required to obtain the complete drug release and the inclusion of surfactant as ternary SD will maximize the dissolution rate. It supports the utility of developing ternary SMSD for AH, comprising SOL as a polymer and GEL as a surfactant. Moreover, the rapid release from formulation F9 (>80% in 15 min) may be due to the improved wettability of drug particles by the presence of surfactant (GEL), further supported by localized solubilization by amphiphilic polymer (SOL) [39–41]. In the solubility studies, both formulations F7 and F9 exhibited the highest solubility among the studied weight ratios. However, F9 showed the fastest dissolution profile, thus, further considered for characterization.

Fig. 4: Dissolution profile of Alectinib hydrochloride solid dispersions (AH-SD) in Simulated Gastric Fluid (SGF) containing 0.25% SLS [mean±SD, n=6]
Table 3: Saturation solubility of optimized formulation AH-SMSD (F9) in bio-relevant media as compared to alectinib hydrochloride
| # | Formulation description | Mean saturation solubility [n=3] (µg/ml)±SD at 37 °C/24 h | |
| FaSSGF | FaSSIF | ||
| AH | - | 1±0.6 | 0±0.0 |
| F9 | AH-SMSD (AH: SOL: GEL 1:5:5) | 290±63.5 | 559±87.0 |
AH: Alectinib hydrochloride; SOL: Soluplus; GEL: Gelucire 44/14; AH-SMSD: Surface modified solid dispersion of Alectinib hydrochloride; FaSSGF: Fasted State Simulated Gastric Fluid; FaSSIF: Fasted State Simulated Intestinal Fluid


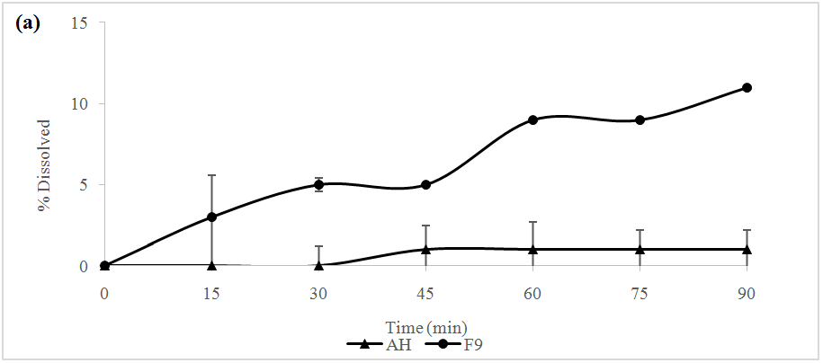
Fig. 5: Dissolution profile of the optimized AH-SMSD (F9) in bio-relevant media (a) FaSSGF–Fasted State Simulated Gastric Fluid (b) FaSSIF–Fasted State Simulated Intestinal Fluid in comparison of the pure drug (AH) [mean±SD, n=6]. AH: Alectinib hydrochloride; AH-SMSD: Surface-modified solid dispersion of Alectinib hydrochloride
Evaluation of optimized AH-SMSD in Bio-relevant media
AH showed low bioavailability in the fasting state; hence it becomes pertinent to study the performance of the optimized AH-SMSD in the bio-relevant media. Accordingly, the solubility of formulation F9 was studied in bio-relevant media–FaSSGF and FaSSIF. A remarkable increase in solubility for AH-SMSD (F9) was observed in bio-relevant media with 290-fold and 559-fold enhancement in FaSSGF and FaSSIF, respectively [Table 3]. Further, the dissolution performance of the AH-SMSD formulation (F9) was studied in these bio-relevant media. A remarkable improvement in dissolution was observed for the optimized AH-SMSD (F9) as compared to the pure drug (AH) in FaSSGF (fig. 5a). Increased dissolution in FaSSGF media ensures the drug will be available in the solubilized form in the stomach, thereby, may enhance the bioavailability. However, observed dissolution in FaSSIF media is comparable for both AH and AH-SMSD F9 (fig. 5b), which is not aligned with the solubility observation. This may be due to the interaction of SOL micelles with bile and lecithin micelles. Similar results are reported in literature where SOL-based SD resulted in retarded solubilization for candesartan cilexetil [42] and dissolution for dolutegravir [43] in bio-relevant media.
Differential scanning calorimetry (DSC)
To further investigate the improvement in AH-SMSD solubility, the thermal behavior and changes in the crystallinity pattern of the AH and AH-SMSD were studied using DSC studies. AH and GEL are crystalline in nature, indicated by sharp melting peaks at 356.11 °C and 39.94 °C, respectively. While SOL does not show any endothermic peaks, indicating its amorphous nature. The optimized formulation, F9 showed the disappearance of the sharp melting peak of the drug, indicating a change in the crystallinity of the optimized AH-SMSD (fig. 6). It may be attributed to the transformation of the crystalline drug into an amorphous state [44] or the solubilization of AH in SOL and GEL. Similar results have been reported in another study wherein SD of lapatinib ditosylate (LB-DT) prepared by solvent rotary evaporation technique exhibited the disappearance of the drug peak in LB-DT, indicating the absence of crystallinity in the formulated solid dispersion [15].
Powder X-ray diffraction (pXRD)
To further understand the change in the crystallinity for the optimized AH-SMSD, pXRD was carried out. X-ray diffractive patterns of AH, SOL, GEL, and optimized AH-SMSD (F9) are depicted in fig. 7. The characteristic crystalline peak of AH was observed with major diffraction peaks at 8.45°, 8.70°, 11.97°, 14.02°, 16.76°, 18.80°, 18.99°, 20.20°, 21.49°, and 23.38°±0.2°θ. GEL exhibited two broad peaks at 18.92° and 23.24°±0.2°θ while SOL did not exhibit any crystalline peaks, indicating its amorphous nature. AH-SMSD containing AH: SOL: GEL 1:5:5 (F9) exhibited small low-intensity peaks at 14.02°±0.2°θ and 20.20±0.2°θ which are characteristic peaks of AH and broad peaks were observed at 18.79 and 23.38±0.2°θ that is common peak position to both AH and GEL. The disappearance of some of the characteristics peaks and reduction in the sharpness and height of the crystalline peaks of AH at 14.02°±0.2°θ and 20.20±0.2°θ of AH-SMSD (F9) confirm the change in the crystallinity of the AH when formulated by SMSD (F9) technique [45]. Similar findings have been reported in the previous study wherein the disappearance of characteristics peaks of kaempferol indicated a reduction in crystallinity after preparation of solid dispersion using Poloxamer 407 [46]. These results suggest that the enhanced solubility of AH was not due to the conversion of the crystalline drug into an amorphous state. It can be attributed to the reduction of crystallinity and the surface modification of hydrophobic drug (AH) by amphiphilic polymer (SOL) and surfactant (GEL) into a hydrophilic form [47].

Fig. 6: DSC thermograms of (a) Alectinib hydrochloride (b) Soluplus (c) Gelucire 44/14 (d) AH-SMSD (F9)-AH: SOL: GEL in ratio 1:5:5. AH: Alectinib hydrochloride; SOL: Soluplus; GEL: Gelucire 44/14; AH-SMSD: Surface modified solid dispersion of Alectinib hydrochloride

Fig. 7: PXRD spectra of (a) Alectinib hydrochloride (b) Soluplus (c) Gelucire 44/14/(d) AH-SMSD (F9) with AH: SOL: GEL in ratio 1:5:5. AH: Alectinib hydrochloride; SOL: Soluplus; GEL: Gelucire 44/14; AH-SMSD: Surface modified solid dispersion of Alectinib hydrochloride
Fourier Transform Infrared Spectroscopy (FTIR)
FTIR has been extensively used as a tool to investigate any specific interaction e. g., H-bond between drugs and carriers in SDs. Any interaction in the solid dispersion against the individual components is indicated by changes in the frequency, bandwidth, and intensity in FTIR spectra [48]. As evident from fig. 8, FTIR of AH, SOL, and GEL shows heavy overlapping IR peaks. AH, SOL and AH-SMSD (F9) showed peaks at 1632.06 cm-1, 1639.93 cm-1, and 1632.44 cm-1, respectively, for the C=O bond. The formation of an H-bond reduces the carbonyl bond order indicated by the change in C=O stretching frequency. The IR peaks of the C=O bond for AH-SMSD (F9) were also observed in the same region, indicating that there is no direct evidence of H-bonding. This may be due to heavy overlapping IR peaks in the same region. Further, AH, SOL, GEL, and AH-SMSD (F9) showed a peak at 3434.1 cm-1, 3462.97 cm-1, 3458.99 cm-1, and 3445.06 cm-1 for NH stretching. The shift and broadening of the peak for AH-SMSD (F9) in the NH region indicated intermolecular interaction. In our previous study, molecular docking studies showed that Van der Waals and hydrophobic interaction were the major interactions between AH and SOL [32]. Further, a hydrophobic interaction is expected between AH and GEL, resulting in the solubilization of a hydrophobic drug (AH) in hydrophobic long hydrocarbon chains of GEL. The above reasons may be attributed to enhanced AH solubility in the presence of SOL and GEL.

Fig. 8: FTIR spectra of (a) Alectinib hydrochloride (b) Soluplus (c) Gelucire 44/14 (d) AH-SMSD (F9) with AH: SOL: GEL in ratio 1:5:5. AH: Alectinib hydrochloride; SOL: Soluplus; GEL: Gelucire 44/14; AH-SMSD: Surface modified solid dispersion of Alectinib hydrochloride
Morphological study of the AH-SMSD using Scanning Electron Microscope (SEM)
The morphological characteristics of the AH-SMSD were investigated through SEM to understand potential interaction, if any. The microphotographs from SEM of AH, SOL, and GEL showed fine agglomerated particles, irregular-shaped particles, and big indistinct particles, respectively (fig. 9a, b, c). AH-SMSD (F9) presents irregularly shaped particles with rough texture (fig. 9d), unlike conventional ternary amorphous solid dispersion. It indicates the drug particles are dispersed in the carrier matrix. Further, the polymer and surfactant might be attached to the hydrophobic surface of the drug, thus, resulting in the surface-modification of drug particles into a hydrophilic surface. Similar findings have been reported wherein SEM studies revealed the prepared SMSD showed rough and irregularly shaped particles with surface-attached hydrophilic carriers [49, 50].

Fig. 9: SEM images of (a) Alectinib hydrochloride (b) Soluplus (c) Gelucire 44/14 (d) AH-SMSD (F9)-AH: SOL: GEL in ratio 1:5:5. AH: Alectinib hydrochloride; SOL: Soluplus; GEL: Gelucire 44/14; AH-SMSD: Surface modified solid dispersion of Alectinib hydrochloride
Alectinib hydrochloride is a poorly soluble drug that exhibits impaired bioavailability, thus, leading to a high dose recommendation to meet the therapeutic efficacy. Ternary AH-SMSD containing a combination of SOL and GEL were successfully developed and optimized using DoE. A significant improvement in both solubility and dissolution was observed for ternary AH-SMSD compared to the pure drug. Further, solubility analysis of the combination of SOL and GEL in the AH-SD in the DoE study suggests a synergistic improvement in AH solubility. A similar synergistic pattern was also observed in the dissolution enhancement for AH-SMSD (F9) containing a combination of SOL and GEL. The present study provides the merits and utility of using a combination of polymer (SOL) and surfactant (GEL) in ternary SMSDs for solubility and dissolution enhancement of a poorly water-soluble drug. Characterization of the AH-SMSD showed that solubility and dissolution enhancement may be accounted for a change in the crystallinity pattern of the AH. Furthermore, there was evidence of weak intermolecular interactions, as indicated by FT-IR. Also, the existence of hydrophobic interaction between AH and SOL was indicated by molecular docking studies in our previous study. There is the possibility of hydrophobic interaction between AH and GEL due to the hydrophobic drug and the long hydrocarbon chain of GEL. Morphological evaluation by SEM revealed that the drug particles are well dispersed within a hydrophilic carrier matrix, thus giving a rough and irregularly shaped particle. Optimized AH-SMSD (F9), a ternary SMSD, showed an improvement in solubility and in vitro dissolution in FaSSGF, a bio-relevant media. SOL is also reported as an absorption enhancer, thus, can further improve absorption [39]. Therefore, there are chances of improved in vivo oral bioavailability from the optimized AH-SMSD in the fasted state. These studies showed that ternary surface-modified solid dispersion of AH has a promising pharmaceutical application.
We thank Sun Pharmaceutical Industries Limited, Gurugram, India for providing the infrastructure for carrying out experiments.
There is no funding source.
This article does not contain any studies with human participants or animals performed by any of the authors.
All the authors have contributed equally.
The authors declare that they have no conflict of interest.
Larkins E, Blumenthal GM, Chen H, He K, Agarwal R, Gieser G. FDA approval: alectinib for the treatment of metastatic, ALK-positive non-small cell lung cancer following crizotinib. Clin Cancer Res. 2016 Nov 1;22(21):5171-6. doi: 10.1158/1078-0432.CCR-16-1293, PMID 27413075.
Morcos PN, Parrott N, Banken L, Timpe C, Lindenberg M, Guerini E. Effect of the wetting agent sodium lauryl sulfate on the pharmacokinetics of alectinib: results from a bioequivalence study in healthy subjects. Clin Pharmacol Drug Dev. 2017 May 1;6(3):266-79. doi: 10.1002/cpdd.299, PMID 27545871.
Morcos PN, Yu L, Bogman K, Sato M, Katsuki H, Kawashima K. Absorption, distribution, metabolism and excretion (ADME) of the ALK inhibitor alectinib: results from an absolute bioavailability and mass balance study in healthy subjects. Xenobiotica. 2017 Mar;47(3):217-29. doi: 10.1080/00498254.2016.1179821, PMID 27180975.
Parrott NJ, Yu LJ, Takano R, Nakamura M, Morcos PN. Physiologically based absorption modeling to explore the impact of food and gastric pH changes on the pharmacokinetics of alectinib. AAPS J. 2016 Nov 1;18(6):1464-74. doi: 10.1208/s12248-016-9957-3, PMID 27450228.
Australian public assessment reports (AusPAR). Woden: Therapeutic Goods Administration. Extract from the Clinical Evaluation Report for Alectinib; 26 Dec 2017. Available from: https://www.tga.gov.au/resources/auspar/auspar-alectinib-hydrochloride. [Last accessed on 18 Apr 2023]
Morcos PN, Guerini E, Parrott N, Dall G, Blotner S, Bogman K. Effect of food and esomeprazole on the pharmacokinetics of alectinib, a highly selective ALK inhibitor, in healthy subjects. Clin Pharmacol Drug Dev. 2017 Jul 1;6(4):388-97. doi: 10.1002/cpdd.296, PMID 27545320.
Drugs@FDA. Silver Spring: United States Food and Drug Administration. FDA-approved drugs; 03 Sep 2021. Available from: https://www.accessdata.fda.gov/drugsatfda_docs/label/2021/208434s012lbl.pdf.
Savjani KT, Gajjar AK, Savjani JK. Drug solubility: importance and enhancement techniques. ISRN Pharm. 2012;2012:195727. doi: 10.5402/2012/195727. PMID 22830056.
Zhang X, Xing H, Zhao Y, Ma Z. Pharmaceutical dispersion techniques for dissolution and bioavailability enhancement of poorly water-soluble drugs. Pharmaceutics. 2018 Jun 23;10(3):74. doi: 10.3390/pharmaceutics10030074, PMID 29937483.
Kim DH, Kim YW, Tin YY, Soe MTP, Ko BH, Park SJ. Recent technologies for amorphization of poorly water-soluble drugs. Pharmaceutics. 2021 Aug 23;13(8):1308-18. doi: 10.3390/pharmaceutics13081318, PMID 34452279.
Kaushik R, Budhwar V, Kaushik D. An overview on recent patents and technologies on solid dispersion. Recent Pat Drug Deliv Formul. 2020 Jan 17;14(1):63-74. doi: 10.2174/1872211314666200117094406, PMID 31951172.
Nair AR, Lakshman YD, Anand VSK, Sree KSN, Bhat K, Dengale SJ. Overview of extensively employed polymeric carriers in solid dispersion technology. AAPS PharmSciTech. 2020;21(8)(8):309. doi: 10.1208/s12249-020-01849-z, PMID 33161493.
Tekade AR, Yadav JN. A review on solid dispersion and carriers used therein for solubility enhancement of poorly water-soluble drugs. Adv Pharm Bull. 2020 Jul;10(3):359-69. doi: 10.34172/apb.2020.044, PMID 32665894.
Tran P, Pyo YC, Kim DH, Lee SE, Kim JK, Park JS. Overview of the manufacturing methods of solid dispersion technology for improving the solubility of poorly water-soluble drugs and application to anticancer drugs. Pharmaceutics. 2019 Mar 19;11(3):132. doi: 10.3390/pharmaceutics11030132, PMID 30893899.
Hu XY, Lou H, Hageman MJ. Preparation of lapatinib ditosylate solid dispersions using solvent rotary evaporation and hot melt extrusion for solubility and dissolution enhancement. Int J Pharm. 2018 Dec 1;552(1-2):154-63. doi: 10.1016/j.ijpharm.2018.09.062, PMID 30268849.
Borawake PD, Arumugam K, Shinde JV. Formulation of solid dispersions for enhancement of solubility and dissolution rate of simvastatin. Int J Pharm Pharm Sci. 2021 Jul 1:94-100. doi: 10.22159/ijpps.2021v13i7.41205.
Shamma RN, Basha M. Soluplus®: A novel polymeric solubilizer for optimization of carvedilol solid dispersions: formulation design and effect of method of preparation. Powder Technol. 2013 Mar;237:406-14. doi: 10.1016/j.powtec.2012.12.038.
Vasconcelos T, Sarmento B, Costa P. Solid dispersions as strategy to improve oral bioavailability of poor water-soluble drugs. Drug Discov Today. 2007 Dec;12(23-24):1068-75. doi: 10.1016/j.drudis.2007.09.005, PMID 18061887.
Sarkar P, Das S, Majee SB. Solid dispersion tablets in improving oral bioavailability of poorly soluble drugs. Int J Curr Pharm Sci. 2022 Mar 15:15-20. doi: 10.22159/ijcpr.2022v14i2.1961.
Park YJ, Oh DH, Yan YD, Seo YG, Lee SN, Choi HG. Surface-attached solid dispersion. J Pharm Investig. 2010 May 15;40:97-102. doi: 10.4333/KPS.2010.40.S.097.
Park JH, Cho JH, Kim DS, Kim JS, Din FU, Kim JO. Revaprazan-loaded surface-modified solid dispersion: physicochemical characterization and in vivo evaluation. Pharm Dev Technol. 2019 Jul 3;24(6):788-93. doi: 10.1080/10837450.2019.1597114, PMID 30885016.
Alshahrani SM, Lu W, Park JB, Morott JT, Alsulays BB, Majumdar S. Stability-enhanced hot-melt extruded amorphous solid dispersions via combinations of Soluplus® and HPMCAS-HF. AAPS PharmSciTech. 2015 Aug 25;16(4):824-34. doi: 10.1208/s12249-014-0269-6, PMID 25567525.
Caron V, Hu Y, Tajber L, Erxleben A, Corrigan OI, McArdle P. Amorphous solid dispersions of sulfonamide/Soluplus® and sulfonamide/PVP prepared by ball milling. AAPS PharmSciTech. 2013 Mar;14(1):464-74. doi: 10.1208/s12249-013-9931-7, PMID 23389838.
Tian B, Ju X, Yang D, Kong Y, Tang X. Effect of the third component on the aging and crystallization of cinnarizine-soluplus® binary solid dispersion. Int J Pharm. 2020 Apr 30;580:119240. doi: 10.1016/j.ijpharm.2020.119240, PMID 32197983.
BASF Pharma. Technical information-surplus. Florham Park: BASF Corporation; 2019. Available from: https://pharma.basf.com/products/soluplus [Last accessed on 18 Apr 2023].
Liu P, Zhou JY, Chang JH, Liu XG, Xue HF, Wang RX. Soluplus-mediated diosgenin amorphous solid dispersion with high solubility and high stability: development, characterization and oral bioavailability. Drug Des Devel Ther. 2020;14:2959-75. doi: 10.2147/DDDT.S253405, PMID 32801637.
Zi P, Zhang C, Ju C, Su Z, Bao Y, Gao J. Solubility and bioavailability enhancement study of lopinavir solid dispersion matrixed with a polymeric surfactant–soluplus. Eur J Pharm Sci. 2019 Jun 15;134:233-45. doi: 10.1016/j.ejps.2019.04.022, PMID 31028820.
Lu J, Cuellar K, Hammer NI, Jo S, Gryczke A, Kolter K. Solid-state characterization of felodipine-soluplus amorphous solid dispersions. Drug Dev Ind Pharm. 2016 Jan 1;42(3):485-96. doi: 10.3109/03639045.2015.1104347, PMID 26530290.
da Fonseca Antunes AB, De Geest BG, Vervaet C, Remon JP. Gelucire 44/14 based immediate release formulations for poorly water-soluble drugs. Drug Dev Ind Pharm. 2013 May;39(5):791-8. doi: 10.3109/03639045.2012.709251, PMID 22871141.
Karataş A, Yuksel N, Baykara T. Improved solubility and dissolution rate of piroxicam using gelucire 44/14 and Labrasol. Farmaco. 2005 Sep;60(9):777-82. doi: 10.1016/j.farmac.2005.04.014, PMID 16084514.
Yüksel N, Karatas A, Ozkan Y, Savaşer A, Ozkan SA, Baykara T. Enhanced bioavailability of piroxicam using gelucire 44/14 and Labrasol: in vitro and in vivo evaluation. Eur J Pharm Biopharm. 2003 Nov;56(3):453-9. doi: 10.1016/s0939-6411(03)00142-5, PMID 14602190.
Saha SK, Joshi A, Singh R, Jana S, Dubey K. An investigation into solubility and dissolution improvement of alectinib hydrochloride as a third-generation amorphous solid dispersion. J Drug Deliv Sci Technol. 2023 Feb 9;81:104259. doi: 10.1016/j.jddst.2023.104259.
Klein S. The use of biorelevant dissolution media to forecast the in vivo performance of a drug. AAPS J. 2010 Sep;12(3):397-406. doi: 10.1208/s12248-010-9203-3, PMID 20458565.
Rehman S, Nabi B, Fazil M, Khan S, Bari NK, Singh R. Role of P-glycoprotein inhibitors in the bioavailability enhancement of solid dispersion of darunavir. BioMed Res Int. 2017;2017:8274927. doi: 10.1155/2017/8274927, PMID 29226149.
Rangel Yagui CO, Pessoa A, Tavares LC. Micellar solubilization of drugs. J Pharm Pharm Sci. 2005 Jul 8;8(2):147-65. PMID 16124926.
Mai NNS, Otsuka Y, Kawano Y, Hanawa T. Preparation and characterization of solid dispersions composed of curcumin, hydroxypropyl cellulose and/or sodium dodecyl sulfate by grinding with vibrational ball milling. Pharmaceuticals (Basel). 2020 Nov 1;13(11):1-15. doi: 10.3390/ph13110383, PMID 33198284.
Vats SK, Gupta RN, Ramaraju K, Singh R. Design and statistical evaluation of a multiunit delivery system containing nisoldipine-soluplus® solid dispersion for hypertension chronotherapy. Int J Pharm Pharm Sci. 2016;8(10):170-7. doi: 10.22159/ijpps.2016v8i10.13442.
Boyd BJ, Bergstrom CAS, Vinarov Z, Kuentz M, Brouwers J, Augustijns P. Successful oral delivery of poorly water-soluble drugs both depends on the intraluminal behavior of drugs and of appropriate advanced drug delivery systems. Eur J Pharm Sci. 2019 Sep 1;137:104967. doi: 10.1016/j.ejps.2019.104967, PMID 31252052.
Linn M, Collnot EM, Djuric D, Hempel K, Fabian E, Kolter K. Soluplus® as an effective absorption enhancer of poorly soluble drugs in vitro and in vivo. Eur J Pharm Sci. 2012 Feb 14;45(3):336-43. doi: 10.1016/j.ejps.2011.11.025, PMID 22172603.
He Y, Johnson JLH, Yalkowsky SH. Oral formulation of a novel antiviral agent, PG301029, in a mixture of gelucire 44/14 and DMA (2:1, wt/wt). AAPS PharmSciTech. 2005 Apr 8;6(1):E1-5. doi: 10.1208/pt060101, PMID 16353952.
Giri BR, Kim JS, Park JH, Jin SG, Kim KS, Din FU. Improved bioavailability and high photostability of methotrexate by spray-dried surface-attached solid dispersion with an aqueous medium. Pharmaceutics. 2021 Jan 16;13(1):111. doi: 10.3390/pharmaceutics13010111, PMID 33467157.
Pinto JMO, Rengifo AFC, Mendes C, Leao AF, Parize AL, Stulzer HK. Understanding the interaction between Soluplus® and biorelevant media components. Colloids Surf B Biointerfaces. 2020 Mar 1;187:110673. doi: 10.1016/j.colsurfb.2019.110673, PMID 31812452.
Lakshman D, Chegireddy M, Hanegave GK, Sree KN, Kumar N, Lewis SA. Investigation of drug-polymer miscibility, biorelevant dissolution, and bioavailability improvement of dolutegravir-polyvinyl caprolactam-polyvinyl acetate-polyethylene glycol graft copolymer solid dispersions. Eur J Pharm Sci. 2020 Jan 15;142:105137. doi: 10.1016/j.ejps.2019.105137, PMID 31706016.
Radke R, Jain NK. Enhancement of solubility and bioavailability of BCS class-II ambrisentan: in vitro, in vivo and ex vivo analysis. Int J App Pharm. 2022 Jan 1;14(1):67-74. doi: 10.22159/ijap.2022v14i1.43347.
Aparna TN, Siva Rao ASS. Formulation, in vitro and in vivo evaluation of palbociclib solid dispersions. Int J App Pharm. 2022 Sep 1;14(5):144-52. doi: 10.22159/ijap.2022v14i5.43992.
Colombo M, de Lima Melchiades G, Michels LR, Figueiro F, Bassani VL, Teixeira HF. Solid dispersion of kaempferol: formulation development, characterization, and oral bioavailability assessment. AAPS PharmSciTech. 2019 Feb 11;20(3):106. doi: 10.1208/s12249-019-1318-y, PMID 30746582.
Lee SN, Poudel BK, Tran TH, Marasini N, Pradhan R, Lee YI. A novel surface-attached carvedilol solid dispersion with enhanced solubility and dissolution. Arch Pharm Res. 2013 Jan;36(1):79-85. doi: 10.1007/s12272-013-0008-7, PMID 23328872.
Sarpal K, Munson EJ. Amorphous solid dispersions of felodipine and nifedipine with Soluplus®: drug-polymer miscibility and intermolecular interactions. J Pharm Sci. 2021 Apr 1;110(4):1457-69. doi: 10.1016/j.xphs.2020.12.022, PMID 33359813.
Li DX, Jang KY, Kang W, Bae K, Lee MH, Oh YK. Enhanced solubility and bioavailability of sibutramine base by solid dispersion system with an aqueous medium. Biol Pharm Bull. 2010;33(2):279-84. doi: 10.1248/bpb.33.279, PMID 20118553.
Joe JH, Lee WM, Park YJ, Joe KH, Oh DH, Seo YG. Effect of the solid-dispersion method on the solubility and crystalline property of tacrolimus. Int J Pharm. 2010 Aug;395(1-2):161-6. doi: 10.1016/j.ijpharm.2010.05.023, PMID 20580799.