
*Department of Pharmaceutical Chemistry, GITAM School of Pharmacy, GITAM Deemed to be University, Visakhapatnam-530045, Andhra Pradesh, India
*Corresponding author: Sumanta Mondal; *Email: logonchemistry@gmail.com
Received: 23 Mar 2023, Revised and Accepted: 03 Jun 2023
ABSTRACT
Objective: To specify ritonavir and its commercial dosage form, the current study set out to design and validate concise, precise, and efficient high-performance liquid chromatography and spectrophotometric methods. The developed spectroscopy and chromatographic methods are reliable, precise, accurate, and specific for estimating ritonavir.
Methods: The method is superior to previously described methods due to its shorter retention duration, use of an affordable and easily accessible mobile phase, UV detection, and improved peak resolution. The maximum absorbance was determined by analysing multiple concentration ranges of ritonavir at 10-60 µg/ml using the UV-spectrophotometric method. The chromatographic separation was performed with a mobile phase composed of acetonitrile and 0.1% formic acid (1:1 v/v) pumped at a 1.0 ml/min flow rate on a phenyl (150 x 4.6 mm, 3.5 µm) column.
Results: Obeyed Beer-Lambert law over the 10-60 µg/ml and 25-150 µg/ml concentration range of ritonavir for the UV-spectrophotometric and HPLC methods, respectively. The absorbance at 273 nm was selected as the maximum absorbance throughout the UV-spectroscopic study. The detection and quantification limits for UV-spectroscopic are 0.89 and 2.93 µg/ml, whereas for the HPLC method are 0.78 and 2.57 µg/ml, respectively. In the accuracy and precision validation studies, the amount of recovery and percentage of RSD was excellent with acceptance limits as per International Conference on Harmonization (ICH) guidelines.
Conclusion: The suggested method has been approved following standards established by the ICH. The developed methods can be employed to analyse ritonavir API and pharmaceutical dosage forms and provide better specificity, excellent separation, and specified analyte and degradation substances.
Keywords: Ritonavir, Spectrophotometry, HPLC, ICH guidelines, Method validation, Degradation study
© 2023 The Authors. Published by Innovare Academic Sciences Pvt Ltd. This is an open access article under the CC BY license (https://creativecommons.org/licenses/by/4.0/)
DOI: https://dx.doi.org/10.22159/ijap.2023v15i4.47924. Journal homepage: https://innovareacademics.in/journals/index.php/ijap
In 2008, around 33.4 million HIV-positive individuals worldwide, nearly 2 million of whom passed away. By lowering HIV-related morbidity and death, highly active antiretroviral therapy (HAART) has renewed hope for those with HIV/AIDS [1]. Ritonavir is (5S, 8S, 10S,11S)-10-hydroxy-2-methyl-5-(1-methylethyl)-1-[2-(1-methylethyl) -4-thiazolyl]-3, 6-dioxo-8, 11-bis (phenylmethyl)-2, 4, 7, 12-tetraazatridecan-13-oic acid 5-thiazolyl methyl ester (fig. 1) [2]. Between 1995 and 1997, the United States Food and Drug Administration (FDA) approved the protease inhibitor ritonavir, transforming HIV therapy. Ritonavir has an HIV-1 impedance profile [3]. It is seldom employed for its antiviral activity but is a booster for other protease inhibitors [4]. Ritonavir can inhibit severe acute respiratory syndrome (SARS) or novel coronavirus [5], and it can also inducer of several metabolizing enzymes like CYP1A4, glucuronosyl transferase, CYP2C9, and CYP2C19; the magnitude of drug interactions is difficult to predict, particularly for drugs that are metabolized by multiple enzymes or have low intrinsic clearance by CYP3A [6]. Ritonavir is strongly protein-bound, with a half-life of 3-5 h. Due to the CYP3A4 isoenzyme system's auto-induction, it will reduce its metabolism [7]. Contrarily, the side effects cause headaches, diarrhoea, weariness, heartburn, and changes in food tastes [8].






Fig. 1: Structure of ritonavir
We asserted through the literature review that is using various analytical methods, ritonavir was evaluated. Ritonavir has been evaluated using various techniques, including bio-analytical, high-performance liquid chromatography, ultra-high-performance liquid, high-performance thin-layer chromatography, ultraviolet–visible spectroscopy, capillary electrophoresis, liquid-chromatography–mass spectrometry, and LC-ESI-MS, both alone and in combination with other drugs in pharmaceutical formulations [9-19]. However, a few streamlined UV-spectrophotometric and HPLC techniques employed for regular analysis of ritonavir alone were published with erroneous justification; therefore, these assembled data might not be helpful for future research. In this regard, our main aim is to develop robust, rapid, sensitive, selective, linear, and precise types of UV-spectrophotometric and HPLC methods for determining ritonavir and performing stability-indicating stress degradation studies. The method was validated as per the United States Pharmacopeia [20] and ICH guidelines [21]. The proposed analytical method developed by the appropriate selection of less toxic solvents is an enormous challenge because better separation and quantification analysis is much more important. Linearity, accuracy, precision, specificity, the limit of detection (LOD), and the limit of quantification (LOQ) are performed and used to ascertain the drug content of ritonavir in various pharmaceutical products following ICH Q2(R1) criteria.
Apparatus
Shimadzu 1800 UV spectrophotometer was used for this analysis, with 1 cm matched quartz cells for all measurements and UV probe 4.2 series software. Water alliance High-performance liquid chromatography system with phenyl (150 x 4.6 mm, 3.5 µm) column and PDA detector was used for chromatographic separation. For data analysis and integration, empower software was used. The investigation employed a digital analytical balance (Mettler Toledo, India), an ultrasonic sonicator (UCA 701, Unichrome, India), and validated borosilicate glass pipettes, volumetric flasks, beakers, and an adjustment of pH was made using a consort Helico LI-120 pH meter.
Chemicals and reagents
Mylan Laboratories Ltd., Hyderabad, India provided pure samples of ritonavir (99.9%). In comparison, the reagents and chemicals utilized were analytical HPLC grade based. Acetonitrile and methanol were purchased from Loba Chemie Pvt. Ltd., Mumbai, India. Membrane filters (0.45 μm) purchased from Phenomenex (USA) were. The commercial dosage of the ritonavir tablets (ritomune-100) has been obtained from the local market. All the chemicals used were analytical reagent grade, and the solvents were HPLC grade. Ideal Chemicals Pvt. Ltd, India, provided analytical grade formic acid, acetonitrile of liquid chromatography (LC) grade, sodium hydroxide, hydrogen peroxide, and hydrochloric acid. Analytical balance (AX 200; Shimadzu Analytical Pvt. Ltd., India), and pH meter were used during the study.
Development of UV-spectrophotometric and HPLC methods to identify ritonavir
Employed UV-spectroscopic method (Method A)
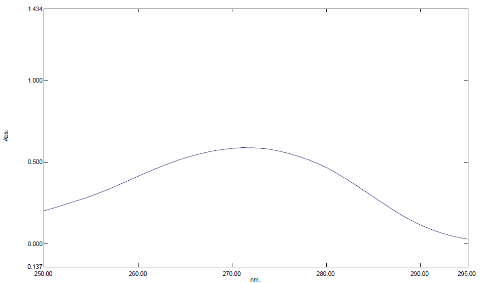
UV-Vis spectroscopic scanning is an easy-to-use, non-intrusive analytical method with the potential to support formulation development mechanistically. UV scanning over the previous five years has shown potential in various drug substances and delivery methods. It is also qualitatively and quantitatively useful in some more specialized research. This technique is frequently used in many other industries as a kinetic and monitoring study to ensure authenticity analysis, quality monitoring, and purity [22]. The simplest way to run various analyses is using the principle of UV-Spectroscopy. A blank solution for the mobile phase was maintained. From 200 to 400 nm, samples were recorded. Following the linearity analysis, the λmax was confirmed to be 273 nm. Fig. 2 represents the UV spectrum of ritonavir in mentioned conditions.

Fig. 2: UV spectrum of ritonavir
Employed high-performance liquid chromatography method (Method B)
Chromatography is the backbone of separation science and is universally used in all research laboratories and pharmaceutical industries. To evaluate drug products, high-performance liquid chromatography is a crucial analytical tool. The different pharmaceuticals and drug-related degradants that can develop in storage or production, as well as any drugs and drug-related impurities that may be added during synthesis should be able to be separated, detected, and quantified using HPLC procedures. An HPLC method's performance qualities and limitations are established through validation, and the influences that might affect these characteristics and the degree to which they might vary are also identified [23, 24].
Optimization of chromatographic conditions by HPLC method
In the normal phase, HPLC is used to determine and separate most classes of chemical compounds by using non-polar solvents for the mobile phase and polar components for the stationary phase. Simultaneously, chromatographic conditions were optimized to establish a routine analysis of ritonavir, with excellent technique reproducibility and analytical throughput. Numerous columns were used for this analysis, like the Inertsil ODS, C18, C8, Kromasil nonpolar, and cyano columns. The method was utilized by Waters Alliance HPLC with Phenyl (150 x 4.6 mm, 3.5 µm) column at a flow rate of 1 ml/min at 2.34 min retention time with a mobile phase composition of acetonitrile and 0.1% formic acid (1:1 v/v). Further optimization attempts included manipulating the composition of the mobile phases and flow rate, but no significant changes were observed. The injection volume was controlled at 20 µl, and the column temperature was set ambient at 25 °C. Empower 2 software version was applied for data acquisition and analysis. Fig. 3 represents the optimized chromatogram of ritonavir in the mentioned conditions.
Preparation of mobile phase for methods A and B
One milliliter of HPLC-grade formic acid was diluted with 100 milliliters of distilled water to create 0.1% formic acid. 100 ml of the 0.1% formic acid solution was combined with 100 ml of HPLC grade acetonitrile to make a 1:1 v/v, a combination of acetonitrile and 0.1% formic acid.
.
Fig. 3: HPLC chromatogram of ritonavir
Sample preparations for methods A and B
Preparation of solution for standard drug
10 mg of ritonavir working standard was transferred into a 10 ml clean, dry volumetric flask, use a scale, added mobile phase, then sonicated the mixture to thoroughly dissolve it and bring the volume up to the desired level. Samples were prepared for procedures A and B by dilution with the mobile phase made from the working standard according to the requirement. All solutions were stored at 15 °C until analysis and were found stable for at least 10 d.
Preparation of solution for commercial formulation
Ten commercial tablets (ritomune-100) were carefully weighed for the assay analysis, and the average weight was established. The tablets were uniformly crushed to create a fine powder. A quantity of 25 mg of ritonavir powder was added to a volumetric flask with a 25 ml capacity. It was sonicated for 15 min with enough acetonitrile to dissolve the medication. The volume was then adjusted with the mobile phase to the desired level. The Whatman filter paper was used to filter the resulting solution. The sample solutions for procedures A and B were created by diluting the filtration solution with the mobile phase. The percentage estimation of the drug was then computed using the assay formula.
Method validation of ritonavir by HPLC and UV-spectroscopic method
A crucial task in the pharmaceutical sector is method validation. Validation data are used to verify that the analytical method utilised for a particular test is appropriate for its goals. These findings show the analytical approach's effectiveness, reliability, and consistency. Following ICH Q2 (R1) recommendations, the analytical methodology was carried out to validate analytical methods for system suitability, linearity, detection limit, quantification, accuracy, precision, and robustness for both methods A and B.
Stress degradation studies by HPLC and UV-spectroscopic method
In the pharmaceutical industry, forced degradation studies offer a method for analysing the stability of drug samples. The chemical stability of the molecule has an impact on the safety and effectiveness of drug products. Information on molecule stability offers the information needed to choose the best formulation, container, storage environment, and shelf life. These data are crucial for regulatory documentation and play a significant part. Stability studies of novel drug compounds must be conducted before filling out the registration dossier. As per International Conference on Harmonization (ICH) guidelines (Q1A), stability studies must be performed to propose new drug substances and/or products' shelf life. To assess the suggested method's stability indicating characteristics and specificity, stress degradation studies by HPLC and UV-spectroscopic method of ritonavir were also carried out, followed by ICH recommendations [25, 26] and Mondal et al., (2016) [27]. All solutions used in stress studies were prepared at an initial concentration of 1 mg/ml of ritonavir and further diluted in the mobile phase to give a final concentration of 60 µg/ml for method A and 100 µg/ml for method B and filtered the solutions before injection. Acid degradation was conducted in 0.5M hydrochloric acid; alkaline degradation was conducted using 0.5N sodium hydroxide, and solutions for oxidative stress studies were prepared using 10 % hydrogen peroxide refluxed for 90 min at 60 °C. The drug solution was heated in a thermostat for thermal stress degradation testing, and the sample solution was cooled and used. Photostability was exposed to UV light for 6 h under a UV chamber (365 nm) and analysed.
Method validation
The developed spectroscopy and chromatography methods for estimating ritonavir are accurate, precise, robust, and specific. The method is better than previously reported methods because of its less retention time, economical and readily available mobile phase used, UV detection, and better resolution of peaks. The run time is relatively short, enabling rapid quantification of many samples in routine and quality-control analysis of the ritonavir formulation. All these factors make this method suitable for quantifying ritonavir in bulk drugs and pharmaceutical dosage forms without interference. The results were based on the International Conference on Harmonization guidelines.
Linearity
An analytical technique called linearity provides test results directly proportional to the analyte in the test sample. In Linearity studies, calibration curves were graphed in a concentration range of 10-60 µg/ml for method A and 25-150 µg/ml for method B. As a result, the linear regression equation of method A is y = 0.0265x+0.0584 with a correlation coefficient of 0.9992 (fig. 4 and 5), and method B is y = 29577x+37774 with a correlation coefficient of 0.9985 (fig. 6 and 7).
Precision
When RSD in precision studies was less than 2%, the suggested procedure had acceptable reproducibility. The performance of intraday and interday precision and the percent RSD for the response of six replicate measurements in both methods A and B were within the acceptable ranges. Results from the intraday and interday precision studies are summarized in tables 1 and 2.
Accuracy
The percentage of recovery values in the accuracy studies demonstrates that the proposed method is accurate and that interference response exists. Adding an adequate amount of ritonavir standard stock solution to the sample solution evaluated accuracy at three different concentration levels (50%, 100%, and 150%). Three replicate measurements are performed for methods A and B, showing that the percent recovery was within the allowed ranges (tables 3 and 4).

Fig. 4: Calibration curve of ritonavir for method A (UV-spectroscopic method)

Fig. 5: Overlay spectrum of ritonavir for method A (UV-spectroscopic method)

Fig. 6: Overlay chromatogram of ritonavir for method B (HPLC method)

Fig. 7: Calibration curve of ritonavir for method B (HPLC method)
Table 1: Intraday precision for methods A and B of ritonavir
| S. No. | Conc. (µg/ml) | Method A | Method B | %RSD | |
| Absorbance | Area | Method | |||
| A | B | ||||
| 1 | 50 | 1.388 | 1498563 | 0.058% | 0.041% |
| 2 | 50 | 1.387 | 1497895 | ||
| 3 | 50 | 1.386 | 1498336 | ||
| 4 | 50 | 1.387 | 1498523 | ||
| 5 | 50 | 1.388 | 1499125 | ||
| 6 | 50 | 1.388 | 1499652 |
Method A (UV-spectroscopic method), Method B (HPLC method).
Table 2: Intraday precision for methods A and B of ritonavir
| S. No. | Conc. (µg/ml) | Method A | Method B | %RSD | |
| Absorbance | Area | Method | |||
| A | B | ||||
| 1 | 50 | 1.375 | 1489568 | 0.47% | 0.91% |
| 2 | 50 | 1.372 | 1474586 | ||
| 3 | 50 | 1.385 | 1458963 | ||
| 4 | 50 | 1.389 | 1489562 | ||
| 5 | 50 | 1.385 | 1496325 | ||
| 6 | 50 | 1.379 | 1485693 |
Method A (UV-spectroscopic method), Method B (HPLC method).
Table 3: Ritonavir accuracy observations for method A (UV-spectroscopic method)
| Conc. (µg/ml) | Amount of drug added (µg/ml) | Amount recovered (µg/ml) | % Recovery |
| Pure | Formulation | ||
| 15 | 10 | 5 | 14.96 |
| 15 | 10 | 5 | 14.89 |
| 15 | 10 | 5 | 14.92 |
| 30 | 10 | 20 | 29.94 |
| 30 | 10 | 20 | 29.85 |
| 30 | 10 | 20 | 29.81 |
| 45 | 10 | 35 | 44.98 |
| 45 | 10 | 35 | 44.86 |
| 45 | 10 | 35 | 44.99 |
Table 4: Ritonavir accuracy observations for method B (HPLC method)
| Conc. (µg/ml) | Amount of drug added (µg/ml) | Amount recovered (µg/ml) | % Recovery |
| Pure | Formulation | ||
| 37.5 | 20 | 17.5 | 37.32 |
| 37.5 | 20 | 17.5 | 37.24 |
| 37.5 | 20 | 17.5 | 37.12 |
| 75 | 20 | 55 | 74.98 |
| 75 | 20 | 55 | 74.56 |
| 75 | 20 | 55 | 74.78 |
| 112.5 | 20 | 92.5 | 112.36 |
| 112.5 | 20 | 92.5 | 112.51 |
| 112.5 | 20 | 92.5 | 112.53 |
Table 5: The ritonavir robustness data for several approach techniques using UV and HPLC techniques
| Method | Condition | %RSD |
| A | Wavelength at 275 nm | 0.56 |
| Wavelength at 273 nm | 0.38 | |
| B | Flow rate of 0.8 ml/min | 0.23 |
| Flow rate of 1.2 ml/min | 0.25 | |
| Mobile phase of acetonitrile and 0.1% formic acid 40:60 (v/v) | 0.51 | |
| Mobile phase of acetonitrile and 0.1% formic acid 60:40 (v/v) | 1.12 | |
| Temperature at 27 °C | 0.21 | |
| Temperature at 23 °C | 0.58 |
*Mean of six observations (n=6). Method A (UV-spectroscopic method), and Method B (HPLC method).
Robustness
To execute the robustness assessment by altering the wavelength (±2 nm) in method A and the flow rate (±0.1 ml/min), mobile phase ratio, and temperature (±3 °C) in method B. All the parameters were passed with no notable changes. The percent RSD was within the acceptable range (table 5).
Limits of detection (LOD) and limit of quantification (LOQ)
The LOD and LOQ parameters were determined from the regression equation of ritonavir; 
, 
, where the standard deviation of the response (σ) and S is the slope of the corresponding calibration curve. In the LOD analysis, the detection limits for methods A and B were 0.89, and 0.78 µg/ml, while the LOQ was 2.93, and 2.57 µg/ml, respectively. Table 6 displays the relevant LOD and LOQ values for ritonavir.
Analysis of marketed formulations
The commercially available ritomune-100 mg formulations of ritonavir assay were carried out, and the purity percentage was assessed by methods A and B. Neither substantial variation was found during the percentage purity analysis. The interpretation findings for the marketed tablets of ritonavir are depicted in table 7.
Table 6: Employing UV and HPLC techniques, the sensitivity assessments (LOD and LOQ) of ritonavir
| Method | LOD (μg/ml) | LOQ (μg/ml) |
| Method A | 0.89 | 2.93 |
| Method B | 0.78 | 2.57 |
*Mean of three observations (n=3). Method A (UV-spectroscopic method), Method B (HPLC method).

A

B
Fig. 8: The oxidative stress degradation studies spectrum and chromatogram for methods A and B
Table 7: Assay data for the commercially available ritonavir formulations (ritomune-100 mg) using UV and HPLC techniques
| Drug and label claim | Amount estimated (mg/tab) | Purity (% w/w)±SD, (%RSD) | ||
| Method | Method | |||
| A | B | A | B | |
| Ritomune (100 mg) | 99±0.69 | 99±0.75 | 99.58±0.78 (0.31%) | 99.68±0.65 (0.24%) |
Data are expressed as mean±SD, n=3, Method A (UV-spectroscopic method), Method B (HPLC method).
Stress degradation studies
Studies on stress degradation were carried out under various stressful conditions by UV-Spectroscopic and HPLC methods, but no significant degradation was observed.
The highest degradation percentage was observed in oxidation stress tribunals, where the UV-spectroscopic method observed 3.17 % degradation, respectively. However, the HPLC method showed 14.11 % degradation at 2.335 min of retention time (fig. 8).
Studies on acid stress degradation indicated that the UV-spectroscopic method exhibited 1.56 % degradation. In contrast, the HPLC method showed a degradation percentage of 12.02 % at 2.338 min of retention time (fig. 9).

A

B
Fig. 9: The acid stress degradation studies spectrum and chromatogram for methods A and B
In investigations on alkali stress degradation, it was revealed that the UV-spectroscopic method exhibited degradation rates of 1.01 %, respectively. In contrast, the HPLC method had a degradation rate of 7.90 % at 2.336 min of retention time (fig. 10).
Less percentage of degradation was observed in thermal stress degradation studies, with the UV-spectroscopic method finding 0.17 % and the HPLC method finding 0.51 % at a 2.337 min retention time (fig. 11).

A

B
Fig. 10: The alkali stress degradation studies spectrum and chromatogram for methods A and B

A

B
Fig. 11: The thermal stress degradation studies spectrum and chromatogram for methods A and B
Regarding photolytic stress degradation, the UV-spectroscopic method showed a degradation percentage of 0.05 %; however, in HPLC method showed a degradation percentage of 0.003 % at a 2.333 min retention time (fig. 12).

A

B
Fig. 12: The photolytic stress degradation studies spectrum and chromatogram for methods A and B
The desired outcomes of tests on stress degradation are listed in table 8, and the validation parameters for the UV-Spectrophotometric and HPLC methods are summarised in table 9, respectively.
Table 8: Overview of ritonavir UV-spectrophotometric and HPLC validation parameters
| Parameters | Method A | Method B |
| λmax | 273 nm | 273 nm |
| Linearity (μg/ml) | 10-60 μg/ml | 25-150 μg/ml |
| Regression coefficient | 0.9992 | 0.9985 |
| Regression equation (y=mx+c) | y = 0.0265x+0.0584 | y = 29577x+37774 |
| Intra-day precision (% RSD) | 0.058% | 0.041% |
| Inter-day precision (% RSD) | 0.47% | 0.91% |
| Robustness (% RSD) | 0.38-0.56 | 0.21-1.12 |
| LOD (μg/ml) | 0.89 | 0.78 |
| LOQ (μg/ml) | 2.93 | 2.57 |
Method A (UV-spectroscopic method), Method B (HPLC method).
Table 9: The desired outcome of ritonavir stress degradation studies employing UV-spectroscopy and HPLC
| Degradation Condition | Method A | Method B | % Degradation | |
| Absorbance | Area | Method | ||
| A | B | |||
| Oxidation | 1.616 | 2495874 | 3.17 % | 14.11 % |
| Acid | 1.643 | 2556528 | 1.56 % | 12.02 % |
| Alkali | 1.652 | 2676358 | 1.01 % | 7.90 % |
| Thermal | 1.666 | 2891137 | 0.17 % | 0.51% |
| Photolytic | 1.668 | 2906006 | 0.05 % | 0.003 % |
Method A (UV-spectroscopic method), Method B (HPLC method)
The findings of the current investigation indicate that efficient separation and selectivity were achieved in a shorter runtime using the developed and validated method. Using a gradient technique, the chromatogram was monitored with the mobile phase flow rate. The system suitability parameters were evaluated [28]. The designed and validated approach was linear, accurate, precise, and robust against the wide concentration of ritonavir, which might help qualitative and quantitative validation. The significant objective of this study was to pinpoint the spectroscopic and chromatographic techniques that were reliable enough to produce an appropriate separation of the components with a good spectrum for the
UV-spectroscopic method and chromatogram within a reasonable run time for the high-performance liquid chromatographic method [29-31]. The target analytical profile was created to identify critical method attributes influencing critical quality attributes, and a systematic risk analysis was conducted. The most important quality variables were specificity, resolution, separation factor, and retention time [32, 33]. Mobile phase characteristics were discovered to be the most crucial for the specified analysis based on risk priority number. Therefore, three parameters were selected as crucial technique features: the acetonitrile ratio, the formic acid ratio, and the flow rate in the mobile phase. This experimental effort discovered the most significant absorption peak at 273 nm after obtaining the UV spectrum. The mobile phase of acetonitrile and 0.1% formic acid (1:1 v/v) at a flow rate of 1 ml/min characterizes the recognized point by combining the unique crucial method features. Elutes were analysed using a PDA detector at a detection wavelength of 273 nm. The design space presents the operable method region where the changes will not affect the quality of the analysis. International Council validated the proposed method for Harmonization (ICH) guidelines, Validation of Analytical Procedures: Text and Methodology Q2 (R1). According to studies on stress degradation, UV-spectroscopic and HPLC analysis of ritonavir solutions demonstrated no indications of insignificance degradation [34].
The current research proposes an accurate, efficient, and specific UV-spectroscopic and HPLC approach for routine ritonavir analysis. It may be used to identify related substances or contaminants during storage conditions and estimate the analyte of interest without interferences. Using a waters alliance, HPLC with phenyl (150 x 4.6 mm, 3.5 µm) column and composition of acetonitrile and 0.1% formic acid (1:1 v/v) as a mobile phase in this study resulted in superior analyte elution with high resolution, increased plate count, increased capacity factor, and reduced tailing. The reported development methods were validated as per ICH Q2 (R1) guidelines. UV-spectroscopic and HPLC methods can analyse the ritonavir analyte in bulk and dosage form.
The authors are grateful for the research facilities provided by GITAM (Deemed to be University), Visakhapatnam, India.
The authors declare they have no funding support for this study.
All authors have contributed equally.
For this work, the authors report that they have no conflicts of interest.
Barry M, Mulcahy F, Back DJ. Antiretroviral therapy for patients with HIV disease. Br J Clin Pharmacol. 1998 Mar;45(3):221-8. doi: 10.1046/j.1365-2125.1998.00673.x, PMID 9517365.
Hsu A, Granneman GR, Bertz RJ. Ritonavir. Clinical pharmacokinetics and interactions with other anti-HIV agents. Clin Pharmacokinet. 1998 Oct;35(4):275-91. doi: 10.2165/00003088-199835040-00002, PMID 9812178.
Killi GD, Maddinapudi RK, Dinakaran SK, Harani A. A novel validated UPLC method for the quantitation of lopinavir and ritonavir in bulk drug and pharmaceutical formulation with its impurities. Braz J Pharm Sci. 2014 Apr;50(2):301-8. doi: 10.1590/S1984-82502014000200009.
Meini S, Pagotto A, Longo B, Vendramin I, Pecori D, Tascini C. Role of lopinavir/ritonavir in the treatment of covid-19: a review of current evidence, guideline recommendations, and perspectives. J Clin Med. 2020 Jun;9(7):2050. doi: 10.3390/jcm9072050, PMID 32629768.
Foisy MM, Yakiwchuk EM, Hughes CA. Induction effects of ritonavir: implications for drug interactions. Ann Pharmacother. 2008 Jul;42(7):1048-59. doi: 10.1345/aph.1K615, PMID 18577765.
Hsu A, Granneman GR, Cao G, Carothers L, Japour A, El-Shourbagy T. Pharmacokinetic interaction between ritonavir and indinavir in healthy volunteers. Antimicrob Agents Chemother. 1998 Nov;42(11):2784-91. doi: 10.1128/AAC.42.11.2784, PMID 9797204.
Lea AP, Faulds D. Ritonavir. Drugs. 1996 Oct;52(4):541-7. doi: 10.2165/00003495-199652040-00007, PMID 8891466.
Ponnilavarasan I, Rajasekaran A, Dharuman JG, Kalaiyarasi D, Krishna KD. Development and validation of spectrophotometric method for the estimation of lopinavir and ritonavir in tablet dosage form. Asian J Res Chem. 2010 Jan;3(1):188-91.
Devineni J, Rangani V, Nunna S. New sensitive UV spectrophotometric method for simultaneous estimation of lopinavir and ritonavir in fixed-dose combination as soft gels. Int J Pharm Sci Res. 2016 Jan;7(1):25-30.
Hoetelmans RM, van Essenberg M, Profijt M, Meenhorst PL, Mulder JW, Beijnen JH. High-performance liquid chromatographic determination of ritonavir in human plasma, cerebrospinal fluid and saliva. J Chromatogr B Biomed Sci Appl. 1998 Jan;705(1):119-26. doi: 10.1016/s0378-4347(97)00500-8, PMID 9498678.
Rebiere H, Mazel B, Civade C, Bonnet P. Determination of 19 antiretroviral agents in pharmaceuticals or suspected products with two methods using high-performance liquid chromatography. J Chromatogr B. 2007 May;850(1-2):376-83. doi: 10.1016/j.jchromb.2006.12.007.
Yekkala RS, Ashenafi D, Marien I, Xin H, Haghedooren E, Hoogmartens J. Evaluation of an international pharmacopoeia method for the analysis of ritonavir by liquid chromatography. J Pharm Biomed Anal. 2008 Nov;48(3):1050-54. doi: 10.1016/j.jpba.2008.08.007, PMID 18801634.
Birajdar A, Tegeli V, Ingale S, Nangare G. Development and validation of RP-HPLC method for the estimation of ritonavir in API and tablet formulation. Res J Pharm Technol. 2021 Oct;14(10):5457-60. doi: 10.52711/0974-360X.2021.00951.
Usami Y, Oki T, Nakai M, Sagisaka M, Kaneda T. A simple HPLC method for simultaneous determination of lopinavir, ritonavir and efavirenz. Chem Pharm Bull. 2003 Jan;51(6):715-8. doi: 10.1248/cpb.51.715.
Velmurugan S, Ali MA. Development and evaluation of ritonavir mucoadhesive microspheres. Asian J Pharm Clin Res. 2014 Nov;7(5):47-52.
Deshpande PB, Butle SR. Development and validation of stability-indicating HPLC method for determination of Darunavir ethanolate and ritonavir. Int J Pharm Pharm Sci. 2015 Jun;7(6):66-71.
Baje SI, Jyothi B, Madhavi N. RP-HPLC method for simultaneous estimation of ritonavir, ombitasvir and paritaprevir in tablet dosage forms and their stress degradation studies. Int J App Pharm. 2019 Jan;11(2):193-210. doi: 10.22159/ijap.2019v11i2.28141.
Sindu PD, Gowri SD, Masthanamma SK. Stability-indicating reversed-phase high-performance liquid chromatography method for the simultaneous estimation of Darunavir and ritonavir. Asian J Pharm Clin Res. 2016 Oct;9(8):66-71.
Salunke JM, Singh S, Malwad S, Chavhan VD, Pawar MS, Patel C. A validated RP HPLC method for simultaneous estimation of lopinavir and ritonavir in the combined dosage form. Int J Pharm Pharm Sci. 2013 Jan;5(4):1-6.
United States pharmacopoeia. The United States of America Pharmacopeial Convention. Vol. 3669. US Pharmacopeia 42; 2019; II. p. NF37.
Anonymous. Validation of analytical procedures: methodology. International Conference on Harmonization. Vol. Q2B (CPMP/ICH/281/95); 2005.
Shinde G, Godage RK, Jadhav RS, Manoj B, Aniket B. A review on advances in UV spectroscopy. Res J Sci Technol. 2020 Feb;12(1):47-51. doi: 10.5958/2349-2988.2020.00005.4.
Vanbel PF, Schoenmakers PJ. Selection of adequate optimization criteria in chromatographic separations. Anal Bioanal Chem. 2009 Jul;394(5):1283-9. doi: 10.1007/s00216-009-2709-9, PMID 19296092.
Ramakrishna B, Mondal S, Chakraborty S. A new stability indicating method development and validation report for the assay of nivolumab by RP-UPLC. J Pharm Neg Results. 2022 Nov;13(7):1020-32.
ICH. Q1A (R2) Stability testing of new drug substances and products: international. Geneva: Conference on Harmonization, International Federation of Pharmaceutical Manufacturers Associations; 2003.
ICH. Q1A stability testing: photostability testing new drug substances and products: international. Geneva: Conference on Harmonization, International Federation of Pharmaceutical Manufacturers Associations; 1996.
Mondal S, Narendra R, Ghosh D, Ganapaty S. Development and validation of RP-HPLC and UV spectrophotometric methods for the quantification of capecitabine. Int J Pharm Pharm Sci. 2016 May;8(5):279-87.
Ramakrishna B, Mondal S, Chakraborty S. Development and validation of novel method for the determination of favipiravir and peramivir using reverse phase ultraperformance liquid chromatography. Ymer. 2022 Nov;21(10):1618-32.
Chakraborty S, Mondal S. A systematic and concise review on the development of analytical and bioanalytical methods for the simultaneous estimation of abacavir sulfate and lamivudine. Ymer. 2022 Dec;21(12):912-35.
Ghosh M, Mondal S, Chakraborty S, Ghosh N. A stability-indicating method was developed and validation for the estimation of carbamazepine in bulk and tablet dosage form by UV-spectroscopic techniques. J Drug Delivery Ther. 2023 Mar;13(3):85-104. doi: 10.22270/jddt.v13i3.5987.
Subhadip C, Nalanda Baby R, Pridhvi Krishna G, Suraj M, Shyamdeo Kumar T. A new second-derivative spectrophotometric method for the determination of vildagliptin in pharmaceutical dosage form. IJRPS 2021;12(4):2610-4. doi: 10.26452/ijrps.v12i4.4914.
Chakraborty S, Mondal S. A green eco-friendly analytical method development, validation, and stress degradation studies of favipiravir in bulk and different tablet dosages form by UV-spectrophotometric and RP-HPLC methods with their comparison by using ANOVA and in vitro dissolution studies. Int J Pharm Investigation. 2023 Apr;13(2):290-305. doi: 10.5530/ijpi.13.2.039.
Mondal S, Prathyusha VS, Mondal P, Reddy GS. Development and validation of various UV spectrophotometric methods for the estimation of famciclovir in bulk and its formulation. Saudi J Pharm Sci. 2018 Sep;4(2):238-48.
Madhavi CS, Mondal S, Chakraborty S, Saha D, Mondal P. A promising analytical method has been crafted, validated, and quantified for estimating theophylline utilizing UV spectroscopic and RP-HPLC techniques in conjunction with stress degradation studies to pinpoint deterioration. J Pharm Res Int. 2023 Mar;35(4):44-64. doi: 10.9734/jpri/2023/v35i47322.