
1Department of Pharmacy, School of Life Sciences, Indonesia International Institute for Life Sciences, Jakarta 13210, Indonesia
*Corresponding author: Pietradewi Hartrianti; *Email: pietradewi.hartrianti@i3l.ac.id
Received: 19 Apr 2023, Revised and Accepted: 14 Jun 2023
ABSTRACT
Objective: This study was aimed to study the effect of degree of esterification (DE) on the thiolation of pectin, the potential to be used as materials for buccal delivery of diclofenac as well as the effect of DE on the physicochemical and mucoadhesive properties of the buccal films.
Methods: Low-methoxyl pectin (LMP) and high-methoxyl pectin (HMP) were synthesized into low-methoxyl thiolated pectin (LMTP) and high-methoxyl thiolated pectin (HMTP) by esterification reaction using thioglycolic acid (TGA). The degree of thiolation was evaluated using Ellman’s reaction and FT-IR. Pectins were fabricated into buccal films with diclofenac as a drug model and glycerin as the plasticizer. The obtained films were then studied for swelling and erosion percentage, mucoadhesion time, and in vitro drug release.
Results: HMTP and LMTP showed no significant difference in the degree of thiolation regardless of DE (p>0.05). The fabricated LMTP and HMTP films showed significantly higher mucoadhesion time and swelling than HMP and LMP (p<0.05). Moreover, HMTP and LMTP also exhibited sustained release of diclofenac compared to LMP (p<0.05). HMTP showed the highest mucoadhesion time, swelling capacity, and retention of drug release among all groups (p<0.05).
Conclusion: Thiolated pectin showed prospective potential to be utilized as a biopolymer for buccal delivery of diclofenac with improved mucoadhesion and controlled drug delivery, regardless of their DE.
Keywords: Buccal, Diclofenac, Mucoadhesive, Pectin, Thiolated, Buccal drug delivery
© 2023 The Authors. Published by Innovare Academic Sciences Pvt Ltd. This is an open access article under the CC BY license (https://creativecommons.org/licenses/by/4.0/)
DOI: https://dx.doi.org/10.22159/ijap.2023v15i5.48122. Journal homepage: https://innovareacademics.in/journals/index.php/ijap
Thiolated polymers (thiomers) have been extensively studied in the past years due to their possibility to be designed as degradable biopolymers with increased mucoadhesive properties [1]. This improved mucoadhesive property raises the potential for application in the drug delivery field by prolonging residence time due to disulfide bridges formation that allows stronger adhesion through covalent bonding in the mucosal membrane which will result in optimal delivery, improved bioavailability, and possible controlled release properties of the drug [1, 2]. The presence of thiol groups has also been used to improve mucoadhesion. Physical and mechanical properties, and minimize clearance [3–6].
Lately, several polymers from synthetic and natural origin have been subjected to thiolation, such as polysaccharides [7, 8], proteins [9, 10], acrylate polymers [11, 12], silicone polymers [13, 14], and others [2]. Among natural polymers, carbohydrates such as chitosan [15, 16], pectin [17–19], gums [20, 21], and cellulose have been explored and modified as possible thiomer sources [22, 23]. Pectin, a natural polysaccharide consisting of (1-4)-linked-α-D-galacturonic acid residues, was among the carbohydrates highly studied for thiolation due to its abundance, low cost, biodegradability, and possession of modifiable groups [17–19, 24]. The degree of esterification (DE) of pectin somehow affects the physicochemical and gelation properties of pectin, which also depends on the pH, molecular weight, temperature, and concentration of pectin [25].
Past studies have performed pectin thiol modifications through amide bond formation [19], ester bond formation [26], and preactivation methods [27]. Among these, esterification of the hydroxyl groups of pectin with thioglycolic acid results in thiol group-bearing pectin and shows promising potential due to ease of production and minimum toxicity [26].
However, despite successfully synthesizing thiolated pectin through various methods, studies have yet to compare the effect of the DE of thiolated pectin on the self-crosslinking efficiency and physicochemical and mechanical properties of the forming gel. High methoxyl pectin (HMP) has higher DE (50-80%) compared to low methoxyl pectin (LMP; DE<50%), and they naturally form a gel at different mechanisms. HMP generally requires low pH and high concentration of co-solutes, such as sucrose, whereas LMP requires the addition of divalent cations, such as calcium, to form crosslinked gel [28]. Hence, gel networks formed by different types of pectin may possess different properties [25, 29].
This study aimed to analyze the properties of thiolated low-methoxyl (LMTP) and high-methoxyl pectin (HMTP) and further evaluate their potential as a material for buccal delivery. Buccal delivery was chosen since it provides a convenient and non-invasive systemic delivery in contrast to the parenteral route, bypasses the harsh conditions of the gastrointestinal tract associated with oral delivery, and avoids hepatic first-pass metabolism while providing faster onset of action [26]. Among several buccal dosage forms, the buccal film is preferred with its advantages, such as good flexibility, elasticity, and high tensile strength [30]. The prepared buccal films were loaded with diclofenac sodium as the drug model with low bioavailability (50-60%) and could benefit from delivery through the buccal route [31]. The impact of the DE of pectin was investigated and evaluated by comparing buccal films made with LMTP and HMTP with the non-modified ones.
Materials
The pectin used was GENU®️Pectin LM-104AS from CPKelco Company (USA) with a degree of esterification of 27% for LMP and Ceampectin HMRS 4710 from CEAMSA (Spain) with a degree of esterification of 70% for HMP. Thioglycolic acid was purchased from TCI (Tokyo Chemical Industry, Japan), and Ellman’s reagent was purchased from Sigma Aldrich, Ltd (USA). Meanwhile, diclofenac sodium was purchased from PT. Kimia Farma, Tbk (Indonesia). All other reagents were purchased from Merck Chemicals or Sigma Aldrich and were of reagent grade.
Preparation of thiolated pectin
Three hundred mg of the LMP and HMP were separately dissolved in 30 ml water. Later, 388 mg of thioglycolic acid (TGA), and 800 µl of 7N HCl were added into each pectin mixture based on the moles ratio between TGA and galacturonic monomer of pectin (4:1). Both mixtures were stirred at 220 rpm, 60 ℃ overnight before then poured to 200 ml of methanol and incubated for 15 min and were subjected to vacuum filtration with Whatman® filter paper No. 1. The precipitates were dried at room temperature overnight and were then rinsed with methanol in vacuum filtration until the methanol filtrate was free of TGA residue (confirmed by Ellman’s reagent negative result). The final precipitate was then air-dried at room temperature overnight and kept sealed until further use.
Thiolated pectin characterization
Degree of thiolation
The concentration of free sulfhydryl groups available in modified pectin samples was quantified using Ellman’s reagent with the previously mentioned method with slight modifications [32]. Briefly, 50 mg of each LMTP and HMTP was dissolved in 10 ml 0.1 M phosphate buffer saline (PBS) with a pH of 8.0. Two ml of the solution was aliquoted and reacted with 2 ml of Ellman’s reagent. The Ellman’s reagent was made by dissolving 4 mg of DTNB in 5 ml of 0.2 M PBS. The reaction was allowed to happen at room temperature with continuous shaking for 15 min. The measured absorbance at a maximum wavelength of 410 nm was recorded using Spectrophotometer UV-1280 (Shimadzu, Japan). The calibration curve was made using L-cysteine as the standard for the molar concentration of the free sulfhydryl group.
Fourier-transform infrared (FT-IR) analysis
Functional group analysis of the pectin was performed by FT-IR Spectrometer Spectrum Two (Perkin-Elmer, USA) at a wavenumber of 450-4000 cm-1 with a resolution of 4/cm. Baseline correction was performed by deducting the sample absorbance with the present atmosphere. The obtained spectra were then processed using Software from Perkin-Elmer Spectrum IR Version 10.6.1.
Fabrication of diclofenac-loaded buccal film
The LMTP and HMTP buccal films were fabricated using a solvent-casting evaporation technique by mixing either LMTP or HMTP with diclofenac and glycerin in water at the ratio shown in table 1. Subsequently, 1 ml of each mixture was cast on a silicone mold with a 1.8 cm diameter. The casted films were then dried in the oven for two days at 40 ℃ until flexible and dry films were obtained. The non-modified pectin films were also prepared as controls following the same method.
Table 1: Composition of diclofenac-loaded films
| Groups | Film composition (% w/v) | |||
| Pectin or modified-pectin | Glycerin | Diclofenac sodium | Water | |
| LMP | 2 | 2 | 1 | 95 |
| HMP | 2 | 2 | 1 | 95 |
| LMTP | 2 | 2 | 1 | 95 |
| HMTP | 2 | 2 | 1 | 95 |
Characterization of buccal film
Swelling and erosion test
The swelling study was determined according to the previously mentioned method with slight modifications [33]. Briefly, each film was immersed in phosphate buffer pH 6.8 for 1 min. The immersed film was then taken out after 1 min, and the excess liquid was removed by blotting it on tissue paper until dry. The weight of the sample before and after immersion was recorded to calculate the swelling percentage using the following equation:

in which Wo is the weight of the dry film before immersion and Wt is the weight of the film after immersion.
Sequentially, the immersed film was dried in an oven for 24 h and then kept in a desiccator overnight. The remaining weight of the film was recorded to determine the percent of erosion by the following equation:

Where Wo is the weight of the dry film before immersion and Wx is the weight of the film remaining after immersion and subsequent drying.
Ex vivo mucoadhesion study
The ex vivo mucoadhesion of the films was evaluated by performing a wash-off test with slight modification [26]. Briefly, a freshly excised porcine buccal mucosa membrane obtained from a local slaughterhouse was cleaned in PBS pH 7.4. It was pasted on a round plastic mica with 3 cm in diameter using super glue with the mucosal side facing upwards. The films were adhered to the membrane-attached mica, and the mica part of the layers was tied to the bottom of the USP tablet disintegration tube apparatus. Afterward, the tube was immersed in 900 ml of PBS pH 6.8 at 37±0.5 ◦C, and the machine was operated to give repeated up and down movement to the membrane. The time required until the film completely detached or eroded from the surface of the buccal membrane was recorded as the residence time of the film on the mucosal membrane.
In vitro release study
In vitro release test was performed by measuring the amount of diclofenac released in a simulated physiological fluid over a period of time. Each diclofenac-loaded LMTP, HMTP, and non-modified pectin (LMP and HMP) buccal film was inserted into different dialysis membranes with a molecular weight cut-off of 12 kDa. Separately, the samples were put inside a beaker with 20 ml PBS pH 6.8 as the dissolution medium with constant stirring at 100 rpm at 37 ℃. Later, 1 ml of the medium was taken out over predetermined time points (0, 5, 15, 30, 60, 120, 240 min) and replenished with the same amount of fresh dissolution medium. The amount of diclofenac in the withdrawn medium was then calculated by measuring its absorbance using Spectrophotometer UV-Vis at a wavelength of 274 nm. Finally, the percentage of drug released over a period of time for each buccal film was calculated using the following equation:

In which Vs is the volume of sample withdrawn in milliliters, Vd is the volume of dissolution medium, A(t-1) is the percentage of drug released before time t, and At is the percentage of drug released on time t.
Statistical and data analysis
All the quantitative data were obtained from a sample size (n) of three per group unless otherwise stated. The data were presented as mean±standard deviation (SD). The statistical significance was carried out using one-way ANOVA accompanied by Tukey’s post hoc testing, where a p-value of less than 0.05 was considered a statistically significant difference. Meanwhile, data that were not normally distributed was analyzed using the Kruskal-Wallis test with Conover post hoc testing, where a p-value of less than 0.05 was considered a statistically significant difference.
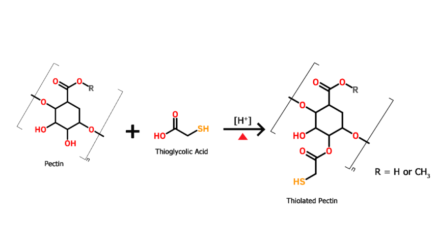
LMP and HMP have successfully been modified to possess sulfhydryl groups via an esterification reaction with TGA. The degree of thiolation (free thiol groups) was calculated using Ellman’s reagent, which was found to be 9.22±0.645 µmol/g and 8.963±0.883 µmol/g for LMTP and HMTP, respectively. The reaction yield was 18.46±0.66 % for LMTP and 22.93±1.44 % for HMTP. These results showed that the thiolation of pectin was successful and that there was no significant difference in thiol modification efficiency between the two groups (p>0.05). These results showed that the extent of pectin esterification with TGA was not affected by the DE of pectin since the reaction targeted the pectin hydroxyl groups, as predicted in fig. 1.

Fig. 1: Reaction overview of thiolated pectin synthesis
In agreement with the result in fig. 1, the FT-IR spectra shown in fig. 2 exhibited higher intensity for ester groups in modified pectin compared to non-modified pectin. The spectra of LMTP (fig. 2 top, black line) showed intense carboxyl and ester bands at around 1700-1630 and 1750-1730 cm-1, respectively, compared to LMP (fig. 2 top, red line) [34]. This signified that a higher amount of ester groups was present in LMTP based on the higher intensity of the ester band at 1733 cm-1, confirming the success of the esterification. The same results were observed for HMTP (fig. 2 bottom, pink line), which exhibited higher intensity bands at a wavenumber of 1733 and 1669.5 cm-1 corresponding to higher amounts of ester and carboxylic groups, respectively, compared to HMP spectra (fig. 2 bottom, blue line). Moreover, the presence of-SH weak-broad signature peak was observed at around 2600-2550 cm-1 in both LMTP and HMTP, but none in LMP and HMP. Although the bands were not prominent, they did not reflect the exact amount of the-SH group available. Instead, they were the natural molecular vibration pattern of the thiol group [26, 34].

Fig. 2: FT-IR spectra of LMP and LMTP (top), and HMP and HMTP (bottom)

Fig. 3: Diclofenac-loaded buccal films of non-modified pectin and thiolated pectin. a. LMP films. b. HMP films. c. LMTP film SD HMTP films
The diclofenac-loaded buccal films were successfully fabricated using the solvent-casting evaporation method. The obtained films of all groups were shown to be flexible and opaque in appearance with a white to yellowish-white color, as displayed in fig. 3. The overall appearance also showed a relatively smoother surface for the thiolated pectin compared to the non-modified pectin, regardless of their DE. The thickness of the films obtained ranged from 0.11 to 0.22 mm, which was acceptable for buccal delivery [35].
The properties of each buccal film are summarized in table 2. Based on the swelling capacity, the HMTP film possessed the highest result, with a 121.52±17.33% weight increase compared to the initial weight. LMP film showed the lowest swelling percentage, gaining only 3.25±1.39%. There was a significant difference in the swelling capacity of LMP and LMTP films. Additionally, the swelling capacity of HMTP film was significantly increased compared to HMP film (p<0.05). Besides, HMTP film was significantly greater in swelling percentage than LMTP film. Nevertheless, the results indicated that all films were able to uptake water.
Table 2: Characterization of swelling, erosion, and mucoadhesion behavior of diclofenac-loaded buccal films
| Groups | Characterization | ||
| Swelling (%) | Erosion (%) | Mucoadhesion time (min) | |
| LMP | 3.25±1.39 | 65.41±5.82 | 1.54±0.71 |
| HMP | 13.57±3.82 | 35.76±7.08 | 2.62±0.62 |
| LMTP | 18.75±3.28c | 3.60±2.33a | 56.25±4.95a,c |
| HMTP | 121.52±17.33b | 10.65±2.78b | 68.02±2.76b |
Data were expressed as mean±SD (n=3). ap<0.05 compared to LMP films, bp<0.05 compared to HMP films, cp<0.05 compared to HMTP films.
In addition, the result of the erosion test in table 2 showed that both non-modified groups (LMP and HMP) exhibited significantly higher erosion compared to the modified groups (LMTP and HMTP). The LMP films were found to be quickly eroded, with 65.41±5.82% erosion after 1 min immersion, and the LMTP films showed the least erosion (3.60±2.33%). This indicated that thiol modification of pectin significantly increased the resistance of the buccal films, albeit there was no significant difference between LMTP and HMTP film (p>0.05).
In regards to the in vitro mucoadhesion test, the results showed that both of the thiolated groups (LMTP and HMTP) displayed significantly higher mucoadhesion residence time compared to the non-thiolated groups (LMP and HMP) (p<0.05). The LMTP and HMTP groups were able to remain adhered to the buccal membrane for 56.25±4.95 and 68.02±2.76 min, respectively, while the non-thiolated groups showed residence time of under 3.5 min due to the films being either completely degraded or detached from the membrane. Moreover, HMTP resided significantly longer than LMTP, aligned with the swelling percentage result.
In order to investigate the effect of thiolation on the release properties of pectin buccal film, in vitro release study was performed. The results plotted in fig. 4 revealed that thiolated pectins significantly sustained the release of diclofenac from buccal films. LMP films exhibited burst release of diclofenac during the first 15 min, which was completed after 4 h (fig. 4). Meanwhile, LMTP and HMTP films were able to sustain the release of diclofenac, with less than 50 % of drugs released within 4 h.

Fig. 4: Drug release profile of sodium diclofenac from pectin and thiolated pectin buccal film. Data was presented as mean ±SD (n=3)
Our study showed that pectin could undergo modification into a thiolated polymer by reacting it with TGA, resulting in the pectin thioglycolic acid conjugate, as also reported previously [26]. In this study, however, LMP and HMP were modified and prepared as buccal films in order to evaluate the effect of the DE of pectin on the properties of the final dosage form. The success of the reaction was confirmed by Ellman’s reaction and FT-IR methods. The FT-IR spectra of LMTP and HMTP showed the presence of the-SH band and increased intensity of the ester band compared to LMP and HMP, whereas the absorbance results of both LMTP and HMTP after reaction with Ellman’s reagent also indicated the presence of free thiol groups after modification. The degree of thiolation was investigated to evaluate the amount of free thiol groups in the modified polymer which were ready to interact with mucus. However, it was calculated that there was no significant difference in thiolation efficiency regardless of the DE, as confirmed by the spectrophotometry results. Even though it was initially thought that different DE of pectin might affect the modification process, our study proved that it gave little to no effect on the thiolation degree of the resulting thiolated polymer. This phenomenon concluded that the esterification reaction was not hindered sterically by the presence of methoxyl group substitution in pectin polymer backbones.
Interestingly, a significant difference in properties was observed when the different DE of pectin thiomers were made into buccal films. LMTP films showed lower swelling percentage and shorter residence time in the mucosal membrane compared to HMTP, as LMP films were also inferior to HMP films. Swelling capacity is one of the most important properties of buccal films, as it affects the release kinetics and mucoadhesive property of the film [35]. In this case, the lower swelling capacity of the buccal films could decrease the mucoadhesion time, as less free thiol groups in polymer chains were exposed to the mucosal membrane during the swelling process, lowering the adhesion interaction between the film and mucus. The discrepancy between LMP and HMP might be attributed to the different gelling mechanisms between LMP and HMP. LMP typically forms gels by ionotropic mechanism, which is in the presence of divalent cations that are able to crosslink the free carboxylic acids on the polymer's backbone. Meanwhile, HMP forms gels by hydrophobic interaction at high concentrations [25]. However, the film casting method employed in this study did not include the addition of divalent cations, thereby decreasing the strength of LMP films. Finally, LMP films dissolved fastly in the medium, as supported by the high erosion percentage of LMP and decreased its weight. LMTP, on the other hand, became more hydrophobic after modification and could form a stronger film with the support of TGA conjugation, either via hydrophobic interactions or disulfide crosslinking. This contributed to the higher swelling percentage of LMTP films compared to LMP films. Nevertheless, electrostatic repulsions between free carboxylic acid groups in LMTP might decrease the crosslink density of the final films, hence decreasing their ability to uptake and entrap water compared to HMTP [36].
The erosion study was conducted to assess the resistance of each buccal film against saliva and oral movement to ensure sufficient contact between entrapped drug and mucous membrane [35]. As expected, thiol modification of pectin improved the resistance of the buccal films, as also in agreement with the previous studies [26, 35]. It was clearly demonstrated that LMP films eroded significantly after immersion in water, which resulted from their high solubility in water due to their abundant ionized carboxylic acid groups. Moreover, it was also found that the erosion percentages of LMTP and HMTP films were not significantly different. Similar gelling mechanism of LMTP and HMTP, which was mostly via hydrophobic interactions, might better explain this phenomenon. Increased hydrophobicity by TGA conjugation significantly improved their resistance to erosion [26, 35].
In order to evaluate the mucoadhesion properties of the prepared buccal films in regards to thiol modification, the residence time of each buccal film on mucosal membranes was investigated. In agreement with the previous studies [26, 27], the mucoadhesion study showed significant improvement in residence time on mucosal membranes observed in thiolated groups compared to the non-modified ones. In another study, mucoadhesive thiolated pectin-chitosan composites even demonstrated selective cytotoxicity when loaded with standard anticancer treatment [37]. These proved the hypothesis that the presence of thiol groups might enable interaction between sulfhydryl groups in pectin with the cysteine residues in the mucus, resulting in stronger covalent bond interaction compared to the weaker ionic and hydrogen bonding which occurred on non-modified pectin with mucus. Unmodified pectin is hydrophilic, and its mucoadhesion property depends on the hydrogen bond forming groups, i.e.,-OH groups, although it is also able to form van der Waals interaction or ionic interaction [26]. Hence, after swelling in water, overhydration of pectin decreased the interaction between pectin and mucus, leading to the easy removal of non-modified pectin films from mucous membranes [26]. Moreover, HMTP interestingly showed significantly longer residence time on the mucosal membrane compared to LMTP despite similar free thiol group content. This might be due to the electrostatic repulsions between negatively charged carboxylic acid groups of LMTP and negatively charged mucin at pH 6.8 [38], decreasing the interaction between LMTP films and mucous membranes.
In this study, diclofenac sodium was chosen as the drug model to be delivered since it is one of the most prominent non-steroidal anti-inflammatory drugs (NSAIDs) used clinically. Diclofenac has been formulated into several commercially available dosage forms, such as oral use, topical use, and transdermal. Buccal delivery is a prospective alternative route of administration that could be explored for diclofenac since diclofenac undergoes extensive first-pass metabolism, which lowers its bioavailability to 50-60% when delivered through the oral route [30, 31]. This problem can be avoided by delivery through buccal route. Buccal route also provides possible convenient systemic delivery with controlled release [30]. This delivery route is also proven especially beneficial for infection in the mouth cavity (such as dental, gingival) where inflammation might happen due to dental extraction or infection, thus enabling delivery of the drug closer to the site of inflammation too.
The results of the drug release testing demonstrated that thiolated pectin films were able to sustain the release of diclofenac compared to non-thiolated pectin films. The burst-release of diclofenac from LMP films might be attributed to the electrostatic repulsion between negatively charged diclofenac and negatively charged carboxylic acid groups of LMP, therefore facilitating the release of diclofenac from the film. Nonetheless, HMP films were able to sustain the release of diclofenac better compared to LMP due to its higher hydrophobicity, although still less controlled compared to the more hydrophobic LMTP and HMTP. These results proved that even though DE did not affect the thiolation extent of the polymers, it did affect the final properties, such as the release profile of drugs. It was clearly observed that the thiolated pectin groups were able to control drug release and decrease their affinity to water due to the thiol modification that may have resulted in the disulfide bridge crosslinking, thus lowering its hydrophilicity.
Finally, based on our finding of improved mucoadhesion on the buccal membrane and controlled release behavior of the drug, thiolated pectins were shown to possess potential as alternative materials for mucoadhesive drug delivery purposes via buccal route, regardless of their DE. However, HMTP films were preferred in regard to their swelling capacity and adhesion to the mucous membrane. Future studies can be conducted to characterize their morphology and their mechanical properties.
The synthesis of thiolated pectin was successful, as proven by the FT-IR spectra characterization and thiolation efficiency of 8.476±0.313 µmol/g and 8.963±0.510 µmol/g for LMP and HMP, respectively. The fabrication of the diclofenac-loaded films was also successful, where the LMTP and HMTP films resulted in flexible, opaque, and smooth films with higher water resistance, improved mucoadhesion, and a more controlled release delivery of diclofenac compared to the non-thiolated LMP and HMP films. The HMTP films showed the highest residence time on the mucous membrane and also managed to control the release of diclofenac to less than 50% of the amount released in 4 h. This result indicated that the films produced showed promising potential to be further developed as a vehicle to assist the delivery of diclofenac sodium through the buccal route.
This study was funded by a grant from the Ministry of Research and Technology/National Research and Innovation Agency (Kemenristek-BRIN) of Republic of Indonesia with contract number 079/SP2H/AMD/lT/DRPM/2020 awarded to Agnes Anania Triavika Sahamastuti.
All authors have contributed equally.
The authors that they have no conflict of interest
Puri V, Sharma A, Kumar P, Singh I. Thiolation of biopolymers for developing drug delivery systems with enhanced mechanical and mucoadhesive properties: a review. Polymers (Basel). 2020;12(8):1803. doi: 10.3390/polym12081803, PMID 32796741.
Leichner C, Jelkmann M, Bernkop-Schnürch A. Thiolated polymers: bioinspired polymers utilizing one of the most important bridging structures in nature. Adv Drug Deliv Rev. 2019;151-152:191-221. doi: 10.1016/j.addr.2019.04.007, PMID 31028759.
Shah KU, Shah SU, Dilawar N, Khan GM, Gibaud S. Thiomers and their potential applications in drug delivery. Expert Opin Drug Deliv. 2017;14(5):601-10. doi: 10.1080/17425247.2016.1227787, PMID 27548003.
Ahmed AB, Bhaduri I. Chemical modification, characterization and evaluation of mucoadhesive potentiality of assam bora rice starch. Int J Pharm Pharm Sci. 2017;9(9):132. doi: 10.22159/ijpps.2017v9i9.20108.
Rao MR, Gaikwad SR, Shevate PM. Synthesis and characterization of a novel mucoadhesive derivative of psyllium seed polysaccharide. Int J Pharm Pharm Sci. 2017;9(6):166. doi: 10.22159/ijpps.2017v9i6.14221.
Bandyopadhyay PK, Nayak AK. Thiolation of fenugreek seed polysaccharide; Utilization as a novel biomucoadhesive agent in drug delivery. Int J App Pharm. 2023;15(1):290-7. doi: 10.22159/ijap.2023v15i1.46459.
Tingaut P, Hauert R, Zimmermann T. Highly efficient and straightforward functionalization of cellulose films with thiol-ene click chemistry. J Mater Chem. 2011;21(40):16066. doi: 10.1039/c1jm11620g.
Jelkmann M, Bonengel S, Menzel C, Markovic S, Bernkop Schnürch A. New perspectives of starch: synthesis and in vitro assessment of novel thiolated mucoadhesive derivatives. Int J Pharm. 2018;546(1-2):70-7. doi: 10.1016/j.ijpharm.2018.05.028, PMID 29758345.
Hoang Thi TT, Lee Y, Ryu SB, Nguyen DH, Park KD. Enhanced tissue adhesiveness of injectable gelatin hydrogels through dual catalytic activity of horseradish peroxidase. Biopolymers. 2018;109(1):e23077. doi: 10.1002/bip.23077, PMID 29105737.
Xu G, Wang X, Deng C, Teng X, Suuronen EJ, Shen Z. Injectable biodegradable hybrid hydrogels based on thiolated collagen and oligo(acryloyl carbonate)–poly(ethylene glycol)–oligo(acryloyl carbonate) copolymer for functional cardiac regeneration. Acta Biomater. 2015;15:55-64. doi: 10.1016/j.actbio.2014.12.016, PMID 25545323.
Prufert F, Bonengel S, Menzel C, Bernkop Schnurch A. Enhancing the efficiency of thiomers: utilizing a highly mucoadhesive polymer as backbone for thiolation and preactivation. Eur J Pharm Sci. 2017;96:309-15. doi: 10.1016/j.ejps.2016.09.031, PMID 27702609.
Bonengel S, Hauptstein S, Leonaviciute G, Griessinger J, Bernkop-Schnürch A. Thiolated alkyl-modified carbomers: novel excipients for mucoadhesive emulsions. Eur J Pharm Sci. 2015;75:123-30. doi: 10.1016/j.ejps.2015.03.014, PMID 25857707.
Partenhauser A, Laffleur F, Rohrer J, Bernkop Schnurch A. Thiolated silicone oil: synthesis, gelling and mucoadhesive properties. Acta Biomater. 2015;16:169-77. doi: 10.1016/j.actbio.2015.01.020, PMID 25660565.
Cole MA, Bowman CN. Evaluation of thiol-ene click chemistry in functionalized polysiloxanes. J Polym Sci A Polym Chem. 2013;51(8):1749-57. doi: 10.1002/pola.26551.
Denora N, Lopedota A, Perrone M, Laquintana V, Iacobazzi RM, Milella A. Spray-dried mucoadhesives for intravesical drug delivery using N-acetylcysteine-and glutathione-glycol chitosan conjugates. Acta Biomater. 2016;43:170-84. doi: 10.1016/j.actbio.2016.07.025, PMID 27427225.
Perrone M, Lopalco A, Lopedota A, Cutrignelli A, Laquintana V, Franco M. S-preactivated thiolated glycol chitosan useful to combine mucoadhesion and drug delivery. Eur J Pharm Biopharm. 2018;132:103-11. doi: 10.1016/j.ejpb.2018.09.015, PMID 30253185.
Perera G, Barthelmes J, Bernkop Schnurch A. Novel pectin–4-amino thiophenol conjugate microparticles for colon-specific drug delivery. J Control Release. 2010;145(3):240-6. doi: 10.1016/j.jconrel.2010.04.024, PMID 20438779.
Thirawong N, Nunthanid J, Puttipipatkhachorn S, Sriamornsak P. Mucoadhesive properties of various pectins on gastrointestinal mucosa: an in vitro evaluation using texture analyzer. Eur J Pharm Biopharm. 2007;67(1):132-40. doi: 10.1016/j.ejpb.2007.01.010.
Cheewatanakornkool K, Niratisai S, Dass CR, Sriamornsak P. Redox-responsive microbeads containing thiolated pectin-doxorubicin conjugate inhibit tumor growth and metastasis: an in vitro and in vivo study. Int J Pharm. 2018;545(1-2):1-9. doi: 10.1016/j.ijpharm.2018.04.052, PMID 29702240.
Bhatia M, Ahuja M, Mehta H. Thiol derivatization of xanthan gum and its evaluation as a mucoadhesive polymer. Carbohydr Polym. 2015;131:119-24. doi: 10.1016/j.carbpol.2015.05.049, PMID 26256167.
Laffleur F, Michalek M. Modified xanthan gum for buccal delivery-a promising approach in treating sialorrhea. Int J Biol Macromol. 2017;102:1250-6. doi: 10.1016/j.ijbiomac.2017.04.123, PMID 28487193.
Geng B, Wang H, Wu S, Ru J, Tong C, Chen Y. Surface-tailored nanocellulose aerogels with thiol-functional moieties for highly efficient and selective removal of Hg(II) ions from water. ACS Sustainable Chem Eng. 2017;5(12):11715-26. doi: 10.1021/acssuschemeng.7b03188.
Arcot LR, Lundahl M, Rojas OJ, Laine J. Asymmetric cellulose nanocrystals: thiolation of reducing end groups via NHS–EDC coupling. Cellulose. 2014;21(6):4209-18. doi: 10.1007/s10570-014-0426-9.
Chattergee B, Amalina N, Sengupta P, Mandal UK. Mucoadhesive polymers and their mode of action: a recent update. J Appl Pharm Sci. 2017;7(5):195-203.
Venzon SS, Canteri MHG, Granato D, Junior BD, Maciel GM, Stafussa AP. Physicochemical properties of modified citrus pectins extracted from orange pomace. J Food Sci Technol. 2015;52(7):4102-12. doi: 10.1007/s13197-014-1419-2, PMID 26139875.
Sharma R, Ahuja M. Thiolated pectin: synthesis, characterization and evaluation as a mucoadhesive polymer. Carbohydr Polym. 2011;85(3):658-63. doi: 10.1016/j.carbpol.2011.03.034.
Hauptstein S, Hintzen F, Muller C, Ohm M, Bernkop Schnurch A. Development and in vitro evaluation of a buccal drug delivery system based on preactivated thiolated pectin. Drug Dev Ind Pharm. 2014;40(11):1530-7. doi: 10.3109/03639045.2013.836213, PMID 24025071.
Iswandana R, Putri KSS, Sandiata CE, Triani S, Sari SP, Djajadisastra J. Formulation of tetrandrine beads using ionic gelation method Ca-pectinate coated pH-sensitive polymers as the colon-targeted dosage form. Asian J Pharm Clin Res. 2017;10(10):90. doi: 10.22159/ajpcr.2017.v10i10.19994.
Fracasso AF, Perussello CA, Carpine D, Petkowicz CLO, Haminiuk CWI. Chemical modification of citrus pectin: structural, physical and rheologial implications. Int J Biol Macromol. 2018;109:784-92. doi: 10.1016/j.ijbiomac.2017.11.060, PMID 29133098.
Laffleur F. Mucoadhesive polymers for buccal drug delivery. Drug Dev Ind Pharm. 2014;40(5):591-8. doi: 10.3109/03639045.2014.892959, PMID 24576266.
Hinz B, Chevts J, Renner B, Wuttke H, Rau T, Schmidt A. Bioavailability of diclofenac potassium at low doses. Br J Clin Pharmacol. 2005;59(1):80-4. doi: 10.1111/j.1365-2125.2005.02226.x, PMID 15606444.
Bernkop Schnurch A, Hornof M, Zoidl T. Thiolated polymers–thiomers: synthesis and in vitro evaluation of chitosan-2-iminothiolane conjugates. Int J Pharm. 2003;260(2):229-37. doi: 10.1016/s0378-5173(03)00271-0, PMID 12842342.
Hartrianti P, Nguyen LTH, Johanes J, Chou SM, Zhu P, Tan NS. Fabrication and characterization of a novel crosslinked human keratin-alginate sponge. J Tissue Eng Regen Med. 2017;11(9):2590-602. doi: 10.1002/term.2159, PMID 27109145.
Fleming I, Williams D. Spectroscopic methods in organic chemistry. 7th ed. Berlin: Springer; 2019. p. 88-121.
Fernandes FP, Fortes AC, da Cruz Fonseca SG, Breitkreutz J, Ferraz HG. Manufacture and characterization of mucoadhesive buccal films based on pectin and gellan gum containing triamcinolone acetonide. Int J Polym Sci. 2018;2018:1-10. doi: 10.1155/2018/2403802.
Junmahasathien T, Panraksa P, Protiarn P, Hormdee D, Noisombut R, Kantrong N. Preparation and evaluation of metronidazole-loaded pectin films for potentially targeting a microbial infection associated with periodontal disease. Polymers (Basel). 2018;10(9):1021. doi: 10.3390/polym10091021, PMID 30960947.
Leonard TE, Liko AF, Gustiananda M, Putra ABN, Juanssilfero AB, Hartrianti P. Thiolated pectin-chitosan composites: potential mucoadhesive drug delivery system with selective cytotoxicity towards colorectal cancer. Int J Biol Macromol. 2023;225:1-12. doi: 10.1016/j.ijbiomac.2022.12.012, PMID 36481327.
Shahiwala A, Misra A. Applications of polymers in drug delivery. 2nd ed. UK: Smithers Rapra Technology Ltd; 2014. p. 59-81.