
1Department of PG Chemistry, Akkineni Nageswara Rao College, Gudivada-521301, India. 2Department of Chemistry, Acharya Nagarjuna University, Nagarjuna Naga, Andhra Pradesh, India
*Corresponding author: Subhashini Kantheti; *Email: subhashinikantheti@gmail.com
Received: 28 Apr 2023, Revised and Accepted: 29 Jun 2023
ABSTRACT
Objective: An innovative RP-HPLC isocratic method was established and then validated using Zanubrutinib and its specified impurities (Impurity-1, Impurity-2, Impurity-3, Impurity-4, and Impurity-5).
Methods: In this method, effective chromatographic separation was given an X-Bridge Phenyl column measuring 250 mm x 4.6 mm, packed column with 5μ as a particle size. Acetonitrile, 1% Ortho Phosphoric acid (pH: 2.7), and methanol in the volume ratios 40, 40, and 20 were utilized as a mobile phase at room temperature with an optimized 1.0 ml/min flow rate. Wavelength was detected at 225 nm by using a PDA detector.
Results: Retention times of zanubrutinib and its specified impurities were recorded at 13.284, 4.730, 6.816, 9.583, 10.726, and 12.287. Moreover, other parameters USP tailing is good, USP plate count above 4000, and USP resolution is greater than are equal to 2. The Obtained peaks are homogeneous, hence the purity angle is less than the purity threshold and No Purity Flag. According to ICH guidelines, this method was validated. Zanubrutinib (5-75 µg/ml), their quantified impurity-1, impurity-2, impurity-4, impurity-5 (0.1-1.5 µg/ml), and impurity-3 (0.1-1.5 µg/ml) are proved through linearity method in between LOQ to 75 quantified levels. The % recovery was present between 100.18-95.85, 103.15-93.80, which is a good and acceptance range (amongst 85% and 115%) for drug and specified impurities. The limit of quantitation (LOQ) and limit of detection (LOD) values were assessed for zanubrutinib and its specified impurities were tabulated. These values were calculated using slope (σ) and standard deviation (SD) methods. Method precision (M. P.) and Intermediate (I. P.) Intermediate (I. P.) precision was estimated by evaluating several (six) samples of a similar batch as per the planned technique on the day and the next day, using different columns and systems. Robustness information significantly affects the resolution between Zanubrutinib and specified impurities. The remaining parameters do not impact the parameter’s system suitability.
Conclusion: Hence this method was chosen for common analysis. Finally, the system-suitable parameters and validation parameters values are acceptable limits.
Keywords: Zanubrutinib, Specified impurities, Linearity recovery, and robustness
© 2023 The Authors. Published by Innovare Academic Sciences Pvt Ltd. This is an open-access article under the CC BY license (https://creativecommons.org/licenses/by/4.0/)
DOI: https://dx.doi.org/10.22159/ijap.2023v15i5.48213. Journal homepage: https://innovareacademics.in/journals/index.php/ijap
A Zanubrutinib (ZBB/BGB-3111) is classified as a (BTK) Bruton tyrosine kinase inhibitor [1-3] through possible antineoplastic drug and it is given through mouth in the form of tablet dosage. This drug was approved by FDA in September 2019 [4], newly approved by the USA and Chinese drug supervisory establishments for the treatment of (MCL) mantle cell lymphoma [5], liver injury patients [6], and the commercial brand name is Brukinsa, ZBB is used for the action of grown people (adults) with mantle cell lymphoma (MCL) [7-10], who have consumed at minimum one prior treatment [11]. The molecular weight of zanubrutinib (C27H29N5O3) is 471.56. ZBB was soluble in various organic solvents like ethanol (C2H5OH, 5 mg/ml), dimethyl sulfoxide (DMSO, 5 mg/ml), and (DMF, 10 mg/ml) dimethyl form amide, carefully resolvable in aqueous buffers and insoluble in water. ZBB is stored at-20 °C and stable for ≥2 y [12].
Efficiency was assessed in (NCT 02343120) BGB-3111-AU-003, a phase I/II growth, open-label, multi-centre, the single-arm, global trial of B cell malignancies [13, 14], with 32 earlier treated Mantle-cell lymphoma (MCL) patients treated with ZBB managed per day two times with 160 mg [15-17] of ZBB or per day one time 320 mg of ZBB in the form of tablet dosage [18]. Zanubrutinib provides a higher response rate (84%) and prolonged progression-free survival (PFS) in patients with refractory or relapsed Mantle-cell lymphoma (MCL) [19]. These mixtures have established deep replies with several patients achieving undetectable minimal residual disease (uMRD) [20, 21].
Zanubrutinib (ZBB) inhibits (BTK) Bruton’s tyrosine kinase by establishing a covalent bond [22] with cysteine 481 remainder in the (ATP) adenosine triphosphate binding abridged of BTK. Adenosine triphosphate binding specificity is generally seen with additional (BTK) Bruton’s tyrosine kinase inhibitors. According to the ATP binding profile, zanubrutinib may similarly bind through varying affinities to unrelated and related (ATP) adenosine triphosphate binding kinases that have cysteine residue in this situation. Through blocking the BCR (B cell receptors) signaling pathway, zanubrutinib obstructs the trafficking proliferation, adhesion, and chemotaxis of malignant B cells [13, 14], eventually leading to a decrease in tumour magnitude.
The results of Song, Y et al. 2021 [23] give high demonstrate Complete Response (CR) and Overall Response Rates (ORR) in patients with refractory or relapsed Mantle-cell lymphoma (MCL).
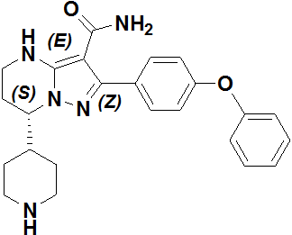
A literature survey reported the isocratic analytical technique [24] for the specific determination of zanubrutinib using the RP HPLC technique. The current novel study was reporting technique for the simultaneous estimation of zanubrutinib (fig. 1) and their impurities (table 2) by using the RP-HPLC technique.
Waters make instrument is HPLC (Software-Empower 2.0; Alliance model No: e2695) was used for the estimate of the Zanubrutinib and its impurities with the PDA detector. The HPLC grade, methanol, acetonitrile, OPA, Tri fluoro acetic acid, and formic acid used in the mobile phase preparation were purchased from Merck, India. Zanubrutinib is a drug which is present in the form of tablet dosage used in this investigation was purchased from the Mylan laboratory (R and D section), Hyderabad. The Zanubrutinib and their insufficient impurities standards were obtained from Ph. Eur and USP. Reaming impurities were purchased from the Mylan laboratory (R and D section), Hyderabad, India. Unified HPLC systems were obtained from Waters Corporation, Milford, USA, and prepared by a Waters PDA (photodiode array detector). Empower software 2pro is used for the Information gathering and analysis part. The columns were acquired from Zodiac Life Sciences, HYD, and India. Glassware (Class A) is used in conducting the experimentations and justifications were obtained from Borosil and Duran, India.

a) Zanubrutinib b) Impurity-1 c) Impurity-2

d) Impurity-3 e) Imurity-4 f) Impurity-5
Fig. 1(a-f): Drug class, structural formula, and importance of Zanubrutinib
General procedures
Preparation of standard drug (Zanubrutinib) solutions
Accurately 50 mg of zanubrutinib was weighed and transported to a volumetric (50 ml) flask. Subsequently, proper dissolution with acetonitrile and sonicate for nearly 15 min and a similar solvent was used to dilute up to the mark. The obtained solution utilized the (1000 µg ml–1) stock. Dilute the solution appropriately for additional usage.
Impurity stock solution preparation
Impurity stock solution preparation A
Accurately 5 mg of each of Imp-1, Imp-2, Imp-4, and Imp-5 was weighed and transported to a volumetric (100 ml) flask. Subsequently, proper dissolution with acetonitrile and sonicate for nearly 15 min.
Impurity stock solution preparation B
Accurately 5 mg of each of Imp-3 was weighed and transported to a volumetric (100 ml) flask. Subsequently, proper dissolution with acetonitrile and sonicate for nearly 15 min.
Impurity stock preparation solution
Addition of 1 ml from Impurity stock-A and 1 ml from Impurity stock-B into a volumetric flask (50 ml) and fill up to the mark through the diluents.
Forced degradation and Method validation studies
According to the present rules [28], the last optimized conditions are validated. Diluted stress samples appropriately to prepare the closing concentration holding the planned method conditions (zanubrutinib of 50 µg/ml) and related with blank and standard chromatograms.
Instrumentation
An (HPLC) High-Pressure Liquid Chromatographic method was developed for the estimation of zanubrutinib with impurities; Waters makes instrument is HPLC (Software-Empower 2.0; Alliance model No: e2695) was used for the estimate of the Zanubrutinib and its impurities with the PDA detector with X-Bridge Phenyl (250 mm x 4.6 mm, 5 µm) column, isocratic pump.
Selection of diluent
As per USP general advertisements, the diluent is used to prepare standards, sample solution, impurity standards, placebo solution, and system suitability solutions were nominated based on the solubility studies conducted for zanubrutinib.
Table 1: Solubility study of zanubrutinib at 25 °C
| Name of the solvent | Solubility |
| Water | Insoluble |
| Methanol | Soluble |
| Acetonitrile | Soluble |
| Acetone | Slightly soluble |
| Ethyl acetate | Slightly soluble |
The active compound is easily solvable in acetonitrile and methanol depending on solubility studies. The excipients used in the construction have (USP-NF) combined solubility in weekly acidic pH solution and methanol. Depending on solubility studies (table 1), mobile phase compatibility, and for excipient solubility, A combination of diluent acetonitrile and 0.1% orthophosphoric acid (50:50) was chosen as the diluent for formulating all solutions.
Determination of detection wavelength
In the initial stage of development, recognition wavelength (λmax) was determined by using a UV-Visible spectrophotometer range from 200 nm–400 nm. Then spectra were recorded at the immovable wavelength (λmax) through PDA (Photodiode Array) detector. By using this PDA (Photodiode Array) detector spectral zanubrutinibib and their Impurities were obtained (fig. 2). Zanubrutinib shows four λmax, 225.2 nm, 271.4 nm, 317.8 nm, and 364.2. Table 2 shows the λmax depicted by individual impurities. Based on essential sensitivity for producing the LOQ and LOD for impurities, the suitable UV replies were measured for the Zanubrutinib (225.2 nm).
Wavelength is observed in the present study at 225.2 nm using a PDA detector. Were as Vijayakumari M and Ch Balsekhar Reddy [24] reported 220 nm. But in this study, we use a drug with impurities and advanced software. Hence this method is better.

Fig. 2: PDA spectra of zanubrutinib and their impurities
Table 2: Absorption maxima (λmax) of separate impurities
| Name | λmax (nm) |
| Zanubrutinib | 225.2, 271.4, 317.8, 364.2, |
| Impurity-1 | 207.6, 258.3, 381.0 |
| Impurity-2 | 219.3, 263.1, 345.3, 383.4 |
| Impurity-3 | 239.9, 261.9, 288.0, 307.0, 357.3, 391.9 |
| Impurity-4 | 286.8, 387.1 |
| Impurity-5 | 208.7, 293.9, 335.7, 353.7, 382.2 |
Choice of chromatographic situations (Method development)
In the current investigation, to develop technique and validation using Waters make HPLC instrument (Alliance model No: e2695; Software-Empower 2.0). Buffer (0.1% OPA) and acetonitrile (50:50) are used as a diluent for the preparation of normal (standard) solutions of zanubrutinib and their five impurities.
Acetonitrile (LC grade) was selected as the key essential solvent of the mobile phase (MP) because it overdoes the remaining solvents (polar) in the succeeding aspects. (1) Lowermost transmission density (absorbance) at shorter λ max (wavelengths) and hence lesser sound in UV detection. It tells higher sensitivity examination at smaller UV wavelengths (λ max). (2) Less ghost cresting is detected for gradient baselines. (3) Its compatibility is in height with water. (4) it is condensed back pressure and lesser viscosity lead to a considerably greater peak shape. (5) Acetonitrile (CAN) based solutions take higher elution strength related to methanol (CH3CH2OH) based solutions. (6) At small mixture ratios, the same retention time can be attained using acetonitrile through smaller than half the ratio of methanol (CH3CH2OH). Zanubrutinib compound contains three functional groups: the imidazole ring, amido group, and ester groups. The first one is the imidazole ring, which is a water-soluble, strongly basic, polar nature [25]. The second one is the amido group, which is less basic, less water-soluble, and non-polar in nature. The third one is the ester group, which is less basic, soluble in water up to three carbons but more carbons containing in the compound which is soluble water. Based on the second and third point’s compound is insoluble in water [12] and non-polar nature.
According to the principles of RP (reversed-phase), chromatography was used to develop the method. The basis of selecting the RP chromatography is the type and nature of the nominated compounds (Zanubrutinib). For initial expansion trials, the most regular RP (reversed-phase) column, i.e., column C18, with dimensions 150 mm x4.6 mm and element size 3.5µ, was selected (Inertsil ODS). More density bonding of Column C18 (Inertsil ODS) is the most regular RP (reversed-phase) column in which silanols are present in the packing and these are activated in varied pH ranges (pH 2-pH 7.5). Very diluted (TFA) 0.1 %Trifluoroacetic acid is used as a buffer, which acts as an ion association agent in HPLC (liquid chromatography) of compounds like organic [26]. Acetonitrile is used as the medium-polarity solvent [27], which is soluble in non-polar, ionic compounds and it is suitable as a mobile phase inLC–MS and HPLC. Generally, acetonitrile is a favored solvent in (RP-HPLC) chromatography due to its low UV cut-off and lower viscosity.
The initial trial of experimentations was carried out through 60:40, 70:30, 80:20 v/v, Trifluoroacetic acid (pH 2.0), and acetonitrile separately pumped in a mode of isocratic at 1.0 ml min-1 flow rate. During the run time, column temperature was maintained at 25 °C and a 15 min run time was kept. A 10 µl spiked sample (registered impurities) was inserted into the system HPLC (fig. 3). In these trials, no separation of peaks was observed.



Fig. 3: Chromatograms obtained from column C18 (Inertsil ODS)
Second phase trials were carried out through a change column (Symmetry C18 (150 mm x 4.6 mm, 3.5 µ), change buffer (0.1% formic acid). In these phases, experimentations were carried out through 30+70, 40+60, and 20+80 v/v, 0.1% formic acid (pH 2.7), and acetonitrile separately pumped in a mode of isocratic at 1.0 ml min-1 flow rate. During the run time, column temperature was maintained at 25 °C and 15 min run time was kept. A 10 µl spiked sample was inserted into the system HPLC (fig. 4). In these trials, there is the separation of peaks was observed in the first composition, but the plate count was low. The sixth peak is not eluted in the second and third compositions, and base drift is observed.



Fig. 4: Chromatograms obtained from symmetry C18 (150 mm 4.6 mm, 3.5 µ)
Further third phase trials were carried out by to change in buffer with 0.1% OPA and same column (Symmetry C18 (150 mm x 4.6 mm, 3.5 µ), In this phase experimentation, were carried out through 20+80 v/v, 0.1% OPA (pH 2.7) and acetonitrile separately pumped in a mode of isocratic at 1.0 ml/min flow rate. During the run time, column temperature was maintained at 25 °C and a 15 min run time was kept. A 10 µl spiked sample (specified impurities) was inserted into the system HPLC (fig. 5). In these trials, less plate count and below two resolutions were observed.
The subsequent fourth phase trial was carried out by changing the column with X-bridge phenyl (150 mm x 4.6 mm, 3.5 µ), 0.1% OPA, Acetonitrile, and methanol. In this phase, experimentations were carried out through 30+50+20, 30+60+10 v/v, 0.1% OPA (pH 2.7), acetonitrile, and methanol separately pumped in a mode of isocratic at 1.0 ml min-1 flow rate. During the run time, column temperature was maintained at 25 °C and a 15 min run time was kept. A 10 µl spiked sample (specified impurities) was inserted into the system HPLC (fig. 6). In these trials, the first composition baseline was not proper, and the second composition low resolution was observed.

Fig. 5: Chromatograms obtained from (0.1% OPA (pH 2.7) and acetonitrile: 20+80 v/v) as a mobile phase

Fig. 6: Chromatograms obtained from X-bridge phenyl (150 mm x 4.6 mm, 3.5 µ)
Finally, the experiment was carried out through 40+40+20 v/v, acetonitrile, 0.1% OPA (pH 2.7), and methanol separately pumped in a mode of isocratic at 1.0 ml min-1 flow rate. During the run time, column temperature was maintained at 25 °C and a 15 min run time was kept. A 10 µl spiked sample (specified impurities) was inserted into the system HPLC fig. 7). In this trial was optimized (table 3) because of the good baseline, more USP-plate count, a tail factor is good, and resolution is more than 2.

Fig. 7: Chromatograms obtained from (1% orthophosphoric acid: methanol (40:40:20); 40+40+20 v/v/v) as a mobile phase
Table 3: Chromatography conditions of the method
| Parameter | Condition |
| Diluent | Acetonitrile: 1% Ortho Phosphoric acid (50:50) |
| Detector wavelength | 225 nm |
| Run time | 20 min |
| Column temperature | Ambient |
| Sample temperature | Ambient |
| Injection volume | 10 µl |
| Flow rate | 1.0 ml min–1 |
| Column | X-Bridge Phenyl (250 mm x 4.6 mm, 5 µm) |
| Separation Mode | Isocratic |
| Mobile phase | Acetonitrile: 1% Ortho Phosphoric acid: methanol (40:40:20) |
M. Vijaya Kumari and Ch. Balasekhar Reddy [24] reported the mobile phase composition (acetonitrile and 0.1% orthophosphoric acid (50:50 v/v)), theoretical plate counts (6527), and tailing factor (1.04). But the present study reported mobile phase composition (acetonitrile, 0.1% OPA (pH 2.7), and methanol (40:40:20 v/v/v)), theoretical plate counts (15528), resolution (2.17), tailing factor (1.07), Purity1 angle (0.054), Purity1threshold (4.049) and Purity1 flag (No).
Method validation
According to ICH (2005) [28], guidelines (Q2R1) to develop and optimize the HPLC technique were validated. Every validated parameter is discussed in detail in section (table 4).
System suitability and system precision
Optimized method conditions Parameters (system suitability) are in Table 5. The USP tailing factor for zanubrutinib, and its impurities is 1.01-1.09, representing the symmetrical peaks around its axis and take accurate Gaussian shapes. USP plate count (15749-8224) shows that the chosen column effectively resolves the sample components by attaining a good resolution between the neighboring peaks. So, system suitability was verified (USP 40-NF35). In the system precision study, six repeated samples of zanubrutinib were injected and calculated %RSD as 0.138 (<1%), which represents that the made quantities are precise. System suitability and precision chromatograms are shown in Fig. 8 and Fig. 9.
Table 4: Key parameters of validation
| S. No. | Parameter | Results observed | |||||
| ZBB | Imp-1 | Imp-2 | Imp-3 | Imp-4 | Imp-5 | ||
| 1 | API Concentration (µg ml–1) | 50 | 1 | 1 | 0.50 | 1 | 1 |
| 2 | Linearity (µg ml–1) | 5-75 | 0.1-1.5 | 0.1-1.5 | 0.1-1.5 | 0.1-1.5 | 0.1-1.5 |
| 3 | Method precision (% RSD) | 0.417 | 0.137 | 0.514 | 0.741 | 1.349 | 1.027 |
| 4 | Intermediate precision (% RSD) | 0.348 | 0.273 | 0.597 | 0.691 | 0.662 | 1.041 |
| 5 | % Recovery | 0.117-0.650 | 0.136-0.417 | 1.41-0.270 | 0.652-1.05 | 1.919-0.340 | 0.250-0.736 |
| 6 | LOQ (µg ml–1) | 0.707383 | 0.014029 | 0.052071 | 0.0365787 | 0.14673956 | 0.008431 |
| 7 | LOD (µg ml–1) | 0.233437 | 0.00463 | 0.017183 | 0.0120709 | 0.04842405 | 0.002782 |

Fig. 8: Typical chromatogram of system suitability

Fig. 9: Typical chromatogram of system precision

Fig. 10: Typical chromatogram of diluents

Fig. 11: Typical chromatogram of placebo
Table 5: System suitability parameters at optimized conditions
| S. No. | Parameter | Parameter values | |||||
| Zanubrutinib | Imp-1 | Imp-2 | Imp-3 | Imp-4 | Imp-5 | ||
| 1 | Retention time (min) | 13.284 | 4.730 | 6.816 | 9.583 | 10.726 | 12.287 |
| 2 | Peak area (µV*Sec) | 19194238 | 263228 | 280819 | 119688 | 274361 | 577344 |
| 3 | USP tailing | 1.07 | 1.02 | 1.05 | 1.01 | 1.08 | 1.09 |
| 4 | USP plate count | 15528 | 8224 | 11325 | 15749 | 15652 | 15143 |
| 5 | USP resolution | 2.17 | --- | 8.88 | 9.64 | 3.36 | 4.42 |
| 6 | Purity1 angle | 0.054 | 0.545 | 10.543 | 0.763 | 0.671 | 1.127 |
| 7 | Purity1threshold | 4.049 | 5.278 | 19.921 | 6.349 | 5.420 | 6.032 |
| 8 | Purity1 flag | No | No | No | No | No | No |
*Purity Flag ‘No’ indicates the peak is homogenous (Given by Empower software). Peak is Homogeneous if the purity angle is less than the purity threshold.
Specificity
Diluent interference
To prepare the diluent solution as per the improved method, insert it into the chromatographic system (fig. 10). No interference was observed by the retention times of active and impurities peaks owing to the diluent.
Placebo interference
To prepare a Placebo solution as per the improved method, insert it into the chromatographic system (fig. 11). No interference was observed by the retention times of active and impurities peaks owing to the placebo.
Interference from degradation products
The information about the degradation experiment (table 6) given that the high degradation of zanubrutinib was detected in photolytic degradation (UV) (4.64) and the least degradation of zanubrutinib was detected in acid hydrolysis (1.05). Hence ZBB performs less stable in UV rays and highly stable in acidic medium. The technique is precise towards Zanubrutinib and impurities, as the purity threshold is more than the purity angle in entirely stress parameters, representing the homogeneous analysed peak. M. Vijaya Kumari and Ch. Balasekhar Reddy [24] gives information about the degradation of Zanubrutinib, which was detected in acid hydrolysis.
Table 6: Results of stress study and peak purity data of zanubrutinib
| Parameter | Stress conditions | % Assay of the degraded sample (A) | % Degradation w. r. t. control*(B) | Purity angle |
Purity threshold |
| Control sample (No degradation) | No Exposure | 98.69159 | ---- | 0.054 | 4.049 |
| Acid hydrolysis | 0.1 ml of 1N HCl and heated at 70 °C for 1 h | 99.72321 | 1.04692 | 0.028 | 4.030 |
| Base hydrolysis | 1 ml of 1N NaOH and heated at 70 °C for 1 h | 100.1014 | 1.43015 | 0.021 | 4.050 |
| Oxidation | 0.5 ml of 30% H2O2 at 70 °C for 1 h | 100.0909 | 1.41954 | 0.028 | 4.030 |
| Hydrolysis degradation | Heated at 70 °C for 30 min | 100.3068 | 1.6383 | 0.026 | 4.038 |
| Reduction degradation | 1 ml of 10% Sodium bisulfate and heated at 70 °C for 1 h | 100.0308 | 1.35862 | 0.029 | 4.035 |
| Thermal degradation | Exposed at 80 °C for at least 72 h | 100.7019 | 2.03858 | 0.052 | 4.624 |
| Photolytic degradation (UV) | Exposed to 1.2 Million lux hours of light | 103.2648 | 4.63553 | 0.024 | 4.037 |
*B= (98.69-A)/98.69*100
Linearity
Zanubrutinib (5-75 µg/ml), their quantified impurity-1, impurity-2, impurity-4, impurity-5 (0.1-1.5 µg/ml), and impurity-3 (0.1-1.5 µg/ml) are proved through linearity method in between LOQ to 75 quantified levels (table 7). Various diluted solutions are prepared from standard solutions; these solutions are used we got chromatographed. These chromatograms recorded the response area. By using the linear regression technique, data was estimated. Outcomes of linearity and parameters of regression plotted (table 10). Linear correlation is present between detector response and concentration; hence this technique was linear (fig. 12).
M. Vijaya Kumari and Ch. Balasekhar Reddy [24] information about the linearity of zanubrutinib was carried out in 2-30 µg/ml in bulk and pharmaceutical dosage form but present study, we are using a drug with 5 impurities and advanced software (Empower).






Fig. 12: Linearity graphs of zanubrutinib and their impurities
Table 7: Data from the linearity experiments for zanubrutinib and their impurities
| S. No. | Zanubrutinib | Impurity-1 | Impurity-2 | Impurity-3 | Impurity-4 | Impurity-5 |
| Con | Peak area | Con | Peak area | Con | Peak area | |
| 1 | 5 | 2244697 | 0.1 | 25994 | 0.1 | 26336 |
| 2 | 12.5 | 5971815 | 0.25 | 70008 | 0.25 | 69804 |
| 3 | 25 | 9850960 | 0.5 | 122200 | 0.5 | 132539 |
| 4 | 37.5 | 14621611 | 0.75 | 197825 | 0.75 | 215752 |
| 5 | 50 | 19194238 | 1 | 263228 | 1 | 280819 |
| 6 | 62.5 | 24559172 | 1.25 | 315593 | 1.25 | 339824 |
| 7 | 75 | 28679705 | 1.5 | 379273 | 1.5 | 408256 |
Table 8: Summary of regression parameters
| S. No. | Parameter | Obtained values | ||||
| ZBB | Imp-1 | Imp-2 | Imp-3 | Imp-4 | ||
| 1 | Residual sum of squares | 0.9986 | 0.9983 | 0.9985 | 0.9987 | 0.9998 |
| 2 | Slope | 375221 | 252384 | 273601 | 232211 | 269905 |
| 3 | Y-Intercept | 678660 | 3409.4 | 1366.7 | 3273.1 | 1784.7 |
Accuracy
The accuracy (table 9) of the investigative method expresses the degree of the nearness of the gained outcomes near the accurate values. A study of the recovery (accurateness) was performed on a recognized quantity of placebo through an increase in the quantified impurities of zanubrutinib at the description level. Models were arranged as per the proposed technique at different levels, i.e., LOQ, 50%, 100%, and 150% of goal analytic concentrations in (n=3) triplicate for the drug and its impurities. Separately percent recovery, (n=3) average percent recovery, standard deviation, and percent relative standard deviation were calculated for the above drug and specified impurities. The separate % recovery was present between 100.18-95.85, 101.71-94.88, 100.20-95.85, 103.15-97.36, 101.23-96.96, 99.18-93.80, which is a good and acceptance range (amongst 85%and 115%) for drug and specified impurities. The percent relative standard deviation values of the drug and specified impurities were calculated between 0.117-0.650, 0.136-0.417, 1.41-0.270, 0.652-1.05, 1.919-0.340, and 0.250-0.736. These outcomes tell that the technique can extract the drug and its impurities after the placebo precisely and accurately (table 9.19-9.22). M. Vijaya Kumari and Ch. Balasekhar Reddy (24) reported accuracy (100.6-99.3) and %RSD 0.33-1.19 of zanubrutinib.
Table 9: Results of accuracy for zanubrutinib/Imp-1/Imp-2/Imp-2/Imp-3/Imp-4/Imp-5
Level of recovery (%) |
ZBB | IMP-1 | IMP-2 | IMP-3 | IMP-4 | IMP-5 | ||||||
Amount recovered (µg ml–1) |
% Recovered | Amount recovered (µg ml–1) |
% Recovered | Amount recovered (µg ml–1) |
% Recovered | Amount recovered (µg ml–1) |
% Recovered | Amount recovered (µg ml–1) |
% Recovered | Amount recovered (µg ml–1) |
% Recovered | |
| LOQ | 5.778365 | 96.31 | 0.14308 | 95.38798 | 0.125249 | 100.1993 | 0.056276 | 0.056276 | 0.14335 | 98.8682 | 0.1886 | 94.29981 |
| 5.751075 | 95.85 | 0.142317 | 94.87817 | 0.124577 | 99.66133 | 0.057766 | 0.057766 | 0.144348 | 99.55048 | 0.188283 | 94.14171 | |
| 5.775588 | 96.26 | 0.142947 | 95.29817 | 0.124741 | 99.79291 | 0.056969 | 0.056969 | 0.144085 | 99.36906 | 0.1876 | 93.80004 | |
| 50 | 24.49124 | 97.96 | 0.490826 | 98.16518 | 0.493387 | 98.67749 | 0.247895 | 0.247895 | 0.48904 | 97.80797 | 0.493201 | 98.6402 |
| 24.77454 | 99.1 | 0.491095 | 98.21906 | 0.482894 | 96.57881 | 0.243408 | 0.243408 | 0.49303 | 98.60603 | 0.490685 | 98.1371 | |
| 24.50794 | 98.03 | 0.492958 | 98.59151 | 0.482448 | 96.48963 | 0.247942 | 0.247942 | 0.484809 | 96.96175 | 0.49594 | 99.18793 | |
| 100 | 49.32695 | 99.95 | 1.031938 | 101.1704 | 0.979837 | 96.06242 | 0.497663 | 0.497663 | 0.990138 | 98.0335 | 0.997002 | 97.74534 |
| 49.35815 | 100.02 | 1.030844 | 101.0632 | 0.977688 | 95.85172 | 0.491682 | 0.491682 | 0.988416 | 97.86293 | 0.995146 | 97.5633 | |
| 49.44075 | 100.18 | 1.024017 | 100.3939 | 0.998649 | 97.90674 | 0.490252 | 0.490252 | 1.022498 | 101.2374 | 0.998847 | 97.92617 | |
| 150 | 74.743 | 99.66 | 1.524897 | 101.6598 | 1.479473 | 98.63154 | 0.720797 | 0.720797 | 1.469455 | 97.96368 | 1.487269 | 99.15125 |
| 75.01242 | 100.02 | 1.525697 | 101.7132 | 1.478457 | 98.5638 | 0.720375 | 0.720375 | 1.473772 | 98.25143 | 1.467438 | 97.82919 | |
| 74.76666 | 99.69 | 1.521814 | 101.4543 | 1.477657 | 98.51043 | 0.721761 | 0.721761 | 1.50778 | 100.5187 | 1.485776 | 99.05171 | |
Table 10: Comparison of system suitability parameters in precision experiments
System suitability Parameter |
Method precision | Intermediate precision | ||||||||||
| ZBB | IMP 1 | IMP 2 | IMP 3 | IMP 4 | IMP 5 | ZBB | IMP 1 | IMP 2 | IMP 3 | IMP 4 | IMP 5 | |
| USP resolution | 2.423333 | 8.67 | 9.388333 | 3.613333 | 4.381667 | 2.518333 | 8.5 | 9.406667 | 3.488333 | 4.331667 | ||
| USP tailing factor | 1.138333 | 1.033333 | 1.048333 | 1.046667 | 1.075 | 1.151667 | 1.261667 | 1.075 | 1.11 | 1.235 | 1.268333 | 1.18 |
| USP plate count | 15388.67 | 8266.5 | 11429 | 15565.17 | 15345 | 15694.17 | 15447.83 | 8252.667 | 11504.83 | 15341.67 | 15581.83 | 15515.17 |
| Purity1 angle | 0.066167 | 0.551167 | 10.54933 | 0.750167 | 0.658833 | 1.1595 | 0.084833 | 0.55 | 10.53617 | 0.740167 | 0.668333 | 1.1615 |
| Purity1 threshold | 4.0515 | 5.220167 | 19.8035 | 6.342667 | 5.4485 | 6.0695 | 4.0805 | 5.236167 | 19.93483 | 6.348333 | 5.449167 | 6.055833 |
| Retention time (min) | 13.2675 | 4.7335 | 6.824833 | 9.55 | 10.58567 | 12.249 | 13.29317 | 4.733 | 6.818 | 9.553383 | 10.51467 | 12.23317 |
| Peak area | 19156813 | 261719.5 | 267047.8 | 110719.2 | 309280.5 | 570573 | 19177458 | 261910.2 | 267468.7 | 112213.3 | 307824.5 | 571772.8 |
| SD of area | 26542.51 | 354.0681 | 1424.665 | 849.3995 | 3960.574 | 479.9309 | 52211.54 | 706.8344 | 1647.169 | 793.9794 | 1958.716 | 479.9309 |
| % RSD of area | 0.138554 | 0.135285 | 0.511768 | 0.720527 | 1.341292 | 0.84114 | 0.272255 | 0.269877 | 0.593642 | 0.67165 | 0.657675 | 0.84114 |
| * from six standard injections | ||||||||||||
Values are given in mean±SD; n=6
Table 11: Comparison of method precision and intermediate precision
| S. No. | % Assay | |||||||||||
| Zanubrutinib | Impurity 1 | Impurity 2 | Impurity 3 | Impurity 4 | Impurity 5 | |||||||
| M. P. | I. P. | M. P. | I. P. | M. P. | I. P. | M. P. | I. P. | M. P. | I. P. | M. P. | I. P. | |
| 1 | 99.41 | 99.77 | 99.26 | 99.31 | 99.76 | 97.95 | 99.58 | 99.33 | 98.96 | 98.31 | 98.58 | 98.58 |
| 2 | 99.74 | 99.79 | 99.23 | 99.19 | 99.47 | 98.28 | 98.51 | 100.14 | 97.05 | 99.96 | 98.52 | 98.52 |
| 3 | 100.65 | 99.99 | 99.63 | 99.96 | 98.17 | 99.31 | 98.17 | 99.27 | 99.72 | 99.63 | 98.76 | 98.76 |
| 4 | 99.72 | 99.75 | 99.42 | 99.20 | 99.27 | 99.32 | 97.59 | 98.03 | 97.06 | 100.30 | 98.53 | 98.53 |
| 5 | 99.70 | 99.20 | 99.29 | 99.37 | 99.48 | 99.43 | 99.64 | 98.79 | 100.22 | 100.12 | 98.69 | 98.69 |
| 6 | 100.28 | 100.37 | 99.37 | 99.614 | 99.43 | 99.32 | 98.79 | 98.41 | 100.12 | 99.953 | 98.64 | 98.64 |
| Mean (n=6) | 99.92 | 99.81 | 99.37 | 99.44 | 99.26 | 98.94 | 98.71 | 98.99 | 98.85 | 99.71 | 98.62 | 98.62 |
| Std. Dev | 0.416 | 0.347 | 0.136 | 0.272 | 0.510 | 0.590 | 0.731 | 0.684 | 1.334 | 0.660 | 1.023 | 1.032 |
| %RSD (n=6) | 0.417 | 0.348 | 0.137 | 0.273 | 0.514 | 0.597 | 0.741 | 0.691 | 1.349 | 0.662 | 1.027 | 1.041 |
Values are given in mean±SD; n=6. M. P.: Method Precision I. P.: Intermediate Precision
Method and intermediate precisions
Method precision (M. P.) was estimated by evaluating several (six) samples of a similar batch as per the planned technique. Intermediate (I. P.) precision was estimated by evaluating several (six) samples of a similar batch as per the planned technique on the next day, using different columns and systems. An evaluation of parameters (system suitability) is prepared between the I. P and M. P (table 10) and the % RSD for drug and impurities were less than 1 % which designates that the technique is accurate (table 11). M. Vijaya Kumari and Ch. Balasekhar Reddy [24] reported Method precision (99.7) and %RSD (0.38) of Zanubrutinib.
Solutions stability
Observing the stability methods of [24] sample stability and ordinary solutions is calculated from preliminary stored 24h at room temperature. They have inserted at dissimilar time intervals and modification between preliminary to 24 h % of the assay was not moderately 2%. There is no effect in storage situations for ZBB. The consequences are shown in Table 12.
Table 12: Results of stability of analytical sample solutions (RTand2-8 °C)
| Time intervals | Zanubrutinib (% assay) | % Difference | ||
| RT | 2-8 °C | RT | 2-8 °C | |
| Initial | 104.1552 | 104.1552 | ---- | ------ |
| 6h | 103.6151 | 103.5801 | 0.513566 | 0.547207 |
| 12h | 102.8595 | 102.7252 | 1.239049 | 1.367995 |
| 18h | 102.6992 | 102.4275 | 1.392988 | 1.653825 |
| 24h | 102.0472 | 101.9305 | 2.01903 | 2.131087 |
Table 13: Results of LOD and LOQ of zanubrutinib and its specified impurities
| ZBB | IMP-1 | IMP-2 | IMP-3 | IMP-4 | IMP-5 | |
| LOD | 0.233437 | 0.00463 | 0.017183 | 0.012070997 | 0.04842405 | 0.002782 |
| LOQ | 0.707383 | 0.014029 | 0.052071 | 0.03657878 | 0.14673956 | 0.008431 |
Table 14: Results of the robustness/ruggedness experiment
| Altered parameter | Actual cond. | Altered cond. | RT (Min) |
Tailing factor | Theor plates |
USP resolution | Purity1 threshold | Purity1 angle | peak area (mean±SD) |
% RSD |
| ZBB | ||||||||||
| Control | ------ | ------ | 13.27 | 1.138 | 15389 | 2.42 | 4.05 | 0.066 | 19156813±26542.5 | 0.139 |
Flow (ml min–1) |
1 | 0.7 | 16.89 | 0.587 | 16574 | 2.23 | 4.44 | 0.235 | 23623095±25417 | 0.108 |
| 1.3 | 11.29 | 0.827 | 14551 | 2.28 | 4.46 | 0.267 | 15546872±91725 | 0.590 | ||
| Organic solvent (%) | -5 | 16.84 | 1.17 | 16716 | 2.70 | 4.45 | 0.230 | 23614479±271510 | 1.150 | |
| +5 | 11.39 | 1.46 | 14686 | 2.73 | 4.44 | 0.234 | 16468499±167532 | 1.018 | ||
| Wavelength | 225 | 215 | 13.29 | 1.16 | 15384 | 2.42 | 4.07 | 0.246 | 20278304±36766.5 | 0.181 |
| 235 | 13.29 | 1.14 | 15456 | 2.65 | 4.26 | 0.152 | 19528721±143273 | 0.734 | ||
| Impurity-1 | ||||||||||
| Control | --- | --- | 4.73 | 1.03 | 8266.5 | -- | 5.22 | 0.551 | 261719.5±354.0681 | 0.135 |
Flow (ml min–1) |
1 | 0.7 | 5.93 | 1.08 | 10523 | -- | 5.56 | 0.659 | 217139.3±353.9 | 0.163 |
| 1.3 | 3.93 | 0.98 | 6543 | -- | 5.55 | 0.672 | 321937±517.03 | 0.161 | ||
| Organic solvent (%) | -5 | 5.87 | 1.16 | 10487 | -- | 5.56 | 0.726 | 326387.7±1124.089 | 0.344 | |
| +5 | 3.87 | 1.32 | 6650 | -- | 5.65 | 0.435 | 224117.7±1680.971 | 0.750 | ||
| Wavelength | 225 | 215 | 4.73 | 1.10 | 8247 | -- | 5.26 | 0.5433 | 266009±725.1572 | 0.273 |
| 235 | 4.73 | 1.07 | 8600 | -- | 5.24 | 0.534 | 256693±727.5129 | 0.284 | ||
| Impurity-2 | ||||||||||
| Control | ------ | ------ | 6.82 | 1.05 | 11429 | 8.67 | 19.80 | 10.55 | 278381.2±1424.665 | 0.512 |
Flow (ml min–1) |
1 | 0.7 | 8.52 | 0.976 | 13561 | 9.47 | 19.56 | 10.76 | 345733.3±3884.6 | 1.124 |
| 1.3 | 5.71 | 1.06 | 8133 | 8.81 | 19.18 | 10.76 | 227593±1652.4 | 0.726 | ||
| Organic solvent (%) | -5 | 8.80 | 1.22 | 13142 | 9.60 | 19.34 | 10.73 | 344999.7±1399.461 | 0.406 | |
| +5 | 5.81 | 1.18 | 8250 | 8.60 | 19.63 | 10.45 | 226497.7±1330.494 | 0.587 | ||
| Wavelength | 225 | 215 | 6.82 | 1.11 | 11550 | 8.58 | 19.92 | 10.53 | 265801±1284.874 | 0.483 |
| 235 | 6.82 | 1.14 | 11501 | 8.51 | 19.95 | 10.56 | 265508.3±2594.308 | 0.977 | ||
| Impurity-3 | ||||||||||
| Control | ----- | ------ | 9.55 | 1.05 | 15565 | 9.39 | 6.34 | 0.750 | 117885.8±849.3995 | 0.721 |
Flow (ml min–1) |
1 | 0.7 | 11.98 | 0.937 | 16495 | 9.54 | 6.35 | 0.748 | 146509±140.9149 | 0.096 |
| 1.3 | 7.98 | 0.890 | 13495 | 8.37 | 6.37 | 0.756 | 95508.67±151.84 | 0.159 | ||
| Organic solvent (%) | -5 | 12.02 | 0.923 | 16659 | 9.48 | 6.36 | 0.744 | 143610±3190.431 | 2.222 | |
| +5 | 8.12 | 1.47 | 13547 | 8.49 | 6.73 | 0.440 | 98621±176.0767 | 0.179 | ||
| Wavelength | 225 | 215 | 9.58 | 1.03 | 15533 | 9.69 | 6.36 | 0.744 | 118687.7±208.5793 | 0.176 |
| 235 | 9.58 | 1.21 | 15656 | 9.23 | 6.35 | 0.764 | 108471.7±854.8522 | 0.788 | ||
| Impurity-4 | ||||||||||
| Control | ------ | ------ | 10.59 | 1.06 | 15345 | 3.61 | 5.45 | 0.659 | 295280.5±3960.574 | 1.341 |
Flow (ml min–1) |
1.0 | 0.7 | 13.50 | 0.717 | 16529 | 3.65 | 5.45 | 0.619 | 385339±2424.51 | 0.629 |
| 1.3 | 9.01 | 0.613 | 13752 | 3.77 | 5.46 | 0.638 | 246729±652.9832 | 0.265 | ||
| Organic solvent (%) | -5 | 13.66 | 0.683 | 16602 | 3.12 | 5.43 | 0.669 | 384864±2184.128 | 0.568 | |
| +5 | 9.10 | 0.653 | 13447 | 3.35 | 5.46 | 0.649 | 252017±2267.505 | 0.900 | ||
| Wavelength | 225 | 215 | 10.73 | 1.08 | 15514 | 3.55 | 5.45 | 0.650 | 314673±251.1792 | 0.080 |
| 235 | 10.73 | 1.32 | 15599 | 3.46 | 5.55 | 0.767 | 304414.7±2761.849 | 0.907 | ||
| Impurity-5 | ||||||||||
| Control | 12.25 | 1.15 | 15694 | 4.38 | 6.07 | 1.16 | 570573±479.9309 | 0.084 | ||
Flow (ml min–1) |
1.0 | 0.7 | 15.72 | 0.620 | 16357 | 4.45 | 6.16 | 1.14 | 725206.3±2912.7 | 0.402 |
| 1.3 | 10.40 | 0.823 | 15683 | 4.52 | 6.21 | 1.13 | 466981.3±1530.6 | 0.328 | ||
| Organic solvent (%) | -5 | 15.86 | 0.470 | 16435 | 4.36 | 6.16 | 1.16 | 726737.3±2245.635 | 0.309 | |
| +5 | 10.32 | 0.700 | 15600 | 4.58 | 6.14 | 1.13 | 477802.7±631.0882 | 0.132 | ||
| Wavelength | 225 | 215 | 12.29 | 1.34 | 15628 | 4.23 | 6.12 | 1.16 | 578654.3±118.8164 | 0.021 |
| 235 | 12.29 | 1.42 | 15375 | 4.61 | 6.14 | 1.14 | 565664±1138.344 | 0.201 |
Values are given in mean±SD; n=3
Limits of quantification and detection (LOQ and LOD)
The limit of quantitation (LOQ) and limit of detection (LOD) values were assessed for zanubrutinib, and its specified impurities were tabulated (table 13). These values were calculated from the slope (σ) and standard deviation (SD) method [29-32]. The following formula is used for the calculation of LOD and LOQ [26]. LOD and LOQ values are lower in the present study compared to the other studies [24].
LOD =3δ*S
LOQ=10δ*S
Where, δ = Standard deviation (from peak area)
S = slope of the linearity curve
Robustness
Robustness studies (table 14) were conducted to change the parameters like mobile phase flow rate, organic composition, and wavelength. Changes in flow rate were studied at±3%, organic composition were studied at±5%, and change in flow rate was studied at±10%. Different chromatographic studies like retention time, USP resolution, USP tail factor, plate counts, peak areas, SD, and (n=3) %RSD (table 9.28). This information has a significant effect on the resolution between Zanubrutinib and its impurities. The remaining parameters do not impact the parameters’ system suitability. Robustness studies like flow rate and organic changes were reported in M. Vijaya Kumari and Ch. Balasekhar Reddy [24], but the present study reported mobile phase composition, flow rate, organic, and wavelength changes.
An innovative RP-HPLC isocratic method was established and then authenticated using Zanubrutinib and its specified impurities (Impurity-1, Impurity-2, Impurity-3, Impurity-4, and Impurity-5). System suitability parameters like USP tailing are good, USP plate count above 4000, and USP resolution is greater than 2 or greater than equal to 2. Obtained peaks are homogeneous because the purity angle is less than the purity threshold and there is No Purity Flag. According to ICH guidelines, this method was validated i.e., all validating parameters like accuracy, precision, and robustness within the limits. Hence this method was chosen for common analysis. Finally, the system-suitable parameters and validation parameters values are within acceptable limits.
Nil
All authors have contributed equally.
Declared none
Pal Singh S, Dammeijer F, Hendriks RW. Role of Bruton’s tyrosine kinase in B cells and malignancies. Mol Cancer. 2018;17(1):57. doi: 10.1186/s12943-018-0779-z, PMID 29455639.
Montalban X, Arnold DL, Weber MS, Staikov I, Piasecka Stryczynska K, Willmer J. Placebo-controlled trial of an oral BTK inhibitor in multiple sclerosis. N Engl J Med. 2019;380(25):2406-17. doi: 10.1056/NEJMoa1901981. PMID 31075187.
Matsushita M, Yamadori T, Kato S, Takemoto Y, Inazawa J, Baba Y. Identification and characterization of a novel SH3-domain binding protein, Sab, which preferentially associates with Bruton’s tyrosine kinase (BtK). Biochem Biophys Res Commun. 1998;245(2):337-43. doi: 10.1006/bbrc.1998.8420, PMID 9571151.
FDA grants accelerated approval to zanubrutinib for mantle cell lymphoma. United States Food and Drug Administration (FDA). Archived from the original on. This article incorporates text from this source, which is in the public domain; Nov 15 2019.
Li G, Liu X, Chen X. Simultaneous development of zanubrutinib in the USA and China. Nat Rev Clin Oncol. 2020;17(10):589-90. doi: 10.1038/s41571-020-0414-y, PMID 32651571.
Atallah E, Wijayasiri P, Cianci N, Abdullah K, Mukherjee A, Aithal GP. Zanubrutinib-induced liver injury: a case report and literature review. BMC Gastroenterol. 2021;21(1):244. doi: 10.1186/s12876-021-01825-2, PMID 34051727.
Skarbnik AP, Goy AH. Mantle cell lymphoma: state of the art. Clin Adv Hematol Oncol. 2015;13(1):44-55. PMID 25679973.
Ye H, Desai A, Zeng D, Romaguera J, Wang ML. Frontline treatment for older patients with mantle cell lymphoma. Oncologist. 2018;23(11):1337-48. doi: 10.1634/theoncologist.2017-0470, PMID 29895632.
Ye H, Desai A, Huang S, Jung D, Champlin R, Zeng D. Paramount therapy for young and fit patients with mantle cell lymphoma: strategies for front-line therapy. J Exp Clin Cancer Res. 2018;37(1):150. doi: 10.1186/s13046-018-0800-9, PMID 30005678.
Syed YY. Zanubrutinib: first approval. Drugs. 2020;80(1):91-7. doi: 10.1007/s40265-019-01252-4, PMID 31933167.
Sawalha Y, Bond DA, Alinari L. Evaluating the therapeutic potential of zanubrutinib in the treatment of relapsed/refractory mantle cell lymphoma: evidence to date. Onco Targets Ther. 2020;13:6573-81. doi: 10.2147/OTT.S238832. PMID 32753893.
Product information Zanubrutinib Item No. 28924 Cayman Chemicals; 2019.
Hong M, Lee T, Young Kang SY, Kim SJ, Kim W, Ko YH. Nasal-type NK/T-cell lymphomas are more frequently T rather than NK lineage based on T-cell receptor gene, RNA, and protein studies: lineage does not predict clinical behavior. Mod Pathol. 2016 May 1;29(5):430-43. doi: 10.1038/modpathol.2016.47, PMID 27015135.
Bachanova V, Miller JS. NK cells in therapy of cancer. Crit Rev Oncog. 2014;19(1-2):133-41. doi: 10.1615/CritRevOncog.2014011091, PMID 24941379.
Hanne M, Hawken SJ. Metaphors for illness in contemporary media. Med Humanit. 2007;33(2):93-9. doi: 10.1136/jmh.2006.000253, PMID 23674429.
McWhinney IR. Health and disease: problems of definition. CMAJ. 1987;136(8):815. PMID 3567791.
Johnson RW. The concept of sickness behavior: a brief chronological account of four key discoveries. Vet Immunol Immunopathol. 2002;87(3-4):443-50. doi: 10.1016/S0165-2427(02)00069-7, PMID 12072271.
Tam CS, Opat S, Simpson D, Cull G, Munoz J, Phillips TJ. Zanubrutinib for the treatment of relapsed or refractory mantle cell lymphoma. Blood Adv. 2021;5(12):2577-85. doi: 10.1182/bloodadvances.2020004074, PMID 34152395.
Sawalha Y, Bond DA, Alinari L. Evaluating the therapeutic potential of zanubrutinib in the treatment of relapsed/refractory mantle cell lymphoma: evidence to date. Onco Targets Ther. 2020;13:6573-81. doi: 10.2147/OTT.S238832. PMID 32753893.
Rhodes JM, Mato AR. Zanubrutinib (BGB-3111), a second-generation selective covalent inhibitor of Bruton’s tyrosine kinase and its utility in treating chronic lymphocytic leukemia. Drug Des Devel Ther. 2021;15:919-26. doi: 10.2147/DDDT.S250823, PMID 33688166.
Dreyling M, Tam CS, Wang M, Smith SD, Ladetto M, Huang H. A phase III study of zanubrutinib plus rituximab versus bendamustine plus rituximab in transplant-ineligible, untreated mantle cell lymphoma. Future Oncol. 2021;17(3):255-62. doi: 10.2217/fon-2020-0794, PMID 32985902.
Guo Y, Liu Y, Hu N, Yu D, Zhou C, Shi G. Discovery of zanubrutinib (BGB-3111), a novel, potent, and selective covalent inhibitor of Bruton’s tyrosine kinase. J Med Chem. 2019;62(17):7923-40. doi: 10.1021/acs.jmedchem.9b00687, PMID 31381333.
Song Y, Zhou K, Zou D, Zhou J, Hu J, Yang H. Treatment of patients with relapsed or refractory mantle–cell lymphoma with zanubrutinib, a selective inhibitor of Bruton’s tyrosine Kinase Zanubrutinib for relapsed/refractory MCL. Clin Cancer Res. 2020;26(16):4216-24. doi: 10.1158/1078-0432. CCR-19-3703.
Vijayakumari M, Ch BR. Stability indicating validated hplc method for the determination of zanubrutinib in bulk and pharmaceutical dosage form. Asian J Pharm Clin Res. 2020;13:159-62. doi: 10.22159/ajpcr.2020.v13i10.38621.
Christen D, Griffiths JH, Sheridan J. The microwave spectrum of imidazole; complete structure and the electron distribution from nuclear quadrupole coupling tensors and dipole moment orientation. Z Naturforsch A. 1981;36(12):1378-85. doi: 10.1515/zna-1981-1220.
Stout SJ, DaCunha AR. Tuning and calibration in thermospray liquid chromatography/mass spectrometry using trifluoroacetic acid cluster ions. Anal Chem. 1989;61(18):2126-8. doi: 10.1021/ac00193a027.
Alston Steiner PA, Gordy W. Precision measurement of dipole moments and other spectral constants of normal and deuterated methyl fluoride and methyl cyanide. J Mol Spectrosc. 1966;21(1-4):291-301. doi: 10.1016/0022-2852(66)90152-4.
International conferences of harmonization validation of analytical procedures test and methodology. Vol. Q2(R1); 2005. Available from: http://www.ich.org.
Sethi PD. HPLC quantitative analysis of pharmaceutical formulations. India: CBS Publications; 2001.
Shalini K, Ilango K. Development, evaluation and RP-HPLC method for simultaneous estimation of quercetin, ellagic acid and kaempferol in a polyherbal formulation. Int J App Pharm. 2021;13:183-92. doi: 10.22159/ijap.2021v13i3.41028.
Kishore VNV, Ramana GV. Simultaneous determination of tigecycline and its potential impurities by a stability-indicating Rp-HPLC-UV detection technique. Int J App Pharm. 2022;14(1):75-82. doi: 10.22159/ijap.2022v14i1.41243.
Gorumutchu GP, Ratnakaram VN. Determination of mianserin using tropaeolin-ooo by ion pair formation. Int J App Pharm. 2019;11(1):168-73. doi: 10.22159/ijap.2019v11i1.30125.