
Faculty of Pharmacy Universitas Indonesia, Depok-16424, West Java, Indonesia
*Corresponding author: Iskandarsyah; *Email: iskandarsyah_ui@farmasi.ui.ac.id
Received: 19 May 2023, Revised and Accepted: 26 Jul 2023
ABSTRACT
Objective: Capsaicin is a highly lipophilic substance that generally uses an organic cosolvent added to diffusion medium in penetration tests to increase penetration by fluidizing fat. This study aims to determine the effect of subcutaneous fat on the penetration of capsaicin as lipophilic substances formulated into transfersome and compare it to hydrophilic substances, namely vitamin C.
Methods: The thin layer method was used to develop the transfersome formulation using Phospholipon 90G and Tween 80. Vesicle size, zeta potential, deformability index, morphology, and entrapment efficiency were all characterized. The transfersome suspension was then developed into a gel formulation using 1% carbomer. The in vitro penetration test was performed using a Franz diffusion cell of rat skin with and without subcutaneous fat.
Results: The cumulative amount of penetration on fat-free membranes compared to membranes with fat for capsaicin transfersome gel 920.28±3.42 μg/cm2 and 762.22±1.73 μg/cm2, respectively, then for non-transfersome capsaicin gel was 833.33±0.84 μg/cm2 and 595.80±0.32 μg/cm2 respectively, and for vitamin C non-transfer some gel 776.45±1.19 μg/cm2 and 654.69±3.36 μg/cm2 respectively.
Conclusion: According to these results, it can be concluded that the presence of subcutaneous fat affects inhibiting the penetration of lipophilic substances.
Keywords: Franz diffusion cell, Capsaicin, In vitro penetration test, Skin fat membrane
© 2023 The Authors. Published by Innovare Academic Sciences Pvt Ltd. This is an open access article under the CC BY license (https://creativecommons.org/licenses/by/4.0/)
DOI: https://dx.doi.org/10.22159/ijap.2023v15i5.48458. Journal homepage: https://innovareacademics.in/journals/index.php/ijap
The lipophilicity and hydrophilicity of a substance have a significant impact on penetration, especially in percutaneous absorption [1]. The skin is an organ used in the dermal or transdermal route and has several core layers, namely the epidermis, dermis, and hypodermis [2]. The outermost layer of the epidermis is the stratum corneum. In the stratum corneum, there is a combination of lipids in a multilayer that has lipophilic and hydrophilic fields parallel to the cell surface [3, 4]. Under the dermis layer is the hypodermis or subcutaneous fat layer, which is 85% of the total body fat and the essential component of the skin [5]. For a drug to penetrate through the skin, the drug should have a balance of hydrophobicity and hydrophilicity [6]. In skin penetration tests to see drug release in semisolid products, the Franz diffusion cell is generally used as an in vitro test. It has the advantage of resembling penetration in human skin (containing hydrophobic and hydrophilic parts with biological membranes) with synthetic or biological membranes [7]. In its development, various kinds of diffusion mediums are used in testing the Franz diffusion cell, such as water or buffer solutions with the addition of organic cosolvents [8]. This organic cosolvent is used to increase the solubility of hydrophobic drugs in the media, fluidize skin fat, and the possibility to extract compounds trapped under fat from the basolateral [9].
Capsaicin is a highly lipophilic drug with limited ability to penetrate the deeper layer of the skin because it is chemically bound to protein or trapped in fat [10, 11]. Having a nonpolar phenolic structure and highly lipophilic, capsaicin poses a unique difficulty for transdermal drug delivery. There have been studies using the addition of organic cosolvents in a diffusion medium for capsaicin. The use of the cosolvent serves to increase the solubility of capsaicin and its partition in the stratum corneum, thereby increasing the penetration of capsaicin by fluidizing fat [12, 13]. Research on the effect of subcutaneous fat on the penetration of lipophilic substances is important due to the possibility of fluidization of fat by the diffusion medium used. This study aimed to investigate the penetration of hydrophobic substances through skin membranes with and without subcutaneous fat to determine the effect of fat on penetration.
Instruments
The instruments used in this study: analytical balance (Sartorius, Germany), rotary vacuum evaporator (Buchi R-100, Switzerland), particle size analyzer (Malvern, UK; Beckman Coulter, USA), vortex mixer (VM–300 Germany Industrial Corporation, USA), sonicator (QSonica, USA), pH meter (Eutech Instruments pH 510, Singapore), Brookfield viscometer (Brookfield, USA), transmission electron microscope (TEM Tecnai G2 20 S-Twin, America), UV-Vis spectrophotometry (Shimadzu UV-1800, Japan), cuvette (Hellma), USP standard Franz diffusion cell (Mitra, Indonesia), Mini extruder set (Avanti Polar Lipids), polycarbonate membrane (Whatman), hot plate (IKA, Germany), centrifuge (Spectrafuge 16M), centrifuge tube (Kubota, Japan), thermometer, magnetic stirrer (Boeco MSH-300, Germany), oven (Menmert, Germany), micro-dropper (Socorex), degassing (Elmasonic S40H), desiccator, refrigerator (LG, Korea), IKA-Ultra-Turax T25 homogenizer (Staufen, Germany), and tools glassware.
Materials
The materials used in this study were Capsaicin (Formosa, Taiwan), Vitamin-C (DSM, UK), Phospholipone 90G (Lipoid, Germany), Carbomer (SIL, Indonesia), Tween 80 (KAO, Indonesia), Triethanolamine (Petronas, Indonesia), Propylene glycol (Caelo), Sodium Hydroxide (Merck, Indonesia), Potassium dihydrogen phosphate (Merck), aquadest, Ethanol (Merck), Dichloromethane (Merck), Methanol (Merck).
Animals
Abdomen skin of female rat, Sprague Dawley strain, weighing 180-200 grams at 2-3 mo old. The Ethical Committee of Cipto Mangunkusumo Hospital, Faculty of Medicine, Universitas Indonesia, approved the study under registration number KET-755/UN2. F1/ETIK/PPM.00.02/2022.
Transfersome preparation
The transfersome was made using the thin layer method (table 1). The phospholipid and the surfactant (ratio 85:15) were dissolved in dichloromethane [7]. The mixture then evaporated at a speed of 50-150 rpm and a temperature of 40 °C. After forming the thin layer, it was streamed with N2 gas and stored at a low temperature for 24 h. The thin layer was then hydrated at 40 °C for 60 min, and sonication was carried out for 1 min to reduce the particle size.
Table 1: Formulation of transfersome
| Materials | Formulation (85:15) |
| Capsaicin | 50 mg |
| Fosfolipon 90G | 850 mg |
| Tween 80 | 150 mg |
| Phosphate buffer (pH 7,4) | Ad 20 ml |
Transfersome characterizations
Particle size, PDI (polydispersity index), and zeta potential
The particle size, particle distribution, and zeta potential were determined using a particle size analyzer according to the DLS method by Malvern Zetasizer. Before measurements, one drop of the transfersome suspension was dissolved in 20 ml of distilled water.
Morphological characterization
The morphology characterization used Transmission Electron Microscope (TEM Tecnai G2 20 S-Twin (America)) to determine. A drop of diluted dispersion (1:50) was applied to a film-coated copper grid and observed after drying.
Deformability index
The extrusion method is a way to measure the elasticity and flexibility of vesicles which describe the deformability index. Using a 0.1 μm polycarbonate membrane by passing the transfersome suspension through a mini extruder set over a hot plate at 40 °C. The deformability index can be expressed as the following equation Formula 1:
……. (1)
Entrapment efficiency
Entrapment efficiency was determined with the “indirect method,” which used free concentration and total concentration via centrifugation with a filtered centrifugation tube at 7500 rpm for 90 min, broken down by methanol. The amounts of drugs in the vesicle were measured using Spectro UV-Vis at 281 nm. Trapping efficiency was measured using Formula 2:
……. (2)
EE= Entrapment efficiency (%)
Ctotal = Total concentration of active compounds in the transfersome (μg/ml)
C free = Free concentration of active compounds (μg/ml)
Gel preparation
The three gel formulations were prepared, capsaicin transfersome, capsaicin non-transfer some, and vitamin C, by dispersion of carbomer in distilled water, then left for a day until the carbomer swelled. Propylene glycol and triethanolamine were added, homogenized, and stirred at 1000 rpm until a thick gel base formed. Finally, the capsaicin/vitamin C was added to the gel and homogenized at 250 rpm for 10 min.
Table 2: Gels formulation
| Formula | F1 (%) | F2 (%) | F3 (%) |
| Capsaicin | 0,15 | 0 | 0 |
| Transfersome Capsaicin | 0 | 0,15 | 0 |
| Vitamin C | 0 | 0 | 0,15 |
| Carbomer | 1 | 1 | 1 |
| Ethanol 96% | 0.5 | 0 | 0 |
| Propylene glycol | 15 | 15 | 15 |
| Triethanolamine (TEA) | Ad pH±5 | Ad pH±5 | Ad pH±5 |
| Aquadest | Ad 100 | Ad 100 | Ad 100 |
Gel evaluation
The gel was evaluated by observation organoleptic, pH measurement, homogeneity, viscosity, and physical stability at low temperatures (4±2 °C), room temperature (28±2 °C), and high temperatures (40±2 °C); tests were conducted for eight weeks, with a 2-week interval between each observation and cycling test.
In vitro penetration test
In vitro penetration test was carried out using Franz diffusion cells with membranes from the skin of Sprague-Dawley female rats aged 2-3 mo and weighed 180–200 grams. Rats were sacrificed by ether anesthetized. To remove the skin off the abdomen, carefully shave the hair, then cut the skin (thickness: 0.7±0.05 mm). The skin was immersed in phosphate buffer pH 7.4 for 30 min at 5 °C. The subcutaneous fat under the dermis was removed for the membrane without subcutaneous fat. The penetration test was carried out for 8 h with a diffusion area of 1.77 cm2 and a medium volume in the compartment of 15 ml. The receptor compartment was filled with phosphate buffer pH 7.4 and ethanol (1:1). The temperature was maintained at 37±0.5 °C and stirred at 300 rpm. Abdominal skin that has been defatted is placed between the donor and the receptor compartment, with the epidermis facing the donor compartment. 1 g of sample gel is applied to the skin surface (donor compartment). Sampling was carried out on capsaicin transfersome gel, capsaicin non-transfer some gel, and vitamin C gel within 8 h, and sampling was carried out at predetermined time intervals 10; 30; 45; 60; 90; 120; 180; 240; 300; 360; 420; and 480 min. A volume sampling of 2 ml and a replacement of the sampling volume was carried out with the same volume of receptor media. The concentrations of the samples were measured using a spectrophotometer UV-Vis at the 281 nm wavelength.
Statistical analysis
T-test was used to analyze the findings of the experiment using IBM SPSS 24. This study performed all experiments three times (n=3), and the data were provided as mean±standard deviation (SD).
Particle size, PDI, and zeta potential
Characterization of particle size and zeta potential indicates the quality of the transfersome. The smaller the particle size and the higher the zeta potential value will increase the stability of the transfersome suspension [14]. Particle size is expressed in z-average, a measurement based on the intensity of the average value of the diameter distribution. Transfersome obtained a particle size of 113.03±1.88 nm. Vesicles smaller than 300 nm have been reported to be able to penetrate deeper layers of the skin, while those larger than 600 nm are unable to do so [15]. The size of the resulting vesicle indicates the possibility of vesicles being able to penetrate deeper layers of the skin, thereby increasing the amount of drugs penetrated.
Another data obtained from the Zeta-sizer is the polydispersity index (PDI). PDI is a value that shows the level of homogeneity of a vesicle size. A smaller value, which is close to 0, indicates the narrow distribution of particle size (homogenous), and a value close to 1 indicates heterogeneous size distribution. PDI value of the resulting capsaicin transfersome is 0.213±0.03. From the results, a PDI value of transfersome indicates a homogenous dispersion system [16]. The zeta potential is a crucial aspect of nanovesicles as well. The zeta potential is an essential parameter in predicting the physical stability of vesicles. Particles with a zeta potential of more than (+/-) 30mV are proven stable from aggregation [17, 18]. The zeta potential value was-38, 36±1, 7 mV, indicating the formulations’ favorable stability.
Morphology characterization
Morphological characterization shows a structural picture of the nanoparticles obtained from the transmission of electrons to very thin specimens [19]. A magnification of 29000 and 43000 showed that vesicles have spherical shapes with various particle sizes. However, a vesicle shape that is not perfectly round is called an irregular shape with a unilamellar structure that has one layer inside.

Fig. 1: Transfersome morphology at 29000x (A) and 43000x (B) magnification
Deformability index
The ability to deform due to surfactants, which tend to disrupt the bilayer of lipids and increase the fluidity and elasticity of the vesicle membrane, is one of the advantages of the transfersome vesicle. Vesicles with great deformability can squeeze through the intercellular pores and pass through lipid membranes without losing their integrity [20]. The deformability index is calculated by multiplying the volume of transfersomes that pass through the membrane by the square of the ratio of the size of the particles that pass through the membrane to the size of the membrane; then, the result is 3.83±0.12. The greater deformability index value makes more flexible vesicles [16].
Entrapment efficiency
The entrapment efficiency results obtained in this formulation were 75.91%. Transfersome composition and its concentration can affect the entrapment efficiency, as the use of lecithin from soybeans has a smaller entrapment efficiency and the HLB value of surfactants. Lipid formulation and surfactant with a ratio (of 85:15), which are used by high lipids, will increase entrapment efficiency [16]. Previous studies had shown similar outcomes when hydrophilic surfactants with high HLB values like Tween 80 were used, showing a high entrapment efficiency of the lipophilic drugs. In contrast, lipophilic surfactants show lower entrapment efficiency because lipophilic surfactants would compete with lipophilic molecules in the lipid bilayers. This may lead to larger vesicle size and cause less space for lipophilic molecule entrapment, explaining the low entrapment [21].
Gel evaluation
An organoleptic observation showed that non-transfersome gels are more transparent white than transfersome gels, and vitamin C gel has a slightly yellowish-clear color. For each preparation, the non-transfersome capsaicin gel with transfersome capsaicin gel had a pH of 5.65 and 5.95, and for vitamin C gel, 5.36. The pH decreased after eight weeks, although it remained at a balanced level for the skin (4.5-6.5). Viscosity measurements showed that all gel preparations had thixotropic flow rheology characteristics. In addition, homogeneity tests showed that both gel compounds were homogeneous. Finally, a stability test was performed in six cycles; results showed no syneresis in either gel.
In vitro penetration test
In vitro penetration tests were performed using a Franz diffusion cell to determine drug penetration through the skin layers. Penetration test results in fig. 1 showed that the cumulative amount of drug penetrated the skin membrane of rats with subcutaneous fat within 8 h for transfersome capsaicin gel, non-transfersome capsaicin gel, and vitamin C gel was 762.22±1.73 μg/cm, 595.80±0.32 μg/cm, and 654.69±3.36 μg/cm, respectively. Compared to the non-fatty subcutaneous membrane, the cumulative amount of penetrated for transfersome capsaicin gel was 920, 28±3, 42 μg/cm, non-transfer some capsaicin was 833, 33±0,84 μg/cm, and vitamin C gel was 776,45±1,19 μg/cm2. These findings show that the cumulative amount of drug penetrated for both hydrophilic and lipophilic drugs significantly (p<0.05) decreased in the presence of subcutaneous fat. This is due to the fact that lipophilic substances have a high affinity for the subcutaneous fat layer and cause it to be deposited in the subcutaneous tissue. In contrast, hydrophilic substances with a different polarity from the subcutaneous fat layer would also find it challenging to penetrate this fat layer [22].
These results also indicate that the transfersome succeeded in increasing the cumulative amount of capsaicin penetrated compared to non-transfersome capsaicin gel, and these findings show that the cumulative amount penetrated for lipophilic drugs was higher than for hydrophilic drugs. A drug has to partition into the membrane to pass through the stratum corneum, making partitioning a crucial step in the penetration of the membrane. For the transdermal route to be successful, either lipophilic or hydrophilic drugs must penetrate the hydrophilic and lipophilic layers, respectively. The partitioning of a drug between the lipophilic and hydrophilic epidermis is well represented by the n-octanol-water partition coefficient (log P). The chemical with a lower log P value is considered hydrophilic. As a result, compounds with log P lower than-1, like vitamin C (log P-1,85), would find it challenging to enter the stratum corneum, and the molecules with a log value between 1-3 had both lipophilic and hydrophilic properties), adequate to obtain proper transdermal penetration like capsaicin (Log P 3,04) [23].


Fig. 1: The cumulative amount of capsaicin and vitamin C penetrated from the gel preparation on the (A) skin with subcutaneous fat and (B) without subcutaneous fat. Each value shown is the mean (n = 3)

Fig. 2: Capsaicin and Vitamin C flux of gel preparations on membranes with subcutaneous fat (L) compared to membranes without subcutaneous fat (TL). Each measurement was performed in triplicate (n=3). Where* = Significant difference (p<0.05)

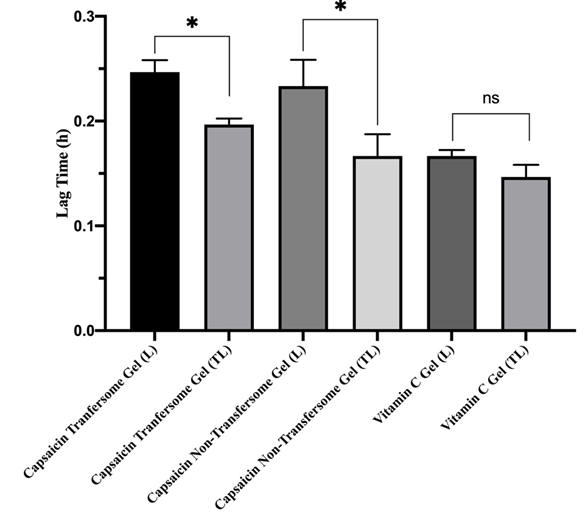
Fig. 3: Lag time of capsaicin and vitamin C from gel preparations on membranes with subcutaneous fat (L) compared to membranes without subcutaneous fat (TL). Each measurement was performed in triplicate (n=3). Where* = Significant difference (p<0.05) and ns = No significant difference (p>0.05)
Fick’s first law states that flux can be calculated from the slope of the regression equation on the graph of the cumulative amount of drug that penetrates in a steady state condition [24]. There was a significant increase (p<0.05) in the flux of the drug on the non-fatty membrane (TL) compared to the value of the flux on the membrane with subcutaneous fat (L), namely in the capsaicin transfersome gel of 116.84±0.47 µg/cm²/h, and capsaicin gel non-transfersome was 104.96±0.28 µg/cm²/h and the vitamin C gel was 93.36±0.28 µg/cm²/h as shown in fig. 2. The graph of the relationship between the cumulative amount penetrated and the time at a steady state can determine the lag time. This time value crosses the x-axis when y = 0. The data shows that the non-fat membrane (TL) produced a significantly lower (p<0.05) lag time compared to the membrane with fat (L) for capsaicin transfersome gel 0.19±0.01 h and 0.25±0.01 h and for non-transfersome capsaicin gel 0.17±0.02 h and 0.24±0.02 h, while the lag time is non-significantly lower (p>0.05) on vitamin C gel 0.14±0.01 h and 0.16±0.01 h.
The significant difference (p<0.05) in flux and lag time between membranes with subcutaneous fat (L) and without subcutaneous fat (TL) is due to the nature of the capsaicin substance, which is bound and soluble in fat (lipophilic), while the vitamin C is hydrophilic so penetration is limited by the presence of fat in the membrane. Another reason for these findings is the thickness of the membrane. The thickness of the membrane will vary depending on whether subcutaneous layers are present or not. The membrane's thickness impacts the drugs' flux and lag time. Since the membrane layer containing subcutaneous fat is thicker, the flux would be lower, and the lag time would be longer [25]. These results are parallel with Wilkinson’s studies on the penetration of testosterone and caffeine using different thickness membranes [26].
According to the results of this study, it can be confirmed that the presence of subcutaneous fat on the membrane inhibits drug penetration as it decreases the cumulative amount of drugs that penetrated, the flux of penetration, and the lag time were all lower on the membrane without subcutaneous fat.
The authors sincerely acknowledge the PUTI research grant 2022 support from the Directorate of Research and Development, University of Indonesia, under contract number NKB-071/UN2. RST/HKP.05.00/2022.
All authors were responsible for every part of this work and contributed to data analysis, drafting, and manuscript revision.
The authors declare that they have no conflict of interest.
Supe S, Takudage P. Methods for evaluating penetration of drug into the skin: a review. Skin Res Technol. 2021;27(3):299-308. doi: 10.1111/srt.12968, PMID 33095948.
Roohnikan M, Laszlo E, Babity S, Brambilla D. A snapshot of transdermal and topical drug delivery research in Canada. Pharmaceutics. 2019;11(6). doi: 10.3390/pharmaceutics11060256, PMID 31159422.
Das C, Olmsted PD. The physics of stratum corneum lipid membranes. Philos Trans A Math Phys Eng Sci. 2016;374:2072. doi: 10.1098/rsta.2015.0126, PMID 27298438.
Razavi H, Janfaza S. Ethosome: a nanocarrier for transdermal drug delivery. J Paramed Sci. 2015;6(2):38-43.
Kim EJ, Kim YK, Kim JE, Kim S, Kim MK, Park CH. UV modulation of subcutaneous fat metabolism. J Invest Dermatol. 2011;131(8):1720-6. doi: 10.1038/jid.2011.106, PMID 21562570.
Richard C, Cassel S, Blanzat M. Vesicular systems for dermal and transdermal drug delivery. RSC Adv. 2020;11(1):442-51. doi: 10.1039/d0ra09561c, PMID 35423006.
Salamanca CH, Barrera Ocampo A, Lasso JC, Camacho N, Yarce CJ. Franz diffusion cell approach for pre-formulation characterisation of ketoprofen semi-solid dosage forms. Pharmaceutics. 2018;10(3):1-10. doi: 10.3390/pharmaceutics10030148, PMID 30189634.
Katakam LNR, Katari NK. Development of in vitro release testing method for permethrin cream formulation using franz vertical diffusion cell apparatus by HPLC. Talanta Open. Vol. 4. Elsevier; 2021. p. 100056. doi: 10.1016/j.talo.2021.100056.
Annisa V. Review Artikel: metode untuk meningkatkan absorpsi obat transdermal. J Islamic Pharm. 2020;5(1):18. doi: 10.18860/jip.v5i1.9157.
Anand P, Bley K. Topical capsaicin for pain management: therapeutic potential and mechanisms of action of the new high-concentration capsaicin 8 % patch. Br J Anaesth. 2011;107(4):490-502. doi: 10.1093/bja/aer260, PMID 21852280.
Yang N, Galves C, Racioni Goncalves AC, Chen J, Fisk I. Impact of capsaicin on aroma release: in vitro and in vivo analysis. Food Res Int. 2020 Jul 1;133. doi: 10.1016/j.foodres.2020.109197, PMID 32466935.
Benson HAE. Transfersomes for transdermal drug delivery. Expert Opin Drug Deliv. 2006;3(6):727-37. doi: 10.1517/17425247.3.6.727, PMID 17076595.
Ascenso A, Raposo S, Batista C, Cardoso P, Mendes T, Praça FG. Development, characterization, and skin delivery studies of related ultradeformable vesicles: transfersomes, ethosomes, and transethosomes. Int J Nanomedicine. 2015;10:5837-51. doi: 10.2147/IJN.S86186, PMID 26425085.
Juliantoni Y, Hajrin W, Subaidah WA. Nanoparticle formula optimization of Juwet seeds extracts (Syzygium cumini) using simplex lattice design method. J Biologi Tropis. 2020;20(3):416-22. doi: 10.29303/jbt.v20i3.2124.
Opatha SAT, Titapiwatanakun V, Chutoprapat R. Transfersomes: a promising nanoencapsulation technique for transdermal drug delivery. Pharmaceutics. 2020;12(9):1-23. doi: 10.3390/pharmaceutics12090855, PMID 32916782.
Yusuf M, Sharma V, Pathak K. Nanovesicles for transdermal delivery of felodipine: development, characterization, and pharmacokinetics. Int J Pharm Investig. 2014;4(3):119-30. doi: 10.4103/2230-973X.138342, PMID 25126525.
Anggraini W, Sagita E, Iskandarsyah I. Effect of hydrophilicity surfactants toward characterization and in vitro transfersomes penetration in gels using franz diffusion test. Int J App Pharm. 2017;9:3200. doi: 10.22159/ijap.2017.v9s1.67_74.
Srifiana Y, Amalia A, Yusnia Y. Stabilitas fisik transethosome kurkumin yang menggunakan kombinasi surfaktan tween 60 dan span 60 [Physical stability of curcumin transethosome using combinations tween 60 and span 60 as surfactant]. J Ilmu Kefarmasian Indones. 2020;18(2):184-91. doi: 10.35814/jifi.v18i2.796.
Malatesta M. Transmission electron microscopy as a powerful tool to investigate the interaction of nanoparticles with subcellular structures. Int J Mol Sci. 2021 Nov 26;22(23):12789. doi: 10.3390/ijms222312789, PMID 34884592.
Gonzalez Rodriguez ML, Arroyo CM, Cozar Bernal MJ, Gonzalez R PL, Leon JM, Calle M, Canca D, Rabasco AM. Deformability properties of timolol-loaded transfersomes based on the extrusion mechanism. Statistical optimization of the process. Drug Dev Ind Pharm. 2016 Oct 2;42(10):1683–94. doi: 10.3109/03639045.2016.1165691. PMID: 26981839.
Khan I, Needham R, Yousaf S, Houacine C, Islam Y, Bnyan R. Impact of phospholipids, surfactants and cholesterol selection on the performance of transfersomes vesicles using medical nebulizers for pulmonary drug delivery. J Drug Deliv Sci Technol. 2021 Dec 1:66. doi: 10.1016/j.jddst.2021.102822.
Levisky JA, Bowerman DL, Jenkins WW, Karch SB. Drug deposition in adipose tissue and skin: evidence for an alternative source of positive sweat patch tests. Forensic Sci Int. 2000;110(1):35-46. doi: 10.1016/s0379-0738(00)00146-8, PMID 10802199.
N’Da DD. Prodrug strategies for enhancing the percutaneous absorption of drugs. Molecules. 2014;19(12):20780-807. doi: 10.3390/molecules191220780, PMID 25514222.
Azizah N, Sagita E, Iskandarsyah I. In vitro penetration tests of transethosome gel preparations containing capsaicin. Int J App Pharm. 2017 Oct 1;9:116-9. doi: 10.22159/ijap.2017.v9s1.68_75.
Bizley SC, Dudhia J, Smith RKW, Williams AC. Transdermal drug delivery in horses: an in vitro comparison of skin structure and permeation of two model drugs at various anatomical sites. Vet Dermatol. 2023 Jun 1. doi: 10.1111/vde.13162, PMID 37185892.
Wilkinson SC, Maas WJM, Nielsen JB, Greaves LC, van de Sandt JJM, Williams FM. Interactions of skin thickness and physicochemical properties of test compounds in percutaneous penetration studies. Int Arch Occup Environ Health. 2006 May;79(5):405-13. doi: 10.1007/s00420-005-0056-5, PMID 16435152.