
A. U. College of Pharmaceutical Sciences, Andhra University, Visakhapatnam, Andhra Pradesh
*Corresponding author: Suman Kumar Valeveti; *Email: valevetisumankumar@gmail.com
Received: 31 May 2023, Revised and Accepted: 28 Jun 2023
ABSTRACT
Objective: This study aimed to develop an effective transdermal drug delivery system of memantine hydrochloride (MH), an anti-Alzheimer's drug, to improve patient compliance and optimize drug therapy in patients with dementia who often have difficulties adhering to oral medication schedules.
Methods: Various transdermal patches of MH were prepared using the box-Behnken design of experiments with different polymer combinations. The fabricated patches were evaluated for properties like thickness, folding endurance, drug content uniformity, in vitro drug release, and diffusion studies. An optimal formulation was selected based on the results and further studied for pharmacokinetic parameters in rabbits. The results were compared to conventional tablets containing the same polymer combination.
Results: Formulation B2 containing Hydroxy Propyl Methyl Cellulose (HPMC) 137.5 mg, Ethyl Cellulose (EC) 400 mg, and xanthan gum 300 mg had a flux of 212.24 μg/cm2/h, the permeability of 2.32 cm/h, and 27.95% release at 8h, with first-order and non-Fickian drug release kinetics. It was non-irritating, and in vitro release studies showed sustained release for up to 48 h. In vivo studies in rabbits also indicated superior drug absorption and sustained release from the patches compared to tablets.
Conclusion: The optimized transdermal patch formulation had the potential to provide a prolonged release of MH for over 2 d and reduce the frequency of dosing. However, further studies are warranted to confirm the efficacy, safety, and pharmacokinetics of the patches in human models before clinical use.
Keywords: Alzheimer’s disease, Transdermal patches, Memantine hydrochloride, Box-Behnken designs, Ex-vivo studies, In vivo studies
© 2023 The Authors. Published by Innovare Academic Sciences Pvt Ltd. This is an open-access article under the CC BY license (https://creativecommons.org/licenses/by/4.0/)
DOI: https://dx.doi.org/10.22159/ijap.2023v15i5.48481. Journal homepage: https://innovareacademics.in/journals/index.php/ijap.
Researchers aim to create drug delivery systems that closely match an ideal system that would require only a single dose to deliver medication for an entire treatment period and would directly transport the active drug to the intended site of action. However, such flawless systems are currently unattainable. As a result, scientists attempt to design delivery systems that can achieve these goals as closely as possible, even if they do not completely fulfill the ideal standards. The goal is to move closer to the ideal system, recognizing that true perfection may be unachievable [1]. Alzheimer's disease is a neurological condition characterized by a decline in acetylcholine, a neurotransmitter essential for brain function. It most commonly affects individuals over 60 y of age and is the most prevalent type of dementia. Alzheimer's progressively impairs cognition and physical abilities, eventually resulting in death. The degeneration of acetylcholine in the brain leads to the characteristic symptoms of Alzheimer's Disease, which worsens over time but disproportionately impacts older members of the population. Though incurable currently, treatments aim to slow the progression of this debilitating and terminal illness [2]. Standard oral drug delivery can be challenging for dementia patients as it relies on patient compliance to take the correct dose at the right time. This can lead to issues like missed doses, taking too little medication, or taking too much. Transdermal delivery systems, like medicated skin patches, offer an alternative that can be beneficial for these patients. With transdermal delivery, caretakers can visually confirm that the patch is in place and the proper dose is being delivered. This helps avoid confusion or errors that could occur with oral medication. For dementia patients, the reduced reliance on patient compliance and the ability to easily verify delivery makes transdermal systems an attractive option for drug delivery [3].
Transdermal drug delivery has several advantages over other delivery methods. Its non-invasive application and removal process increases patient compliance. The patch provides a predetermined, consistent rate of drug absorption, increasing bioavailability and decreasing the metabolism of the drug in the liver. These characteristics make transdermal delivery well-suited for sustained, long-term delivery of a drug over 24 h or more. Due to the ease of use for patients and caretakers and the stable dosage and pharmacokinetics, transdermal systems are an attractive delivery method for many drugs, especially those requiring prolonged or frequent doses. The advantages can improve patient experience and outcomes relative to other delivery approaches [1, 4].
Memantine hydrochloride (MH) belongs to Biopharmaceutics Classification System (BCS) class I drug and is approved to treat Alzheimer's disease. It works as a reversible acetylcholinesterase inhibitor in the central nervous system, with a long half-life of 70 h. MH's low dose requirement, extended half-life, balance of hydrophilic and lipophilic properties, and minimal toxicity make it a good candidate for transdermal drug delivery. The sustained and consistent delivery of MH through a transdermal patch could maintain effective levels of the drug in the body for a prolonged period, which would be beneficial for Alzheimer's patients, given the degenerative nature of the disease and the challenges of oral administration and patient compliance. So MH appears well-suited for administration via a long-acting transdermal delivery system [5, 6]. Due to the advantages of transdermal delivery, the market for medicated patches has grown significantly in recent years. The primary objective of this work is to develop a transdermal patch formulation for MH that meets pharmaceutical standards, remains stable and effective, is affordable to produce, and maintains a high level of quality. By creating a transdermal patch for delivering MH, the challenges of oral administration for Alzheimer's patients could be avoided and the benefits of sustained transdermal delivery could be realized. This could have a significant positive impact on the management of Alzheimer's disease.
Materials
The active ingredient, memantine hydrochloride (MH), was obtained as a gift from Alembic Pharmaceuticals Ltd. All of the polymers and excipients like Ethyl cellulose (EC), Hydroxypropyl methylcellulose (HPMC) 50 cps, xanthan gum, Polyethylene glycol (PEG), Propylene glycol (PG), Dibutyl phthalate (DBP), Dimethyl Sulfoxide (DMSO), and Methanol were laboratory-grade chemicals procured from SD Fine Chemicals Ltd. in Chennai, India.
Methods
Preparation of memantine hydrochloride patches by solvent casting method
For this study, transdermal patches containing memantine hydrochloride (MH) were produced using the solvent-casting method [7]. The patches were cast onto flat, specially fabricated rectangular glass slides. The solvent casting method involves dissolving the polymers and other components in a solvent, pouring the resulting solution onto a casting surface, and then allowing the solvent to evaporate, leaving behind the patch material containing the active drug. The glass slides provided a smooth, stable surface for casting the patches and facilitating the solvent evaporation process [8].
Trial runs
Trial formulations of the MH transdermal patch were developed using a one factor at a time (OFAT) approach where HPMC was used between concentrations of 100 to 150 mg, EC was used between 300 to 400 mg while xanthan gum was used in the range of 200 to 300 mg. These concentrations are chosen based on the literature review. The goal of these initial trials was to determine the ideal concentrations of individual polymers (HPMC, EC, and xanthan gum) needed to produce patches with acceptable quality and properties. The results from the OFAT trials were then used to further fine-tune the formulations using Box-Behnken design, a quality by design (QbD) approach used for optimization. By first identifying the concentration ranges of each polymer that could produce adequate patches, these ranges could be refined and the interactions between polymers could be explored using the Box-Behnken design to generate an optimized formulation [9, 10]. To prepare the polymeric solution, HPMC 50 cps or ethyl cellulose was dissolved in 50 ml methanol. For xanthan gum, a 50:50 water and methanol mixture (50 ml containing 25 ml water and 25 ml methanol) was used to avoid precipitation and improve solubility. The quantities of each excipient used are shown in table 2. Polyethylene glycol and propylene glycol were added as co-solvents and the mixture was homogenized to achieve uniformity. Dibutyl phthalate was included as a plasticizer. 20 mg of memantine hydrochloride was added to the polymeric solution and allowed to stand for 1-2 h to remove air bubbles.
Sonication was also used to help remove air bubbles. The solution was poured onto glass slides (which are cut into a size of 4 cm x 2 cm) and dried at room temperature. After drying, the patches are peeled from the slides and cut into two halves (each one with a dimension of 2x2 cm), each containing 10 mg of MH. Aluminum foil functions as a backing membrane upon which a medical adhesive tape is used that helps in adhering the patch to the skin. The active side of the patch was covered with wax paper until use. The layers of the patch are shown in fig. 1. All trial formulations were prepared using the solvent casting technique [11].
Box-behnken design
The trial formulations of transdermal patches containing MH were evaluated for various quality control parameters, including physical appearance, folding endurance, swelling index, and percentage of drug released. It is observed from the trial runs that 125 mg of HPMC; 350 mg of ethyl cellulose, and 300 mg of xanthan gum produced optimal results and these ideal concentrations are used as the low, middle, and high values to develop formulations (shown in table 1 and 2) using the Box-Behnken design [12]. As the polymer system significantly impacts the performance of the drug in a transdermal patch, the concentrations of HPMC (50 cps), ethyl cellulose, and xanthan gum were used as the independent variables. The independent variables (factors and levels) and dependent variables (responses) used to develop the formulations via the Box-Behnken design were as follows:
Table 1: Dependent and independent variables of various levels used in the Box-Behnken design
| Factors | Levels* | Dependent variables (Response) | ||
| Independent variables | Low | Medium | High | Y1= Folding endurance |
| A= HPMC 50 cps (mg) | 125 | 137.5 | 150 | Y2 = Tensile strength |
| B= EC (mg) | 350 | 375 | 400 | Y3 = Swelling index |
| C= Xanthan gum (mg) | 250 | 275 | 300 | Y4 = % Drug release |
*Low and high levels of the polymer concentrations are chosen based on the initial trials where these levels have shown better performance individually. These concentrations are now used in combination to obtain desirable properties
Table 2: Formulation of MH transdermal patches using Box-Behnken design (with independent variables and their responses)
| Formulation | Independent variables | MH (mg) |
Dibutyl phthalate (ml) | PG (ml) | PEG (mg) | DMSO (%) | Methanol (ml) |
||
| HPMC 50 cps (mg) | EC (mg) | Xanthan Gum (mg) | |||||||
| B1 | 125 | 350 | 275 | 20 | 6 | 2 | 100 | 10 | qs |
| B2 | 137.5 | 400 | 300 | 20 | 6 | 2 | 100 | 10 | qs |
| B3 | 137.5 | 350 | 300 | 20 | 6 | 2 | 100 | 10 | qs |
| B4 | 150 | 400 | 275 | 20 | 6 | 2 | 100 | 10 | qs |
| B5 | 150 | 375 | 300 | 20 | 6 | 2 | 100 | 10 | qs |
| B6 | 137.5 | 375 | 275 | 20 | 6 | 2 | 100 | 10 | qs |
| B7 | 150 | 375 | 250 | 20 | 6 | 2 | 100 | 10 | qs |
| B8 | 125 | 375 | 250 | 20 | 6 | 2 | 100 | 10 | qs |
| B9 | 150 | 350 | 275 | 20 | 6 | 2 | 100 | 10 | qs |
| B10 | 137.5 | 400 | 250 | 20 | 6 | 2 | 100 | 10 | qs |
| B11 | 137.5 | 375 | 275 | 20 | 6 | 2 | 100 | 10 | qs |
| B12 | 125 | 400 | 275 | 20 | 6 | 2 | 100 | 10 | qs |
| B13 | 125 | 375 | 300 | 20 | 6 | 2 | 100 | 10 | qs |
| B14 | 137.5 | 350 | 250 | 20 | 6 | 2 | 100 | 10 | qs |
| B15 | 137.5 | 375 | 275 | 20 | 6 | 2 | 100 | 10 | qs |

Fig. 1: MH transdermal patches a. Components b. Prepared patches
Analytical studies
Analytical studies are carried out to determine the concentration of the drug during the characterization of transdermal patches. These analytical methods are specific to the drug and did not show any interference with the excipients.
Construction of standard calibration curve
a. UV spectroscopy method
A stock solution (1 mg/ml) of memantine hydrochloride (MH) in methanol was diluted with pH 7.4 phosphate buffer to achieve concentrations of 0.2, 0.3, 0.4, 0.5, and 0.6μg/ml in 10 ml volumetric flasks. The absorbance of each concentration was measured at 254 nm in triplicate using a double beam UV-visible spectrophotometer (LAB INDIA UV 3000+, Mumbai), with the pH 7.4 phosphate buffer as a blank [13]. Average absorbance values were reported with standard deviation. [14]. A standard curve was generated by plotting the absorbance against MH concentration. Linear regression was used to determine the equation of the best-fit line and obtain the slope and intercept, which were subsequently used to estimate MH concentrations in other solutions. The coefficient of regression (r2) was calculated to assess the linearity of the standard curve [15].
b. Reverse phase-high performance liquid chromatography (RP-HPLC) method
Approximately 50 milligrams of the memantine hydrochloride (MH) standard substance was measured out and placed into a 50-milliliter volumetric flask. After adding 35 milliliters of a solvent to dissolve the substance and the solution was left to reach room temperature. More solvent was added to the flask until the liquid reached the marked fill line, and then the flask was stirred to mix the solution. A 5-milliliter portion of this primary solution was then transferred and diluted with a more mobile phase solvent in a 25-milliliter flask. This new solution was also stirred to achieve an even lower concentration of the original MH standard for analysis within a specific concentration range. Further dilutions produced concentrations from 10 to 100 ng/ml. The mobile phase for reverse-phase HPLC consisted of 600 ml methanol, 400 ml 0.02 M phosphate buffer, 5 ml triethylamine, and adjustment to pH 7.5 with phosphoric acid in 1000 ml total volume [16]. Twenty microliters of the MH solution were injected into the HPLC system (Perkin Elmer series 200, Mumbai), which used a UV detector at 254 nm. The amount of memantine hydrochloride in an unknown sample could be determined by measuring the size of the peak displayed on the chromatogram and comparing it to a standard calibration curve. The peak area corresponds to a specific concentration of the MH, allowing its amount to be calculated.
Drug-excipient incompatibility studies
Fourier transform infrared (FTIR) spectroscopy was used to assess potential interactions between memantine hydrochloride (MH) and the excipients in the transdermal patch. FTIR spectra of physical mixtures of pure MH and each excipient were obtained using the KBr pellet method with an FTIR spectrophotometer (Perkin-Elmer 1600, Thane) over the range of 4000 to 400 cm−1 [17] By comparing the spectra of the physical mixtures with the spectra of the pure components, any shifts or changes in peaks could indicate possible interactions between MH and the excipients. FTIR was used to verify that there were no incompatible interactions that could impact the stability or performance of the transdermal patch.
Evaluation of prepared transdermal patches
Physical appearance
The formulated transdermal patches were evaluated for various physical quality attributes, including appearance, color, clarity, flexibility, uniformity, smoothness, and absence of air bubbles or drug precipitation. These characteristics largely determine patient acceptance of the patch and its therapeutic effectiveness. If the patch is uneven, brittle, or has visible imperfections, it may not adhere to or deliver the drug properly. By evaluating the physical properties, patches that met quality standards could be identified for further testing. A physical evaluation is an important step in developing a formulation that will be practical and effective for use in patients [18].
Weight variation
To assess weight variation among the transdermal patches, 10 patches were randomly selected and individually weighed. The 10 weight measurements were averaged to determine the average weight of the patches. The standard deviation was also calculated, which measures the amount of variability or dispersion of the weights around the average weight. The weight of individual patches mustn't vary significantly from the average, as uniform weight is necessary for consistent drug content between patches [19]. By weighing multiple patches and determining the average and variance, patches that met weight specifications could be identified.
Thickness
The thickness of the transdermal patches was measured using a precise digital caliper tool (Mitutoyo 150, Maharashtra). To measure each patch, three thickness readings were taken at different points on a 2 cm by 2 cm section of the patch. The three measurements were averaged to determine the overall thickness of that patch section. This same process of taking three measurements and calculating the average thickness was repeated for the other transdermal patches to obtain their thickness values. By averaging multiple measurements, a more accurate assessment of thickness could be obtained versus taking just one measurement per patch. The thickness mustn't vary significantly between patches, as uniform thickness is necessary for consistent drug delivery and release [20]. By measuring thickness at multiple points and determining the average and variance between patches, patches that met thickness specifications could be identified.
Folding endurance
The folding endurance of the transdermal patches was evaluated by determining how many times a patch could be folded at the same place before breaking. This assessed the durability and flexibility of the patches. [21]. A higher folding endurance value indicates a patch that can withstand more physical stress without damage. Since transdermal patches must maintain integrity during application, removal, and wear to ensure proper drug delivery, folding endurance is an important measure of quality. By evaluating the folding endurance, patches with sufficient durability could be identified.
Tensile strength
The tensile strength of the transdermal patches was determined using a modified physical balance. One side of the balance contained a semi-permeable membrane (egg membrane) as a model membrane, and a buffer solution was used to keep the membrane moist [22]. A preload of 10 g was applied for 5 min to allow the patch to adhere to the membrane. After 5 min, the preload was removed and water was added to the other side of the balance until the patch detached from the membrane. The amount of water needed to detach the patch indicates its tensile strength or adhesive strength. The tensile strength is important for maintaining the adhesion of the patch to the skin. By evaluating the tensile strength, patches with sufficient adhesive properties could be identified. Tensile strength is calculated by using the formula:

F = The force required to break a transdermal patch
a = Width of the patch in centimeters
b = Thickness of the patch in centimeters
L = Length of the patch film in centimeters
I = Amount the patch film elongated just before breaking in centimeters
Surface pH
The transdermal patches are placed in sealed Petri dishes. Add 5 milliliters of distilled water to each petri dish. Allow the patches to soak in the water for 30 min so they can swell and absorb the water. After 30 min, measure the pH of the water in each petri dish using a pH meter. The pH of the water measures the surface pH of the patch that was soaked in it. The surface pH is important for skin compatibility and tolerability. An ideal surface pH for a transdermal patch is close to pH 5.5, which is the pH of the skin. By measuring the surface pH, formulations with a suitable pH for transdermal delivery could be identified.
Swelling index
The swelling properties of the transdermal patches were evaluated by placing a pre-weighed patch in a pre-weighed stainless steel wire mesh and immersing it in 15 ml of buffer solution. The increase in weight of the patch was determined at regular time intervals until a constant weight was reached. The swelling of a patch can impact its adhesion, flexibility, and drug-release properties. By assessing the swelling behavior, an ideal rate and extent of swelling could be determined. This is an important measure of quality for transdermal patches. [23]. The degree of the swelling property was determined by using the formula,

Moisture vapor transmission (MVT)
To determine the moisture vapor transmission rate (MVT), one gram of calcium chloride was weighed and placed in a dried, empty vial. The transdermal patch was placed over the vial opening and sealed in place with silicone adhesive grease. The adhesive was allowed to be set for 5 min[24]. The vial was placed in a humidity chamber maintained at 68% relative humidity. The vial was weighed daily for 7 d to determine any increase in weight over time. The increase in weight over 7 d corresponds to the amount of moisture that transferred through the patch
MVT is calculated using the formula:
MVT = 
Where,
w = change in weight,
S = area of the patch exposed in square centimeters, and
T = time of exposure in hours
By measuring the weight gain of the vial over 7 d of exposure to high humidity, the moisture permeability of the patch could be determined. The MVT calculation converts the weight gain into an MVT value based on the patch area and time. A higher MVT indicates greater moisture transfer through the patch, while a lower MVT means less moisture is transferred. MVT is an important property to evaluate to ensure a patch has suitable moisture permeability for its intended use.
Drug content uniformity
To measure the amount of drug entrapped in the transdermal patch, a 2 cm by 2 cm section of the patch was dissolved in 100 milliliters of pH 7.4 phosphate buffer solution. The patch and buffer solution was placed on a shaker for 24 h to ensure the complete dissolution of the patch. The solution was then filtered to remove any undissolved debris. The drug concentration in the filtered solution was determined using a spectrophotometer at 254 nanometers. The drug content in the patch was calculated from the concentration and volume of the solution [25].
% Moisture uptake
To evaluate the moisture uptake of the transdermal patch, the patch was dried in a desiccator for 24 h to remove moisture. The dried patch was then placed in a desiccator with a potassium chloride solution that maintained 84% relative humidity. e patch was left in the desiccator until its weight remained constant. The moisture uptake was calculated as the difference between the patch's final weight (Wf) and its initial dry weight (Wi) [22]. The % moisture uptake is obtained by
% Moisture uptake=
x 100
% Moisture loss
To measure moisture loss from the transdermal patches, three patches from each formulation were weighed to obtain their initial mass. The patches were placed in a desiccator with anhydrous calcium chloride, which maintained low humidity at 37 0 C for three days. After three days, the patches were removed and weighed again. The percentage of moisture loss was calculated by comparing the initial (Wi) and final weights (Wf) and dividing the difference by the initial weight. [26].
% Moisture loss =
x 100
Steady-state flux and permeability coefficient
The steady-state flux refers to the constant rate of diffusion or transport of a substance through a membrane at equilibrium. It is expressed in units of amount per area per time (e. g., micrograms per square centimeter per hour). The steady-state flux can be determined from permeation studies and reflects the permeability of a drug through a membrane. For transdermal patches, it indicates the rate at which the drug is delivered from the patch into the skin. By determining the steady-state flux, the delivery rate of a transdermal patch can be evaluated [27]. After the steady state is reached in the permeation study, the flux can be calculated using the equation:
Jss = dM/S dt
Where dM is the amount of drug permeated, S is the area of the membrane exposed, and dt is the time interval.
The steady-state flux can also be obtained graphically by plotting the cumulative amount of drug permeated per unit area versus time. The slope of the linear portion of the graph is the steady-state flux. The x-intercept of the line corresponds to the lag time, which is the length of time before the steady state is reached.
Permeability coefficient (Kp) is calculated from the steady state flux (Jss) using the formula:

In vitro drug release (permeation) studies
Permeation studies were conducted to measure the rate at which the drug moves from the transdermal patch into the skin and bloodstream. A Franz diffusion cell was used, which consists of two compartments separated by a cellulose nitrate membrane. The transdermal patch was placed in the donor compartment with the drug side facing the membrane. The receptor compartment contained a pH 7.4 phosphate buffer to mimic physiological conditions. Samples were taken from the receptor compartment at regular time points and replaced with fresh buffer. The samples were analyzed to determine the amount of drug that had been absorbed into the buffer, which indicates how much drug permeated from the patch. By conducting permeation studies, the rate and extent of drug delivery into the skin from the patch could be evaluated. This is important to ensure the patch delivers the drug as intended [28]. Table 4 shows the permeation profile of the drug from different patch batches. The permeation data can also be plotted as % drug release versus time to compare drug delivery across the batches.
Drug release kinetics
The in vitro drug release data from the transdermal patch were fit to four kinetic models like zero order, first order, Higuchi, and Korsemeyer-Peppas to evaluate the drug release mechanism. By fitting the drug release data to these models, the release kinetics and mechanism from the transdermal patch could be evaluated. The model that best fits the data would indicate the likely release mechanism. This provides useful information about how the drug is released from the patch system and can help to optimize the design and performance of the patch. The models each describe drug release in different ways, so fitting the data can determine which model and release mechanism most closely matches the observed release profile.
Skin irritation studies
These studies were conducted to assess whether the prepared patches can cause irritation or sensitization from prolonged contact between the transdermal patch and the skin. For this, healthy New Zealand white male rabbits (1.8 to 2 kg) were used as the animal model. The animal experiments in this study were conducted under protocol #1269/PO/E/S/08 approved by the Institutional Animal Ethical Committee of Aditya College of Pharmacy, Kakinada, Andhra Pradesh, India. The approved protocol ensured the welfare of the animals and compliance with regulatory guidelines for the ethical use of animals in research. There is no food or water restriction throughout the study. The animals were divided into 4 groups, each containing 6 rabbits namely control (received no treatment, but the skin was shaven), one group received adhesive bandage, while the other two groups received formalin and optimized formulation respectively. A 2 cm x 2 cm patch (formulation B2) was applied to shaved rabbit skin on one side of the back and secured with adhesive tape. On the other side, a control patch without a drug was applied similarly. The rabbit was observed for 48 h for signs of erythema, redness, sensitization, or allergic reaction. The Draize score was used to evaluate erythema and edema formation [29]. By conducting skin irritation studies, the skin compatibility of the transdermal patch could be assessed. This is important to ensure that the patch would not cause adverse effects or react badly with the skin during use. The erythema and eschar formation measures the amount of redness and scabbing of the skin. A higher score indicates more significant irritation. The edema formation measures the amount of swelling. Again, a higher score shows greater irritation. The scores range from 0 to 4, with 0 indicating no irritation and higher scores indicating more severe irritation. By assigning numerical scores for the levels of erythema and edema, the overall acute skin irritation can be quantified and compared across test substances or conditions.
SEM studies
Scanning electron microscopy was used to analyze the surface morphology of the transdermal patches before and after application. Using a JEOL JSM 6100 microscope, images were captured of the patch surface before and after drug release into the skin. By comparing the scanning electron micrographs, changes to the surface of the patch and the polymer system after drug release could be observed. This provides insight into how the drug is released from the patch and the impact on the patch system. Scanning electron microscopy is a useful technique for understanding the drug release mechanism and changes to the transdermal patch during use [30].
Ex-vivo skin permeation studies
Ex vivo skin permeation studies were conducted using Hartley guinea pig. Guinea pigs were euthanized and their abdominal skin was removed. The animal experiments in this study were conducted under protocol #1270/PO/E/S/08 approved by the Institutional Animal Ethical Committee of Aditya College of Pharmacy, Kakinada, Andhra Pradesh, India. The skin was shaved to remove hair and used as a barrier between the donor and receptor compartments of a Franz diffusion cell. Transdermal patch B2 was placed on the stratum corneum side of the skin in the donor compartment. The receptor compartment contained a pH 7.4 phosphate buffer and a magnetic stirrer bead. The receptor compartment was maintained at 37 °C with stirring using a magnetic stirrer. Samples were taken from the receptor compartment at set time points and replaced with equal volumes of fresh buffer to keep the volume constant [31]. The samples were analyzed by UV spectrophotometer at 254 nm to determine the amount of drug present. Formulation B2 was selected for the skin permeation study because it showed the highest in vitro drug release in a previous cellulose nitrate membrane study and had other suitable properties. The drug permeation data for formulation B2 across guinea pig skin is shown in table 6. By conducting the skin permeation study, the rate and extent of drug delivery into and through the skin from the transdermal patch could be evaluated using excised guinea pig skin as a model for human skin. This is important to ensure the patch will deliver the drug appropriately in vivo.
In vivo studies
For in vivo evaluation, memantine hydrochloride (MH) sustained release Tablets were prepared by using the same polymers i. e HPMC, EC, and xanthan gum, starch as a disintegrating agent, and microcrystalline cellulose is used as a directly compressible vehicle. The Tablets are then administered orally to rabbits and compared with transdermal patch administration (formulation B2). Healthy New Zealand white male rabbits (1.8 to 2 kg) were used as the animal model. The animal experiments in this study were conducted under protocol #1271/PO/E/S/08 approved by the Institutional Animal Ethical Committee of Aditya College of Pharmacy, Kakinada, Andhra Pradesh, India. There is no food or water restriction throughout the study. The animals were divided into 2 groups each containing 6 rabbits one group received the tablets while the other group received the memantine hydrochloride patch (B2). The animal equivalent dose (AED) required for administration to the rabbit is calculated [32] as follows:
Human dose = 0.08 mg/kg
Correction factor (Km) for a rabbit to convert human dose (mg/kg) = 3.1
AED = 0.248 mg/kg
Accurate AED is calculated individually for each rabbit according to its body weight. The dose of MH in the optimized formulation is reduced accordingly while the Tablet (which contains 5 mg of MH and was prepared with the same composition of polymers used in transdermal patches and compressed into a tablet by direct compression) is powdered and an equivalent amount of powder that contains AED of MH is administered. For oral administration of the Tablets, a modified syringe was used to deliver the Tablets with water and minimize the retention of the Tablets in the mouth or spitting them out. For the transdermal patch, a single patch was applied to shaved rabbit skin. The method for evaluating skin irritation was similar for the oral tablets and transdermal patches. Blood samples were withdrawn over 48 h and centrifuged, and the plasma was stored frozen until analysis [16]. To analyze the plasma samples, acetonitrile was added to precipitate proteins. The samples were vortexed and centrifuged, and the supernatant was concentrated under nitrogen and dissolved in the mobile phase. The solution was analyzed by reverse-phase HPLC with UV detection at 254 nm to determine the plasma MH concentration. The amount of MH in the samples was calculated from the peak area. By comparing the plasma concentration-time profiles after oral and transdermal administration, the relative bioavailability and pharmacokinetics of the two methods could be evaluated in vivo. This is important to confirm that the transdermal patch will deliver MH appropriately relative to its counterpart of oral Tablets
Stability studies
The stability of the transdermal drug delivery system (TDDS) is important because it impacts therapeutic effectiveness and patient compliance. To evaluate the stability of the optimized transdermal patch (formulation B2), patches were wrapped in aluminum foil and stored at 4 °C, 45 °C, and 60 °C for 30 d. At specified time points (5, 10, 15, 20, 25, and 30 d), the patches were evaluated for physical appearance and drug content uniformity. The drug content was analyzed using UV spectrophotometry, as done previously. By storing the patches under different conditions, the impact of temperature on stability could be evaluated. This is important to determine appropriate storage conditions and shelf life for the transdermal patch. The physical appearance and drug content are key measures of continued efficacy and quality, so this stability testing helps to ensure the patch will remain suitable for use throughout its shelf life [33]. Table 7 shows the results of stability.
Standard calibration curve
a. UV-visible spectroscopy: A standard calibration curve was generated for memantine hydrochloride (MH) in pH 7.4 phosphate buffer using UV-visible spectroscopy at 254 nm. The curve was linear (r2 = 0.998) over the concentration range of 0.2 to 1 μg/ml. The equation of the line was y = 0.767x+0.099, where the slope is 0.767 and the intercept is 0.099. The calibration curve (fig. 2) was used to estimate the unknown MH concentrations in the transdermal patch during drug content uniformity testing and in vitro drug release studies. By generating a standard curve, the amount of MH can be determined based on absorbance measurements. This is necessary to evaluate the drug content and release characteristics of the transdermal patch [34].

Fig. 2: Standard calibration curve of MH in pH 7.4 phosphate buffer
b. RP-HPLC method: The reverse-phase high-performance liquid chromatography (RP-HPLC) method was found to be linear for memantine hydrochloride (MH) over the concentration range of 60 to 200 ng/ml, with an r2 value of 0.999. The equation of the line was y = 50.74x+548.0, where the slope is 50.74 and the intercept is 548.0. The lowest measurable amount of memantine hydrochloride that could be detected with this method was 5.006 ng/ml. The lowest amount that could be precisely quantified was 15.17 ng/ml. The standard calibration curve is shown in fig. 3. A chromatogram of MH using the RP-HPLC method is shown in fig. 4. The calibration curve was used to estimate the unknown MH concentrations in plasma samples during the in vivo drug release study. By establishing a linear RP-HPLC method, the amount of MH in the plasma samples could be determined based on the peak area. This was necessary to assess MH concentrations in the in vivo study and evaluate the drug release profile of the transdermal patch in vivo [5].

Fig. 3: Standard calibration curve of MH using RP-HPLC method

Fig. 4: Chromatogram showing the retention time and peak area of MH obtained by RP-HPLC method
Drug excipient incompatibility studies
Fourier transform infrared (FTIR) spectroscopy was used to assess potential interactions between memantine hydrochloride (MH) and the excipients in the transdermal patch. The FTIR spectra of the physical mixtures of MH and each excipient were compared to the spectra of the pure components. The characteristic peaks for MH at 2979, 2941, 2860, 2859, 2897, 2839, 1512, 1456, 1356, 437, and 449 cm−1 were present in the spectra of the physical mixtures without any shifts in peak position. This indicates that there were no chemical interactions between MH and the excipients. The FTIR results are shown in fig. 5. By comparing the spectra, FTIR can reveal any interactions between a drug and excipients that could impact stability or performance [17]. In this case, the lack of changes shows that MH is compatible with the excipients in the transdermal patch.

Fig. 5: FTIR spectrum of i. pure drug ii. Drug: HPMC iii. Drug: EC iv. Drug: Xanthan Gum, and v. Drug: Dibutyl Phthalate in 1:1 concentrations (From top to bottom)
Evaluation of prepared transdermal patches (B1 to B15)
Weight variation
The weight variation of the transdermal patch formulations ranged from 0.81+0.33 g to 1.64+0.46 g. The formulations containing higher proportions of ethyl cellulose (EC) showed lower weight variation (table 3), while those containing more hydroxypropyl methylcellulose (HPMC) showed higher weight variation. Weight variation can impact dosage uniformity, so lower variation is desirable [26]. Based on these results, EC may be more suitable than HPMC for achieving consistent weight in the patches.
Thickness
The thickness of the developed transdermal patch formulations ranged from 1.01+0.07 mm to 1.68+0.10 mm (table 3). The formulations containing higher amounts of ethyl cellulose (EC) and xanthan gum showed lower thickness, while those containing hydroxypropyl methylcellulose (HPMC) showed higher thickness. Patch thickness can impact properties such as flexibility and wear comfort, so an ideal thickness range may exist [34]. Based on these results, EC and xanthan gum may be more suitable than HPMC for achieving a desirable patch thickness.
Folding endurance
The folding endurance of the prepared transdermal patch formulations, which indicates mechanical strength, ranged from 139+1.99 to 212+4.33 (table 3). Formulations with higher amounts of ethyl cellulose (EC) showed higher folding endurance, followed by those with more xanthan gum and then hydroxypropyl methylcellulose (HPMC). The higher folding endurance of EC could be due to its greater elasticity, which could improve the mechanical strength of the patches beyond the yield point under stress. Higher folding endurance is desirable to ensure a patch can withstand the physical stresses of application, wear, and removal [28]. Therefore, EC may be the most suitable of the polymers for achieving adequate mechanical strength.
Tensile strength
The tensile strength of the prepared formulations ranged from 0.7 kg/cm2 to 4.2 kg/cm2 (table 3). These values indicate the elasticity and ruggedness of the patches and serve as a measure of their durability against wear and tear during usage.
Surface pH
The surface pH of transdermal patch formulations was measured to determine if the pH was suitable for skin contact. The pH values ranged from 7.39+0.13 to 7.84+0.12, indicating a neutral pH (table 3). A neutral pH is desirable for a transdermal patch to avoid irritation to the skin or interference with skin functions. The skin surface pH is typically slightly acidic, so a neutral patch pH will not cause irritation or other issues due to a pH difference. By evaluating the surface pH, formulations with a suitable pH for skin contact could be identified [29]. This is important for the comfort, tolerability, and safety of a transdermal patch.
Swelling index
The swelling index of the prepared patches was measured to assess their ability to absorb skin secretions. The swelling index ranged from 1.46 to 3.15 (table 3). Formulations containing xanthan gum showed the highest swelling index, followed by those with ethyl cellulose (EC) and then hydroxypropyl methylcellulose (HPMC). A higher swelling index indicates a greater ability to absorb moisture, which is desirable for transdermal patch comfort and tolerability. By evaluating the swelling index, the polymer concentrations that achieved adequate moisture absorption could be identified [28]. This is important for preventing skin irritation from a transdermal patch.
Moisture vapor transmission rate
The moisture vapor transmission rate (MVT) of the transdermal patch formulations ranged from 0.011 to 0.054 mg/cm2/hr (table 4). Formulations containing xanthan gum showed the highest MVT, followed by those with ethyl cellulose (EC) and then hydroxypropyl methylcellulose (HPMC). Higher MVT can enhance comfort by allowing for adequate moisture transmission to and from the skin. By evaluating the MVTR, the polymer concentrations that achieved a suitable rate of moisture transfer could be identified [8]. This ensures that the transdermal patch does not interfere with the natural moisture dynamics of the skin.
Drug content
The drug content of the prepared patches ranged from 95.7%+0.76% to 99.55%+0.28% (table 4). Formulations containing ethyl cellulose (EC) showed the highest drug content, followed by those with xanthan gum and then hydroxypropyl methylcellulose (HPMC). Higher drug content is desirable to ensure the target dose is delivered.
% Moisture uptake
The moisture uptake of the optimized transdermal patch formulations from the Box-Behnken design ranged from 4.48% to 10.94% (table 4). Formulations with higher amounts of ethyl cellulose (EC) showed higher moisture uptake, followed by those with more xanthan gum and then hydroxypropyl methylcellulose (HPMC). Higher moisture uptake can indicate greater hydration of the patch, which may be important for adhesion, flexibility, and wear comfort [20].
% Moisture loss
The moisture loss of the optimized transdermal patch formulations from the Box-Behnken design ranged from 4.14% to 7.56% (table 4). Formulations with higher amounts of ethyl cellulose (EC) showed lower moisture loss, followed by those with more xanthan gum and then hydroxypropyl methylcellulose (HPMC). Lower moisture loss can indicate greater retention of hydration by the patch, which may be important for adhesion, flexibility, and wear comfort [11].
Table 3: Results of evaluation parameters of formulations B1 to B15
| Formulation code | Wt. Variation (gm)* | Thickness (mm)* | Folding endurance (No of folds)* | Tensile strength (Kg/cm2) | Surface pH* | Swelling index |
| B1 | 1.29±0.81 | 1.18±0.07 | 157±2.85 | 1.3 | 7.41±0.12 | 2.27 |
| B2 | 0.95±0.69 | 1.25±0.12 | 218±4.37 | 4.4 | 7.4±0.17 | 3.55 |
| B3 | 1.29±0.53 | 1.27±0.11 | 163±3.24 | 1.6 | 7.52±0.23 | 2.41 |
| B4 | 1.07±0.64 | 1.22±0.11 | 204±3.64 | 3.7 | 7.37±0.12 | 3.35 |
| B5 | 1.26±0.27 | 1.43±0.11 | 191±2.84 | 3.1 | 7.54±0.14 | 3.14 |
| B6 | 1.24±0.61 | 1.72±0.14 | 185±4.23 | 2.8 | 7.09±0.15 | 3.08 |
| B7 | 0.78±0.37 | 1.52±0.08 | 167±3.35 | 1.8 | 7.28±0.07 | 2.68 |
| B8 | 1.02±0.96 | 1.57±0.11 | 175±1.89 | 2.1 | 7.31±0.19 | 2.71 |
| B9 | 1.26±0.65 | 1.71±0.11 | 145±2.03 | 0.9 | 7.39±0.16 | 1.86 |
| B10 | 1.19±1 | 1.3±0.12 | 195±1.85 | 3.4 | 7.46±0.19 | 3.21 |
| B11 | 1.49±0.59 | 1.05±0.11 | 185±1.75 | 2.8 | 7.41±0.11 | 3.08 |
| B12 | 1.36±0.95 | 1.41±0.16 | 210±2.03 | 4.1 | 7.49±0.08 | 3.42 |
| B13 | 1.41±0.73 | 1.57±0.09 | 180±2.12 | 2.4 | 7.52±0.14 | 2.99 |
| B14 | 1.61±0.5 | 1.52±0.12 | 148±2.02 | 1.1 | 7.46±0.21 | 2.04 |
| B15 | 1.32±0.63 | 1.72±0.07 | 185±4.55 | 2.8 | 7.49±0.15 | 3.08 |
*Mean+Standard Error of Mean (SEM), n = 3 observations
Table 4: Results of evaluation parameters of transdermal patches B1 to B15
| Formulation code | Moisture vapour transmission rate (gm/cm2) | Drug content (%)* | %Moisture uptake | %Moisture loss | Steady state flux mcg. cm-2. h-1 | Permeability coefficient cm. h-1 |
| B1 | 0.018 | 96.1±0.82 | 6.01 | 7.49 | 128.51 | 6.72 |
| B2 | 0.057 | 99.9±0.34 | 10.54 | 4.44 | 213.28 | 3.36 |
| B3 | 0.022 | 98±0.81 | 6.79 | 7.19 | 137.89 | 6.33 |
| B4 | 0.044 | 98.2±0.28 | 9.31 | 5.12 | 199.77 | 3.78 |
| B5 | 0.034 | 98.5±0.34 | 8.82 | 5.63 | 188.93 | 4.3 |
| B6 | 0.031 | 99.6±0.49 | 8.71 | 6.17 | 180.07 | 5.18 |
| B7 | 0.024 | 99.2±0.39 | 7.12 | 7.03 | 145.29 | 5.8 |
| B8 | 0.027 | 99.5±0.59 | 7.64 | 6.86 | 160 | 4.65 |
| B9 | 0.014 | 96.3±0.46 | 4.08 | 7.86 | 102.28 | 7.93 |
| B10 | 0.037 | 97.9±0.61 | 9.16 | 5.42 | 196.71 | 3.95 |
| B11 | 0.031 | 97.9±0.64 | 8.71 | 6.17 | 180.07 | 5.18 |
| B12 | 0.051 | 97.2±0.83 | 9.35 | 4.87 | 209.21 | 3.7 |
| B13 | 0.029 | 96.6±0.39 | 8.02 | 6.44 | 165.25 | 4.86 |
| B14 | 0.015 | 96.5±0.39 | 5.56 | 7.54 | 119.73 | 7.16 |
| B15 | 0.031 | 98.5±0.56 | 8.71 | 6.17 | 180.07 | 5.18 |
*Mean+SEM, n = 3 observations
Steady-state flux
The steady-state flux of the optimized transdermal patch formulations from the Box-Behnken design ranged from 101.24 to 212.24 μg/cm2/h (table 4). Formulation B2, which contained the highest amount of ethyl cellulose (EC), showed the highest steady-state flux. Higher steady-state flux indicates faster drug release from the patch. By evaluating steady-state flux, formulations with suitable drug release rates could be identified. This is important for achieving the desired pharmacokinetics and therapeutic outcomes with a transdermal patch [18].
The permeability coefficient of the optimized transdermal patch formulations from the Box-Behnken design ranged from 2.32 to 6.89 cm/h (table 4). Formulation B2, which contained the highest amount of ethyl cellulose (EC), showed the lowest permeability coefficient. The lower permeability of EC could be due to its tighter polymer chains, which allow for slower drug diffusion. Lower permeability can indicate slower drug release from a patch [23].
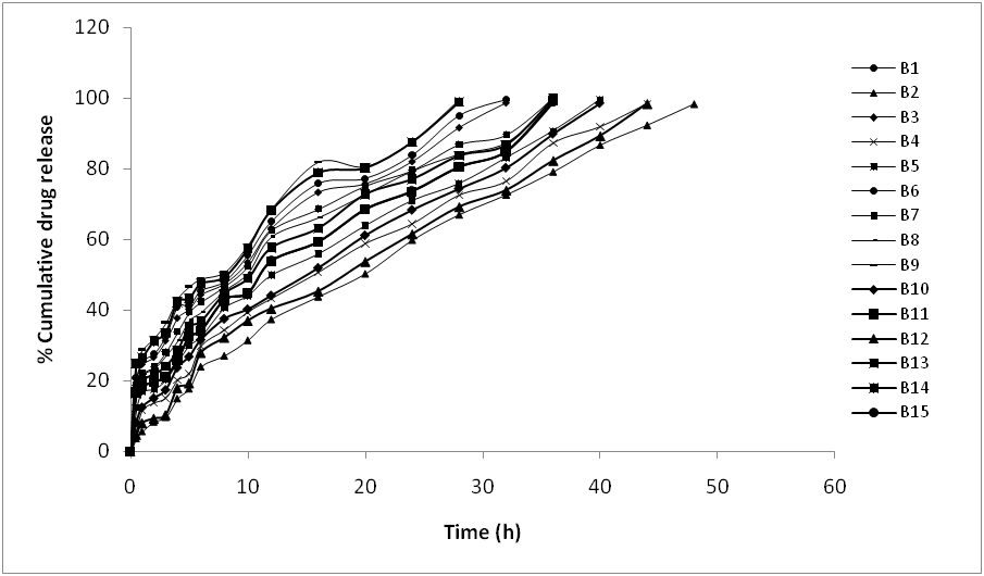
In vitro drug release studies
The in vitro drug release from the transdermal patch formulations was evaluated to determine the impact of the polymer types and concentrations on release kinetics. The formulation B2 containing 137.5 mg of HPMC (middle level), 400 mg of EC (highest level) and 300 mg of xanthan gum (highest level) showed the slowest release, with 27.95% released in 8 h. The sustained release from formulation B2 may be due to the combined effects of the polymers and the high concentration of ethyl cellulose (EC), which can act as a stronger barrier to drug diffusion [4].
For EC, increasing the concentration decreased drug release, likely due to the nonpolar nature of EC. For HPMC and xanthan gum, increasing the concentration showed a biphasic effect, first decreasing and then increasing release. This may be due to greater swelling of the polymers in the release medium, which could enhance both diffusions from and retention within the matrix. The drug release results are shown in table 5 and fig. 6.
The in vitro drug release profile of the optimized transdermal patch formulation is compared to the tablet dosage form (table 6) prepared with the same composition (98.76% drug release in 8 h), the patch was shown to achieve relatively superior sustained release (99.17% drug release in 48 h). This is important to demonstrate that the transdermal patch can deliver memantine hydrochloride over a longer duration to maintain therapeutic drug levels [31]. The release results, along with the other evaluation data, show that formulation B2 has the properties necessary for an effective and well-performing transdermal patch.
Drug release kinetics
The in vitro drug release data from formulation B2 was fitted to various mathematical models to determine the order and mechanism of drug release. The first-order model showed higher r2 values (0.984) than the zero-order model (0.953), indicating the release kinetics is more linear with the first-order model. The release exponent (n) from the Korsmeyer-Peppas model was 0.707, which is between 0.45 and 0.89. This indicates the mechanism of release was non-Fickian diffusion. The drug release from formulation B2, therefore, followed concentration-dependent kinetics and a non-Fickian diffusion mechanism. The model fitting results are shown in table 7 and fig. 8 through 11. By fitting the release data into mathematical models, the kinetics and mechanism of drug release can be elucidated. This provides important information about how the formulation controls drug release. Identifying the correct order and mechanism of release can aid in optimizing and predicting release from a transdermal patch [30].
Table 5: In vitro drug release from the transdermal patches B1 to B15
Time (h) |
% Cumulative drug release | ||||||||||||||
| B1 | B2 | B3 | B4 | B5 | B6 | B7 | B8 | B9 | B10 | B11 | B12 | B13 | B14 | B15 | |
| 0 | 0.0 | 0.0 | 0.0 | 0.0 | 0.0 | 0.0 | 0.0 | 0.0 | 0.0 | 0.0 | 0.0 | 0.0 | 0.0 | 0.0 | 0.0 |
| 0.5 | 20.8 | 3.7 | 20.6 | 6.2 | 12.3 | 16.7 | 18.7 | 17.8 | 24.9 | 8.2 | 16.7 | 4.7 | 16.4 | 24.8 | 16.7 |
| 1 | 25.6 | 5.7 | 24.7 | 11.8 | 16.9 | 18.5 | 22.1 | 21.8 | 28.7 | 12.5 | 18.5 | 8 | 20 | 26.5 | 18.5 |
| 2 | 27.7 | 8.4 | 26.7 | 13.8 | 17.6 | 19.6 | 23.9 | 23.4 | 32.1 | 15.1 | 19.6 | 9.3 | 21.8 | 31.1 | 19.6 |
| 3 | 32.7 | 9.7 | 31.4 | 15.2 | 20.3 | 21.1 | 28.1 | 27.1 | 36.4 | 17.4 | 21.1 | 10.3 | 24 | 33.5 | 21.1 |
| 4 | 41 | 15 | 37.8 | 20.2 | 25.3 | 25.8 | 33.8 | 31.3 | 43.2 | 23.7 | 25.8 | 17.9 | 28.4 | 42.2 | 25.8 |
| 5 | 41.3 | 17.8 | 40.3 | 22.1 | 30 | 32.5 | 39.4 | 37.1 | 46.6 | 26.8 | 32.5 | 19.3 | 35.2 | 43.2 | 32.5 |
| 6 | 45.5 | 24 | 44.4 | 29.9 | 32.5 | 34.1 | 42.3 | 39.4 | 48.8 | 31.6 | 34.1 | 27.9 | 36.7 | 47.4 | 34.1 |
| 8 | 48.1 | 27.1 | 47.5 | 34.4 | 40.6 | 42.9 | 46.7 | 45.5 | 50.7 | 37.5 | 42.9 | 32.2 | 44.6 | 49.3 | 42.9 |
| 10 | 55.6 | 31.5 | 53.6 | 39.5 | 44.1 | 44.8 | 52.4 | 50.5 | 58.4 | 40.2 | 44.8 | 37 | 48.9 | 57.3 | 44.8 |
| 12 | 65.1 | 37.4 | 63.2 | 43.3 | 49.9 | 53.9 | 62.6 | 60.8 | 68.6 | 44.1 | 53.9 | 40.4 | 57.6 | 68.2 | 53.9 |
| 16 | 75.8 | 43.8 | 73.4 | 50.7 | 55.9 | 59.3 | 68.6 | 66.2 | 81.9 | 51.9 | 59.3 | 45.3 | 63.1 | 78.8 | 59.3 |
| 20 | 77.2 | 50.3 | 75.8 | 58.8 | 63.9 | 68.5 | 75.2 | 72.8 | 80.6 | 61.1 | 68.5 | 53.7 | 72.7 | 80.2 | 68.5 |
| 24 | 83.8 | 59.8 | 82.1 | 64.4 | 71 | 73.6 | 79.6 | 79.4 | 87.8 | 68.3 | 73.6 | 61.5 | 77 | 87.5 | 73.6 |
| 28 | 95 | 67 | 91.7 | 72.5 | 75.8 | 80.5 | 86.9 | 84.2 | 99.6 | 74.3 | 80.5 | 69.2 | 83.6 | 98.8 | 80.5 |
| 32 | 99.5 | 72.6 | 98.7 | 76.4 | 83.1 | 84.9 | 89.6 | 87.4 | 80.2 | 84.9 | 73.9 | 86.7 | 84.9 | ||
| 36 | 79.1 | 87.2 | 90.7 | 98.7 | 100.04 | 98.76 | 89.8 | 99.3 | 82.3 | 99.9 | 98.8 | ||||
| 40 | 86.7 | 91.8 | 99.5 | 98.4 | 89.3 | ||||||||||
| 44 | 92.3 | 98.3 | 98.4 | ||||||||||||
| 48 | 98.3 | ||||||||||||||

Fig. 6: In vitro drug release from formulations B1 to B15
Table 6: In vitro drug release profile of the optimized formulation (B2) and tablets of MH
| Time (H) | % Cumulative drug release | |
| Memantine HCl tablet | Memantine HCl optimized transdermal patch | |
| 0 | 0 | 0 |
| 0.5 | 11.59 | 4.86 |
| 1 | 17.04 | 6.92 |
| 2 | 26.46 | 9.63 |
| 3 | 54.37 | 10.84 |
| 4 | 61.82 | 16.17 |
| 5 | 73.88 | 18.95 |
| 6 | 84.79 | 25.16 |
| 8 | 98.41 | 28.24 |
| 10 | 32.68 | |
| 12 | 38.55 | |
| 16 | 44.96 | |
| 20 | 51.52 | |
| 24 | 60.95 | |
| 28 | 68.18 | |
| 32 | 73.75 | |
| 36 | 80.27 | |
| 40 | 87.93 | |
| 44 | 93.48 | |
| 48 | 99.46 |

Fig. 7: In vitro drug dissolution of MH tablet and optimized patch

Fig. 8: Zero order plot of the in vitro drug release data of the formulation B2

Fig. 9: First-order plot of the in vitro drug release data of the formulation B2

Fig. 10: Higuchi plot of the in vitro drug release data of the formulation B2

Fig. 11: Korsemeyer-Peppas plot of the in vitro drug release data of the formulation B2
Table 7: Drug release kinetics of the optimized formulation B2
| Mathematical model | Rate order constant, K# or release exponent* | R2value | Drug release mechanism |
| Zero order | 2.247 mg/h # | 0.959 | First order non-fickian diffusion |
| First order | 4.626 h# | 0.984 | |
| Higuchi model | 15 % h °.5# | 0.981 | |
| Korsemeyer Peppas model | 0.745* | 0.993 |
Skin irritation test in rabbits
Skin irritation studies in rabbits showed that optimized formulation B2 did not cause erythema or edema. Formulation B2 had low Draize scores for erythema (0.15) and edema (0.14), compared to the positive control formalin (erythema 3.61, edema 3.21). The Draize scores for formulation B2 were similar to the negative control, indicating no irritation. These results show that formulation B2 is non-irritating and should not cause skin sensitization. The skin irritation study results are shown in table 8 and fig. 12. Skin irritation and sensitization testing are important to ensure the safety of a transdermal patch. Evaluating erythema and edema in a rabbit model had shown that the irritation potential of formulation B2 was shown to be minimal. This suggests formulation B2 would be well-tolerated in clinical use. The skin irritation study results, along with the other evaluation data, show formulation B2 has the properties necessary for an effective and safe transdermal patch for delivering donepezil hydrochloride.
Table 8: Results of skin irritation test in rabbits
| Test group | Draize score* | |
| Erythema | Edema | |
| Control | 0.01±0.01 | 0.01+0.00 |
| Adhesive bandage | 0.14±0.04 | 0.12+0.06 |
| Formalin | 3.61±0.15 | 3.32+0.07 |
| Optimized formulation | 0.15±0.07 | 0.16+0.03 |
*mean+standard deviation, n= 6

Fig. 12: Skin irritation studies on rabbits a. Removing hair from rabbit dorsal skin b. Attachment of transdermal patch
SEM studies
Scanning electron microscopy (SEM) was used to assess the morphology of the optimized transdermal patch (formulation B2). The SEM images showed a smooth and uniform patch surface before application. After application, the images showed the formation of pores and disjunctions in the patch, indicating drug release from the matrix. The SEM images are shown in fig. 8. SEM can be used to visualize the physical structure of a transdermal patch. By comparing images before and after application, the impact of use on the patch can be seen. The formation of pores and disjunctions suggests drug release from the patch, which would be expected as the drug diffuses out of the matrix [27]. The SEM images, along with the other evaluation data, show that formulation B2 releases the drug as expected and maintains adequate morphological properties during application.

Fig. 13: SEM micrographs of the optimized patch B2 (10,000x) a. before drug release b. after drug release (10,000x)
Table 9: Ex vivo skin permeation studies
| Time | % Cumulative drug release | ||||||||||||||
| (h) | B1 | B2 | B3 | B4 | B5 | B6 | B7 | B8 | B9 | B10 | B11 | B12 | B13 | B14 | B15 |
| 0 | 0.0 | 0.0 | 0.0 | 0.0 | 0.0 | 0.0 | 0.0 | 0.0 | 0.0 | 0.0 | 0.0 | 0.0 | 0.0 | 0.0 | 0.0 |
| 0.5 | 20.5 | 0.1 | 17.8 | 2.9 | 9.4 | 12.7 | 17.9 | 16.2 | 24.7 | 4.5 | 13.3 | 3.7 | 13.3 | 20.9 | 13.7 |
| 1 | 21.7 | 2 | 21.3 | 9.3 | 14.8 | 16 | 20.3 | 19.6 | 24.9 | 8.3 | 16.7 | 4.3 | 16.2 | 24.5 | 17.9 |
| 2 | 23.8 | 5.1 | 24.4 | 10.7 | 15.6 | 15.4 | 23.2 | 19.2 | 31.8 | 10.9 | 15.4 | 8.6 | 17.9 | 27.9 | 19.3 |
| 3 | 32 | 5.8 | 28.3 | 12.8 | 19.2 | 17.4 | 25.7 | 24.9 | 33.9 | 14.7 | 18.2 | 7 | 20.7 | 29.9 | 17.6 |
| 4 | 38 | 12.6 | 35.5 | 16.6 | 24.9 | 23.6 | 33.2 | 28.9 | 42.4 | 22.1 | 22.3 | 14.8 | 26.7 | 38 | 24.2 |
| 5 | 38 | 17.3 | 37.4 | 19.1 | 26.7 | 28.7 | 38.3 | 34.3 | 44.3 | 25.1 | 28.4 | 19.3 | 34.4 | 41.8 | 28.5 |
| 6 | 43.8 | 22.7 | 42.5 | 26.6 | 32.2 | 33.3 | 38.8 | 36.2 | 46 | 30.5 | 32.7 | 26.6 | 33.8 | 45.6 | 31.1 |
| 8 | 47 | 23.8 | 43.4 | 31.2 | 40 | 40.4 | 46.5 | 44.3 | 47.8 | 36.4 | 42.6 | 28.2 | 42.2 | 48.1 | 41.9 |
| 10 | 53.1 | 30.1 | 51 | 37.3 | 40.1 | 42.7 | 48.6 | 49.1 | 56.2 | 38 | 44.3 | 34.5 | 48.4 | 55.8 | 42.4 |
| 12 | 62.7 | 36.8 | 62.8 | 41.7 | 47.5 | 53.3 | 61.7 | 58.1 | 68 | 41 | 53.9 | 39.6 | 54.8 | 67.8 | 52.6 |
| 16 | 73.2 | 40.5 | 72.8 | 50.1 | 53.5 | 55.9 | 67.3 | 63.5 | 77.7 | 48.7 | 59.2 | 44.3 | 61.1 | 78.8 | 58.3 |
| 20 | 73.2 | 49.8 | 75.1 | 56 | 61.1 | 67.1 | 74.3 | 70.3 | 77.3 | 61 | 65.2 | 52 | 72.4 | 78 | 65.3 |
| 24 | 80.6 | 58 | 80.9 | 62.7 | 69.3 | 71.4 | 78.9 | 75.5 | 83.9 | 68 | 70 | 60.8 | 74 | 86.3 | 70 |
| 28 | 92.5 | 62.9 | 90.5 | 69 | 74.8 | 78.1 | 86.3 | 80.3 | 99.6 | 72 | 78.8 | 68.7 | 81 | 97.8 | 80.2 |
| 32 | 97.3 | 70.3 | 97.2 | 74.5 | 80.4 | 81.8 | 87.2 | 85.9 | 79.6 | 82.2 | 70.9 | 82.9 | 81.3 | ||
| 36 | 75.5 | 85.4 | 90.6 | 98.7 | 100.04 | 98.76 | 86.9 | 99.3 | 80.5 | 98.3 | 98.8 | ||||
| 40 | 83 | 90.7 | 99.4 | 98.46 | 87.9 | ||||||||||
| 44 | 90.5 | 96.4 | 98.4 | ||||||||||||
| 48 | 97.9 | ||||||||||||||

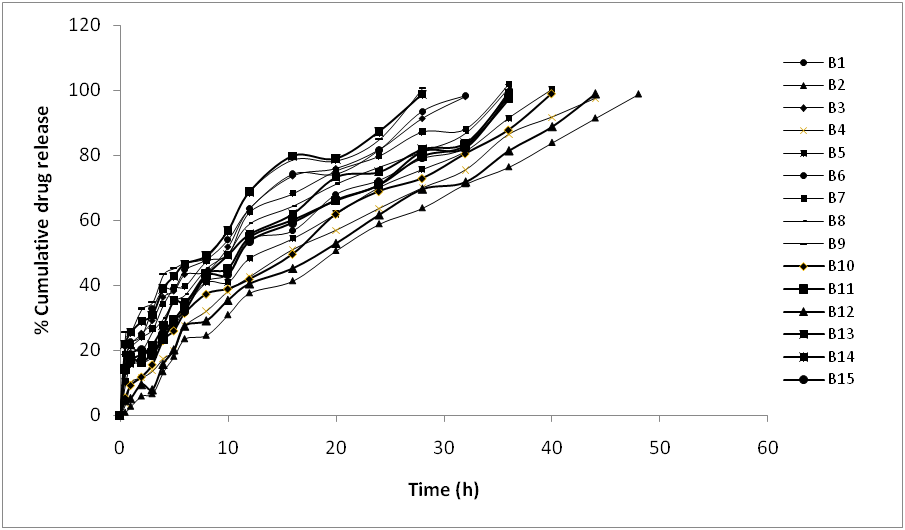
Fig. 14: Ex vivo skin permeation studies
Ex vivo skin permeation studies
Ex vivo skin permeation studies are carried out similarly to in vitro permeation studies with Franz diffusion cell but instead of cellulose nitrate membrane, excised guinea pig skin is used to simulate human skin. It is observed that the drug release profiles of all the formulations are similar to in vitro permeation studies but the drug release is slower which could be attributed to the multiple skin layers that the drug has to permeate before reaching the acceptor compartment [33]. Formulation B2 showed the slowest drug release (98.8% drug release in 48 h) while formulation B9 has shown the fastest drug release (100.5% drug release in 28 h). The results are shown in table 9 and fig. 14.

Fig. 15: In vivo studies in the rabbit a. Collection of blood from rabbit to which optimized transdermal patch is given b. Oral administration of prepared tablet
Table 10: In vivo studies of the tablet and optimized transdermal patch (B2)
| Time (H) | Plasma concentration ng/ml | |
| Memantine HCl tablet | Memantine HCl optimized transdermal patch | |
| 0 | 0 | 0 |
| 0.5 | 9.29±0.334 | 7.15±0.585 |
| 1 | 23.72±0.542 | 13.74±0.481 |
| 2 | 37.02±0.446 | 29.54±0.701 |
| 3 | 56.02±0.554 | 36.94±0.549 |
| 4 | 78.42±0.904 | 47.04±0.198 |
| 5 | 64.62±0.684 | 58.54±0.741 |
| 6 | 45.42±0.551 | 65.24±0.786 |
| 8 | 29.02±0.849 | 80.34±0.904 |
| 10 | 12.42±0.772 | 62.74±0.855 |
| 12 | 55.04±0.712 | |
| 16 | 46.54±0.722 | |
| 20 | 37.74±0.884 | |
| 24 | 26.94±0.774 | |
| 28 | 18.24±0.916 | |
| 32 | 13.04±0.814 | |
| 36 | 10.42±0.783 | |
mean+standard deviation, n= 6
In vivo studies
In vivo studies were conducted in rabbits to compare the plasma concentration profiles of memantine hydrochloride from the optimized transdermal patch (formulation B2) and Tablets prepared with the same composition of polymers. The plasma concentration-time profiles are shown in table 10. The pharmacokinetic parameters are shown in table 11 and fig. 16. The profile for formulation B2 showed the drug in the plasma for 36 h, while the Tablet profile spanned 8 h.

Fig. 16: Time vs plasma concentration of MH Tablet and optimized transdermal patch
Table 11: Pharmacokinetic parameters
| Formulation | Cmax (ng/ml) | Tmax (h) | AUC 0-∞ (ng h/ml) | MRT0-48(h) | Half-life (h) |
| Tablet | 78.42 | 4 | 397.105 | 5.57 | 2.29 |
| Optimized transdermal Patch | 80.34 | 8 | 1325.92 | 17.31 | 8.77 |
Box-Behnken design of the formulations and the responses
The following equations are generated to evaluate the responses using Box Behnken Design:
Folding endurance = 180.53-1.88* A+26.75* B+8.38* C
Tensile strength = 2.55-0.050* A+1.34 * B+0.39* C
Swelling index = 3.08-0.045* A+0.62* B+0.18* C+0.085* AB+0.045* AC-0.0075* BC-0.14* A2-0.22* B2-0.061* C2
% Drug release at 8th hour = 42.90+0.25* A-8.05* B-2.40* C-0.10* AB-1.30 * AC-2.15* BC+1.23* A2-2.77* B2+0.22* C2
Where A is the concentration of HPMC in mg,
B is the concentration of EC in mg and,
C is the concentration of Xanthan gum in mg
Linear regression models were generated for folding endurance and tensile strength, and quadratic models were generated for swelling index and percentage drug release at 8 h. The model equations showed high r2 values, indicating a good fit for the experimental data. The p-values were all less than 0.05, showing significant differences between formulations at the 5% significance level. The summary of these responses is shown in table 12. The contour plot of the responses and overlay plot of the optimized parameters are shown in fig. 17 and 18. The optimization parameters showed the predicted values for the responses were close to the experimental values, indicating the suitability of the models. The interaction plots showed ethyl cellulose (EC) had the greatest effect on the responses, followed by xanthan gum, with hydroxypropyl methylcellulose (HPMC) having a minimal effect.
The development of regression models and evaluation of the model statistics and parameters could reveal the effects of the polymers on the critical quality attributes that could be quantified [35]. This type of analysis is useful for understanding the relationships between inputs and outputs and optimizing formulations. The models could be useful for predicting the properties of new formulations or concentrations, as long as the models continue to be validated for those conditions. The models, along with the other evaluation data, contribute to a mechanistic understanding of how the transdermal patch functions.
Table 12: Summary of the responses for the models generated using Box Behnken design
| Response | R2 | Adjusted R2 | Standard deviation | Probability>F |
| Folding endurance | 0.957 | 0.945 | 5.08 | <0.0001 |
| Tensile strength | 0.945 | 0.929 | 0.29 | <0.0001 |
| Swelling index | 0.984 | 0.955 | 0.11 | <0.0001 |
| % Drug release at 8th hour | 0.983 | 0.953 | 1.46 | <0.0001 |

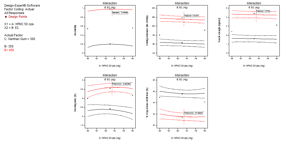
Fig. 17: Contour plot of the optimized responses using box behnken design a. Desirability b. Folding endurance c. Tensile strength d. Swelling index (%) e. % Drug release at 8th h

Fig. 18: Overlay plot of the optimized responses using box behnken design

Fig. 19: Interaction plots of various responses in the box behnken design
Cross-validation of the data obtained from box behnken design
The numerical optimization technique by grid search method was used to fix the constraints on the dependent variables such as maximum folding endurance, tensile strength, swelling index, and lowest % drug release, and the possible solutions are generated using Design Expert software. From the predicted solutions, the predicted formulation with maximum desirability (closer to the value of 1) is then prepared by taking 400 mg of EC, 300 mg of Xanthan gum, and 138.5 mg of HPMC to evaluate the model responses in practical reality. The results are shown in table 13. It is observed that the predicted values and obtained values from the optimized formulation are closer to each other with minimum deviation indicating the credibility of the model generated [36]. Thus, it can be concluded that the generated model expressions can be used for interpolation or extrapolation of the data.
Table 13: Comparison of the predicted values and optimized formulation prepared as suggested by the model
| Dependent variables | Fixed criteria | Predicted value | Obtained value | % Deviation |
| Folding endurance (No. of folds) | Maximize | 215.51 | 214 | 0.007% |
| Tensile strength (kg/cm2) | Maximize | 4.274 | 4.24 | 0.008% |
| Swelling index (%) | Maximize | 3.601 | 3.59 | 0.003% |
| % Drug release at 8th hour | Minimize | 27.66 | 27.51 | 0.005% |
Table 14: Results of stability studies
| Time (days) | 4 °C | 45 °C | 60 °C | |||
| % Drug content* | Appearance | %Drug content* | Appearance | %Drug content* | Appearance | |
| 0 | 98.78±1.07 | +++ | 99.02±4.32 | +++ | 98.68±3.64 | +++ |
| 5 | 98.78±2.08 | +++ | 98.72±4.44 | +++ | 98.28±3.81 | +++ |
| 10 | 98.68±2.31 | +++ | 98.62±3.63 | +++ | 97.28±2.59 | +++ |
| 15 | 97.48±3.42 | +++ | 98.42±2.62 | +++ | 97.28±4.28 | +++ |
| 20 | 97.38±3.04 | ++ | 97.82±4.32 | +++ | 97.18±2.38 | +++ |
| 25 | 97.38±4.47 | ++ | 97.82±4.33 | +++ | 97.18±4.11 | ++ |
| 30 | 96.78±2.90 | ++ | 97.62±3.70 | +++ | 97.08±3.20 | ++ |
Average+SD (n=3),+++: Good,++: Slightly cloudy or wrinkled appearance
Stability studies
The results of the stability studies indicate that the optimized formulation B2 is intact throughout the study period of 30 d with acceptable drug content and physical appearance at different temperatures (4, 45, and 60 °C). The results are shown in table 14.
The study demonstrated the feasibility of developing an effective memantine hydrochloride transdermal patch. Several characterization techniques were employed to evaluate the drug-polymer compatibility, physicochemical properties, drug release profiles, and skin irritation potential of the formulated patches [37].
UV-Visible spectroscopy showed that the calibration curve for memantine hydrochloride was linear (r2 = 0.998) over the concentration range of 0.2 to 1 μg/ml. The RP-HPLC method was found to be linear for memantine hydrochloride over the concentration range of 60 to 200 ng/ml, with an r2 value of 0.999. FTIR spectroscopy showed that the characteristic peaks of memantine hydrochloride remained unchanged in the physical mixtures, indicating no interactions with the excipients. Among the polymers evaluated, ethyl cellulose-based formulations showed the lowest weight variation (0.81+0.33 g), thickness (1.01+0.07 mm), and drug release (27.95% in 8 h), with the highest drug content (99.55%+0.28%), folding endurance (212+4.33), tensile strength (4.2 kg/cm2) and moisture uptake (10.94%). Formulation B2 containing the highest amount of ethyl cellulose (400 mg) demonstrated the most desirable overall properties as evident from the Box-Behnken models and practical values [38]. EC and HPMC can form hydrogen bonds and hydrophobic interactions with each other, leading to a more uniform and stable polymer matrix. Xanthan gum can also form hydrogen bonds and electrostatic interactions with HPMC and EC, further strengthening the matrix. These molecular interactions help form a coherent and cohesive polymer network that can better control drug release. EC acts as the primary release modifier and forms a hydrophobic barrier that retards drug diffusion. HPMC helps swell upon contact with the aqueous medium, which allows water to penetrate the matrix and dissolve the drug. Xanthan gum forms a gel-like layer upon hydration that further slows down the water ingress and drug efflux. The combination of EC, HPMC, and xanthan gum provides a polymer matrix with suitable viscosity and gel strength to sustain the drug release over an extended period of time [12, 30]. Each polymer contributes to the overall viscosity and gel properties in a synergistic way. The combined effects of these physicochemical interactions likely optimally modulated the drug release rate from formulation B2. As water penetrates the matrix and the polymers hydrate and swell, they form a porous network structure with interconnected channels [39]. The precise combination of polymers in formulation B2 likely created an optimal porous network microstructure that allowed controlled diffusion of the drug.
Drug release from formulation B2 followed first-order kinetics (r2 = 0.984) and a non-Fickian mechanism (n = 0.707). Skin irritation studies showed that formulation B2 had low Draize scores for erythema (0.15) and edema (0.14), comparable to the negative control. In vitro studies showed that 27.95% of the drug was released from formulation B2 in 8 h, while 99.17% was released in 48 h. In contrast, the tablet released 98.76% of the drug in 8 h. In vivo studies in rabbits demonstrated that formulation B2 maintained plasma drug levels for 36 h compared to only 8 h for the tablet. Among all the formulations, the B2 formulation is found to be a promising once-daily transdermal patch candidate, and ethyl cellulose was found to impart the most desirable performance characteristics.
The present work demonstrates that memantine hydrochloride can be delivered via a transdermal drug delivery system using a matrix polymeric system of EC, xanthan Gum, and HPMC. The transdermal patch provides a controlled release of the drug, which may allow for reduced dosing frequency in patients with Alzheimer's disease. The non-invasive transdermal patch also increases patient compliance due to its ease of application and removal. However, more studies are needed to further support the viability of this transdermal approach to delivering donepezil hydrochloride. While the current work is promising, additional analyses and evaluations would strengthen the conclusions and support the clinical translation of the transdermal patch. Continued testing could also help optimize the patch design and drug delivery rate. Overall, this study shows the potential for transdermal delivery of memantine hydrochloride, but more research is warranted.
The authors would like to acknowledge the tremendous support of the staff at Andhra University for their valuable time and cooperation in conceding and completing this research work.
All the authors have contributed equally.
Declared none
Alam MI, Alam N, Singh V, Alam MS, Ali MS, Anwer T. Type, preparation and evaluation of transdermal patch: a review. World J Pharm Pharm Sci. 2013;2(4):2199-233.
Kanasty R, Low S, Bhise N, Yang J, Peeke E, Schwarz M. A pharmaceutical answer to nonadherence: once weekly oral memantine for Alzheimer’s disease. J Control Release. 2019;303:34-41. doi: 10.1016/j.jconrel.2019.03.022, PMID 30928488.
Calhoun A, King C, Khoury R, Grossberg GT. An evaluation of memantine ER+ donepezil for the treatment of Alzheimer’s disease. Expert Opin Pharmacother. 2018;19(15):1711-7. doi: 10.1080/14656566.2018.1519022, PMID 30244611.
Hardainiyan S, Kumar K, Nandy BC, Saxena R. Design, formulation and in vitro drug release from transdermal patches containing imipramine hydrochloride as model drug. Int J Pharm Pharm Sci. 2017 Jun 1;9(6):220. doi: 10.22159/ijpps.2017v9i6.16851.
Bashyal S, Shin CY, Hyun SM, Jang SW, Lee S. Preparation, characterization, and in vivo pharmacokinetic evaluation of polyvinyl alcohol and polyvinyl pyrrolidone blended hydrogels for transdermal delivery of donepezil HCl. Pharmaceutics. 2020;12(3):270. doi: 10.3390/pharmaceutics12030270, PMID 32188083.
Kearney MC, Caffarel Salvador E, Fallows SJ, McCarthy HO, Donnelly RF. Microneedle-mediated delivery of donepezil: potential for improved treatment options in Alzheimer’s disease. Eur J Pharm Biopharm. 2016;103:43-50. doi: 10.1016/j.ejpb.2016.03.026, PMID 27018330.
MNJ, Chandrakala V, Srinivasan S. An overview: recent development in transdermal drug delivery. Int J Pharm Pharm Sci. 2022 Oct 1:1-9.
Choudhory N, Kaur T, Singh AP, Singh AP. Formulation and evaluation of maslinic acid-loaded transdermal patches. Int J Curr Pharm Sci. 2021 Nov 15:89-98. doi: 10.22159/ijcpr.2021v13i6.1933.
Walbi IA, Ahmad MZ, Ahmad J, Algahtani MS, Alali AS, Alsudir SA. Development of a curcumin-loaded lecithin/chitosan nanoparticle utilizing a box-behnken design of experiment: formulation design and influence of process parameters. Polymers. 2022;14(18):3758. doi: 10.3390/polym14183758, PMID 36145903.
Choudhury D, Dutta KN, Kalita R. A review on transdermal patches used as an anti-inflammatory agent. Asian J Pharm Clin Res. 2021 Dec 7:21-6. doi: 10.22159/ajpcr.2021.v14i12.43277.
Allena RT, Yadav HK, Sandina S. Sarat Chandra Prasad M. Preparation and evaluation of transdermal patches of metformin hydrochloride using natural polymer for sustained release. Int J Pharm Pharm Sci. 2012;4(3):297-302.
Vithoba SR, Velraj M. Optimization, formulation and characterization of Nano based TDDS of eplerenone. Int J App Pharm. 2023 Jan 7:227-33. doi: 10.22159/ijap.2023v15i1.45433.
Bahazeq AA, Syeda WN, Isba NF, Rehman M, Baqi UA. Assay of memantine hydrochloride by UV spectrophotometer. Int J Pharm Sci Res. 2019;10(1):27-30.
Alshetaili A, Almutairy BK, Alshehri SM, Repka MA. Development and characterization of sustained-released donepezil hydrochloride solid dispersions using hot melt extrusion technology. Pharmaceutics. 2021;13(2):213. doi: 10.3390/pharmaceutics13020213, PMID 33557076.
Chaurasia G. A review on pharmaceutical preformulation studies in formulation and development of new drug molecules. Int J Pharm Sci Res. 2016;7(6):2313-20.
Santhosam RD, Kannan S, Devi SL. Development and validation of RP-HPLC method for estimation of donepezil HCl from bulk and marketed dosage forms. J Chem Pharm Res. 2010;2(6):62-7.
Atia NN, Marzouq MA, Hassan AI, Eltoukhi WE. A rapid FTIR spectroscopic assay for the quantitative determination of memantine hydrochloride and amisulpride in human plasma and pharmaceutical formulations. Spectrochim Acta A Mol Biomol Spectrosc. 2020;236:118377. doi: 10.1016/j.saa.2020.118377, PMID 32330826.
Amjad M, Ehtheshamuddin M, Chand S, Hanifa SM, Asia R, Kumar GS. Formulation and evaluation of transdermal patches of atenolol. Adv Res Pharm Biol. 2011;1(2):12-23.
Saxena M, Mutalik S, Reddy MS. Formulation and evaluation of transdermal patches of metoclopramide hydrochloride. Indian Drugs. 2006;43(9):740-5.
Tanwar YS, Chauhan CS, Sharma A. Development and evaluation of carvedilol transdermal patches. Acta Pharm. 2007;57(2):151-9. doi: 10.2478/v10007-007-0012-x, PMID 17507312.
Patel RP, Patel G, Baria A. Formulation and evaluation of transdermal patch of aceclofenac. Int J Drug Del;1(1):41-51. doi: 10.5138/ijdd.2009.0975.0215.01005.
Bhatia C, Sachdeva M, Bajpai M. Formulation and evaluation of transdermal patch of pregabalin. Int J Pharm Sci Res. 2012;3(2):569.
Atılay Takmaz EA, Yener G. Effective factors on iontophoretic transdermal delivery of memantine and donepezil as model drugs. J Drug Deliv Sci Technol. 2021;63:102438. doi: 10.1016/j.jddst.2021.102438.
Kumar SS, Behury B, Sachinkumar P. Formulation and evaluation of transdermal patch of stavudine. Dhaka Univ J Pharm Sci. 2013;12(1):63-9. doi: 10.3329/dujps.v12i1.16302.
Mohabe V, Akhand R, Pathak AK. Preparation and evaluation of captopril transdermal patches. Boll Pharm Res. 2011;1(2):47-52.
Ganti SS, Bhattaccharjee SA, Murnane KS, Blough BE, Banga AK. Formulation and evaluation of 4-benzylpiperidine drug-in-adhesive matrix type transdermal patch. Int J Pharm. 2018;550(1-2):71-8. doi: 10.1016/j.ijpharm.2018.08.033, PMID 30125654.
Kusum Devi V, Saisivam S, Maria GR, Deepti PU. Design and evaluation of matrix diffusion controlled transdermal patches of verapamil hydrochloride. Drug Dev Ind Pharm. 2003;29(5):495-503. doi: 10.1081/ddc-120018638, PMID 12779279.
Kriplani P. Formulation and evaluation of transdermal patch of diclofenac sodium. GJPPS 2018;4(5). doi: 10.19080/GJPPS.2018.04.555647.
Jayaprakash S, Halith SM, Firthouse PM, Yasmin YM, Nagarajan M. Preparation and evaluation of celecoxib transdermal patches. Pak J Pharm Sci. 2010;23(3):279-83. PMID 20566440.
Shivalingam MR, Balasubramanian A, Ramalingam K. Formulation and evaluation of transdermal patches of pantoprazole sodium. Int J App Pharm. 2021 Sep 7:287-91. doi: 10.22159/ijap.2021v13i5.42175.
Singh A, Bali A. Formulation and characterization of transdermal patches for controlled delivery of duloxetine hydrochloride. J Anal Sci Technol. 2016 Nov 28;7(1):25. doi: 10.1186/s40543-016-0105-6.
Nair AB, Jacob S. A simple practice guide for dose conversion between animals and human. J Basic Clin Pharm. 2016;7(2):27-31. doi: 10.4103/0976-0105.177703, PMID 27057123.
Sheth NS, Mistry RB. Formulation and evaluation of transdermal patches and to study permeation enhancement effect of eugenol. J Appl Pharm Sci. 2011;(Issue):96-101.
Banker GS. The theory and practice of industrial pharmacy. J Pharm Sci. 1970 Oct;59(10):1531.
Bala R, Sharma S. Formulation optimization and evaluation of fast dissolving film of aprepitant by using design of experiment. Bull Fac Pharm Cairo Univ. 2018;56(2):159-68. doi: 10.1016/j.bfopcu.2018.04.002.
Roy H. Box-Behnken design for optimization of formulation variables for fast dissolving tablet of urapidil. Asian J Pharm AJP. 2018;12(03).
Elballa W, Salih M. Influence of partially and fully pregelatinized starch on the physical and sustained-release properties of hpmc-based ketoprofen oral matrices. Int J Pharm Pharm Sci. 2022 Aug 1:29-34. doi: 10.22159/ijpps.2022v14i8.45031.
Farooqui P, Gude R. Formulation development and optimisation of fast dissolving buccal films loaded glimepiride solid dispersion with enhanced dissolution profile using central composite design. Int J Pharm Pharm Sci. 2023 Jun 1;15(6):35-54. doi: 10.22159/ijpps.2023v15i6.47992.
Shinde R, Velraj M. Formulation, optimization, and characterization of transdermal drug delivery systems containing eplerenone. Int J App Pharm. 2022 Jan 7;14(1):198-207. doi: 10.22159/ijap.2022v14i1.42827.