
Nitte (Deemed to be University), NGSM Institute of Pharmaceutical Sciences (NGSMIPS), Derelakatte, Mangaluru-575018, India
*Corresponding author: Sneh Priya; *Email: snehpriya123@nitte.edu.in
Received: 03 Aug 2023, Revised and Accepted: 05 Jan 2024
ABSTRACT
Objective: The study aimed to formulate and evaluate the gastroretentive in situ gelling system of Glycyrrhiza glabra L. extract to increase the gastric residence time and provide sustained release of the drug, thereby avoiding disadvantages such as frequent dosing, patient non-compliance and low bioavailability.
Methods: The in-situ gel was prepared by pH-triggered gelation method by using sodium alginate and gellan gum as polymers, sodium citrate as a crosslinking agent, and calcium carbonate as a floating agent. Formulation and optimization of in situ gels were achieved by 32 factorial design by using Design-Expert Software to determine the influence of independent variables such as concentration of sodium alginate and gellan gum on viscosity, gel strength, the onset of flotation, and drug release at 12 h.
Results: The viscosity, gel strength, onset of flotation and drug release at 12h of optimized formulation were found to be 568.89 cps, 42.91 sec, 53.17 sec and 82.69%, respectively. The floating duration of all in-situ gels was found to be more than 12 h. All the formulations showed drug content in the range of 83.55% to 95.28%. The in vitro release profile of the drug extract from all the formulations appeared to follow the Higuchi model, which concludes that the drug release was controlled by diffusion mechanism. The FTIR study indicates no chemical incompatibility between drug extract and other excipients.
Conclusion: Hence, a novel gastroretentive in situ gelling system of Glycyrrhiza glabra L. could be prepared for sustained oral delivery to increase patient compliance with reduced dosing frequency and increased residence time of the drug in the stomach.
Keywords: Glycyrrhiza glabra L, Gastroretentive in situ gel system, Polymers, Higuchi
© 2024 The Authors. Published by Innovare Academic Sciences Pvt Ltd. This is an open access article under the CC BY license (https://creativecommons.org/licenses/by/4.0/)
DOI: https://dx.doi.org/10.22159/ijap.2024v16i2.49033 Journal homepage: https://innovareacademics.in/journals/index.php/ijap
Glycyrrhiza glabra L is also called as licorice. Licorice, the roots and stolons of Glycyrrhiza species, is one of the oldest medicinal plants used as an expectorant, diuretic, laxative, sedative, antipyretic, antimicrobial and anxiolytic, antiviral, anti-inflammatory and antioxidant activities [1-3]. Licorice is widely used for its anti-ulcer activity, and it is taken orally for various digestive system complaints, including stomach ulcers, heartburn, colic, and ongoing inflammation of the lining of the stomach (chronic gastritis). It mainly contains glycyrrhizin, flavonoids such as liquiritin and isoliquiritin and steroids such as β-sitosterol, which is responsible for the antiulcer activity [4]. These constituents decrease swelling, thin mucus secretions, decrease cough, and increase the chemicals in our body that heal ulcers [5, 6].
According to the World Health Organization, about 80% of the population of developed countries depends on plant-based traditional medicines to maintain their primary health care. The high cost of treatment and adverse effects are the problems associated with using synthetic drugs. The medicinal uses of plants are due to the presence of many active constituents that act in combination to produce therapeutic effects and hence, extracts are more preferred than the isolated constituents [7]. H. pylori causes most ulcers. If not properly treated, ulcers can lead to serious health problems, including bleeding, perforation, gastric outlet obstruction from swelling or scarring that blocks the passageway from the stomach to the small intestine. Most drug delivery systems available for peptic ulcers are oral drug delivery systems [8]. Nowadays, novel drug delivery systems are used in delivering herbal drugs at predetermined rate at the site of action, which minimizes side effects associated with increased bioavailability of drugs. Incorporation of novel drug delivery to herbal medicines reduces first-pass metabolism of drugs, drug degradation and dose dumping at non-targeted areas. It was suggested that compounding drugs in a unique pharmaceutical dosage form with gastroretentive properties would enable an extended absorption phase of these drugs. After oral administration, such a dosage form would be retained in the stomach and release the drug there sustainably. Hence, the need for gastroretentive dosage forms (GRDFs) has led to extensive efforts in academia and industry towards developing such drug delivery systems [9]. Over the last three decades, various approaches have been pursued to increase the retention of an oral dosage form in the stomach, including floating drug delivery systems (FDDS), swelling and expanding systems, bioadhesive systems, modified shape systems, high-density systems and other delayed gastric emptying devices. In situ gel formulations offer an exciting alternative for achieving systemic drug effects of parenteral routes, which can be in convenient or oral routes, resulting in unacceptable low bioavailability. Oral in situ gel-forming systems, also known as stomach-specific systems, have provided a suitable way of delivering controlled drug delivery within the stomach with enhanced gastroretention [10, 11]. The advantages shown by in situ forming polymeric delivery systems include ease of administration and reduced frequency of administration, which increases patient compliance and comfort. In situ, gelling systems are liquid at room temperature but undergo gelation when in contact with body fluids or change in pH. Gel formation depends on factors like temperature modulation, pH change, presence of ions, and ultraviolet irradiation, from which the drug is released sustainably. Different polymers that can be used for the formation of in situ gel include gellan gum, alginic acid, xyloglucan, pectin, chitosan, poly-caprolactone, poly-lactic acid, polylactic-co-glycolide [12, 13].
Therefore, the study aimed to formulate and evaluate the gastroretentive in situ gelling system of Glycyrrhiza glabra. Extract to increase the gastric residence time and provide sustained drug release, thereby avoiding disadvantages such as frequent dosing and low bioavailability.
Materials
Liquorice powder was procured from Yucca Enterprises., Mumbai. Tri sodium citrate, Calcium carbonate, Tween 80, Liquid paraffin, and Conc HCl, was purchased from Loba chemie, Mumbai, India. Sodium alginate and gellan gum was obtained from Hi media laboratories Mumbai
Sample collection and extraction
The collected liquorice roots and rhizomes samples were then dried and powdered. The powdered Glycyrrhiza glabra samples are subjected to reflux condensation using distilled water at 60 °C. A filtered sample(extract) was collected, dried well and stored. The extract was then subjected to phytochemical testing to identify the presence of alkaloids, saponins, flavonoids, steroids, glycosides and phenols [4].
Analytical methods development by UV spectroscopy
Accurately weighed, 60 mg of extract was dissolved in 0.1N HCL, and the same was made up to 10 ml with the same solvent to get 6000µg/ml. 0.5 ml of the first stock solution was transferred to another volumetric flask it was made up to 10 ml using 0.1N HCL of pH 1.2. This solution was scanned between 200-400 nm. The extract showed maximum absorbance at 263 nm, which was used for further analysis.
The standard plot of liquorice extract
Primary stock solution of strength 6.0 mg/ml was prepared in 0.1 N HCL and further diluted with the same to get secondary stock solution i.e. 300µg/ml. From the second stock solution, 0.5, 1.0,1.5, 2.0, 2.5, and 3 ml solution was pipetted out into a series of 10 ml volumetric flasks and volume was made up to the mark by using 0.1 N HCL to get concentrations of 15, 30, 45, 60, 75 and 90 µg/ml. The absorbances of these solutions were measured against blank 0.1 N HCL using a UV spectrophotometer at 263 nm.
Formulation and characterisation of in situ gel
Design of experiment
Based on initial studies and published literature, the factor influencing the formation of in situ gels was identified as the concentration of sodium alginate, gellan gum and stirring time. The formulation optimization was done using Design Expert Software (version 11.0.3.0 64-bit, Stat-Ease, Inc. Minneapolis, MN, U. S. A) [14]. 32factorial design was applied where the concentration of sodium alginate and gellan gum was taken as independent factors, whereas viscosity, gel strength, onset of flotation, and drug release at 12 h as dependent variables. The model obtained from regression analysis is expressed in the form of the following equation:
Yi= β0+β1B+β2B+β3AB+β4A2+β5B2
Formulation of in situ gel
The pH-triggered ionic gelation method was employed to prepare in situ gel. The required quantities of sodium alginate, gellan gum, calcium carbonate, trisodium citrate and propylparaben are weighed accurately, along with measured amounts of Tween 80 and liquid paraffin. Various concentrations of gelling polymer (sodium alginate and gellan gum) were dissolved in deionised water with a weighed amount of trisodium citrate on a magnetic stirrer at 70 °C. After this above solution had cooled to 40 °C, calcium carbonate was added. In another beaker, quantities of Tween 80 and liquid paraffin were added and kept for stirring in a magnetic stirrer. Water was then added drop by drop to form a uniform emulsion, followed by adding the extract solution with continuous stirring. Then, the polymeric solution was added to this drug solution, followed by a preservative, i.e. propylparaben. Finally, the volume was adjusted with deionised water, and the resultant solution was stirred well [15, 16].
Evaluation of in situ gelling formulations
Determination of visual appearance
Visual appeal is one of the essential aspects of the formulation. All the formulations were visually examined for their appearance, clarity and consistency.
Measurement of the pH
pH is one of the crucial characteristics that must be considered in the development of the formulation. The formulation's pH should be maintained so that it does not cause any irritation upon administration, and the formulation should remain stable at that pH. The pH of each formulation was measured using a calibrated pen pH meter. Reading was recorded three times for each formulation, and averages taken were considered [17].
Table 1: Factors and their values
| Independent variables | Levels | Dependent variables | Goal | |
| -1 | +1 | |||
Conc. of sodium alginate (A, mg) Conc. of gellan gum (B, mg) |
750 500 |
1250 1000 |
Viscosity (cps) Y1 Gel strength (sec) Y2 Onset of flotation (sec) Y3 Drug release at 12 h (%) Y4 |
Targeted 500 cps Maximum Minimum Maximum |
Table 2: Formation composition batches of in situ gels as per 32 full factorial design for 60 ml formulations
| Form. code | Sod. alginate (mg) | Gellan gum (mg) | Extract (mg) |
Trisod. citrate (mg) | Calcium carbonate (mg) |
Tween 80 (ml) |
Liq. paraffin (ml) |
Propyl paraben (mg) |
| 1 | 750 | 500 | 100 | 200 | 1000 | 2.5 | 2.5 | 10 |
| 2 | 1000 | 500 | 100 | 200 | 1000 | 2.5 | 2.5 | 10 |
| 3 | 1250 | 500 | 100 | 200 | 1000 | 2.5 | 2.5 | 10 |
| 4 | 750 | 750 | 100 | 200 | 1000 | 2.5 | 2.5 | 10 |
| 5 | 1000 | 750 | 100 | 200 | 1000 | 2.5 | 2.5 | 10 |
| 6 | 1250 | 750 | 100 | 200 | 1000 | 2.5 | 2.5 | 10 |
| 7 | 750 | 1000 | 100 | 200 | 1000 | 2.5 | 2.5 | 10 |
| 8 | 1000 | 1000 | 100 | 200 | 1000 | 2.5 | 2.5 | 10 |
| 9 | 1250 | 1000 | 100 | 200 | 1000 | 2.5 | 2.5 | 10 |
| 10 | 1000 | 750 | 100 | 200 | 1000 | 2.5 | 2.5 | 10 |
In vitro gelation study
This is the most critical evaluation parameter for gastroretentive in situ gelling systems. Due to ionic interaction, these systems should have a short gelation time and lead to sol-gel transition in the acidic environment. It was done by placing 5 ml of simulation gastric fluid (0.1N HCL, pH 1.2) in a 15 ml borosilicate test tube maintained at 37 °C, followed by adding 1 ml of the formulation using a pipette. The pipette was positioned facing the surface of the fluid in the test tube and slowly released the formulation from the pipette. When formulation was come in contact with a gelation medium, it quickly converts in to gel-like structure.
Based on the stiffness of the formed gel and the duration for which this gel remains, the in vitro gelling capacity of the formulation was investigated.
The in vitro gelling capacity was divided into 3 categories depending on gelation time and the period the formed gel remains.
(+): Gels in a few seconds and disperse immediately
(++): Immediate gelation, does not disperse rapidly
(+++): Gelation, after a few minutes, remains as for an extended period [12, 18].
Determination of viscosity
Viscosity is an important parameter as this formulation is meant for oral administration. The viscosities of these formulations should be such that they should remain easily pourable and administrated to patients. The viscosity is determined by using Brookfield’s digital viscometer DV-II+Pro. 20 ml of the formulation was taken in a beaker at room temperature. The T bar spindle was lowered perpendicularly towards the centre of the beaker, ensuring that the spindle did not touch the bottom of the jar. The viscosities of the formulation were determined at 50 rpm and measurement was for done for 6 times with fresh samples and average reading was taken.
In vitro buoyancy study
Floating lag time and floating in situ gel formulations' duration are the main parameters examined in in vitro buoyancy study. It is conducted in a USP type II dissolution apparatus using 0.1N HCL (simulated gastric fluid) as the dissolution medium at 37±0.5 °C. 10 ml of the formulation was placed in the dissolution medium. The time that is taken by the formulation on the surface of the medium (floating lag time) and the time duration for which the formulation remained buoyant (duration of floating) were noted [19].
Determination of drug content
Percentage drug content gives information about the amount of drug in the formulation and it should be within limits stipulated by the standard monograph. 5 ml of formulation equivalent to 10 mg of the drug was added to 80 ml of 0.1N HCL, pH 1.2 and stirred for 1hr in a magnetic stirrer. After 1h the solution was filtered and diluted with 0.1N HCL, pH 1.2. The concentration was then determined by UV visible spectrophotometer at 263 nm against blank solution [20].
Measurement of water uptake by the gel
The extent to which the swelling of the in situ gel takes place can be measured in term of percentage weight gain by the in situ gel. The measurement of the water uptake by the in situ gel can be done using a thermo gravimetric analyser. The present study a simple method has been used to measure the water uptake by the gel. In order to conduct this study, the in situ gel formed in 40 ml of 0.1N HCL, pH 1.2 has been used. Gel part is separated from the buffer and the excess buffer was blotted out using Whatman filter paper. The gel was initially weighed and noted, followed by adding 10 ml distilled water to the gel. After every 30-minute interval, water was decanted and weighed was noted, and the difference between initial and final weight was calculated and recorded [21].
Measurement of density of gel
For this current study low density is an important aspect with respect to gastric fluid for the system to float. The system that exhibits buoyancy it should have a density less than that of gastric content, approximately 1 gm/cm3. Hence 30 ml of in situ formulation was poured in to a beaker containing 50 ml of 0.1N HCL. 10 ml of gel formed was taken in a measuring cylinder and weight of the gel was measured. The density was calculated using the weight and the volume of the gel. This method is applied for all the formulations [22].
Measurement of gel strength
This gel strength gives an idea about the tensile strength of the gelled mass. It gives the ability of the gelled mass to withstand the peristaltic movements inside the body. Gel strength depends on the concentration of gelling agent as well as the cationic source. 30 gm of the gel was taken in a 50 ml beaker and 50 gm weight was placed on the centre of the surface of gel and allowed to penetrate through the gel. The time taken by the 50 gm weight to penetrate 5 cm down through the gel was noted for all the formulations [23].
In vitro drug release
In vitro studies are conducted to get the data regarding the amount of drug released at a definite time. The drug release of the formulation was determined by using a USP Dissolution apparatus (type II) with a paddle stirrer at 50 rpm. This slow speed avoids the unnecessary breaking of the gelled formulation. 500 ml of simulated gastric fluid (0.1N HCL, pH 1.2) was used as a dissolution medium, and temperature was maintained at 37±0.5 °C. 10 ml of the formulation was introduced into the dissolution vessel without disturbing the dissolution medium, resulting in the formulation of in situ gel. At each interval, 3 ml of the sample was withdrawn and replenished with fresh medium. The samples collected were filtered, suitably diluted and analysed. The absorbance of the drug in the collected samples was analysed at 263 nm using UV spectrophotometer. Each study is conducted in triplicate till 12h interval [24].
Compatibility studies of extract and polymers
The development of dosage form involves the drug being blended with different excipients to enhance the manufacturability and improve the ability to deliver the drug effectively. The interaction between extract and excipients can significantly alter the formulation's chemical nature, stability, therapeutic efficacy, safety and bioavailability. Thus, a thorough analysis of the possible incompatibilities between the drug and excipients is an important parameter of the pre-formulation study. Commonly used to determine the physical and chemical interaction include spectroscopic methods, thermal analysis, chromatographic methods and dissolution test etc. In this study, the possibility of interaction between the drug and excipient was detected by Fourier transform infrared spectroscopy (FTIR) sampling tool [25].
Stability studies
The optimized formulation of in situ gel was placed in amber coloured bottle with an aluminium cap as a closure and tightly sealed. The stability study was carried out by subjecting the formulation to different temperature conditions, i.e., 5 °C±3 °C (refrigerator), room temperature of 25 °C±2 °C/60 %±5 % RH and accelerated temperature 40±2 °C/75%±5% RH (thermo stability chamber) for a period of 1 mo. Samples were withdrawn periodically (0, 15 and 50 d) and evaluated for visual appearance, drug content, pH as well as floating behaviour [26].
Extraction and phytochemical testing
The aqueous extract of Glycyrrhiza glabra was a yellowish-brown color. The preliminary phytochemical investigation revealed that the plant extract included the presence of alkaloids, steroids, flavonoids, glycosides and phenols.
Determination of λmax and a calibration curve of Glycyrrhiza glabra extract
The U. V absorption spectra of Glycyrrhiza glabra of the extract is shown in fig. 1 and highest peak is observed at 263 nm, which was taken as maximum wavelength of absorption (λmax) and all the analysis were carried out at this wavelength.
The calibration curve was plotted by measuring the absorbance at 263 nm given fig. 2. The standard calibration plots of the drugs were prepared in 0.1N HCL, pH 1.2. The UV absorption data of extract at 263 nm showed good linearity with the regression coefficient (R2) of 0.9947 over the concentration range 15-90 µg/ml passing through the origin and hence it follows the Beer–Lamberts law.
Formulation and characterization of in situ gel formulations
Statistical analysis of experimental design
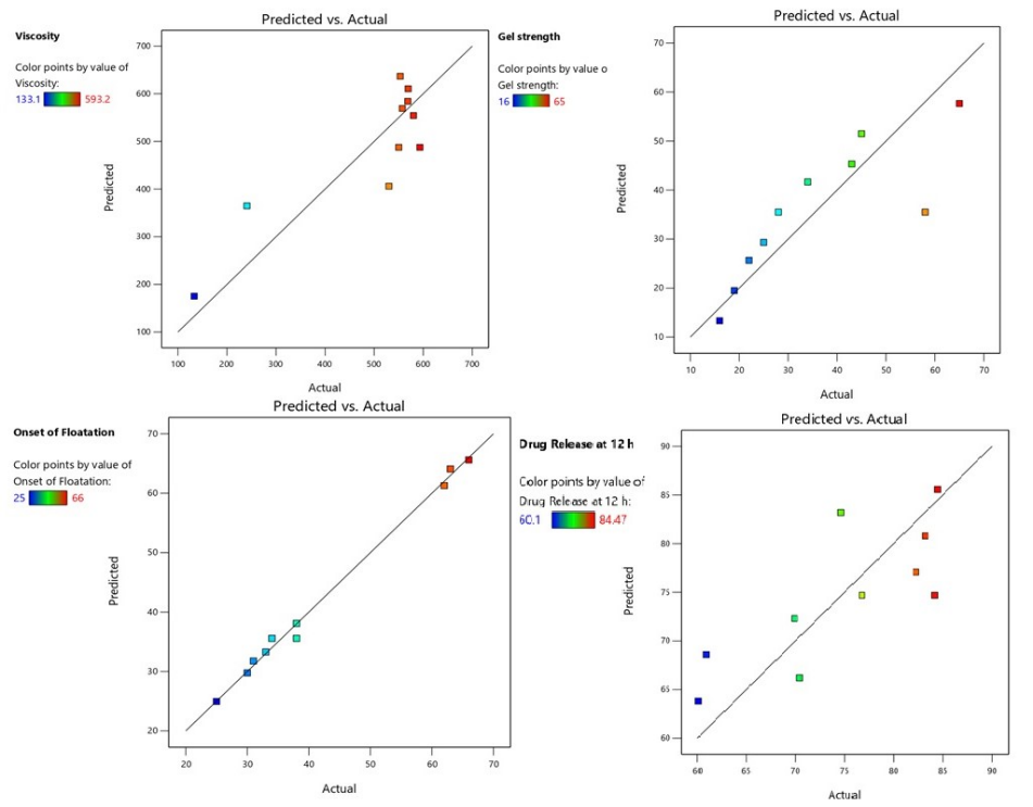
In situ, gel formulations were prepared by pH and ion triggering mechanisms, taking different polymer concentrations such as sodium alginate and gellan gum. The result and regression analysis are shown in table 1 and 2 and fig. 3.

Fig. 1: UV spectrum of the extract

Fig. 2: Standard plot of liquorice extract in 0.1N HCL by UV visible spectrophotometer at 263 nm
Viscosity
The effect of the concentration of sodium alginate and gellan gum on the viscosity of formulations are shown in table 1, and fig. 2 a and 3a, and the result revealed that with an increase in gellan gum concentration from 500 mg–1000 mg, there was an increase in viscosity. In the case of sodium alginate not showing much effect, gellan gum significantly affects the viscosity of in situ gel. Regression analysis was then applied further to understand the effect of formulation variables simultaneously on viscosity, as shown in table 2. The polynomial model implied significance with a model f-value of 6.17. the predicted R2 of 0.2506 is in reasonable agreement with the adjusted R2 of 0.6330; i.e. the difference is more than 0.2. The following polynomial equation was obtained from the result of the analysis:
Viscosity =+487.57+81.63A+122.85B*-107.87AB
Gel strength
The effect of the concentration of sodium alginate and gellan gum on the gel strength of formulations obtained from 32 full factorial designs showed that with an increase in both gellan gum and sodium alginate concentration, there was an increase in gel strength (table 1 and 2 and fig. 2b and 3b).
Regression analysis was then applied to understand further the effect of formulation variables simultaneously on gel strength. The polynomial model implied significance with a model f-value of 8.10. the predicted R2 of 0.5384 is in reasonable agreement with the adjusted R2 of 0.6121; i.e. the difference is less than 0.2. The following polynomial equation was obtained from the result of analysis:
Gel strength =+35.50+6.17A+16.0B*
Onset of flotation
The effect of sodium alginate and gellan gum concentration on the onset of flotation is shown in Tables 1 and 2 and fig. 2c and 3c. the result disclosed that as the concentration of gellan gum and sodium alginate increased, there was a significant increase in the onset of flotation. Regression analysis was then applied to understand further the effect of formulation variables simultaneously on the onset of flotation. The polynomial model implied significance with model f-value of 156.10. the predicted R2 of 0.9784 is in reasonable agreement with the adjusted R2 of 0.9885; i.e. the difference is less than 0.2. The following polynomial equation was obtained from the result of the analysis:
Onset of flotation = =+35.57+3.17A*+17.17B*-1.0000AB-0.6429A²+11.36 B² *
Drug release at 12h
Fig. 2d and 3d and Tables 1 show the effect of sodium alginate and gellan gum concentration on drug release at 12h. The results reveal that as the concentration of sodium alginate from 750 mg–1250 mg, the increase there is a decrease in the drug release due to the high viscosity of the formulation [27]. In the case of gellen, gum does not show much effect hence, sodium alginate show significantly affects the rate of drug release at 12h.
The regression analysis result is given in table 2. The polynomial model implied significant with a model f-value of 5.48. the predicted R2 of 0.2209 is in reasonable agreement with the adjusted R2 of 0.4990; i.e. the difference is more than 0.2. The following polynomial equation was obtained from the result of analysis:
Drug release at 12h =+74.70-8.49A *-2.39B
Table 1: Results of responses of in situ gels as per 32 full factorial design
Form. No. |
Independent variables | Dependent variables | ||||
A: Sodium Alginate (mg) |
B: Gellan gum (mg) |
Viscosity (cps) Y1 |
Gel strength (sec) Y2 |
Onset of flotation (sec) Y3 |
Drug release at 12h(%) Y4 |
|
| F1 | 750 | 500 | 133.1±4.87 | 16.8±1.12 | 25±0.85 | 84.47±1.8 |
| F2 | 1000 | 500 | 240.7±3.51 | 18.9±1.08 | 30±1.3 | 82.28±2.3 |
| F3 | 1250 | 500 | 580.1±6.26 | 22.7±1.18 | 33±1.2 | 60.91±2.2 |
| F4 | 750 | 750 | 530.1±4.57 | 25.3±1.11 | 31±1.8 | 74.62±1.9 |
| F5 | 1000 | 750 | 593.2±3.37 | 28.1±1.24 | 34±1.1 | 76.78±1.2 |
| F6 | 1250 | 750 | 557.4±3.24 | 34.8±1.18 | 38±1.4 | 70.42±2.7 |
| F7 | 750 | 1000 | 553.1±3.48 | 43.1±1.08 | 62±1.2 | 83.27±3.3 |
| F8 | 1000 | 1000 | 569.3±2.62 | 45.3±1.11 | 63±1.8 | 69.95±2.8 |
| F9 | 1250 | 1000 | 568.6±4.32 | 65.1±1.12 | 66±1.3 | 60.18±3.1 |
| F10 | 1000 | 750 | 550.5±3.35 | 58.7±1.11 | 38±1.5 | 84.18±1.7 |
mean±SD (n=3)
Table 2: Summary of regression analysis and ANOVA
| S. No. | Factor | Viscosity (Adjusted R2 =0.6330) |
Gel strength (Adjusted R2 =0.6121) | Onset of flotation | Drug release At 12h |
||||
| Β value | p-value | β value | P Value | β value | p-value | β value | p-value | ||
| 1. | Intercept | 487.57 | 0.0289* | 35.50 | 0.0151* | 35.57 | 0.0001* | 74.70 | 0.0369* |
| 2. | A: Sod. alginate | 81.63 | 0.0868 | 6.17 | 0.1910 | 3.17 | 0.0094* | -8.49 | 0.0153* |
| 3. | B: Gellan Gum | 122.85 | 0.0217* | 16.00 | 0.0071* | 17.17 | ˂0.0001* | -2.39 | 0.3998 |
| 4. | AB | -107.87 | 0.0695 | - | - | -1.00 | 0.2934 | - | - |
| 5. | A2 | - | - | - | - | -0.64 | 0.5848 | - | - |
| 6. | B2 | - | - | - | - | 11.36 | 0.0005* | - | - |
*P value is less than 0.05

Fig. 3: Predicated vs. Actual graphs of a) viscosity b) gel strength c) onset of flotation d) drug release at 12h of in situ gel formulations
Optimization
The optimized formula was selected based on constraints like the minimum onset of flotation, maximum gel strength, targeted viscosity and maximized drug release. The software gave a solution with maximum desirability, i.e.,>.0.8. The selected formulation was prepared according to the solution the software gave, containing 750 mg of sodium alginate and 1000 mg of gellan gum. The predicted viscosity, gel strength, onset of flotation and drug release at 12h given by software were 575.0 cps, 41.05 sec, 51.17 sec and 81.43 %, respectively, whereas observed value is 568.89 cps, 42.91 sec, 53.17 sec and 82.69% respectively. The percentage error was less than±5 %, which is acceptable.
Evaluations of in situ gel formulations
Appearance, pH, gelling capacity and viscosity
All the in situ gel formulations were easily pourable and had an appealing appearance. All the prepared formulations had a macaroon cream-white appearance. The formulations were free-running and formed no gelation at room temperature. The pH of all the formulations was within the orally acceptable range. Therefore, it will not cause any irritation upon administration of the formulations. Upon contact with the gelation medium, all the formulations had undergone sol-to-gel transition in the presence of gel-forming polymers like sodium alginate, gellan gum, calcium carbonate, and trisodium citrate. The in situ released calcium ion from the calcium citrate complex gets entrapped in polymeric chains, resulting in the cross-linking of polymeric chains to form a gel matrix. Thus, stiff gels were formed with formulations containing high concentrations of sodium alginate and gellan gum [28].

Fig. 4: Response surface curve depicting the effect of sodium alginate and gellan gum on the a) viscosity b) gel strength c) onset of flotation d) drug release at 12h of in situ gel formulations
Table 3: Appearance, pourability, pH and gelling capacity of the in situ gel formulations
| Form. code | Appearance | Pourability | pH | Gelling capacity |
| F1 | Macaroon cream | Easily pourable | 6.86±0.06 | +++ |
| F2 | Macaroon cream | Easily pourable | 6.98±0.09 | +++ |
| F3 | Macaroon cream | Easily pourable | 7.01±0.04 | +++ |
| F4 | Macaroon cream | Easily pourable | 7.08±0.02 | +++ |
| F5 | Macaroon cream | Easily pourable | 6.78±0.07 | +++ |
| F6 | Macaroon cream | Pourable | 6.83±0.04 | +++ |
| F7 | Macaroon cream | Easily pourable | 6.96±0.05 | +++ |
| F8 | Macaroon cream | Pourable | 7.18±0.03 | +++ |
| F9 | Macaroon cream | Pourable | 7.20±0.07 | +++ |
| F10 | Macaroon cream | Easily pourable | 7.13±0.02 | +++ |
| Fopt. | Macaroon cream | Easily pourable | 7.11±0.19 | +++ |
(+++): Gelation, after a few minutes, remains as for an extended period
The viscosity order of the formulations from F1 to F10 is F1˂ F2˂ F4˂ F10˂ F7˂ F6˂ F3˂ F5˂ F9˂ F8 as shown in table 1. The increase in viscosity of the formulations observed with the increase in the polymer concentration can be related to the increasing crosslinking of the polymer [29]. Formulations F8 and F9 were too viscous, making them difficult to pour from the container (table 3).
In vitro buoyancy study. drug content, density and gel strength
The time taken by the formulation to emerge on the surface of the medium is the floating lag time, and the time period for which the formulation constantly floated on the surface of the medium is known as floating duration. The floating ability of the formulations mainly depends on the concentration of gelling polymers, carbon dioxide and cation source. All the in situ gel formulations had a floating lag time of less than 2 min and floated for more than 12h shown in table 4. Therefore, the extended duration of floating was responsible for the sustained release of drugs from the in situ gel formulations [28]. The percentage of drug content of all the formulations was in the range of 83.55 to 95.28, indicating the uniform distribution of drugs in the formulations as per the monograph. Density is an important parameter as far as the buoyancy ability of gastroretentive dosage form is concerned. For the formulation to float on the gastric contents, it should have a density less than or equal to that of the gastric contents (1.004 gcm-3). The density of all the formulations given in table 4 has a density less than the above-specified value. As a result, the floating of the gastroretentive in situ gel is promoted in the stomach. All the formulations showed good gel strength, ranging from 16.8 sec for F1 to 65.11 for F9 formulations with a combination of sodium alginate and gellan gum shown in table 4. Gel strength gives an indication of the tensile strength of the gelled mass. It demonstrates the ability of the gelled mass to withstand the in vivo peristaltic movement.
Table 4: Floating lag time, floating duration, drug content, density and gel strength of the in situ gel formulations
| Form. code | Floating lag time (sec) | Floating duration (hours) | Drug content (%) | Density (g/cm3) | Gel strength (sec) |
| F1 | 25±1.83 | ˃12 | 85.33±0.03 | 0.438±0.11 | 6.8±1.12 |
| F2 | 30±1.35 | ˃12 | 83.54±0.07 | 0.458±0.14 | 18.9±1.08 |
| F3 | 33±1.29 | ˃12 | 92.44±0.05 | 0.497±0.07 | 22.7±1.18 |
| F4 | 31±1.81 | ˃12 | 88.17±0.09 | 0.512±0.18 | 25.3±1.10 |
| F5 | 34±1.68 | ˃12 | 89.95±0.05 | 0.544±0.12 | 28.1±1.24 |
| F6 | 38±1.45 | ˃12 | 95.28±0.03 | 0.601±0.15 | 34.8±1.18 |
| F7 | 62±1.24 | ˃12 | 89.24±0.06 | 0.536±0.11 | 43.1±1.08 |
| F8 | 63±1.49 | ˃12 | 87.82±0.09 | 0.609±0.09 | 45.3±1.11 |
| F9 | 66±1.84 | ˃12 | 89.66±0.08 | 0.626±0.17 | 65.1±1.12 |
| F10 | 38±1.53 | ˃12 | 93.86±0.02 | 0.588±0.91 | 58.7±0.113 |
| Fopt. | 53±1.22 | ˃12 | 82.48±0.09 | 0.569±0.19 | 42.91±1.02 |
mean±SD (n=3)
Water uptake by the gel
The amount of water associated with the drug delivery system plays an important role in determining the release of the drug from the polymer matrix. The drug release mainly involves water penetration into the matrix and the simultaneous release of the drug through diffusion or dissolution. The percentage of water uptake of all the formulations is given in fig. 5. Compared with other formulations, F9 showed a better water uptake of 19.22%, whereas the optimized formulation was 17.2 %.
The high water uptake may be because of the high swelling capacity of the polymer. As the concentration of the polymer increases, the water uptake by the gel also increases [12].

Fig. 5: Water uptake by the in-situ gel formulations. Data is given as mean of triplicate
In vitro drug release studies
From the in vitro drug release studies, it was observed in fig. 6, that as the gelling agent concentration increases, the drug release from the gastroretentive in situ gel prepared decreased. The drug-releasing pattern of different formulations contains different concentrations of gelling agents are given as follows: F9˂ F3˂ F8˂ F6˂ F4˂ F5˂ F2˂ F7˂ F10<Fopt ˂ F1 at the end of 12h. as the concentration of sodium alginate, gellan gum increased there was a decrease in the drug release [30]. Among all the formulations, F9 shows a slow and sustained release pattern.
On the basis of all the evaluated parameters of in situ gelling formulation, Fopt was selected as the optimized formulation. The formulation was selected based on its easy pourability and viscosity, near-to-neutral pH, gel strength and maximum drug release at the end of 12 h. All other formulations displayed incompetency in one or more of the above parameters.
For the investigation of drug release kinetics, release data of all in situ gel formulations were fitted to various kinetic models. All formulations followed zero-order release kinetics with a high linearity regression coefficient when compared to first-order kinetic models. The mechanism of drug release from in situ gel formulation was studied by fitting the data into Higuchi’s Model and Korsemeyer Peppas Model. As per drug release plot, Higuchi’s Model showed good linearity when compared with Korsemeyer Peppas Model, which shows that the drug release is governed by a matrix diffusion process. It is dictated by the fact that gelling agent present in the swell upon imbibition of water created gelled matrix through which the drug must diffuse.
Drug excipient compatibility studies
No considerable changes in the IR peaks of the drug extract were observed in the optimized formulation when compared with the pure extract as per fig. 7 and 8. This indicates no chemical incompatibility between drug extract and other excipients.

Fig. 6: In vitro drug release profile of in situ gel formulations

Fig. 7: FTIR spectra of Glycyrrhiza glabra extract

Fig. 8: FTIR spectra of optimized formulation
Table 6: Results of stability studies of the in situ gel formulation
| Condition | Days | Appearance | % drug content | Gelling capacity | Floating lag time (sec) |
| 5±3 °C | 0 d | Macaroon cream | 95.11±0.9 | +++ | 54.60±0.89 |
| 15 d | Macaroon cream | 94.53±0.3 | +++ | 55.71±0.72 | |
| 30 d | Macaroon cream | 93.78±0.5 | +++ | 55.43±0.88 | |
25±2 °C/ 60%±5% RH |
0 d | Macaroon cream | 95.25±0.3 | +++ | 53.76±0.65 |
| 15 d | Macaroon cream | 94.44±0.5 | +++ | 52.32±0.71 | |
| 30 d | Macaroon cream | 93.78±0.4 | +++ | 51.67±0.90 | |
40±2 °C/ 75%±5% RH |
0 d | Macaroon cream | 95.05±0.2 | +++ | 54.88±0.75 |
| 15 d | Linen cream | 93.47±0.7 | +++ | 52.45±0.54 | |
| 30 d | Linen cream | 91.66±0.3 | +++ | 50.37±0.73 |
mean±SD (n=3)
Stability studies
Stability studies results indicated no significant change in visual appearance, floating behaviour and drug content, as shown in table 6.
Gastro-retentive drug delivery is an approach to prolong gastric resident time, thereby targeting site-specific drug release in the upper gastrointestinal tract (GIT) for local and systemic effects. The formulated in situ gel of Glycyrrhiza Glabra L. extract was gelled and floated in the pH conditions of the stomach within 2 min and extended for over 12h. this shows that formulation can remain for a longer duration in the stomach. Further In vitro drug release studies concluded that the drug was released sustained way for a prolonged time. Hence, it can be concluded that the stomach-specific in situ forming gel of Glycyrrhiza glabra L. extract can be an effective formulation with improved efficacy, patient compliance and cost-effectiveness over conventional formulation.
Nil
All authors are contributed equally.
Declared none
Dhingra D, Parle M, Kulkarni SK. Memory enhancing activity of Glycyrrhiza glabra in mice. J Ethnopharmacol. 2004;91(2-3):361-5. doi: 10.1016/j.jep.2004.01.016, PMID 15120462.
Jain HK, Swami PN, Gujar KN. Formulation and evaluation of an antimicrobial mucoadhesive dental gel of Azadirachta indica and Glycyrrhiza glabra. Int J App Pharm. 2019 Mar 7;11(2):176-84. doi: 10.22159/ijap.2019v11i2.29723.
Bhusal S, Sharma KR. Evaluation of antioxidant and antibacterial activity of Glycyrrhiza glabra root extracts. Asian J Pharm Clin Res. 2020 Oct 7;13(10):166-70. doi: 10.22159/ajpcr.2020.v13i10.38950.
Sakthi A. Preliminary phytochemical screening and in-vitro free radical scavenging activity of root extracts of glycyrrhiza glabra L. Asian J Pharm Clin Res. 2016;9(6):85-90. doi: 10.22159/ajpcr.2016.v9i6.13675.
Farina C, Pinza M, Pifferi G. Synthesis and anti-ulcer activity of new derivatives of glycyrrhetic, oleanolic and ursolic acids. Farmaco. 1998;53(1):22-32. doi: 10.1016/s0014-827x(97)00013-x, PMID 9543723.
Manikiran SS, Priya NS, Molly BA, Nori LP. Fabrication and characterization of fast-dissolving films of eclipta prostrate leaves extract to treat mouth ulcers. Int J App Pharm. 2021 Sep 7;13(5):263-71. doi: 10.22159/ijap.2021v13i5.41597.
Khare CP. Indian medicinal plants. New York: Springer Science; 2007.
Sengupta IS, Shah SH, Shah N. A review on alginate forming in situ gel for treating peptic ulcers and reflux disorders. J Pharm Sci Bioscientific Res. 2015;5(2):172-9.
Chavanpatil M, Jain P, Chaudhari S, Shear R, Vavia P. Development of sustained release gastroretentive drug delivery system for ofloxacin: in vitro and in vivo evaluation. Int J Pharm. 2005 Nov 4;304(1-2):178-84. doi: 10.1016/j.ijpharm.2005.08.009, PMID 16198522.
Rohith G, Sridhar BK, Srinatha A. Floating drug delivery of a locally acting H2-antagonist: an approach using an in situ gelling liquid formulation. Acta Pharm. 2009;59(3):345-54. doi: 10.2478/v10007-009-0021-z, PMID 19819830.
Hasan MJ, Kamal BK. Formulation and evaluation of ranitidine hydrochloride as floating in situ gel. Int J Pharm Pharm Sci. 2014;6(2):401-5.
M SS, Priya SN, Maxwell AM. Formulation and evaluation of novel in situ gel of lafutidine for gastroretentive drug delivery. Asian J Pharm Clin Res. 2018;11(8):88-94. doi: 10.22159/ajpcr.2018.v11i8.25582.
Kumar D, Kapoor P. An insight to in situ gel-forming stomach-specific drug delivery system. Pharm Tutor. 2014;2(2):25-32.
Sebastian G, Priya S, James JP, Abhilash M, Sannidhi PVK. Computational tools assisted formulation optimization of nebivolol hydrochloride-loaded PLGA nanoparticles by 32 Factorial designs. Int J Appl Pharm. 2022;14(4):251-8.
Saurabh SS, Rathore KS, Ghosh S. Formulation and evaluation of cetirizine hydrochloride pH trigged in-situ ocular gel. Int J App Pharm 2023;15(2):106-16. doi: 10.22159/ijap.2023v15i2.46040.
Swathi G, Lakshmi PK. Design and optimization of hydrodynamically balanced oral in situ gel of glipizide. J Appl Pharm Sci. 2023;5(1):31-8. doi: 10.7324/JAPS.2015.54.S6.
Parthiban S, Shivaraju SGP, Vikneswari A. Formulation and evaluation of gastroretentive drug delivery of ornidazole in situ gelling system using gellan gum. Int J Res Pharm Nano Sci. 2013;2(6):747-56.
Jayswal BD, Yadav VT, Patel KN, Patel BA, Patel PA. Formulation and evaluation of floating in situ gel-based gastroretentive drug delivery of cimetidine. Int J Pharm Res Scholars. 2012;1(2):327-37.
Patel RP, Ladani R, Dadhaniya B, Prajapathi BG. In situ gel delivery systems for chlordiazepoxide using artificial neural network. Int J Pharm Health Sci. 2013;1(1):10-2.
Pandya K, Agarwal P, Dashora A, Sahu D, Garg R, Pareta KL. Formulation and evaluation of oral floatable in situ gel of rantidine hydrochloride. J Drug Deliv Ther. 2013;3(3):90-7.
Parekh KS, Shah KV. Formulation development and evaluation of oral in situ floating gel of domperidone. Int J Pharm Sci. 2013;4(3):228-46.
Gulecha BS, Shahi S, Lahoti SR. Floating in situ gel gelling drug delivery system of verapamil hydrochloride. Am J Pharm Tech Res. 2012;2(4):955-69.
Parthiban S, Shivaraju SGP, Vikneswari A. Formulation and evaluation of gastroretentive drug delivery of ornidazole in situ gelling system using gellan gum. Int J Res Pharm Nano Sci. 2013;2(6):747-56.
Wamorkar V, Varma MM, Manjunath SY. Formulation and evaluation of stomach-specific in situ gel metoclopramide using natural, biodegradable polymers. Int J Res Pharm Biomed Sci. 2011;2(1):193-201.
Sharma YR. Chapter 3. Infrared spectroscopy. In: Elementary organic spectroscopy. 4th ed. New Delhi: S. Chand; 2007. p. 90-133.
WHO. GMP and ICH stability testing guidelines for drug products. The Pharm Sci–Pharm Pathway; 2002;2:72-9.
Sagar S, Srinivas L. Development and evaluation of raft forming gastro retentive floating drug delivery system of nizatidine by design of experiment. Int J App Pharm. 2022 Mar 7;14(2):242-51. doi: 10.22159/ijap.2022v14i2.43728.
Padmasri B, Nagaraju R. Formulation and evaluation of novel in situ gel system in the management of rheumatoid arthritis. Int J Appl Pharm. 2022;14:62-8.
Maheswaran A, Padmavathy J, Nandhini V, Saravanan D, Angel P. Formulation and evaluation of floating oral in situ gel of diltiazem hydrochloride. Int J App Pharm. 2016 Dec;9(1):50. doi: 10.22159/ijap.2017v9i1.15914.
Srinivas L, Sagar S. Design, optimization, and evaluation of raft forming gastro retentive drug delivery system of lafutidine using box–behnken design. Int J Appl Pharm. 2022 Jan 7;14(1):266-74.