
Department of Pharmaceutical and Toxicological Chemistry, Peoples Friendship University of Russia (RUDN University), 6 Miklukho-Maklaya St, Moscow-117198, Russian Federation
*Corresponding author: Gleb V. Petrov; *Email: gleb98.2014@gmail.com
Received: 09 Aug 2023, Revised and Accepted: 23 Oct 2023
ABSTRACT
Objective: Study of physical and chemical activity of biologically active substances containing humic complexes (HCs). Comparison of various preparations available on the market. Development of a modern express method of quality control.
Methods: Preparations containing HCs manufactured by Biotechnology System, BIODORON, Faberlic, etc. Built-in flux density sensor TES-92 (TES Electrical Electronic Corp., Taipei, Taiwan), which was used to determine the flux density of radio thermal emission in the gigahertz range. Zetasizer Nano ZSP (Malvern Panalytical, Worcestershire, UK) was used to determine the size of nanoparticles in preparations containing the HCs and MP with humic acids (HAs).
Results: In the course of experiments for studying the intrinsic radiothermal emission of HAs preparations, differences were found between HAs from different manufacturers; for example, HAs produced by a biotechnology system with a flux density of 35±5 µW/m2 at 37 °C differs several times from similar preparations produced by other companies. When diluting HAs from Biotechnology System 10, 100 and 1000 times, the emissivity of the preparations is preserved. Also, with the expiration of the 2 y shelf life of the preparation, as stated by the manufacturer, a sharp drop in emissivity of 20 times is observed.
Conclusion: The radiothermal activity of HAs preparations revealed during the experiments allows the developing a method that can be utilized to control the quality of manufactured products, as well as control the expiration dates of preparations without opening the primary package.
Keywords: Humic acids, Supramolecular complexes, Thermal radio emission, SARS-CoV-2, DLS, Dynamic laser scattering
© 2024 The Authors. Published by Innovare Academic Sciences Pvt Ltd. This is an open access article under the CC BY license (https://creativecommons.org/licenses/by/4.0/)
DOI: https://dx.doi.org/10.22159/ijap.2024v16i1.49339 Journal homepage: https://innovareacademics.in/journals/index.php/ijap
Humic acids (HAs) are organic compounds observed in water, soil and sediments. Methods of extracting humates from raw materials play an important role in their structure and, as a consequence, in their effect. The formation of HAs is rather a chaotic process; synthesis reactions occur continuously [1]. All of the above allows describing the structure of humates as self-organizing supramolecular complexes.
Paying attention to the pharmacological properties of HAs, it is worth mentioning their antiviral and immunomodulatory activity [2-4]. They have been shown to exhibit antiviral properties with respect to Coxsackie A9 virus, influenza A, and herpes simplex type 1 (HSV-1). HAs selectively inhibited some human type 1 (HIV-1) and type 2 (HIV-2) viruses, cytomegalovirus (CMV), and vaccine viruses [4, 5]. Studies have demonstrated that HAs suppress the replication of SARS-CoV-2, reduce the severity of symptoms in infected patients [3, 6-9].
In addition, HAs have immunomodulatory properties that can help improve the body's ability to fight viral infections. Although more research is needed to fully understand the potential of HAs against SARS-CoV-2, their natural origin and potential efficiency make them an interesting object of study for both researchers and healthcare professionals in the fight against COVID-19.
Several pharmacological properties of humic substances (HSs) are given prominence, among others. HAs contribute well to the detoxification of the body by binding various substrates since amino acids, carbohydrates, steroids are able to bind into a single complex with HAs through the formation of covalent and hydrogen bonds [2, 4, 10]. HSs also exhibit chelating properties, which allows binding them into strong complexes with metal ions. The ability of HAs to exhibit antibacterial and fungicidal properties due to disruption of protein metabolism, as well as to promote the formation of interionic bonds with high-molecular substrates of microorganisms, is not excluded [3, 7, 11]. The combination of the above pharmacological properties opens up vast areas for preparations of HCs for their application in therapies of various etiologies.
Currently, only biologically active supplements (BAS) based on HSs are available on the pharmaceutical market in Russia and abroad–concentrate of Humic Complex (Russia, VimaVita), Vitality Boost HA (USA). Despite the wide range of medicinal properties of humic preparations, there is no base of preclinical and clinical evidences. The difficulty in distributing these preparations in medicine causes the difficulty of their standardization [1]. It is difficult to determine the exact structure of the active substance and provide a list of methods and techniques for its standardization for quality control. Today, there is little knowledge about the structure of HAs, which makes it difficult to apply generally accepted pharmacological and pharmaceutical concepts of drug substances to them.
At this stage of the development of standardization approaches for preparations containing HAs, some techniques are proposed based on the determination of their percentage in the feedstock and the application of IR spectroscopy to identify functional groups [12]. Titrimetric methods for determining the functional groups of acidic nature (alkalimetric and acidimetric methods) have become widespread as well, but it is still impossible to achieve constant accuracy of the results [13]. It once again indicates the complexity of the structure of HCs, their dependence on the place of extraction of raw materials and continuous conformational changes in their supramolecular structure.
The development of HAs preparations involves the study of their physical, chemical, and pharmacological properties, the development of methods for standardization, quality control of both raw material sources of humates and HSs already obtained from the raw materials. Considering that HAs are complex supramolecular structures, we assumed that they would be characterized by thermal radio emission in the gigahertz range and one of the methods to detect the dispersion interaction of the surfaces of supramolecular clusters would be to monitor this emission. The complex structure of nanoparticles leads to the formation of temporary dipoles, which, at a distance of up to 100 nm, due to the formation of an ultrahigh intensity field, leads to the formation of plasma-like areas on the surface of particles that emit in the millimeter range [14].
We have selected preparations of HSs from various manufacturers. Most preparations, when heated to 37 °C, showed an increased level of thermal radio emission in the microwave range. The intrinsic emission flux density depends on the concentration of supramolecular structures and the method of their activation and can reach 30 µW/m2 in the activated state, which exceeds the background values of 1 µW/m2.
In this experimental work, we also used measurements of size spectra of preparations containing MP and HAs as active substances. The measurements were carried out for a more definite understanding of the dependence of the intrinsic radiothermal emission of preparations on the size of the nanoparticles being part of their composition.
Measurement of the thermal radio emission
The experimental samples were humic preparations from various manufacturers: Humic Complex, concentrate 50 ml; Ortilia Secunda, concentrate with HAs; Alnus incana, concentrate with HAs; Crude Turpentine, concentrate with HS (provided by Biotechnology System, Moscow, Russia); as well as Humic Complex, ampoules (BIODORON, Germany); Humic Complex, solution 50 ml (Faberlic, Russia); Humic Complex (Tbilisi). Dilutions were prepared from the concentrate of the Humic Complex by Biotechnology System diluted with Milli-Q bidistillate with concentrations of 1:10, 1:100 and 1:1000.
The flux density of thermal radio emission in the microwave range was determined using a TES92 instrument (TES Electrical Electronic Corp., Taipei, Taiwan) with the device set to anisotropic measurement along Z axis. The measurement results were recorded as the maximum average value of the flux density over a time interval of 300 ms [15].
The measurements were carried out without opening the primary package, the preparations were heated using a solid-state thermostat with Peltier elements and remote temperature control of the samples using a laser infrared thermometer. The unit geometry was not changed and was strictly observed for each sample. The space-time distribution of the microwave background radiation was controlled before each measurement with a height, width, and length pitch of 50 cm. The background radiation did not exceed 1 µW/m2.
DLS
Zetasizer Nano ZSP (Malvern Panalytical, Worcestershire, UK) was used to determine the size of nanoparticles in preparations containing the HC and MP with HAs. The operation of the device is based on the phenomenon of dynamic light scattering, as well as the Brownian motion of dispersed particles in a dispersion medium. The dynamic light scattering technique was used to determine the average hydrodynamic diameter of nanoparticles in the range from 1 nm to 5 µm in diluted liquid disperse systems. The process of measurement with the Zetasizer Nano ZSP device included sample preparation [16, 17]. A series of three suspended samples of sieved MP was prepared in 1.5 ml Eppendorf tubes; the weight of the sample taken was 50 mg. Next, the samples were subjected to centrifugal separation using a centrifuge by Biosan company at 2500g for 20 min. After centrifugal separation, a 200-liter aliquot was taken, added to the test tube, and made up to 1.5 ml with Milli-Q bidistillate. For each measurement, three repeated measurements were performed with the calculation of the average size value. Each measurement consisted of 12 runs. The refractive index was 1.334. The final curve was drawn using the Origin Pro Lab 21 software (fig. 1).
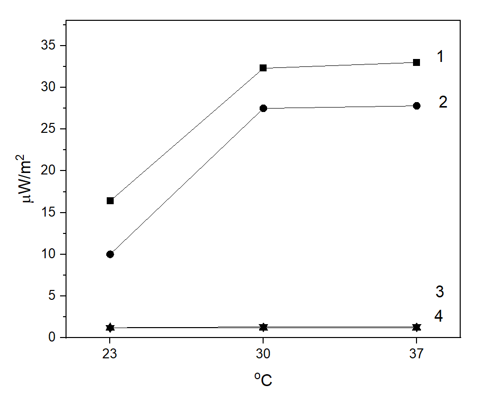
When developing a method for quality control of products without opening the primary package, it is worth paying attention, first of all, to the specificity of the method. In this work, we selected HAs from various manufacturers. In the course of detecting the intrinsic thermal radio emission of these preparations over time (35 min), the HAs produced by the Biotechnology System (Russia) and the one produced in Georgia, when heated to 37 °C, demonstrate the highest emitting capacity, which may indicate the evidence of conformational transitions in heated supramolecular complexes (fig. 2).
An important indicator of each experimental work is the reproducibility of results. Fig. 3 shows a semi-annual time curve of the data obtained by measuring the intrinsic thermal radio emission of the HAs preparation produced by Biotechnology System (Russia).

Fig. 1: Results obtained by the DLS method, showing the volume distribution of fractions of the dispersed phase

Fig. 2: Comparison of thermal radio emission of HCs from different manufacturers in time from 5 min to 35 min, where 1–HAs by biotechnology system, 2–HAs produced in georgia, 3–HAs by faberlic, 4–HAs by biodoron

Fig. 3: Semi-annual time curve for reproducibility of results obtained when measuring the intrinsic thermal radio emission of samples, where 1–HAs produced by system biotechnology, 2–background values
Temperature conditions are an important characteristic for measuring intrinsic thermal radio emission. It is assumed that upon entering the human body, the supramolecular HAs clusters undergo changes and start emitting in the sub-terahertz wavelength ranges. To prove that, thermal radio emission was measured on the samples of the same HAs preparations at different temperatures (fig. 4).

Fig. 4: Comparison of thermal radio emission of three samples of HCs from different manufacturers at three different temperatures, where 1–HAs produced by a biotechnology system, 2–HAs produced in georgia, 3–HAs by Faberlic, 4–HAs by biodoron
Detection limit of the active component of HAs in the preparation produced by the biotechnology system (Russia). Comparison of thermal radio emission signals of a concentrated HAs solution and 10, 100 and 1000 times diluted solutions prepared from this preparation. When comparing the results obtained for the undiluted preparation and 1000-time diluted one, the readings differ by 7 times (fig. 5).

Fig. 5: Comparison of thermal radio emission of HAs without dilutions and diluted HAs, where 1–undiluted HAs, 2–1:10 HAs, 3–1:100 HAs, 4–1:1000 Has
During the temperature 'titration' of the preparation, the dependence of the thermal radio signal on temperature is observed. The temperature range from 30 °C to 35 °C is indicative in terms of sharp increase in the signal which occurs within this range (fig. 6). The curve shows an increase in the radio thermal signal with heating of the preparation to 40 °C.

Fig. 6: Comparison of thermal radio emission of HAs under different temperature conditions (n = 7)
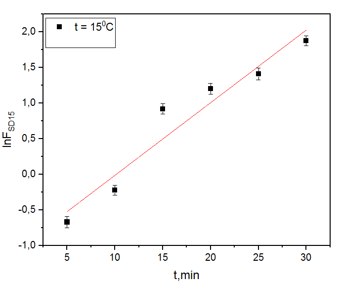
As noted earlier, an important temperature mark for the activation of HAs is the temperature of 35 °C, which is close to the temperature range of the human body. The activation energy was calculated using the Arrhenius equation (fig. 7.1 and 7.2).
Fig. 7.1 shows graphs of the ratio, where F is the density of the radiothermal radiation of the HAs, and t is the time in min. The values of the reaction rate constant (k) for each of the temperature points of the experiment were obtained from these graphs. The reaction rate constant is the tangent of the alpha angle and was calculated by Origin Pro Lab 21 software as the slope value. Considering that this interpretation of the experiment is characterized by a first-order reaction and, knowing the Arrhenius equation, we derive from it a formula for Ea calculation (1.4).
-
; …. (1.1)
lnk=lnA-
; …. (1.2)
Where-k is the reaction rate constant, min-1; lnA-a constant (lnA=0); Ea-activation energy, 
; R-gas constant equal to 8,314 
; T-temperature in Kelvins.
lnk =-
; ……. (1.3)
Ea=-(lnk-R-T) …… (1.4)
Fig. 7.2 shows a graph of the
ratio, where T is the temperature in Kelvins. It was critically important for us to explore the activation energy at three temperatures: 20 °C, 25 °C and 35 °C. According to the results of the calculation, Ea was 10,3±0.2
. This result indicates a sufficiently fast reaction rate in HAs solutions, which may also indicate the rapid formation of dipole-charged supramolecular structures.
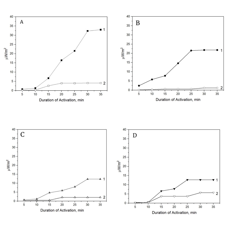
A comparative analysis of various preparations produced by the Biotechnology System (Russia) was carried out. The detection of thermal radio emission allows distinguishing a good quality preparation from an expired one (fig. 8).
Table 1 shows the average maximum values at 37 °C for all preparations selected for the study of thermal radio emission.





Fig. 7.1: Calculation of the activation energy for all temperature points of the experiment. (n = 7)

Fig. 7.2: Calculation of activation energy (Ea) temperature induced by thermal radio emission. (n = 7)


Fig. 8: Comparison of thermal radio emission of various preparations with HAs manufactured in 2022 (1) and 2020 (expired) (2), where A–HAs, B–Ortilia Secunda, C–Alnus Incana, D–Crude Turpentine
Table 1: Comparison of radiothermal radiation of MP+HAs preparations depending on the dimensional spectrum
| Preparations | Dimensional spectra, nm | Flux density at 37 °C, µW/m2 |
| Populus tremula | 245 | 29.8 ± 0.6 |
| Salix alba | 250 | 29.6 ± 0.9 |
| Uva Ursi | 285 | 23.2 ± 1.0 |
| Gynura sp. | 290 | 23.1 ± 1.1 |
| Rhodiola quadrifida | 295 | 24.8 ± 0.6 |
| Primula veris | 325 | 20.1 ± 0.7 |
| Alnus incana | 345 | 12 ± 1.2 |
| Calendula officinalis | 450 | 18.6 ± 0.6 |
| Orthilla secunda | 530 | 22 ± 0.5 |
| Melilotus officinalis | 535 | 25.2 ± 0.3 |
The dependence of thermal radio emission on the maxima in the distribution of dispersed fractions was established: thermal radio emission decreases in the series Populus tremula (250 nm)>Rhodiola quadrifida (295 nm)>Uva ursi (285 nm)>Gynura sp. (290 nm)>Primula veris (325 nm)>Alnus incana (335 nm); increases in: Alnus incana (335 nm)>Calendula officinalis (450 nm)>Melilotus officinalis (535 nm).
A curve characterizing the dependence of thermal radio emission on size spectra of preparations containing MP with HS was also plotted (fig. 9).

Fig. 9: Dependence of thermal radio emission on dimensional spectra of preparations containing MP+HAs. (n = 7)
Humic acids are a complex mixture of organic compounds found in soil, water, and other natural sources [18, 19]. They have been extensively studied for their potential use in the pharmaceutical industry [3, 4, 7, 8, 10, 20]. However, quality control of HAs is an important aspect that must be considered to ensure the safety and efficacy of preparations.
The main result of our work was the detection of thermal radio emission in preparations containing HAs. As we noted earlier, a critical point in carrying out these studies is the correct selection of methods for activating supramolecular clusters of humates. In turn, simulating the entering of the preparation into the human body by means of heating to 37 °C allows tracing the change in the thermal radio emission of the preparations. The emission detected by TES-92 may indicate the presence of conformational transitions in overheated preparations [9, 14]. Considering the complex structure of these substances and their ability for a chaotic self-assembly process, control by conventional physical and chemical methods causes difficulties [13, 21, 22]. Measurements of the radio thermal emission of HAs over several months showed a clear reproducibility of the radio signal (fig. 3). It should be noted that not all preparations with the declared content of humates emit in the gigahertz range (fig. 2). The problem is in the lack of precise control of dosing HAs in preparations from different manufacturers. Therefore, a strict regulation on the optimal amount of active substances (humates) per dosage form is required.
Returning to the discussion of the dependence of signal on temperature, it is worth paying attention to the storage conditions of HAs proposed by manufacturers. Before opening the primary package, it is suggested to keep the preparations at room temperature. Fig. 6 shows the curves of the thermal radio signal depending on various temperature conditions. Comparing different temperatures, may be said that the temperature of 30–35 °C (heated preparation) is important for detecting radiothermal emission; respectively, an increase in the emissivity of the preparation is observed. Thermal activation increases the radiothermal emission of the same preparation by 2–2.5 times. Temperature 'titration' illustrates in general, the characteristics which are important for the preparation, drawing attention to the point at 15 °С; the low level of the signal indicates the absence of conformational transitions in the supramolecular structures of humates and probably the fact that they are in the inactive state. This is an ideal demonstration to establish an optimal storage condition for the preparation after opening the package in order to extend the shelf life of the preparation. Such storage conditions, when the preparation is stored at room temperatures before opening the package and at temperatures below 15 °C immediately after opening, are applicable to many eye drops.
It is also worth noting the sensitivity of the technique to changes in the concentration of active substance and the quality of preparation in general (fig. 5 and fig. 8). This aspect plays an important role in case of validation methods of the proposed technique.
By measuring thermal radio emission in the gigahertz wavelength range, it was also possible to identify differences between expired and fresh preparations. The stated shelf life of the preparation is 2 y. Fig. 8 shows a comparison of preparations containing HAs. Provided that it is not possible to visually distinguish between a preparation with an expired shelf life and a good one. The technique we proposed shows a detectable signal difference of 2–2.5 times, which may indicate a decrease in the activity of humate molecules in expired preparations. All these measurements were carried with a closed primary package.
We also verified the dependence of the intrinsic radiothermal emission of HAs preparations on their size spectrum. An important task for us was the ability to understand what factors can affect the radiothermal emission of supramolecular complexes. As we showed in fig. 9, there is a stable dependence of radiothermal emission on the size spectrum of nanoparticles that are part of the preparations of MP+HAs. An interesting fact is that the narrower the particle size spectrum (in nanometers), the greater radiothermal emission is observed. As we described above, the complex structure of nanoparticles, due to the formation of temporary dipoles on their surface, leads to the formation of plasma-like "clouds" on the particle surface. The plasmonic resonance formed allows for detecting radio thermal emission from Has preparations. Considering the fact that the size spectra of preparations, which varied from 245 to 325 nm show an emission 1.5 times higher than the emission of preparations, the size spectrum of which started from 345 nm, it can be assumed that due to the small particle size more frequent formation of plasma-like "clouds" takes place, which allows for the amplification of the radio thermal emission signal.
An important feature of our quality control method is the capability of detecting thermal radio emissions without opening the primary package. It is worth noting the increasing practice of replacing medicines of good quality with counterfeit ones during their moving along the supply chain. To avoid this, we propose thermal radio detection of preparations containing nanoparticles from the moment they enter the conveyor at the packaging stage to the final sales point (drug stores).
Summarizing the data obtained, we can highlight the following points. The dependence of the thermal radio emission signal on the storage temperature conditions of the preparation is observed (fig. 6). The sensitivity of the proposed technique makes it possible to identify preparations with different concentrations of active substances (fig. 5). The ability of distinguish between proper and expired shelf life preparations according to fig. 8. In summary, all measurements can be made without opening the primary package.
The proposed express method for quality control of HAs preparations, based on their ability to emit in the subterahertz and gigahertz ranges, can be used to control finished products from the start point of production to their delivery to a distributor without opening the primary package.
This paper has been supported by the RUDN University Strategic Academic Leadership Program.
Nil
All the authors have contributed equally.
The authors declare no other conflict of interest.
Savchenko IA, Luksha EA, Korneeva IN, Pasechnik КК. Biological activity of humic substances: prospects and problems of their application in medicine. Remedium Privolzhie Medial. 2019 Apr 28;1(1):54-60, doi: 10.21145/2225-0026-2019-1-54-60.
Uspenskaya EV, Syroeshkin AV, Pleteneva TV, Kazimova IV, Grebennikova TV, Fedyakina IT. Nanodispersions of polyelectrolytes based on humic substances: isolation, physico-chemical characterization and evaluation of biological activity. Pharmaceutics. 2021 Nov 18;13(11):1954. doi: 10.3390/pharmaceutics13111954, PMID 34834368, PMCID PMC8623726.
JACOB KK, Kj PP, NC. Humic substances as a potent biomaterials for therapeutic and drug delivery system-a review. Int J App Pharm. 2019 Mar 18;11(3):1-4. doi: 10.22159/ijap.2019v11i3.31421.
Hafez M, Popov AI, Zelenkov VN, Teplyakova TV, Rashad M. Humic substances as environmental-friendly organic wastes potentially help as natural anti-virus to inhibit COVID-19. Sci Arch. 2020;01(2):53-60. doi: 10.47587/SA.2020.1202.
Klöcking R, Sprössig M. Antiviral properties of humic acids. Experientia. 1972 May 15;28(5):607-8. doi: 10.1007/BF01931906, PMID 5040819.
Schols D, Wutzler P, Klocking R, Helbig B, De Clercq E. Selective inhibitory activity of polyhydroxycarboxylates derived from phenolic compounds against human immunodeficiency virus replication. J Acquir Immune Defic Syndr (1988). 1991;4(7):677-85. PMID 1675677.
Zhao Y, Paderu P, Delmas G, Dolgov E, Lee MH, Senter M. Carbohydrate-derived fulvic acid is a highly promising topical agent to enhance healing of wounds infected with drug-resistant pathogens. J Trauma Acute Care Surg. 2015 Oct;79(4) Suppl 2:S121-9. doi: 10.1097/TA.0000000000000737, PMID 26406424.
Gandy JJ, Snyman JR, van Rensburg CE. Randomized, parallel-group, double-blind, controlled study to evaluate the efficacy and safety of carbohydrate-derived fulvic acid in the topical treatment of eczema. Clin Cosmet Investig Dermatol. 2011;4:145-8. doi: 10.2147/CCID.S23110, PMID 21931500, PMCID PMC3173016.
Brotzakis ZF, Parrinello M. Enhanced sampling of protein conformational transitions via dynamically optimized collective variables. J Chem Theory Comput. 2019 Feb 12;15(2):1393-8. doi: 10.1021/acs.jctc.8b00827. PMID 30557019.
Tarasova AS, Stom DI, Kudryasheva NS. Antioxidant activity of humic substances via bioluminescent monitoring in vitro. Environ Monit Assess. 2015 Mar;187(3):89. doi: 10.1007/s10661-015-4304-1, PMID 25663400.
Akinremi C, Omosun N, Adewuyi S, Idowu M, Amolegbe S, Atayese А. Antifungal activities of zerovalent cobalt and nickel nanocomposites integrated with crosslinked chitosan-humic acid against some candida species. J Chem Soc Nigeria. 2018 Feb 3;43(1):158-64.
Orlov DS, Osipova NN. Infrared spectra of soils and soil components. 1st ed. Moscow State University; 1988.
Savchenko I, Korneeva I, Plaksin G, Luksha E, Goncharov D. A new approach to solving the problem of standardization of humic acids. Mod Probl Sci Educ. 2013 Sep 26;3:360.
Syroeshkin AV, Petrov GV, Taranov VV, Pleteneva TV, Koldina AM, Gaydashev IA. Radiothermal emission of nanoparticles with a complex shape as a tool for the quality control of pharmaceuticals containing biologically active nanoparticles. Pharmaceutics. 2023 Mar 16;15(3):966. doi: 10.3390/pharmaceutics15030966, PMID 36986826, PMCID PMC10059067.
Petrov GV, Taranov VV, Syroeshkin AV. Express method for quality control of products after the fluidized bed aerosol chamber by detecting radio thermal emission of nanoparticles. Eur Chem Bull. 2023;12(6):3035-41. doi: 10.48047/ecb/2023.12.6.273.
Pleteneva TV, Galkina DA, Fatkulina OA, Ogotoeva DD, Levitskaya OV, Uspenskaya EV. Arrhenius kinetics in the evaluation of the biological activity of pharmaceutical tinctures. Int J App Pharm. 2023 May 23;15(4):277-81. doi: 10.22159/ijap.2023v15i4.48058.
Syroeshkin AV, Ogotoeva DD, Galkina DA, Uspenskaya EV, Pleteneva TV. Polarimetry and dynamic light scattering in quality control of cardiotonic and hypotensive tinctures. Int J App Pharm. 2022 Oct 04;14(6):114-9. doi: 10.22159/ijap.2022v14i6.45907.
Klucakova M, Veznikova K. Micro-organization of humic acids in aqueous solutions. J Mol Struct. 2017 Sep 15;1144:33-40. doi: 10.1016/j.molstruc.2017.05.012.
Jung H, Kwon S, Kim JH, Jeon JR. Which traits of humic substances are investigated to improve their agronomical value? Molecules. 2021 Feb 2;26(3):760. doi: 10.3390/molecules26030760, PMID 33540638, PMCID PMC7867258.
Socol DC. Clinical review of humic acid as an antiviral: leadup to translational applications in clinical humeomics. Front Pharmacol. 2022;13:1018904. doi: 10.3389/fphar.2022.1018904, PMID 36712657, PMCID PMC9875298.
Sherry L, Millhouse E, Lappin DF, Murray C, Culshaw S, Nile CJ. Investigating the biological properties of carbohydrate-derived fulvic acid (CHD-FA) as a potential novel therapy for the management of oral biofilm infections. BMC Oral Health. 2013 Sep 24;13:47. doi: 10.1186/1472-6831-13-47, PMID 24063298, PMCID PMC3849008.
Sorkina TA, Polyakov AY, Kulikova NA, Goldt AE, Philippova OI, Aseeva AA. Nature-inspired soluble iron-rich humic compounds: new look at the structure and properties. J Soils Sediments. 2014 Feb 26;14(2):261-8. doi: 10.1007/s11368-013-0688-0.