
1Department of Microbiology, PMS College of Dental Science and Research, Vattapara-695028, Trivandrum, Kerala, India. 2*Department of Microbiology, Karpagam Academy of Higher Education, Coimbatore-641021, Tamil Nadu, India
*Corresponding author: R. Usha; *Email: ushaanbu09@gmail.com
Received: 21 Sep 2023, Revised and Accepted: 26 Oct 2023
ABSTRACT
Oral health is integral to maintaining systemic health as the mouth and oral cavity connect our digestive system with the external environment. The incidence of oro-dental disorders has been emerging as a serious threat to the healthcare sector owing to the increasing complexity of oral microbiome. Conventional treatment modalities are often limited by drug resistance and unwanted inflammatory responses. Recently, therapeutic strategies that can reinstate microbial homeostasis in the oral microenvironment have been implicated in the management of odontogenic infections. Biomaterial-based drug delivery systems, including nanocarriers, dendrimers, hydrogels, oral thin films, oral patches, and other stimuli-responsive polymeric systems, facilitate targeted administration of antimicrobials and anti-inflammatory agents to the site of infection. Bio adhesivity of the polymeric carriers facilitates faster disintegration and accurate dosing of the pharmacological agent to the target site. Moreover, restorative dentistry has been revolutionized by the advent of bio-functional templates that offer improved osseointegration and long-term stability of implants. A comprehensive review of the potential applications of biomaterial-mediated therapeutic strategies in the management of caries, peri-implantitis, periodontitis, and other oro-dental infections is explored here.
Keywords: Drug resistance, Biomaterial, Drug delivery systems, Peri-implantitis, Periodontitis, Nanofibers, Dendrimers
© 2024 The Authors. Published by Innovare Academic Sciences Pvt Ltd. This is an open access article under the CC BY license (https://creativecommons.org/licenses/by/4.0/)
DOI: https://dx.doi.org/10.22159/ijap.2024v16i1.49448 Journal homepage: https://innovareacademics.in/journals/index.php/ijap
Oral diseases pose a major challenge to the healthcare sector affecting nearly 3.5 billion worldwide. The demineralization of enamel leads to caries, a disease affecting the periodontium, and other pathological conditions associated with various bacterial and viral infections, cancer affecting the oral cavity are the major dental disorders [1]. The incidence of oro dental infections inhabiting different compartments of the oral microenvironment has been provided by molecular studies [2]. Approximately 770 microbial species are identified and characterized as per the Human Oral Microbiome Database (HOMD) [3]. The oral flora mostly consists of aerobic microorganisms and obligate anaerobes, mainly Streptococcus salivarius, Actinomyces odontolyticus, Neisseria, Veilionella, and some yeasts. Also, anaerobic forms like Prevotella, Fusarium, etc inhabit the gingival tissue of the gum. The enamel surface is inhabited by microbes like S. parasanguis and S. mutans and the gingival epithelial surfaces and saliva are other major microbial niches [4]. Owing to dietary changes, inadequate oral hygiene, and systemic pathologies, transient changes in microbiota occur, leading to an imbalanced state. Derailment of microbial homeostasis in the oral microenvironment has been shown to contribute to a variety of systemic pathologies affecting the gastrointestinal system, neuronal function, endocrine system, and the immune defense mechanism [5].
The incidence of tooth decay shows individual variation depending upon immunological status and oral microbiome determined by various environmental and genetic determinants. The formation of dental biofilm in dormant areas of the teeth results in dental infections. Improper dental hygiene causes the progressive formation of sub-gingival biofilms [6, 7]. Dental caries often result from accumulated biofilms on the tooth surface. The high population of oral flora at the supra, subgingival, and marginal tissue can lead to periodontitis [8-10]. Inadequacies in dental implant procedures can lead to periimplantitis [11-13]. Although a multitude of treatment strategies are adopted for the management of oro-dental infections, dysbacteriosis, drug resistance, and other side effects severely limit their prognosis [14]. Drug delivery approaches in the management of oro-dental infections involve sustained and controlled release of therapeutic compounds at the site of tissue damage through the mediation of bioactive carrier templates [15-17]. Owing to the poor retention of different dosage forms in the oral cavity, precise targeting therapy is more significant [18]. The application of nanotechnological approaches for loading antibacterial agents, anti-inflammatory drugs, and biomolecules in toothpaste and other rinsing solutions has been instrumental in the management of dental caries and aids proper remineralization [19]. Management of periodontal diseases through regenerative strategies involves the application of polymeric carriers, including liposomes, nanoparticles, hydrogel films, injectable hydrogels, etc [20]. Hydrogel-based drug delivery systems offer biocompatible three-dimensional platforms for the controlled release of drugs. Injectable hydrogels loaded with drugs can function as bioactive matrices for periodontal regeneration [21]. This review presents an overview of the innovative strategies in drug delivery systems in dental therapeutics. This review presents an overview of the innovative strategies in drug delivery systems in dental therapeutics. The data for the review were based on the following criteria; Sources: PubMed, Scopus, Web of Science, Embase, and the websites of regulatory bodies like the Human Oral Microbiome Database (HOMD), Central Drugs Standard Control Organisation (CDSCO) and World Health Organisation (WHO). Keywords: Drug delivery systems (DDS); Micro/Nanoparticles (NPs), Hydrogels Dendrimers, Mucoadhesive drug delivery systems, Nano fibers, strips, Pharmaceutical industry; Drug development; Regulatory guidelines. Year: 2010-2023.
Drug delivery systems for the treatment of oral cavity disease
Controlled and sustained delivery of drugs, growth factors, cytokines, etc to the site of infection for repair and regeneration can be accomplished by the use of carrier systems, generally known as drug delivery systems (DDS). Moreover, the DDS shows higher restorative efficiency and fewer side effects. Technological advancements in biomaterial science have led to the fabrication of nanocarriers, hydrogels, and dendrimers as suitable platforms for targeted drug delivery [22]. Biomaterials have been employed as carriers of bio-active ion coatings, which lead to increased osteo integration and prevent soft tissue inflammation and bone resorption. The application of metallic nanoparticles to treat or prevent bacterial colonization on implant surfaces is of great concern due to its cytotoxic effect on human cells [23]. Besides the use of locally administered antibiotics, the idea of biomaterials for the controlled and directed delivery of specific drugs and for reducing microbial resistance has been envisaged as a potential approach for the management of peri-implantitis [24]. Antimicrobial peptides are another class of bioactive substances with profound immunomodulatory properties and recently localized delivery systems loaded with such peptides have been implicated as potential therapeutic agents in inflammatory conditions associated with dental caries and periodontal infections [25]. A novel antimicrobial peptide, ZXR-2 has been reported to attenuate the growth of pathogenic bacteria associated with dental caries [26].
Micro/Nanoparticles (NPs)
Nanomaterials are promising candidates for drug delivery owing to their smaller particle size, ease of synthesis, and biocompatibility. Therapeutic applications of nanoparticles (NPs) in dentistry can be attributed to their ability to inhibit bacterial growth by disrupting the cell membrane integrity [fig. 1, fig. 2]. Nanoparticles in conjugation with biopolymers have been reported to manifest significant antimicrobial activity against oral pathogens [27]. Microparticles derived from metals and polymers have been extensively used in dentistry for the management of dental infections [28]. The application of nanoparticles in managing dental caries involves the use of resin composite agents incorporated with inorganic antibacterial NPs that inhibit biofilm formation [29]. An adhesive containing a low concentration of silver nanoparticles (AgNPs) was found to be cytotoxic and inhibited the growth of S. mutans [30]. Several studies have demonstrated the efficacy of inorganic Nanoparticles like colloidal metal oxide NPs, metaphosphate NPs added to glass ionomer cement, and titanium oxide NPs in reducing secondary caries [31]. It is also reported that organic NPs mediate the mineralization of infected dental structures. Yuncong Li et al. developed a dental adhesive based on magnetic nanoparticles conjugated with dimethyl amino hexadecyl methacrylate (DMAHDM), and amorphous calcium phosphate nanoparticles (NACP), which significantly inhibited biofilm formation and has been implicated in the prevention of secondary caries by facilitating improved dentine bonding [32]. The addition of titanium oxide NPs to mouthwash solutions displayed enhanced bactericidal activity in vitro [33]. Sodium fluoride incorporated with silver nanoparticles was shown to inhibit the progression of dental caries in vitro and aided remineralization [34].
The increased population of anaerobic microbes contributed to inflammatory conditions leading to dental implant-associated infections. Accumulation of plaque biofilm in titanium implants causes chronic side effects. In 2016, Peiyuan Li et al. developed a bio-functionalized titanium implant loaded with AgNPs with enhanced antibacterial properties, substantiating its plausible use in regenerative dentistry [35]. Zhong et al. studied the antibacterial efficacy of a nanosilver-incorporated chitosan-based composite scaffold. The composite matrix demonstrated sustained release of silver nanoparticles to suppress bacterial invasion and prevent implant-associated secondary infections [36]. Chitosan nanoparticles incorporated with glass ionomer cement and titanium oxide exhibited enhanced mechanical strength, implicating its long-term applications in biofilm inhibition and restoration of oral health [37].

Fig. 1: Application of nanoparticles in dentistry

Fig. 2: Antibacterial activity of AgNPs [38]
Hydrogels
Hydrogels are characterized by their hydrophilicity and water-imbibing capacity that enables the formation of a three-dimensional network that can act as a carrier matrix for drug loading. The inherent porosity and structural integrity of hydrogels make them ideal systems for drug delivery [39]. The superior biocompatibility is owed to their high water content with excellent bio-adhesive potential [40]. Hydrogel properties can be fine-tuned to deliver macromolecular drugs as well as growth factors for the management of periodontal infections and per-implantitis [fig. 3]. Injectable hydrogels can be directly administered to the site of infection which further stabilizes by sol-gel transition for sustained release of drug [41]. A plethora of hydrogel-based drug delivery systems for the management of oral pathologies based on natural polymers like chitosan, hyaluronic acid, alginic acid, carrageenan, collagen and synthetic polymers like polyethylene glycol (PEG), poly lactic acid (PLA), poly lactic-co-glycolic acid (PLGA), polyvinyl alcohol (PVA), polyethylene glycol di acrylate(PEGDA), polycaprolactone (PCL) have been reported [42].

Fig. 3: Regenerative applications of hydrogels [43]
A hydrogel-based delivery system consisting of miconazole-loaded nanostructured lipid carriers was developed by Mendes et al. to inhibit the growth of Candida albicans. Incorporation of the drug in the hydrogel network facilitated sustained release of the drug and exhibited significant anti-fungal activity in vitro [44].

Fig. 4: Application of Injectable hybrid hydrogels [45]
An RGD-coupled alginate hydrogel combined with silver lactate has been shown to function as an efficient medium for the delivery of gingival mesenchymal stem cells (GMSCs). The hydrogel also exhibited significant antimicrobial properties by the controlled release of silver ions and the study pointed out its potential application in peri-implantitis [46]. Another category of hydrogels utilized for personalized medication as curative agents for periodontal and endodontic infections include injectable hybrid hydrogels owing to the tunable physicochemical properties that enable them to function as localized carriers for antibiotics and cytokines [fig. 4] [47].
Recently, Ribeiro et al. fabricated an injectable photo cross-linked gelatin methacryloyl (GelMA) hydrogel vehicle for ciprofloxacin release and was effective in attenuating biofilm formation in vitro [40]. Hydrogel systems based on chitosan have been extensively reviewed as bio-functional platforms for periodontal drug delivery [48]. A thermo-sensitive hydrogel made up of chitosan, β glycerol phosphate pentahydrate, and povidone-iodine with antimicrobial properties was studied for possible therapeutic implications in the management of denture implant abnormalities [49]. A cytocompatible composite hydrogel based on Chitosan and Zinc Oxide was found to be effective against S. mutans biofilm formation and has been recommended as a potent antimicrobial system against cariogenesis [50]. An adhesive hydrogel formulation derived from an antimicrobial peptide, Histatin-5, showed remarkable efficacy in the management of oral candidiasis as evidenced by in vivo experimental studies [51].
Recently, fibronectin-loaded collagen/gelatin hydrogel was investigated for its application in endodontic therapies as a bio-functional scaffold for dental pulp regeneration [52]. The PLGA-based hydrogel was developed as an in situ implant for the controlled release of metronidazole and is effective in managing periodontal infections [53]. Hydrogels are successfully employed as suitable carriers to deliver antimicrobial peptides (AMPs), for the ablation of biofilms in the oral cavity. Even though AMPs possess bacteriostatic and immunoregulatory properties, susceptibility to protease degradation limits their efficacy. Encapsulating them in stable hydrogel networks greatly enhances their longevity and sustained release at the site of infection [54]. A bio-adhesive hydrogel comprising (gelatin) and an antimicrobial peptide (AMP) prepared by photo-crosslinking showed significant anti-microbial properties. The bio functionality of the hydrogel as a suitable template for regenerative applications in combating peri-implant diseases has been demonstrated [55, 56].
Dendrimers
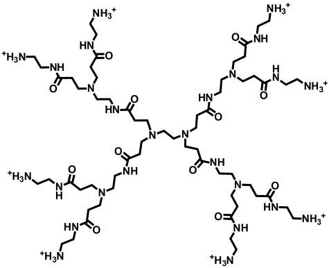
Dendrimers are a unique class of polymeric nanocarriers, which are hierarchically organized micellar structures enclosing a central core comprising chemical species that can conjugate therapeutically active components [57]. The core is surrounded by concentrically arranged polymeric building blocks with variable functional groups, which confers adhesive properties and biocompatibility to the nanocarrier [58]. These bio-functional complexes are particularly employed as agents for the remineralization of dentin and enamel as well as for the controlled release of antimicrobial drugs for treating periodontitis and other complications arising from dental implant procedures [59]. Recently, Fan et al. studied the remineralization efficacy of polyaminoamine (PAMAM) dendrimers in an invitro-simulated model consisting of sub-surface demineralized enamel [fig. 5] The carboxyl-conjugated PAMAM dendrimer was found to be more efficient in stimulating biomineralization of the treated enamel [60]. A phosphoryl-terminated poly (amide amine) dendrimer was modified for the incorporation of apigenin, a water-insoluble bacteriostatic agent. The dendrimers exhibited potent inhibitory effects against Streptococcus mutants and also induced mineralization in vitro [61]. Recently dendrimers have been arising as suitable delivery vehicles owing to their bio-adhesive properties and drug loading capacity and can form stable drug delivery systems in dentistry.

Fig. 5: Chemical structure of cationic PAMAM Dendrimer [62]
Mucoadhesive drug delivery systems
Bio-adhesive polymers in the form of films, gels, patches, and tablets form a novel therapeutic option for the management of periodontitis, dental caries, oral cancer, and others, owing to their suitability for targeted delivery of antibiotics, nutrients, and growth factors for assisted healing [21]. Polymer-based Oral thin films easily disintegrate and release the therapeutic ingredient into the oral cavity. Bio adhesivity of the polymeric carriers facilitates faster disintegration and accurate dosing of the pharmacological agent to the target site [63, 64]. The oral microbiome is constantly subjected to large-scale variation that contributes to the unregulated growth of pathogenic species. The introduction of probiotics to the oral microenvironment can facilitate the growth and sustenance of healthy bacteria owing to their immunomodulatory effect. A mucoadhesive film for the controlled delivery of Lactobacillus fermentum NCIMB 5221, a probiotic bacterium with remarkable anti-inflammatory properties, has been developed for the management of periodontitis, dental caries, and oral candidiasis. Carboxymethyl cellulose-based oral thin film exhibited significant bioadhesivity and sustained release of the bacterium into the oral cavity effects [65].
Therapeutic applications of Lactobacillus brevis, a probiotic bacterium in modulating chronic inflammatory conditions of the oral cavity as in periodontitis, biofilm pathogenesis have been immensely studied by several researchers. Abruzzo et al. developed a mucoadhesive buccal biofilm for the sustained release of probiotic bacterium L. brevis CD2 with strong anti-inflammatory potential [66]. Ciprofloxacin-loaded mucoadhesive biofilms were shown to exhibit significant drug-releasing profile and mucoadhesive properties for their application in periodontal drug delivery [67]. Recently, a bilayer drug delivery vehicle consisting of Gellan gum with Moxifloxacin hydrochloride and clove oil showed sustained drug release properties for managing chronic periodontitis [68].
Nanofibers
Owing to their porous architecture and biocompatible properties, nanofibers have been employed in regenerative dentistry for managing oral infections. Several researchers have developed such bio-functional platforms for targeted delivery of antimicrobial peptides [69]. Recently, Poly (D-L) lactide-co-glycolide (PLGA) and poly ε-caprolactone (PCL) nanofibers loaded with metronidazole and amoxicillin were fabricated for treating periodontal infections in vivo studies exhibited the biocompatibility of the drug-loaded fibers as suitable matrices with potent anti-inflammatory activity [70] [fig. 6]. Polycaprolactone nanofibers incorporated with Oxytetracycline and Zinc oxide were shown to attenuate the growth of Gram-positive bacteria that cause periodontitis and the fibers also exhibited rate-controlled delivery of the drugs [71]. Electrospun nanofibers developed from Polyvinylpyrrolidone/Hydroxypropyl β-cyclodextrin loaded with Clotrimazole have been shown to possess significant antifungal activity and were formulated as a suitable drug delivery matrix in the management of Oral candidiasis. The extracellular matrix mimicking property integrated with the drug-releasing efficacy of nanofibers offers novel strategies for tackling dental pathologies [72, 73]. The incorporation of remineralization agents like Calcium phosphate nanocomposites (Nano-ACP) demonstrated the controlled release of Calcium and Phosphate ions in dental restoration systems without affecting mechanical properties and showed an anti-caries effect [19].

Fig. 6: Synthesis of PLGA-PCL Nanofibers by ring-opening polymerization method [70]
Strips
Oral strips have been advantageous owing to their increased patient compliance and are a user-friendly technology for localized drug delivery, especially among children and the elderly population [74]. In dental therapeutics, drug-loaded polymeric strips have been developed for controlling microbial growth in infected periodontal pockets, as they provide a sustained concentration of antimicrobials to arrest the growth of microbes. Cefixime-loaded ethyl cellulose strips demonstrated potent antimicrobial activity in vitro and have been proven as an efficient drug delivery vehicle for insertion in periodontal pockets [75]. Clinical studies with Tetracycline hydrochloride strips demonstrated significant outcomes in patients with advanced periodontal diseases [76]. A biodegradable matrix of hydrolyzed gelatin has been developed commercially for controlled delivery of Chlorhexidine gluconate [77].
Table 1: Drug delivery systems in dental therapeutics
| Drug delivery platforms | Applications |
| Fluorinated bioactive glass | Antibacterial effect and prevention of demineralization [78] |
| Poly(amido amine) and calcium phosphate | Long-term dentin mineralization [79] |
| Ethylcellulose microparticles | Caries prevention by fluoride release [80, 81] |
| Silver lactate-loaded Alginate hydrogels | Peri-implantitis [46] |
| Chitosan-based nanocarriers | Periodontitis [48] |
| Calcium silicate loaded Chitosan Scaffold | Dental pulp regeneration [82] |
| Poly(amidoamine) (PAMAM) dendrimers | Dentin remineralization and dentinal tubule occlusion [54] |
| Pectin and Gellan gum-based muco adhesive buccal biofilms loaded with triamcinolone acetonide | Canker sores in oral cavity [83] |
| Cetylpyridinium chloride on chitosan blended with polyvinyl alcohol and hydroxyl ethyl cellulose | Anti-microbial activity against S. mutans-treatment of pediatric oral diseases [84] |
| Mucoadhesive buccal tablet containing metronidazole | Periodontitis and Gingivitis [85] |
| Isoguanosine-borate-guanosine hydrogels | Suppress oral tumor growth [86] |
| Triclosan Liposomes loaded with Dimethyl octadecyl ammonium bromide, cholesterol, and dimyristoyl phosphatidylcholine. | Inhibition of growth of the mixed biofilms of the oral bacteria [87]. |
| Catechol-modified chitosan/hyaluronic acid nanoparticles loaded with doxorubicin. | Apoptosis of oral cancer cells [88] |
| Nanosilver-doped titanium implants | Peri-implantitis [89] |
| Tetrahydro curcumin integrated mucoadhesive nanocomposite κ-carrageenan/xanthan gum sponges | Treatment for oral cancerous and precancerous lesions [90] |
| Clindamycin phosphate loaded chitosan/alginate polyelectrolyte complex film-muco adhesive delivery system | Periodontitis [91] |

Fig. 7: Drug delivery systems for oral infection [92]
Current and future perspectives
The application of drug delivery systems has been considered an appropriate strategy to improve the therapeutic effects of drugs. The advantages of DDS include controlled and targeted drug release patterns to improve the drug pharmacokinetics, bioavailability, selectivity, and, ultimately, improvement in the treatment outcome. Researchers suggest that (i) using nanoparticles could release the loaded drugs/agents in a pH-dependent manner to achieve targeted drug delivery, enhance the antibacterial properties of the restorative materials, and improve the antibacterial and antifungal activity of the loaded drugs (ii) using hydrogels could enhance the half-life of the loaded antibiotics and improve the antifungal and antibacterial activity of the drugs (iii) using microparticles could enhance the antibacterial activity of the drugs and (iv) strips/fibers have excellent mucoadhesion properties and could improve the antimicrobial activity.
Caries treatment now deals with controlling pathogenic bacteria, inhibiting demineralization, and improving re-mineralization by combining amelogenin-derived peptide with an antibacterial agent in a hydrogel. Dental treatment with dual action, like cariogenic bacteria inhibition and remineralization, would be of great interest in the future. An adhesive and photo-responsive microparticle drug delivery system is developed to treat periodontitis through microfluidic electrospray technology. Such microparticles are developed by ionic cross-linking of sodium alginate together with photo-curing of poly (ethylene glycol) diacrylate of the distorted microfluidic droplets. These microparticles are firmly adhesive and can release drugs promptly on the tooth. Anti-microbial peptides offer exciting opportunities for new therapeutic initiatives in regenerative endodontics. However, antimicrobial peptides constitute many key issues in design and delivery applications that need to be resolved immediately. By understanding the complex physiological conditions of AMP using animal experiments and with the aid of molecular informatics, chemistry, and pharmacy, AMP could be explored efficiently to treat periodontal diseases.
Drug delivery systems have formed an integral part of therapeutic interventions in the management of dental pathologies. Incidences of periodontitis, dental caries, peri-implantitis, etc, have been steadily increasing globally and innovative approaches that minimize undesirable side effects and enhanced efficacy are instrumental in the management and prevention of such conditions. Targeted drug delivery strategies facilitate the controlled and sustained release of drugs for inhibiting microbial growth and facilitating tissue repair in periodontal and endodontic infections. Extensive studies are being performed for deriving multifunctional drug delivery systems for combating odontogenic infections comprising hydrogels, dendrimers, and nanoparticles. Optimisation of such systems for clinical translation remains a challenge and the current pace of technological innovations in dental therapeutics holds great promise in this respect. Advanced drug delivery matrices coupled with technological advancements in Robotics and Artificial intelligence are currently emerging as promising approaches in dentistry. Shortly, many products will be available in the market after the approval. Modifiable structure and selective properties such as bio-adhesive behavior or stimuli-responsive ability are important when we bring to commercialization. These properties may be challenging during drug formulation, particularly for treating oral diseases. In this aspect, we represent good examples of effective strategies to obtain the specific outcome in terms of drug release properties. Many biological mechanisms related to drug delivery systems in the human body are still largely unknown and require clinical studies.
The authors declare that no funds, grants, or other support were received during the preparation of this manuscript.
All the authors have contributed equally.
The authors declare that there is no conflict of interest regarding the publication of this article.
Peres MA, Macpherson LMD, Weyant RJ, Daly B, Venturelli R, Mathur MR. Oral diseases: a global public health challenge. Lancet. 2019 Jul 20;394(10194):249-60. doi: 10.1016/S0140-6736(19)31146-8, PMID 31327369.
Deo PN, Deshmukh R. Oral microbiome: unveiling the fundamentals. J Oral Maxillofac Pathol. 2019;23(1):122-8. doi: 10.4103/jomfp.JOMFP_304_18, PMID 31110428.
Gao L, Xu T, Huang G, Jiang S, Gu Y, Chen F. Oral microbiomes: more and more importance in oral cavity and whole body. Protein Cell. 2018 May;9(5):488-500. doi: 10.1007/s13238-018-0548-1, PMID 29736705.
Lamont RJ, Koo H, Hajishengallis G. The oral microbiota: dynamic communities and host interactions. Nat Rev Microbiol. 2018 Dec;16(12):745-59. doi: 10.1038/s41579-018-0089-x, PMID 30301974.
Kane SF. The effects of oral health on systemic health. Gen Dent. 2017;65(6):30-4. PMID 29099363.
Spratt DA, Pratten J. Biofilms and the oral cavity. Rev Environ Sci Bio Technol. 2003 Jun 1;2(2-4):109-20. doi: 10.1023/B:RESB.0000040466.82937.df.
Batra P, Saini P, Yadav V. Oral health concerns in India. J Oral Biol Craniofac Res. 2020;10(2):171-4. doi: 10.1016/j.jobcr.2020.04.011, PMID 32489817.
Larsen T, Fiehn NE. Dental biofilm infections-an update. APMIS. 2017 Apr;125(4):376-84. doi: 10.1111/apm.12688, PMID 28407420.
Saini R, Marawar PP, Shete S, Saini S. Periodontitis, a true infection. J Glob Infect Dis. 2009;1(2):149-50. doi: 10.4103/0974-777X.56251, PMID 20300407.
Dahlen G. Bacterial infections of the oral mucosa. Periodontol 2000. 2009 Feb;49:13-38. doi: 10.1111/j.1600-0757.2008.00295.x, PMID 19152524.
Prathapachandran J, Suresh N. Management of peri-implantitis. Dent Res J (Isfahan). 2012 Sep;9(5):516-21. doi: 10.4103/1735-3327.104867, PMID 23559913.
Smeets R, Henningsen A, Jung O, Heiland M, Hammacher C, Stein JM. Definition, etiology, prevention and treatment of peri-implantitis-a review. Head Face Med. 2014 Sep 3;10:34. doi: 10.1186/1746-160X-10-34, PMID 25185675.
Assery NM, Jurado CA, Assery MK, Afrashtehfar KI. Peri-implantitis and systemic inflammation: a critical update. Saudi Dent J. 2023 Jul;35(5):443-50. doi: 10.1016/j.sdentj.2023.04.005, PMID 37520600.
Verderosa AD, Totsika M, Fairfull Smith KE. Bacterial biofilm eradication agents: a current review. Front Chem. 2019;7:824. doi: 10.3389/fchem.2019.00824, PMID 31850313.
Liang J, Peng X, Zhou X, Zou J, Cheng L. Emerging applications of drug delivery systems in oral infectious diseases prevention and treatment. Molecules. 2020 Jan 24;25(3):516. doi: 10.3390/molecules25030516, PMID 31991678.
Parhi R. Drug delivery applications of chitin and chitosan: a review. Environ Chem Lett. 2020 Jan 21;18(3):577-94. doi: 10.1007/s10311-020-00963-5.
Bruschi ML, de Freitas O. Oral bioadhesive drug delivery systems. Drug Dev Ind Pharm. 2005 Mar;31(3):293-310. doi: 10.1081/ddc-52073, PMID 15830725.
Prakash D, Arora V, Dewangan HK. A systematic review of the application of natural polymers in the formulation of oro-dispersible tablet. Int J App Pharm. 2023 Sep 7:27-36. doi: 10.22159/ijap.2023v15i5.48183.
Cheng L, Zhang K, Weir MD, Melo MAS, Zhou X, Xu HHK. Nanotechnology strategies for antibacterial and remineralizing composites and adhesives to tackle dental caries. Nanomedicine (Lond). 2015 Mar;10(4):627-41. doi: 10.2217/nnm.14.191, PMID 25723095.
Dhamecha D, Jagwani S, Rao M, Jadhav K, Shaikh S, Puzhankara L. Local drug delivery systems in the management of periodontitis: a scientific review. HRR J Control Release. 2019 Aug 10;307:393-409.
Nguyen S, Hiorth M. Advanced drug delivery systems for local treatment of the oral cavity. Ther Deliv. 2015;6(5):595-608. doi: 10.4155/tde.15.5, PMID 26001175.
Ficai D, Sandulescu M, Ficai A, Andronescu E, Yetmez M, Agrali OB. Drug delivery systems for dental applications. Curr Org Chem. 2016;21(1):64-73. doi: 10.2174/1385272820666160511104145.
de Sousa FFO, Ferraz C, Rodrigues LKAde A, Nojosa Jde S, Yamauti M. Nanotechnology in dentistry: drug delivery systems for the control of biofilm-dependent oral diseases. Curr Drug Deliv. 2014;11(6):719-28. doi: 10.2174/156720181106141202115157, PMID 25469778.
de Avila ED, van Oirschot BA, van den Beucken JJJP. Biomaterial-based possibilities for managing peri-implantitis. J Periodontal Res. 2020 Apr;55(2):165-73. doi: 10.1111/jre.12707, PMID 31638267.
Makvandi P, Josic U, Delfi M, Pinelli F, Jahed V, Kaya E. Drug delivery (Nano)platforms for oral and dental applications: tissue regeneration, infection control, and cancer management. Adv Sci (Weinh). 2021 Apr;8(8):2004014. doi: 10.1002/advs.202004014, PMID 33898183.
Chen L, Jia L, Zhang Q, Zhou X, Liu Z, Li B. A novel antimicrobial peptide against dental-caries-associated bacteria. Anaerobe. 2017 Oct;47:165-72. doi: 10.1016/j.anaerobe.2017.05.016, PMID 28571698.
PA, PB, Pt K. In vitro wound healing and antimicrobial property of cotton fabrics coated optimized silver nanoparticles synthesized using Peltophorum pterocarpum leaf extracts. Asian J Pharm Clin Res. 2019 Aug 7:216-22.
Priyadarsini S, Mukherjee S, Mishra M. Nanoparticles used in dentistry: a review. J Oral Biol Craniofac Res. 2018;8(1):58-67. doi: 10.1016/j.jobcr.2017.12.004, PMID 29556466.
Prasher P, Sharma M, Mudila H, Gupta G, Sharma AK, Kumar D. Emerging trends in clinical implications of bio-conjugated silver nanoparticles in drug delivery. Colloids Interface Sci Commun. 2020 Mar 1;35. doi: 10.1016/j.colcom.2020.100244.
Dutra Correa M, Leite AABV, de Cara SPHM, Diniz IMA, Marques MM, Suffredini IB. Antibacterial effects and cytotoxicity of an adhesive containing low concentration of silver nanoparticles. J Dent. 2018 Oct;77:66-71. doi: 10.1016/j.jdent.2018.07.010, PMID 30009857.
Foong LK, Foroughi MM, Mirhosseini AF, Safaei M, Jahani S, Mostafavi M. Applications of nano-materials in diverse dentistry regimes. RSC Adv. 2020 Apr 16;10(26):15430-60. doi: 10.1039/d0ra00762e, PMID 35495474.
Li Y, Hu X, Xia Y, Ji Y, Ruan J, Weir MD. Novel magnetic nanoparticle-containing adhesive with greater dentin bond strength and antibacterial and remineralizing capabilities. Dent Mater. 2018 Sep;34(9):1310-22. doi: 10.1016/j.dental.2018.06.001, PMID 29935766.
Ahrari F, Eslami N, Rajabi O, Ghazvini K, Barati S. The antimicrobial sensitivity of Streptococcus mutans and Streptococcus sangius to colloidal solutions of different nanoparticles applied as mouthwashes. Dent Res J (Isfahan). 2015;12(1):44-9. doi: 10.4103/1735-3327.150330, PMID 25709674.
Zhao IS, Yin IX, Mei ML, Lo ECM, Tang J, Li Q. Remineralising dentine caries using sodium fluoride with silver nanoparticles: an in vitro study. Int J Nanomedicine. 2020;15:2829-39. doi: 10.2147/IJN.S247550, PMID 32368057.
Li P, Tong Z, Huo L, Yang F, Su W. Antibacterial and biological properties of biofunctionalized nanocomposites on titanium for implant application. J Biomater Appl. 2016 Aug;31(2):205-14. doi: 10.1177/0885328216645951, PMID 27114441.
Zhong X, Song Y, Yang P, Wang Y, Jiang S, Zhang X. Titanium surface priming with phase-transited lysozyme to establish a silver nanoparticle-loaded chitosan/hyaluronic acid antibacterial multilayer via layer-by-layer self-assembly. PLOS ONE. 2016;11(1):e0146957. doi: 10.1371/journal.pone.0146957, PMID 26783746.
Ibrahim MA, Meera Priyadarshini B, Neo J, Fawzy AS. Characterization of chitosan/TiO2 nano-powder modified glass-ionomer cement for restorative dental applications. J Esthet Restor Dent. 2017 Apr;29(2):146-56. doi: 10.1111/jerd.12282, PMID 28190299.
Singh P, Pandit S, Jers C, Joshi AS, Garnæs J, Mijakovic I. Silver nanoparticles produced from Cedecea sp. exhibit antibiofilm activity and remarkable stability. Sci Rep. 2021;11(1):12619. doi: 10.1038/s41598-021-92006-4, PMID 34135368.
Karanam M, Gottemukkula L. A review of nanogels as novel drug delivery systems. Asian J Pharm Clin Res. 2023 Apr 7:10-7. doi: 10.22159/ajpcr.2023.v16i4.46790.
Ribeiro JS, Daghrery A, Dubey N, Li C, Mei L, Fenno JC. Hybrid antimicrobial hydrogel as injectable therapeutics for oral infection ablation. Biomacromolecules. 2020 Sep 14;21(9):3945-56. doi: 10.1021/acs.biomac.0c01131, PMID 32786527.
Shirbhate U, Bajaj P. Injectable and self-invigorating hydrogel applications in dentistry and periodontal regeneration: a literature review. Cureus. 2022;14(9):e29248. doi: 10.7759/cureus.29248, PMID 36277588#!
Liu L, Wu D, Tu H, Cao M, Li M, Peng L. Applications of hydrogels in drug delivery for oral and maxillofacial diseases. Gels. 2023 Feb 9;9(2):146. doi: 10.3390/gels9020146, PMID 36826316.
Ardeshirylajimi A, Golchin A, Vargas J, Tayebi L. Application of stem cell encapsulated hydrogel in dentistry; 2020. p. 289-300.
Mendes AI, Silva AC, Catita JAM, Cerqueira F, Gabriel C, Lopes CM. Miconazole-loaded nanostructured lipid carriers (NLC) for local delivery to the oral mucosa: improving antifungal activity. Colloids Surf B Biointerfaces. 2013 Nov 1;111:755-63.
Wang B, Wang J, Shao J, Kouwer PHJ, Bronkhorst EM, Jansen JA. A tunable and injectable local drug delivery system for personalized periodontal application. J Control Release. 2020 Aug 10;324:134-45. doi: 10.1016/j.jconrel.2020.05.004, PMID 32387552.
Diniz IMA, Chen C, Ansari S, Zadeh HH, Moshaverinia M, Chee D. Gingival mesenchymal stem cell (GMSC) delivery system based on RGD-coupled alginate hydrogel with antimicrobial properties: a novel treatment modality for peri-implantitis. J Prosthodont. 2016 Feb;25(2):105-15. doi: 10.1111/jopr.12316, PMID 26216081.
Smith SA, Choi SH, Collins JNR, Travers RJ, Cooley BC, Morrissey JH. Inhibition of polyphosphate as a novel strategy for preventing thrombosis and inflammation. Blood. 2012 Dec 20;120(26):5103-10. doi: 10.1182/blood-2012-07-444935, PMID 22968458.
Sah AK, Dewangan M, Suresh PK. Potential of the chitosan-based carrier for periodontal drug delivery. Colloids Surf B Biointerfaces. 2019 Jun 1;178:185-98. doi: 10.1016/j.colsurfb.2019.02.044, PMID 30856588.
Cao X, Cai X, Chen R, Zhang H, Jiang T, Wang Y. A thermosensitive chitosan-based hydrogel for sealing and lubricating purposes in a dental implant system. Clin Implant Dent Relat Res. 2019 Apr;21(2):324-35. doi: 10.1111/cid.12738, PMID 30821099.
Afrasiabi S, Bahador A, Partoazar A. Combinatorial therapy of chitosan hydrogel-based zinc oxide nanocomposite attenuates the virulence of streptococcus mutans. BMC Microbiol. 2021 Feb 24;21(1):62. doi: 10.1186/s12866-021-02128-y, PMID 33622240.
Kong EF, Tsui C, Boyce H, Ibrahim A, Hoag SW, Karlsson AJ. Development and in vivo evaluation of a novel Histatin-5 bioadhesive hydrogel formulation against oral candidiasis. Antimicrob Agents Chemother. 2016 Jan 29;60(2):881-9. doi: 10.1128/AAC.02624-15, PMID 26596951.
Leite ML, Soares DG, Anovazzi G, Anselmi C, Hebling J, de Souza Costa CA. Fibronectin-loaded Collagen/Gelatin hydrogel is a potent signaling biomaterial for dental pulp regeneration. J Endod. 2021 Jul;47(7):1110–7.
Kilicarslan M, Koerber M, Bodmeier R. In situ forming implants for the delivery of metronidazole to periodontal pockets: formulation and drug release studies. Drug Dev Ind Pharm. 2014 May;40(5):619-24. doi: 10.3109/03639045.2013.873449, PMID 24369747.
Borro BC, Nordstrom R, Malmsten M. Microgels and hydrogels as delivery systems for antimicrobial peptides. Colloids Surf B Biointerfaces. 2020 Mar;187:110835. doi: 10.1016/j.colsurfb.2020.110835, PMID 32033885.
Zhang Y, Zhang J, Chen M, Gong H, Thamphiwatana S, Eckmann L. A bioadhesive nanoparticle-hydrogel hybrid system for localized antimicrobial drug delivery. ACS Appl Mater Interfaces. 2016 Jul 20;8(28):18367-74. doi: 10.1021/acsami.6b04858, PMID 27352845.
Sani ES, Lara RP, Aldawood Z, Bassir SH, Nguyen D, Kantarci A. An antimicrobial dental light curable bioadhesive hydrogel for treatment of peri-implant diseases. Matter. 2019 Oct 2;1(4):926-44. doi: 10.1016/j.matt.2019.07.019, PMID 31663080.
Madaan K, Kumar S, Poonia N, Lather V, Pandita D. Dendrimers in drug delivery and targeting: drug-dendrimer interactions and toxicity issues. J Pharm Bioallied Sci. 2014 Jul;6(3):139-50. doi: 10.4103/0975-7406.130965, PMID 25035633.
Samad A, Alam MI, Saxena K. Dendrimers: a class of polymers in the nanotechnology for the delivery of active pharmaceuticals. Curr Pharm Des. 2009;15(25):2958-69. doi: 10.2174/138161209789058200, PMID 19754372.
Bapat RA, Dharmadhikari S, Chaubal TV, Amin MCIM, Bapat P, Gorain B. The potential of dendrimer in the delivery of therapeutics for dentistry. Heliyon. 2019 Oct 23;5(10):e02544. doi: 10.1016/j.heliyon.2019.e02544, PMID 31687479.
Fan M, Zhang M, Xu HHK, Tao S, Yu Z, Yang J. Remineralization effectiveness of the PAMAM dendrimer with different terminal groups on artificial initial enamel caries in vitro. Dent Mater. 2020 Feb;36(2):210-20. doi: 10.1016/j.dental.2019.11.015, PMID 31785833.
Zhu B, Li X, Xu X, Li J, Ding C, Zhao C. One-step phosphorylated poly(amide-amine) dendrimer loaded with apigenin for simultaneous remineralization and antibacterial of dentine. Colloids Surf B Biointerfaces. 2018 Dec 1;172:760-8. doi: 10.1016/j.colsurfb.2018.09.036, PMID 30261466.
Nicolas J, Mura S, Brambilla D, Mackiewicz N, Couvreur P. Design, functionalization strategies and biomedical applications of targeted biodegradable/biocompatible polymer-based nanocarriers for drug delivery. Chem Soc Rev. 2013 Feb 7;42(3):1147-235. doi: 10.1039/c2cs35265f, PMID 23238558.
Saha S, Tomaro Duchesneau C, Daoud JT, Tabrizian M, Prakash S. Novel probiotic dissolvable carboxymethyl cellulose films as oral health biotherapeutics: in vitro preparation and characterization. Expert Opin Drug Deliv. 2013 Nov;10(11):1471-82. doi: 10.1517/17425247.2013.799135, PMID 23713443.
Jones DS, Bruschi ML, de Freitas O, Gremiao MPD, Lara EHG, Andrews GP. Rheological, mechanical and mucoadhesive properties of thermoresponsive, bioadhesive binary mixtures composed of poloxamer 407 and Carbopol 974P designed as platforms for implantable drug delivery systems for use in the oral cavity. Int J Pharm. 2009 May 8;372(1-2):49-58. doi: 10.1016/j.ijpharm.2009.01.006, PMID 19429268.
Reid G. Probiotics: definition, scope and mechanisms of action. Best Pract Res Clin Gastroenterol. 2016 Feb;30(1):17-25. doi: 10.1016/j.bpg.2015.12.001, PMID 27048893.
Abruzzo A, Vitali B, Lombardi F, Guerrini L, Cinque B, Parolin C. Mucoadhesive buccal films for local delivery of Lactobacillus brevis. Pharmaceutics. 2020 Mar 8;12(3):241. doi: 10.3390/pharmaceutics12030241, PMID 32182651.
Wu W, Chen W, Jin Q. Oral mucoadhesive buccal film of ciprofloxacin for periodontitis: preparation and characterization. Trop J Pharm Res. 2016 Apr 7;15(3):447. doi: 10.4314/tjpr.v15i3.3.
Li A, Khan IN, Khan IU, Yousaf AM, Shahzad Y. Gellan gum-based bilayer mucoadhesive films loaded with moxifloxacin hydrochloride and clove oil for possible treatment of periodontitis. Drug Des Devel Ther. 2021;15:3937-52. doi: 10.2147/DDDT.S328722, PMID 34556975.
Sousa MGC, Maximiano MR, Costa RA, Rezende TMB, Franco OL. Nanofibers as drug-delivery systems for infection control in dentistry. Expert Opin Drug Deliv. 2020 Jul;17(7):919-30. doi: 10.1080/17425247.2020.1762564, PMID 32401065.
NIH. Metronidazole and amoxicillin-loaded PLGA and PCL nanofibers as potential drug delivery systems for the treatment of periodontitis: in vitro and in vivo evaluations-PMC. Available from: https://www.ncbi.nlm.gov/pmc/articles/PMC8395018. [Last accessed on 15 Oct 2023]
Dias AM, da Silva FG, Monteiro APF, Pinzon Garcia AD, Sinisterra RD, Cortes ME. Polycaprolactone nanofibers loaded oxytetracycline hydrochloride and zinc oxide for the treatment of periodontal disease. Mater Sci Eng C Mater Biol Appl. 2019 Oct;103:109798. doi: 10.1016/j.msec.2019.109798, PMID 31349501.
Tonglairoum P, Ngawhirunpat T, Rojanarata T, Kaomongkolgit R, Opanasopit P. Fast-acting clotrimazole composited PVP/HPβCD nanofibers for oral candidiasis application. Pharm Res. 2014 Aug;31(8):1893-906. doi: 10.1007/s11095-013-1291-1, PMID 24554117.
Pinon Segundo E, Mendoza Munoz N, Quintanar D. Nanoparticles as dental drug-delivery systems. Nanobiomater Clin Dent. 2012 Dec 1:475-95.
Dixit RP, Puthli SP. Oral strip technology: overview and future potential. J Control Release. 2009 Oct 15;139(2):94-107. doi: 10.1016/j.jconrel.2009.06.014, PMID 19559740.
Parmar R, Chauhan P, Chavda J, Shah S. Formulation and evaluation of cefixime strips for chronic periodontal treatment. Asian Journal of Pharmaceutics (AJP). 2016 Jan 1;10:232-8.
Deasy PB, Collins AE, MacCarthy DJ, Russell RJ. Use of strips containing tetracycline hydrochloride or metronidazole for the treatment of advanced periodontal disease. J Pharm Pharmacol. 1989 Oct;41(10):694-9. doi: 10.1111/j.2042-7158.1989.tb06343.x, PMID 2575147.
Steinberg D, Friedman M, Soskolne A, Sela MN. A new degradable controlled release device for treatment of periodontal disease: in vitro release study. J Periodontol. 1990 Jul;61(7):393-8. doi: 10.1902/jop.1990.61.7.393, PMID 2388137.
Nam HJ, Kim YM, Kwon YH, Yoo KH, Yoon SY, Kim IR. Fluorinated bioactive glass nanoparticles: enamel demineralization prevention and antibacterial effect of orthodontic bonding resin. Materials (Basel). 2019 Jun 4;12(11):1813. doi: 10.3390/ma12111813, PMID 31167432.
Liang K, Gao Y, Xiao S, Tay FR, Weir MD, Zhou X. Poly(amido amine) and rechargeable adhesive containing calcium phosphate nanoparticles for long-term dentin remineralization. J Dent. 2019 Jun;85:47-56. doi: 10.1016/j.jdent.2019.04.011, PMID 31034857.
de Francisco LMB, Cerquetani JA, Bruschi ML. Development and characterization of gelatin and ethylcellulose microparticles designed as platforms to delivery fluoride. Drug Dev Ind Pharm. 2013 Nov;39(11):1644-50. doi: 10.3109/03639045.2012.728610, PMID 23034061.
Paul M, Pramanik SD, Sahoo RN, Dey YN, Nayak AK. Dental delivery systems of antimicrobial drugs using chitosan, alginate, dextran, cellulose and other polysaccharides: a review. Int J Biol Macromol. 2023 Aug 30;247:125808. doi: 10.1016/j.ijbiomac.2023.125808, PMID 37460072.
Leite ML, Anselmi C, Soares IPM, Manso AP, Hebling J, Carvalho RM. Calcium silicate-coated porous chitosan scaffold as a cell-free tissue engineering system for direct pulp capping. Dent Mater. 2022 Nov;38(11):1763-76. doi: 10.1016/j.dental.2022.09.014, PMID 36182549.
Wang T, Yang S, Wang L, Feng H. Use of multifunctional phosphorylated PAMAM dendrimers for dentin biomimetic remineralization and dentinal tubule occlusion. RSC Adv. 2015 Jan 19;5(15):11136-44. doi: 10.1039/C4RA14744H.
Abouhussein D, El Nabarawi MA, Shalaby SH, El-Bary AA. Cetylpyridinium chloride chitosan blended mucoadhesive buccal films for treatment of pediatric oral diseases. J Drug Deliv Sci Technol. 2020 Mar 1;57:101676. doi: 10.1016/j.jddst.2020.101676.
Perioli L, Ambrogi V, Rubini D, Giovagnoli S, Ricci M, Blasi P. Novel mucoadhesive buccal formulation containing metronidazole for the treatment of periodontal disease. J Control Release. 2004 Mar 24;95(3):521-33. doi: 10.1016/j.jconrel.2003.12.018, PMID 15023463.
Zhao H, Feng H, Liu J, Tang F, Du Y, Ji N. Dual-functional guanosine-based hydrogel integrating localized delivery and anticancer activities for cancer therapy. Biomaterials. 2020 Feb;230:119598. doi: 10.1016/j.biomaterials.2019.119598, PMID 31722785.
Jones MN, Song YH, Kaszuba M, Reboiras MD. The interaction of phospholipid liposomes with bacteria and their use in the delivery of bactericides. J Drug Target. 1997;5(1):25-34. doi: 10.3109/10611869708995855, PMID 9524311.
Pornpitchanarong C, Rojanarata T, Opanasopit P, Ngawhirunpat T, Patrojanasophon P. Catechol-modified chitosan/hyaluronic acid nanoparticles as a new avenue for local delivery of doxorubicin to oral cancer cells. Colloids Surf B Biointerfaces. 2020 Dec;196:111279. doi: 10.1016/j.colsurfb.2020.111279, PMID 32750605.
Pokrowiecki R, Zaręba T, Szaraniec B, Pałka K, Mielczarek A, Menaszek E. In vitro studies of nanosilver-doped titanium implants for oral and maxillofacial surgery. Int J Nanomedicine. 2017;12:4285-97. doi: 10.2147/IJN.S131163, PMID 28652733.
Elbanna SA, Ebada HMK, Abdallah OY, Essawy MM, Abdelhamid HM, Barakat HS. Novel tetrahydro curcumin integrated mucoadhesive nanocomposite κ-carrageenan/xanthan gum sponges: a strategy for effective local treatment of oral cancerous and precancerous lesions. Drug Deliv. 2023;30(1):2254530. doi: 10.1080/10717544.2023.2254530, PMID 37668361.
Kilicarslan M, Ilhan M, Inal O, Orhan K. Preparation and evaluation of clindamycin phosphate loaded chitosan/alginate polyelectrolyte complex film as mucoadhesive drug delivery system for periodontal therapy. Eur J Pharm Sci. 2018 Oct 15;123:441-51. doi: 10.1016/j.ejps.2018.08.007, PMID 30086353.
Şenel S, Ozdogan AI, Akca G. Current status and future of delivery systems for prevention and treatment of infections in the oral cavity. Drug Deliv Transl Res. 2021 Aug;11(4):1703-34. doi: 10.1007/s13346-021-00961-2, PMID 33770415.