
Pharmaceutical and Toxicological Chemistry Department, RUDN University, 6 Miklukho-Maklaya St, Moscow-117198, Russian Federation
*Corresponding author: Tatiana V. Pleteneva; *Email: tvplet@mail.ru
Received: 02 Nov 2023, Revised and Accepted: 04 Jan 2023
ABSTRACT
Objective: The objective of this study is to develop methods for identifying herbal medicines and tinctures by processing spectral results across a wide range of wavelengths using principal component analysis (PCA).
Methods: Medicinal plants and tinctures of valerian, motherwort, and hawthorn have been analyzed using UV spectrophotometry, spectrofluorimetry, ATR FTIR spectrometry, and X-ray fluorescence spectrometry. PCA was used to process the results of spectral analysis. Statistical processing of spectral results was carried out using the OriginPro program (OriginLab Corporation, USA, 2021).
Results: For herbal medicines with sedative, hypotensive, and cardiotonic effects, spectral data libraries have been created in the following dimensions: UV spectrophotometry with 1800 absorption units (Ai), spectrofluorimetry with 4010 fluorescence intensity units (Ii), IR spectroscopy with a light transmittance of 50250 units (Ti), and X-ray fluorescence spectrometry with an intensity of 1568 (Ii). These libraries were used as the primary matrices for PCA. Visualization of the PCA results was done using a scores plot and a loadings plot, which illustrate the contribution of each principal component (PC) to the PCA model. After performing chemometric processing on the original spectral results, it was discovered that samples belonging to the same botanical genus occupy distinct and compact regions in two-dimensional or three-dimensional space. Unknown plant samples (blind samples) and samples of other botanical species were successfully tested using new method.
Conclusion: For the first time, tinctures and medicinal plants were identified based on their botanical genus using spectral techniques coupled with principal component analysis, eliminating the need for a chemical reference substance.
Keywords: Medicinal plants and tinctures, Identification, Spectral analysis, Principal component analysis
© 2024 The Authors. Published by Innovare Academic Sciences Pvt Ltd. This is an open access article under the CC BY license (https://creativecommons.org/licenses/by/4.0/)
DOI: https://dx.doi.org/10.22159/ijap.2024v16i2.49780 Journal homepage: https://innovareacademics.in/journals/index.php/ijap
Identification of tinctures and plant materials using chromatographic and spectroscopic methods is challenging due to their complex chemical composition [1-3]. It is challenging to choose specific marker compounds because plants from different genera contain compounds of the same chemical classes [4, 5]. Rarely this is feasible, such as when valerenic and acetoxyvalerenic acids, which are unique to valerian plants, are chosen as standard samples for chromatographic analysis of valerian preparations [6, 7]. In the majority of cases, the chemical reference substances that are needed are either unavailable or too expensive [7]. Due to the complex composition of herbal medicines and the absence of chemical reference substances, the development of an appropriate analytical identification procedure is necessary.
The rapid development of computer technologies, chemometrics, and analytical equipment offers the possibility of obtaining and processing a large amount of data when measuring low concentrations of substances in biological facilities, including plant materials. Among chemometric methods, principal component analysis (PCA) is the most preferred. This chemometric method reduces the dimensionality of the original dataset and identifies correlation relationships in PC coordinates without losing any information. PCA is a highly useful tool for examining the relationships between objects in the search for groups based on the physical properties of dosage form components [8] or plant components in food [9]. Large sample sets can be used to identify plant medicines of the same botanical genus for which no chemical reference substances have been developed [10, 11]. Reducing the dimensionality of a multivariate dataset and geometrically projecting a set of variables onto new coordinates allows for the division of the objects being analyzed into clusters [12, 13]. In this case, the identification process consists of two stages. The first stage is to collect a series of physicochemical data from the analyzed objects to establish a database of results. The second stage involves visualizing the sample data under study in PC coordinates and comparing them with the spectra from the library. Intellectual participation of the operator is crucial in planning chemometric processing and discussing its results. This concerns the selection of variables and the determination of the most informative experimental areas for subsequent multivariate optimization [14].
The Mahalanobis distance [15] is a measure that determines the level of difference between objects. Differences are considered significant with a 95% probability if they exceed 3 standard deviations (≥3SD) from the mean value of the spectral measurement. In the case of visualizing the results in two dimensions, the Mahalanobis distance can be interpreted as the distance from the center of the result set, which is located within the boundaries of an ellipse, to any point on the plane. In a three-dimensional representation, the results are located within an ellipsoid, and the distances from the center of the ellipsoid to the experimental points characterize their significant differences [16].
Thus, the quality control of herbal medicines becomes more economically feasible through chemometric processing of the results of analytical studies, as opposed to using expensive standard samples [7, 17].
The aim of this study was to develop methods for identifying herbal medicines and tinctures by processing spectral results across a wide range of wavelengths using principal component analysis.
Materials
Medicinal plants–"Valerian rhizomes with roots," "Motherwort herb," and "Hawthorn fruits"; tinctures with sedative, hypotensive, and cardiotonic effects–valerian (Valerianae tinctura), motherwort (Leonuri tinctura), and hawthorn (Crataegi tinctura) from various manufacturers; tinctures of the aforementioned herbal medicines produced in the laboratory from pharmaceutical raw materials through maceration.
Solvents
A mixture of chromatographically pure ethanol (99.8%, Fisher Scientific, UK) and deionized high-resistivity water (18 MΩ×cm, Milli-Q unit, Millipore, UK) was used as the extracting agent.
Spectrophotometric analysis
Absorption spectra in the UV range (from 220 to 400 nm) were obtained for ethanol dilutions of tinctures at a ratio of 1:40 using a Cary 60 UV-Vis spectrophotometer (Agilent Technologies, USA). The UV spectrophotometry library had dimensions of 10 tinctures × 180 wavelengths (λi) = 1800 absorbance units (Ai). Fluorescence spectra of the tinctures, which were diluted with ethanol in a ratio of 1:60, were obtained using the Cary Eclipse spectrofluorimeter (Agilent Technologies, USA) at an excitation wavelength of 330 nm. The spectra were measured from 300 to 700 nm. The spectrofluorimetry library had dimensions of 10 tinctures by 401 fluorescence wavelengths, resulting in a total of 4010 fluorescence intensity units (Ii). ATR Fourier-transform infrared (FTIR) spectra of 15 samples of homogenized (ground and sieved) medicinal plants were obtained using an Agilent Cary 630 IR spectrometer (Agilent Technologies, USA) in the wavenumber range of 4000–650 cm-1. The IR spectrometry library had dimensions of 15 medicinal plants × 3350 wavenumbers (cm-1) = 50250 light transmittance units (Ti). The elemental profile of medicinal plants and dry residues of tinctures was studied using an energy-dispersive X-ray fluorescence spectrometer, the EDX-7000 (Shimadzu, Japan). The dry residue of the tinctures was obtained by removing the solvent and placing them in heat-resistant glass sample bottles. The bottles were then heated in a drying oven (Binder GmbH, FD series, Germany) at a temperature of 100–105 °C until a constant weight was achieved. Samples were ground using a knife mill (Selecline, China) and then sieved through a nylon sieve with a pore diameter of 63 μm (Fisher Bioblock Scientific, USA). The X-ray fluorescence spectrometry library had dimensions of 112 samples by 14 elements, resulting in a total of 1568 intensity values (Ii).
Chemometric and statistical analysis
All data was collected and analyzed using the PCA algorithm. Chemometric processing of spectral results, including PCA analysis, statistical analysis, and graphical representation of the results, were performed using the OriginPro 2021 software package (OriginLab Corporation, USA). Several PCA plots, including scores plots and loadings plots, were generated to visualize the contribution of each PC to the PCA model.
Principal Component Analysis has been applied to process spectral data across a wide range of wavelengths in order to identify distinct tinctures of various botanical genera.
UV spectrophotometry
Electron spectrometry of herbal medicines did not allow for the determination of individual characteristics of the objects under study. The UV spectra of the tinctures showed the combined optical density of various components belonging to the same chemical classes (fig. 1). To establish the identification of the tinctures, the obtained spectral results were grouped in the form of a primary data matrix X (J
, where each row (J) contained variable wavelengths of a single sample (I).

Fig. 1: UV-spectra of the tinctures diluted with ethanol at a ratio of 1:40 (A) and a fragment of the primary matrix X (B). Tinctures: 1-4 valerian; 5-7 motherwort; 8-10 hawthorn. J is the number of variables (λi represents the wavelengths in the selected range of spectral measurements) describing each tincture sample (I)
The initial matrix Х was the product of 180 wavelengths (λi) by 10 types of tinctures (fig. 2). New variables were used to graphically visualize the matrix X. These variables include the matrix of scores T (
), the matrix of loadings Р (
), and the matrix of residues Е (results not included in the conversion); k–converted values of variables (λi) in the new coordinate system [18, 19].

Fig. 2: Schematic representation of the results of spectrophotometric analysis of tinctures after conversion in the PCA report software
The original matrix X is converted into a matrix of scores T=10 × k and a matrix of loadings P= 180 × k, where k represents the optical density values at each wavelength (λi) of all tinctures, as converted in the PCA Report software. As a result of chemometric processing, the original spectral data occupied three distinct regions (represented by spheres of different colors) in a three-dimensional space (with coordinates PC1-PC2-PC3). These regions corresponded to three types of tinctures-valerian, motherwort, and hawthorn (fig. 3).
| A | B | C |
![]() |
![]() |
![]() |
Fig. 3: Results of PCA processing in 3D modeling (A), loadings (B), and scores (C) plots for spectrophotometric results of tinctures: 1-4 valerian; 5-7 motherwort; 8-10 hawthorn
As follows from the loadings plot, the full wavelength range (220-400 nm) includes the maximum information on non-zero variables. The main role in the clustering procedure is played by the second and the third principal components (PC2 and PC3), which have complex dependence and extrema over the entire wavelength range.
According to the scores plot (fig. 3), demonstrating the contribution of each principal component to the dispersion of the results (77.0%+16.1%+5.6%), the total dispersion was 98.7% provided that the Mahalanobis distance was ≥3SD. The scores plot was represented by negative or positive values of the principal components depending on the nature of tincture, which are the basis of their classification into different clusters. For example, valerian tinctures (1-4) can be described mainly by the first component PC1 (positive) and the second one PC2 (negative), motherwort tinctures (5-7)–mainly by the second component PC2 (positive), and hawthorn tinctures (8-10)–mainly by the first component PC1 (negative).
Thus, the chemometric approach based on PCA processing of spectrophotometric results made it possible to accurately distinguish one tincture from another. The developed technique can be recommended for determining the authenticity of tinctures in cases where obtaining and using standard samples is not possible. A prerequisite for its use is the initial creation of a data library with a large batch of samples.
To validate the method's reliability in identifying tinctures using the principal component method, the original library of UV spectra was expanded to include the analysis results of tinctures from another pharmacological group–tinctures of eucalyptus and calendula. Each type of tincture occupies a specific area in three-dimensional space (fig. 4).
| A | B |
![]() |
![]() |
Fig. 4: UV spectra of tinctures from various botanical genera with ethanol dilution in a ratio of 1:40 (A) and the results of PCA processing (В). Tinctures: 1-4 valerian; 5-7 motherwort; 8-10 hawthorn; 11-13 calendula; 14-16–eucalyptus
The study demonstrated the possibility of accurately separating samples of botanical genera using the principal component method.
Spectrofluorimetry
Fluorescence spectrometry of medicinal plants and their extracts is of interest for pharmaceutical analysis because some secondary plant metabolites can fluoresce in the visible region [20]. However, native plant compounds, as well as their metabolites, often belong to the same chemical classes, making it difficult to determine authenticity based on fluorescence spectra. In this study, the fluorescence spectra of tinctures were used to identify tinctures of the selected pharmacological group, similar to UV spectra. However, it was not possible to identify them (fig. 5). The fluorescence spectra of valerian, motherwort, and hawthorn tinctures are almost identical, lying in the regions of 375–510 nm and 650–670 nm. However, the chemometric processing (PCA) of the spectral results for the dependence of fluorescence intensity (I) on the wavelength (λ) at the excitation wavelength λexc = 330 nm enabled us to differentiate the nature of the studied tinctures derived from various botanical genera. As a result, the spheres corresponding to the tinctures occupied separate regions of ellipsoid shape in the three-dimensional space with coordinates PC1-PC2-PC3. The overall dispersion of the spectral results was 96.8% (PC1 71.7%; PC2 19.0%; PC3 6.1%). The positions of the ellipsoids relative to each other on the 3D diagram were within distances that were not less than the permissible values of the Mahalanobis distances (≥3SD).
| A | B |
![]() |
![]() |
Fig. 5: Fluorescence spectra of tinctures (λexc=330 nm) diluted with ethanol at a ratio of 1:60) (A), and the results of PCA processing (B). Tinctures: 1-4 valerian; 5-7 motherwort; 8-10 hawthorn
As can be observed from the loadings (P) curves, the greatest variation in the initial results was found in the regions of 325–500 nm and 650–700 nm, which corresponded to the wavelength range of the fluorescence bands of the tinctures (fig. 6). The score curves (T) indicate that tinctures are characterized as follows: valerian–by the first PC (positive) and the third PC (negative); motherwort-by the first PC (negative) and the second PC (negative); and hawthorn-by the first PC (negative) and the second PC (positive).
Thus, PCA made it possible to distinguish between the tinctures of the selected pharmacological group without the need for standard samples.
| A | B |
![]() |
![]() |
Fig. 6: The loadings (A) and scores (B) plots for spectrofluorimetric results of tinctures: 1-4 valerian; 5-7 motherwort; 8-10 hawthorn
The chosen chemometric method for analyzing fluorescence spectra can be recommended for determining the genuineness of tinctures, provided that a database is created beforehand.
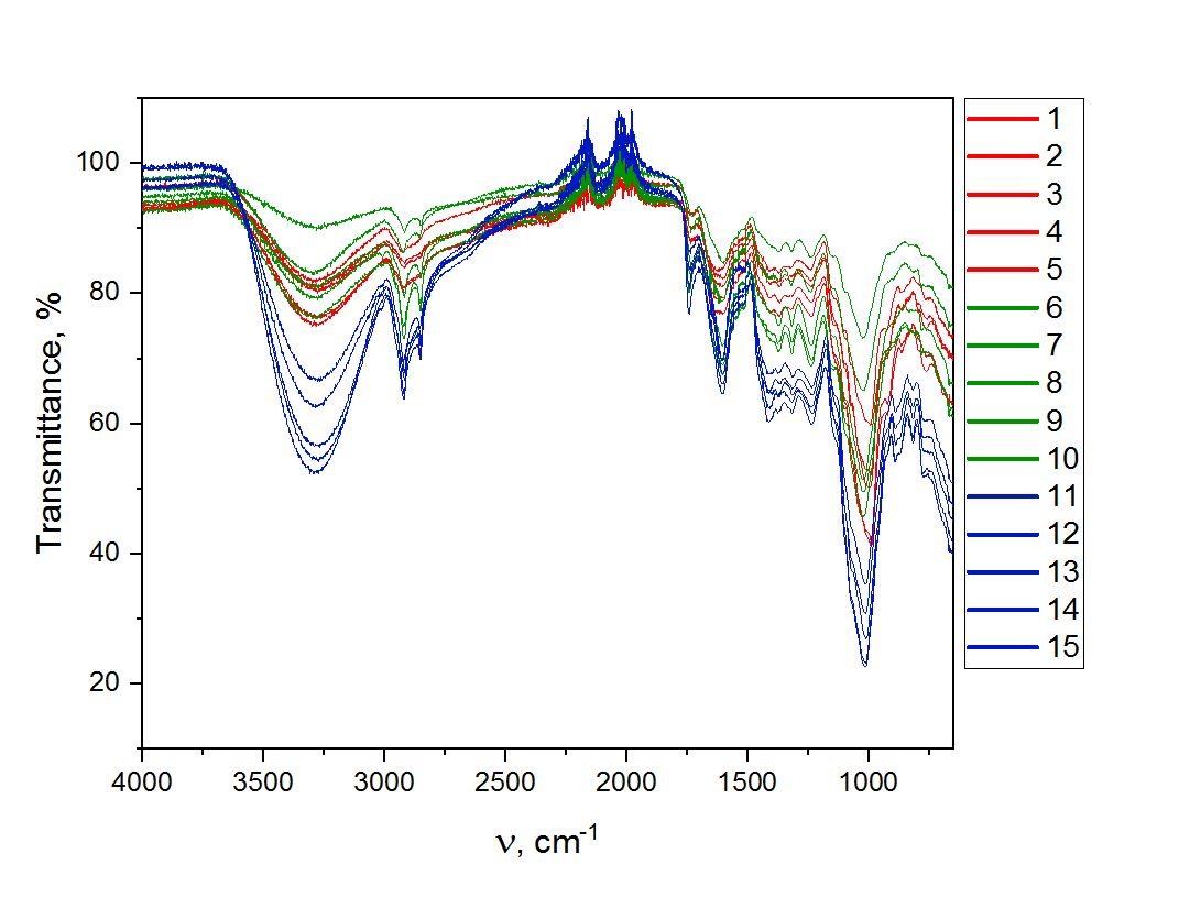
IR spectrometry
Libraries of IR spectra for active pharmaceutical substances, excipients, solvents, and other substances with single-component compositions are available in reference and scientific literature [5, 6, 21]. However, there are no databases of IR spectra for herbal medicines due to their complex composition [22]. The lack of changes in the position of the bands in the IR spectra (fig. 7) can be attributed to the identical composition of the chemical components. By employing a chemometric approach and utilizing PCA to analyze the IR spectra of medicinal plants, distinctions among various botanical genera were identified. Each herbal medicine occupies a distinct area in three-dimensional space.
The PCA allowed for the accurate distinction between medicinal plants, with a total dispersion of spectral results of 97.8% (PC1 62.8%; PC2 30.8%; PC3 4.2%), according to the selected Mahalanobis distances (≥3SD).
The loadings and scores plots were analyzed in a similar manner to identify the mechanism by which the samples were grouped (fig. 8). As can be seen from the loadings plot (P), the entire range of wavenumbers (4000–650 cm-1) shows the maximum dispersion of the initial results, which contributes to the process of separating the samples into clusters. Principal component scores differed among the three types of medicinal plants.
| A | B |
![]() |
![]() |
Fig. 7: IR spectra of homogenized herbal materials (A) and the results of chemometric processing by PCA in a 3D projection (B). Herbal medicines: 1-5 valerian rootstocks with roots; 6-10 motherwort herb; 11-15 hawthorn fruits
| A | B |
![]() |
![]() |
Fig. 8: The loadings (A) and scores (B) plots for IR spectrometry of herbal material samples: 1-5 valerian; 6-10 motherwort; 11-15 hawthorn
Thus, for valerian rhizomes with roots (1-5), the first principal component (PC1) was positive, and the second and third components (PC2 and PC3) were negative, except for one manufacturer. For the motherwort herb (6-10), three components (PC1-PC3) predominantly had positive values. A common feature observed in hawthorn fruits (11-15) from various producers was the presence of negative values for the first three components (PC1, PC2, and PC3), with a few exceptions.
A chemometric approach utilizing PCA, can be employed to analyze infrared spectra and identify medicinal plants. Before using this approach, you must create a preliminary database.
X-ray fluorescence spectrometry
The obtained results of detecting the metallom (elementom) of medicinal plants and dry residues of tinctures formed the basis of a library that included 450 values of X-ray fluorescence intensities. The signal intensities were proportional to the content of the elements. The true contents of nine elements were calculated using an internationally intercalibrated reference sample with a similar biological matrix (NIST-2976). Table 1 shows, as an example, the results of determining the elements in plant samples of valerian.
Table 1: The content of essential elements in the herbal preparation of valerian (mraw material = 6.0006±0.0001 g) and the dry residue of the tincture prepared from this raw material (mdry residue = 0.6216±0.0638 g)
| Element | Amount of element in samples, µmol | |
| Dispersed raw materials | Dry residues of tincture | |
| К | 4574±1 | 612±15 |
| Са | 744±3 | 17±1 |
| Р | 653±9 | 76±2 |
| S | 305±11 | 17±1 |
| Cl | 137±3 | 36±1 |
| Fe | 129±1 | 0.41±0.20 |
| Mn | 21.0±0.1 | 0.31±0.02 |
| Zn | 9.1±0.1 | 0.88±0.17 |
| Cu | 0.49±0.02 | 0.06±0.01 |
Each value shown is the mean±SD (n = 3)
The library created consisted of signal intensities that were proportional to the content of elements in the preparations of valerian, motherwort, and hawthorn. These preparations were positioned in different quadrants of the PC1-PC2 coordinate plane and were separated from each other by a specific Mahalanobis distance (fig. 9). To validate the reliability of the method used to assess the authenticity of herbal raw materials, samples of herbal preparations with unknown origins were included in the data library (blind samples X1-X12). Samples of unknown raw materials occupied the area of valerian raw materials, which confirmed the assumption of the customer of the analysis.
| A | B |
![]() |
![]() |
Fig. 9: Separation of herbal material samples based on the X-ray fluorescence results using PCA: different botanical genera (A) and samples X1-X12 of unknown samples in a valerian cloud scaled up (B)
Thus, the developed method for processing the results of X-ray fluorescence of samples using PCA allowed for the identification of herbal materials without the need for standard samples. This method could be recommended for the identification of tinctures and herbal medicines, provided that a data library.
For the first time, tinctures and medicinal plants were identified based on their botanical genus using spectral techniques coupled with principal component analysis, eliminating the need for a chemical reference substance. This simple and effective methodology can also be used for routine screening and authentication of various herbal medicinal products. It can be implemented in any quality control laboratory.
This paper has been supported by the RUDN University Strategic Academic Leadership Program.
All the authors have contributed equally.
The authors have declared no conflict of interest.
Koshovyi O, Raal A, Kireyev I, Tryshchuk N, Ilina T, Romanenko Y. Phytochemical and psychotropic research of motherwort (Leonurus cardiaca L.) modified dry extracts. Plants (Basel). 2021 Jan 25;10(2):230. doi: 10.3390/plants10020230, PMID 33503956, PMCID PMC7911030.
Mane V, Killedar S, More H, Gaikwad A, Tare H. A novel RP-HPLC gradient elution technique for bioanalytical method development and validation for estimating gallic acid in wistar rat plasma. Int J App Pharm. 2023 Mar 7;15(2):153-60. doi: 10.22159/ijap.2023v15i2.47278.
Pleteneva TV, Galkina DA, Fatkulina OA, Ogotoeva DD, Levitskaya OV, Uspenskaya EV. Arrhenius kinetics in the evaluation of the biological activity of pharmaceutical tinctures. Int J App Pharm. 2023 Jul 7;15(4):277-81. doi: 10.22159/ijap.2023v15i4.48058.
Dias MC, Pinto DCGA, Silva AMS. Plant flavonoids: chemical characteristics and biological activity. Molecules. 2021 Sep 4;26(17):5377. doi: 10.3390/molecules26175377, PMID 34500810, PMCID PMC8434187.
Samtiya M, Aluko RE, Dhewa T, Moreno Rojas JM. Potential health benefits of plant food-derived bioactive components: an overview. Foods. 2021 Apr 12;10(4):839. doi: 10.3390/foods10040839, PMID 33921351, PMCID PMC8068854.
European Pharmacopoeia 11.2. Strasburg: EDQM Council of Europe; 2023. Available from: https://pheur.edqm.eu/subhome/11-2. [Last accessed on 27 Sep 2023].
United States Pharmacopeia. Rockville (MD): United States Pharmacopeial Convention, USA; 2022. p. 2. Available from: https://online.uspnf.com/uspnf. [Last accessed on 29 Sep 2023]
Rini Nastiti CMR, Dwiastuti R, Riswanto FDO. Novel quercetin nanoemulgel optimization: gelling agents evaluation and the application of response surface methodology. Int J App Pharm. 2023;15(1):72-8. doi: 10.22159/ijap.2023v15i1.46585.
Sima IA, Andrasi M, Sarbu C. Chemometric assessment of chromatographic methods for herbal medicines authentication and fingerprinting. J Chromatogr Sci. 2018 Jan 1;56(1):49-55. doi: 10.1093/chromsci/bmx080, PMID 28977618.
Arif Nur I, Fella S, Mabrurotul M, Abdul R. Implementation of chemometrics as a solution to detecting and preventing falsification of herbal medicines in Southeast Asia: a review. J Appl Pharm Sci. 2021 Sep 5;11(9):139-48. doi: 10.7324/JAPS.2021.110917.
Noviana E, Indrayanto G, Rohman A. Advances in fingerprint analysis for standardization and quality control of herbal medicines. Front Pharmacol. 2022 Jun 2;13:853023. doi: 10.3389/fphar.2022.853023, PMID 35721184, PMCID PMC9201489.
Biancolillo A, Marini F. Chemometric methods for spectroscopy-based pharmaceutical analysis. Front Chem. 2018 Nov 21;6:576. doi: 10.3389/fchem.2018.00576, PMID 30519559, PMCID PMC6258797.
Lever J, Krzywinski M, Altman N. Principal component analysis. Nat Methods. 2017 Jun 29;14(7):641-2. doi: 10.1038/nmeth.4346.
Ferreira SLC. Chemometrics and statistics. Experimental design. In: Worsfold P, Townshend A, Poole C, Miro M, editors. Encyclopedia of analytical science. 3rd ed. Amsterdam: Elsevier Ltd; 2019. p. 420-4.
Li Q, Wu Z, Lin L, Zeng J, Zhang J, Yan H. High-level fusion coupled with Mahalanobis distance weighted (MDW) method for multivariate calibration. Sci Rep. 2020 Mar 25;10(1):5478. doi: 10.1038/s41598-020-62396-y, PMID 32214179.
Drumond DA, Rolo RM, Costa JFCL. Using mahalanobis distance to detect and remove outliers in experimental covariograms. Nat Resour Res. 2019 Jan 1;28(1):145-52. doi: 10.1007/s11053-018-9399-y.
Rebiai A, Seghir BB, Hemmami H, Zeghoud S, Amor IB, Kouadri I. Quality assessment of medicinal plants via chemometric exploration of quantitative NMR data: a review. Compounds. 2022 Jun 13;2(2):163-81. doi: 10.3390/compounds2020012.
Olivieri AC. Introduction to multivariate calibration (A Practical Approach)//Principal component analysis: Springer Cham; 2018 Aug 21. doi: 10.1007/978-3-319-97097-4_4.
Panchuk V, Yaroshenko I, Legin A, Semenov V, Kirsanov D. Application of chemometric methods to XRF-data-a tutorial review. Anal Chim Acta. 2018 Dec 21;1040:19-32. doi: 10.1016/j.aca.2018.05.023, PMID 30327110.
Roshchina VV, Kuchin AV, Yashin VA. Application of autofluorescence for analysis of medicinal plants. Int J Spectrosc. 2017 Nov 26;2017:1-8. doi: 10.1155/2017/7159609.
SpectraBase. Online Spectral Database: quick access to millions of NMR, IR, Raman, UV-vis, and Mass Spectra. Hoboken: John Wiley & Sons, Inc. USA. Available from: https://spectrabase.com. [Last accessed on 23 Sep 2023]
Kolosova OA, Trineeva OV. Studying the possibility of application ir spectroscopy for raw material identification valeriana wolgensis kazak. Valeriana Dudia L. Razrabotka I Registraciâ Lekarstvennyh Sredstv. 2022;11(3):162-72. doi: 10.33380/2305-2066-2022-11-3-162-172.