
Department of Pharmaceutics, Manipal College of Pharmaceutical Sciences, Manipal Academy of Higher Education, Manipal, Karnataka, India
*Corresponding author: Vamshi Krishna Tippavajhala; *Email: vamshi.krishna@manipal.edu
Received: 02 Nov 2023, Revised and Accepted: 12 Jan 2023
ABSTRACT
Objective: The study aimed to develop and optimize cromolyn sodium-based ocular in situ gel to improve the ophthalmic contact period and provide sustained drug release for treating allergic conjunctivitis.
Methods: Formulations were prepared using sodium alginate and HPMC K4M (Hydroxypropyl Methylcellulose) polymers and were characterized and evaluated for viscosity, gelling time, in vitro drug release, and optimized using a factorial 32 DOE design (Version 11; Design Expert® software). The resulting cromolyn sodium-based formulation was tested for hyperemia and eye-scratching behavior in Wistar albino rats.
Results: Increased polymer concentrations resulted in higher viscosity with decreased gelling time and in vitro drug release. The optimized formulation achieved a viscosity of 15.350 cps, a gelling time of 55.137 s, and sustained drug release of 92.61% over 12 h. The in vivo pharmacodynamic study of the optimized formulation showed a significant decrease in the frequency of eye-scratching behaviour (7.525) at a significance level of (**p<0.01) and hyperemia (1.125) (***p<0.001, *p<0.05) compared to negative and positive control indicating that the developed in situ formulation improved the drug's therapeutic effectiveness by extending its duration within the cul de sac.
Conclusion: In light of these findings, this optimized cromolyn sodium in situ gel holds promise as a viable alternative to conventional eye drops
Keywords: In situ gel, Cromolyn sodium, Conjunctivitis, Ocular delivery
© 2024 The Authors. Published by Innovare Academic Sciences Pvt Ltd. This is an open access article under the CC BY license (https://creativecommons.org/licenses/by/4.0/)
DOI: https://dx.doi.org/10.22159/ijap.2024v16i2.49781 Journal homepage: https://innovareacademics.in/journals/index.php/ijap
Conjunctivitis is a condition in which there is inflammation in the conjunctival part of the eye. It is also called pink eye [1]. Conjunctivitis can be divided into infectious and non-infectious conjunctivitis based on the physical examination and type of infection. Viral conjunctivitis, herpes conjunctivitis, and bacterial conjunctivitis are infectious, whereas non-infectious conjunctivitis includes allergy, drug, toxin, and chemical-induced conjunctivitis [2–4]. Allergic conjunctivitis is the most common form of ocular allergy, affecting between 5% to 20% of the population. Atopic and vernal keratoconjunctivitis are other forms of ocular allergies. Allergic conjunctivitis is caused by type 1 hypersensitivity reactions mediated by immunoglobulin E (IgE) that contain histamine from degranulated mast cells. Mast cell degranulation causes the release of inflammatory and allergic mediators. Studies have provided evidence that ocular surface irritation is influenced by histamine through its interaction with H1 receptors, while the induction of redness is mediated by both H1 and H2 receptors. Itching is a primary symptom of allergic conjunctivitis, significantly impacting patients' quality of life [5]. Allergic conjunctivitis exhibits pale, watery swelling or edema of the conjunctiva and, in some cases, the entire eyelid, and non-purulent, ropy, and mucoid discharge [1]. Topical mast cell stabilizers, antihistamines, corticosteroids, nonsteroidal anti-inflammatory drugs, and topical antihistamine mast cell stabilizers are among the therapeutic options for allergic conjunctivitis patients. Due to its therapeutic properties in managing allergic diseases, cromolyn sodium is frequently prescribed as a mast cell stabilizer. Initially used to treat allergic asthma, and quickly showed its benefits in treating mastocytosis, intestinal allergies, and allergic skin conditions.
Cromolyn sodium works by inhibiting the histamine release from conjunctival mast cells and degranulating sensitized mast cells [5, 6]. The biopharmaceutical classification system classifies Cromolyn sodium as a class III compound. It is practically insoluble in alcohol and chloroform, and at 20 °C, it is highly soluble in water with a solubility of 100 mg/ml. The oral administration of cromolyn sodium poses challenges in achieving a therapeutic effect due to its high solubility and low permeability, which restrict its absorption from the gastrointestinal tract. Cromolyn sodium has a bioavailability of 0.5-2% and a half-life of 80-90 min [7, 8]. Cromolyn sodium (2% w/v and 4% w/v) is available as eye drops to treat ocular allergic reactions. Conventional eye drops face several disadvantages, such as rapid drainage, drug dilution due to the secretion of tears, systemic absorption, overflow, and spillage from the eye [9].
Research on new ophthalmic drug delivery methods has increased significantly over the last few decades. Several attempts are being made, including collagen shields, inserts, and carrier systems like microspheres, liposomes, and nanoparticles [10]. Currently, in situ gel has gained much attention due to its ability to form the gel instantly inside the eye upon contact with tear fluid. In situ gels are a novel liquid drug delivery system that transforms into a gel upon ophthalmic administration. This unique sol-to-gel transformation property provides numerous benefits to these systems, such as easy administration, fabrication and retentivity at the action site for an extended period, and sustained drug release resulting from gel network development after physiological stimulation [11]. Specific ion-sensitive polysaccharides, like pectin, sodium alginate, and gellan gum, go through a phase transition due to divalent calcium ions (Ca2+) in the lachrymal fluid [12]. Based on this property, sodium alginate and a viscosity enhancer, HPMC K4M, were chosen to improve the efficacy and sustain the drug release of cromolyn sodium for the treatment of conjunctivitis. In situ gelling processes meet the criteria of sustained drug delivery to the eye by prolonging the drug's half-life at the site of action and increasing drug residence time through successful retention at the ocular surface for longer periods [13]. Thus causing an improved bioavailability of the drug and enhanced patient compliance compared to the conventional ophthalmic delivery system [6, 7].
The purpose and goal of this study are to improve the ophthalmic contact time and sustain the cromolyn sodium delivery by formulating it as in situ gel and to assess for its characteristics such as gelling capacity, viscosity, pH, gelling time, in vitro drug release, and in vivo pharmacodynamic study.
Materials
Sodium cromoglycate (Cromolyn sodium) (M/S Marck Biosciences, Ahmedabad), Sodium alginate (low viscosity grade), Hydroxypropyl methylcellulose (HPMC K4M) (Loba Chemie Private Limited, Mumbai), Calcium chloride, Sodium chloride (NaCl), Sodium hydroxide pellets (Nice Chemicals Private Limited, Kerala), Sodium bicarbonate (Srichem, India), Hydrochloric acid (HCl) (Merck Specialities Private Limited, Mumbai), Potassium dihydrogen phosphate (Spectrochem Private Limited, Mumbai), Ovalbumin (Himedia laboratories, Mumbai).
Formulation of In situ gel
The formulation was prepared by dissolving the required sodium alginate and HPMC K4M in distilled water using a magnetic stirrer until the polymers dissolved completely. The cromolyn sodium was dispersed in a separate beaker containing distilled water to form the drug solution. Later, the resulting drug solution was added to the polymeric mixture with continuous stirring to form a uniform mixture. The pH of the solution was adjusted to 7.4 with 0.1 N HCl or NaCl solution [14, 15].
Optimization of cromolyn sodium in situ gel
The Cromolyn sodium in situ formulation was optimized using Design Expert® (DOE) software by factorial design. The experiment included two independent factors, HPMC K4M, and sodium alginate concentrations, with three levels each. As presented in table 1, the responses considered were viscosity, gelling time, and in vitro drug release. Nine experiments were conducted using the 32 full factorial design outlined in table 2. The responses were then recorded and applied to the design to optimize the formulation.
Characterization study
Visual clarity and pH determination
Clarity is the vital factor that should be considered for the ophthalmic formulation, as it should not irritate upon instilling into the eye. The prepared formulations were assessed for transparency and clarity by placing them against a white and black background. A digital pH meter was utilized to measure the pH of the formulated batches (Cyber Scan pH 510; Eutech Instruments, Thermo Fisher Scientific, Navi Mumbai) [16, 17].
Table 1: Independent and dependent factors
| Factors | Levels | |
| Low | High | |
| Independent variables | ||
| Sodium alginate concentration (g) | 0.2 | 0.6 |
| HPMC K4M concentration (g) | 0.05 | 0.15 |
| Dependent variables | Desirability Goal | |
| Viscosity | Minimize | |
| Gelling Time | In range | |
| In vitro drug release | Maximize | |
All the preparations had a constant drug concentration of 10 mg/ml, HPMC K4M: Hydroxypropyl Methylcellulose
Table 2: Experimental runs of 32 factorial designs of cromolyn sodium in situ formulation
| Formulation code | Independent factors | Distilled water (q. s) (ml) | |
| Sodium alginate (g)-A | HPMC K4M (g)-B | ||
| F1 | 0.2 | 0.15 | 20 |
| F2 | 0.4 | 0.05 | 20 |
| F3 | 0.6 | 0.05 | 20 |
| F4 | 0.6 | 0.15 | 20 |
| F5 | 0.2 | 0.05 | 20 |
| F6 | 0.4 | 0.1 | 20 |
| F7 | 0.6 | 0.1 | 20 |
| F8 | 0.2 | 0.1 | 20 |
| F9 | 0.4 | 0.15 | 20 |
q. s.: quantity sufficient, HPMC K4M: Hydroxypropyl Methylcellulose
Gelling capacity test (in vitro gelation study/sol-gel transition study)
It was assessed by adding a drop of the formulation (about 20 µl) into 2 ml of simulated lacrimal fluid (SLF) solution (prepared by combining 0.67 g of NaCl, 0.2 g of sodium bicarbonate, and 0.008 g of calcium chloride dihydrate in 100 ml of distilled water and the final pH of the solution was corrected with 0.1 N HCl to 7.4) equilibrated at 35-37 °C. The time required to form gel was visually observed and coded. Coding for gelation is as follows: 1. Formation of gel in less than 30 s (+++), 2. Formation of gel in 30-50 s (++) and 3. Formation of gel in 50-90 s (+) [18-20].
Rheological studies/Viscosity measurement
The viscosity measurement of the formulated batches was carried out using a Brookfield DV III ultra-programmable rheometer (Brookfield Engineering Laboratories, Middleboro, MA, USA). An aliquot of the sample was kept in a sample holder and spindle no 40 was inserted vertically. It was then rotated at various angular speeds, and the appropriate rate was chosen for further analysis. The viscosity values of the prepared formulations were noted [14].
In vitro diffusion study
In vitro diffusion studies of the formulations were carried out using a modified diffusion cell apparatus. A cellulose membrane (Mwt cut off: 12-14 kilodalton) was soaked overnight in SLF before placing it in between the receptor and donor compartment. 1 ml of the formulations (equivalent to 10 mg of the drug) was placed in a donor compartment. The receptor compartment was filled with 50 ml of SLF and stirred at 50 rpm using a magnetic stirrer bar. The temperature was maintained at 35-37±0.5 °C. 2 ml of the samples was collected from the receptor compartment at 2, 4, 6, 8, 10, and 12 h and replaced with an equivalent amount of the SLF. The analysis of drug release from the samples was conducted at a wavelength of 239.4 nm using a UV-Vis spectrophotometer [18, 21, 22].
In vivo pharmacodynamic study
Ovalbumin was used as an allergen to cause allergic conjunctivitis in Wistar albino rats [23]. The literature revealed that the study on a rat model of ocular allergy displayed a strong correlation between this model and allergic conjunctivitis in humans [24]. So, the rat ocular allergy model was chosen in this study to determine the in vivo efficacy of the formulation due to its simplicity and experimental feasibility in ease of interpretation of the collected data [25, 26].
The in vivo study protocol received approval from the Institutional Animal Ethical Committee (study number: IAEC/KMC/109/2017 dated 30.12.2017) at Manipal Academy of Higher Education, Manipal. Female Wistar rats weighing 150-300 g were used to conduct the study. Before beginning the experimental procedures, the animals were acclimatized in a controlled environment and kept in a propylene cage under standard laboratory conditions of around 25±10 °C and a 12 h light/dark cycle with free access to water and a commercial pellet diet. The animals were divided into three groups: test group (optimized formulation), negative control, and positive control, with each group consisting of six animals. The experiment was performed according to the following stages:
Stage 1: Induction of allergic conjunctivitis
On the first day, the rats were sensitized by injecting 0.6 ml of (0.9% NaCl) normal saline comprising alum (4 mg) and ovalbumin (2 mg) into four-foot pads. They were boosted five days later with a subcutaneous injection of 1 ml of normal saline comprising ovalbumin (2 mg) at ten locations on the back. Later, from day 8 to 15 d, local sensitization was performed by instilling ovalbumin in normal saline (30 µl) per site into bilateral eyes with a micropipette, and the symptoms were assessed.
Stage 2: Instillation of different formulations after induction of conjunctivitis
Before experimenting, the rats were acclimatized for ten days in their respective cages. The optimized formulation was administered to the corresponding treatment group into the bilateral eyes 30 min before the antigen challenge, and the treatment continued for ten days. Similarly, the standard drug solution was instilled in the positive control, and the polymeric solution (without the drug) was instilled in the negative control.
Stage 3: Assessment of symptoms
Following bilateral instillation of ovalbumin normal saline solution (0.9 %), the animals were put into observational cages (one animal per cage). For 20 min, the number of ocular scratches was recorded, and eye-scratching activity was observed when the forelimb was directed twice toward the ocular surface. At a 10 min time interval, hyperemia was assessed, and based on the allergic signs, it was graded from 0 to 4 as shown: 0-no indications; 1-mild hyperemia was observed in a single eye; 2-mild hyperemia observed in both eyes; 3-severe hyperemia observed in one eye, accompanied by mild hyperemia in the other eye, and 4-severe hyperemia observed in both eyes [27].
Statistical analysis
mean±SEM was used to represent all in vivo pharmacodynamic study values. Statistical data analysis was performed using GraphPad software using one-way Analysis of Variance (ANOVA) and Tukey's post hoc analysis. A p-value of less than 0.05 was deemed to indicate statistical significance.
Preparation of cromolyn sodium-in situ formulation
Formulation of in situ forming systems is reliable, reproducible, and simple and involves dissolving cromolyn sodium in polymeric solution (HPMC-K4M and sodium alginate) [28]. Sodium alginate was used as a gelling agent because of its high glucuronic acid concentration, resulting in low viscosity and free-flowing liquids [29]. HPMC is a semi-synthetic, viscoelastic, and inert polymer that acts as a pharmaceutical carrier. It has a high swelling capacity and is non-toxic and non-ionic, making it suitable for modifying or increasing viscosity [14].
Physicochemical characterization of in situ formulation
Visual clarity and pH determination
The formulated batches exhibited visual clarity ranging from clear to turbid. pH of the developed in situ preparation was found within specified limits, ranging from 7.0 to 7.4, as shown in table 3. A pH between 5 and 7.4 is ideal for ophthalmic formulations to reduce discomfort during instillation. So, it must be kept in a normal range because shifting from an acidic to an alkaline pH can cause damage to the eye. Therefore, ensuring that the newly designed ophthalmic formulation does not alter the neutral ocular pH is essential. A similar pH range was observed in the study of in situ ophthalmic gel containing tetrahydrozoline [30]. Parthiban et al. 2010 study depicted the transformation of the solutions into a gel state at the pH of tear fluid (7.4) [31].
Table 3: Physicochemical evaluation with factors and responses for optimizing cromolyn sodium in situ formulation
| Formulation code | Physicochemical evaluation | Factors and responses | ||||||
| Clarity | pH | Sodium alginate (g)--A | HPMC K4M (g)--B | Viscosity (cps) | Gelling time (s) and code | In vitro drug release (%) | ||
| F1 | Clear | 7.19 | 0.2 | 0.15 | 29.26±0.80 | 52.03±1.73 | + | 75.84±0.89 |
| F2 | slightly turbid | 7.23 | 0.4 | 0.05 | 40.20±1.73 | 45.36±2.19 | ++ | 60.86±1.07 |
| F3 | turbid | 7.39 | 0.6 | 0.05 | 56.30±2.62 | 27.19±1.09 | +++ | 47.18±0.21 |
| F4 | turbid | 7.4 | 0.6 | 0.15 | 73.66±0.83 | 23.32±2.20 | +++ | 35.89±1.13 |
| F5 | Clear | 7.2 | 0.2 | 0.05 | 15.5±0.62 | 60.35±1.54 | + | 94.05±1.11 |
| slightly turbid | 7.4 | 0.4 | 0.1 | 47.45±1.20 | 40.21±0.98 | ++ | 56.54±1.02 | |
| F7 | turbid | 7.37 | 0.6 | 0.1 | 60.33±0.83 | 25.48±0.57 | +++ | 38.82±2.17 |
| F8 | Clear | 7.3 | 0.2 | 0.1 | 20.4±0.59 | 56.47±2.16 | + | 86.99±1.05 |
| F9 | slightly turbid | 7.13 | 0.4 | 0.15 | 53.7±0.26 | 35.54±1.10 | ++ | 50.15±1.04 |
HPMC K4M: Hydroxypropyl Methylcellulose, Cps: Centipoise, s: Second. The presented data is expressed as mean±SD (n=3); n denoting the total number of observations.
Optimization of in situ formulation
The DOE version software 11 suggested nine experimental runs from 32 factorial designs, which were performed. The values obtained for viscosity (R1), gelling time (R2), and in vitro drug release (R3) were reported in table 3.
Various mathematical models, including 2FI, linear, cubic, and quadratic, were employed to analyze the responses obtained from the study. Regression polynomial equations were employed to assess the impact of factors on the dependent response. The collected data were analyzed using ANOVA with a significance level of 0.05 %. Statistical parameters such as the degrees of freedom, the sum of squares, the mean square, and Fischer's value were used in the analysis. A p-value below 0.05 denotes a statistically significant model, whereas a p-value exceeding 0.05 indicates a model that lacks statistical significance. The polynomial equations obtained from the software are presented below.
For Viscosity:

For Gelling time:

For In vitro drug release:

The polynomial equations include first-order main effects, coefficients for intercept, interaction effects, and higher-order effects with negative and positive signs indicating antagonistic and synergistic effects of A and B on R1, R2, and R3. The factor effects and p-values result of the responses are shown in table 4.
The contour and response surface 3D plots were employed to study the further correlation between the independent and response variables. The significant factors in equation (R1) showed a synergistic effect on response R1 (table 4). The formulation's viscosity is essential in assessing its ocular residence time, directly proportional to its polymer content. The solvent sheath layer surrounding the individual particle promotes the inherent viscosity-building capacity of sodium alginate and HPMC-K4M [21]. The data and fig. 1A also demonstrated that an increase in A and B amounts showed a substantial increase in viscosity. The rheological evaluation in the eye of all formulations displayed pseudoplastic flow after gelling and Newtonian flow before gelling [15]. An optimal viscosity of the formulation in a solution form is necessary for easy instillation into the eye, where it will rapidly transition from sol to gel. Nanjwade et al. reported that 15-50 cps range viscosity values typically improve eye contact time. Ocular formulations should have minimal influence on the pseudoplastic nature of the precorneal tear film during administration [32]. Viscoelastic fluid with low viscosity under high shear rate conditions and high viscosity under low shear rate conditions is frequently used because the range of ophthalmic shear rates is very wide, from 0.03 s-1 through interblinking time to 4250-28,500 s-1 during blinking [31].
Table 4: Summary of quadratic models with factor effect and corresponding p-value
| Factor | R1: Viscosity factor effect | p-value | R2: Gelling time factor effect | p-value | R3: In vitro drug release factor effect | p-value |
| A | +20.85 | 0.0001 | -15.48 | <0.0001 | -22.49 | 0.0001 |
| B | +7.42 | 0.0022 | -3.67 | 0.0056 | -6.71 | 0.0047 |
| AB | +0.9000 | 0.4006 | +1.11 | 0.1746 | +1.74 | 0.2045 |
| A2 | -4.57 | 0.0393 | +0.4367 | 0.6567 | +7.27 | 0.0175 |
| B2 | +2.03 | 0.2165 | -0.0883 | 0.9271 | -0.1283 | 0.9382 |
A: Sodium alginate, B: HPMC-K4M (Hydroxypropyl Methylcellulose)
The effect of HPMC-K4M and sodium alginate concentration on gelling time is depicted in fig. 1B. Equation (R2) indicates that the linear contributions of A and B had an antagonistic effect on R2. The quadratic contributions of B2 and the interaction effects of A and B were not considered as the p-value was greater than 0.05 (table 5), and the gelling time of the prepared formulations decreased as the polymer concentration increased, indicating gel formation in less time. After instilling the formulation into the eye, if it takes longer to convert into the gel, it leads to nasolacrimal drainage and high tear fluid turnover. As a result, this characteristic is required to prevent leakage of the formulation from the eye [33]. The buffering capacity of the simulated lachrymal fluid is responsible for forming an instantaneous gel. The presence of higher amounts of gelling agents in the formulations resulted in an enhancement of gel strength. This improvement is primarily attributed to the polymer's ability to enhance gelling effectiveness when exposed to electrolytes in simulated tear fluid (STF) [21]. Alginate forms a stable hydrogel when specific divalent cations (such as Strontium and Ca2+) engage ionically with the carboxyl functional group of the polymer chain's G moieties. This phenomenon supports the characteristics of in situ gelling [14].
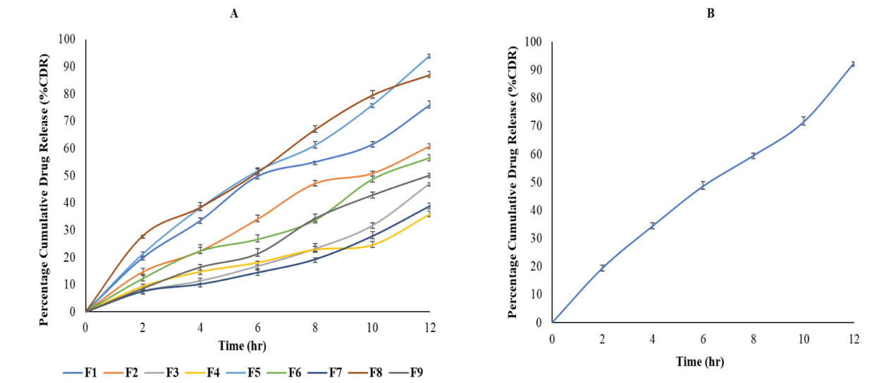
In equation (R3), the linear and quadratic contributions of A, B, and A2 had an antagonistic effect on the response R3. The interaction effects of A, B, and quadratic effects of B2 were considered statistically non-significant, as indicated by their p-values exceeding the threshold of 0.05. Therefore, these effects were excluded from the analysis (table 4). As illustrated in fig. 1C, the release profile of the drug was found to increase with lower polymer concentration and vice versa. The order of drug release from the formulation, as determined through in vitro analysis, was found to be as follows, F5>F8>F1>F2>F6>F9>F3>F7>F4 (fig. 2). This might be due to the increased viscosity because of higher polymer levels resulting in enhanced thickness, hence causing a reduction in the surface area and retardation in the drug release rate from the formulation [18, 21].

Fig. 1: Contour and 3D response surface plots of (A) Effect of sodium alginate and HPMC K4M on viscosity (B) Effect of sodium alginate and HPMC K4M on gelling time (C) Effect of sodium alginate and HPMC K4M on in vitro drug release. HPMC K4M: Hydroxypropyl methylcellulose

Fig. 2: In vitro diffusion study of (A) cromolyn sodium in situ formulations (B) optimized formulation. The presented data is expressed as mean±SD (n=3); n denoting total number of observations
Validation of optimized formulation
Using the DOE software (version 11) and considering the above findings, an optimized formulation was generated with desirability. This optimized formulation was then prepared and utilized for subsequent evaluation studies. In the following equation (R4), the obtained actual and predicted values from the software were substituted to determine the residual error. The residual percentage error was nearer to the predicted values within±15%, as shown in table 5.

Table 5: Validation of the cromolyn sodium in situ optimized formulation
| Independent variables | Responses | Desirability | ||||
| Concentration | ||||||
| Sodium alginate (g) | HPMC K4M (g) | Viscosity (cps) | Gelling time (s) | In vitro drug release (%) | ||
| Software suggested composition | 0.200 | 0.050 | 15.806 | 59.806 | 94.025 | 0.998 |
| Practically performed | 0.200 | 0.050 | 15.352 | 55.137 | 92.61 | |
| Residual error (%) | 2.87 | 7.806 | 1.50 | |||
HPMC K4M: Hydroxypropyl Methylcellulose, cps: Centipoise, s: Seconds
Viscosity, gelling time, and in vitro drug release
The gelling time and viscosity of optimized preparation were determined to be 55.13 s and 15.352 cps, respectively. Fig. 2 showed that the optimized preparation exhibited a superior drug release pattern through the cellulose membrane in the in vitro drug diffusion study. Since the in situ gelling system is prepared in water, the polymer (sodium alginate) completely hydrates, leading to the initial drug release from the formulation. Sawarkar et al., 2016 reported that gelation occurs when the developed in situ gel encounters STF. It forms a prehydrated network where water penetration and hydration no longer limit drug release, resulting in diffusion-controlled release [34, 35].
The movement of the eyeball and shearing action in the eyelid (cul-de-sac) can accelerate the dissolution of gels, leading to potential differences between the in vitro release profile of the drug and the actual release of the drug in the eye [32].
In vivo pharmacodynamic study
The reaction between allergens and IgE antibodies on mast cells in the conjunctival stroma causes allergic conjunctivitis. This reaction triggers the release of chemical mediators, including leukotrienes, prostaglandins, and histamine, from the mast cells into the conjunctival stroma and tears. These mediators can cause ocular burning, itching, chemosis, conjunctival injection, and hyperemia by increasing vascular permeability and inducing vasodilation [36]. However, no literature has explored the topical application of cromolyn sodium in treating ocular allergic conjunctivitis. Thus, the present study aims to examine the efficacy of cromolyn sodium-optimized formulation in treating IgE-mediated allergic conjunctivitis in rats by administering it topically to the eyes.
Eye scratching behavior
A continuous series of quick forelimb movements towards the ocular surface is defined as eye-scratching behavior [26]. After administering the optimized formulation into the eyes, the frequency of eye-scratching behavior was significantly reduced compared to the negative and positive control groups on all observation days (day 1 to day 10). The mean group values for the frequency of eye-scratching behavior were 13.56, 7.766, and 7.525 in the negative, positive, and test groups, respectively (table 6). The test group demonstrated a statistically significant decrease in eye-scratching behavior compared to the negative control, indicating the inhibitory effect of the test group on eye-scratching behavior. Similarly, the negative control showed a statistically significant reduction in eye-scratching behavior compared to the positive control. The data on eye-scratching behavior and hyperemia are illustrated graphically in fig. 3A.
Hyperemia
Various techniques have been employed to evaluate early-phase allergic conjunctivitis (EPR). Conjunctival hyperemia is a common observation in EPR due to the release of chemical mediators [37]. The mean hyperemia values for the positive and negative control groups were 1.700 and 2.230, respectively (table 6). The hyperemia value of cromolyn sodium in situ formulation was 1.125. The test group exhibited a statistically significant difference from the positive and negative control groups. No variation was observed in the day-to-day comparison of the negative and positive control groups. The data on hyperemia is graphically represented in fig. 3B.
No clinical abnormalities or visual damage to the cornea or conjunctiva were observed during the ocular pharmacodynamic study, as shown in fig. 4. Upon instillation of the optimized formulation into the eye, spontaneous gelation occurred due to calcium ions in the lacrimal fluids. The reaction between the calcium ions and alginic acid resulted in cross-linking and the formation of calcium alginate in the form of a gel, which increased the drug's contact and residence time. An in vivo pharmacodynamic study revealed that cromolyn sodium in situ formulation had improved pharmacodynamic activity and reduced symptoms of allergic conjunctivitis compared to the negative and positive control groups. These findings indicate that the in situ cromolyn sodium formulation has significant potential for treating ocular infections.
Table 6: One-way ANOVA results of the eye-scratching behavior and hyperemia
| Eye-scratching behavior | ||||||
| Groups | Tukey's multiple comparison test | mean±SEM | Mean Diff. | 95.00% CI of diff. | Adjusted P-value | Summary |
| Test group | Test group vs Negative control | 7.525±0.573 | -6.035 | -9.702 to-2.368 | 0.0018 | ** |
| Positive control | Test group vs Positive control | 7.766±0.603 | -0.2410 | -3.908 to 3.426 | 0.9841 | ns |
| Negative control | Negative control vs Positive control | 13.56±1.516 | 5.794 | 2.127 to 9.461 | 0.0025 | ** |
| Hyperemia | ||||||
| Test group | Test group vs Negative control | 1.125±0.1340 | -1.105 | -1.673to-0.5375 | 0.0004 | *** |
| Positive control | Test group vs Positive control | 1.700±0.1790 | -0.5750 | -1.143 to-0.007482 | 0.0469 | * |
| Negative control | Negative control vs Positive control | 2.230±0.1470 | 0.5300 | -0.03752 to 1.098 | 0.0689 | ns |
CI: Confidence Interval, Eye scratching Behavior: (**p<0.01)-significant difference between the test group and negative control and between negative and positive control, Hyperemia: (***p<0.001) significant difference between test and negative control, (*p<0.05) significant difference between test and positive control, ns-not significant, the presented data is expressed as mean±SEM (n=6); n: denoting total number of observations

Fig. 3: Comparative scores of the test group, negative and positive control of (A) eye scratching behaviour (B) hyperemia (***p<0.001) (*p<0.05) (**p<0.01). The presented data is expressed as mean±SEM (n=6); n: denoting total number of observations

Fig. 4: Animal eyes induced with allergic conjunctivitis before and after treatment
An ocular in situ gel containing cromolyn sodium was successfully formulated using a combination of sodium alginate as a gelling agent and HPMC K4M as a viscosity enhancer. The formulations were optimized and evaluated using a three-level two, factorial design with sodium alginate and HPMC K4M concentrations as factors and viscosity, in vitro drug release and gelling time as responses. Optimized formulation exhibited good pseudoplastic flow viscosity with an optimal gelling time. Further, an in vivo pharmacodynamic study was performed to evaluate the optimized formulation. The results showed sustained drug release and improved recovery from allergic conjunctivitis compared to the negative and positive control groups. The cromolyn sodium gel was highly effective at reducing inflammation and improving ocular efficacy, making it a promising and safe alternative to currently available medications for allergic conjunctivitis.
The authors extend their appreciation to the Manipal Academy of Higher Education and Manipal College of Pharmaceutical Sciences for their assistance, support, and encouragement during the execution of this work.
All the authors have contributed equally.
The authors declare no conflict of interest
Azari AA, Barney NP. Conjunctivitis: a systematic review of diagnosis and treatment. JAMA. 2013;310(16):1721-9. doi: 10.1001/jama.2013.280318, PMID 24150468.
Sattar SA, Dimock KD, Ansari SA, Springthorpe VS. Spread of acute hemorrhagic conjunctivitis due to enterovirus‐70: effect of air temperature and relative humidity on virus survival on fomites. J Med Virol. 1988;25(3):289-96. doi: 10.1002/jmv.1890250306, PMID 2844979.
O’Brien TP, Jeng BH, McDonald M, Raizman MB. Acute conjunctivitis: truth and misconceptions. Curr Med Res Opin. 2009;25(8):1953-61. doi: 10.1185/03007990903038269, PMID 19552618.
Smith AF, Waycaster C. Estimate of the direct and indirect annual cost of bacterial conjunctivitis in the United States. BMC Ophthalmol. 2009;9(1):13. doi: 10.1186/1471-2415-9-13, PMID 19939250.
Hu FR, Wang IJ, Chen WL, Hou YC. A double-masked study to compare the efficacy and safety of topical cromolyn for the treatment of allergic conjunctivitis. J Formoson Med Assoc Liu Y lin. 2011;110(11):690-4. doi: 10.1016/j.jfma.2011.09.004.
Rodriguez I, Flores Bello J, Marie Serrano Valcarcel J, Lopez Mejias V. Design of potential pharmaceutical-based metal complexes derived from cromolyn a mast cell stabilizer. ACS Omega. 2020;5(46):29714-21. doi: 10.1021/acsomega.0c03320, PMID 33251407.
Alani AWG, Robinson JR. Mechanistic understanding of oral drug absorption enhancement of cromolyn sodium by an amino acid derivative. Pharm Res. 2008;25(1):48-54. doi: 10.1007/s11095-007-9438-6, PMID 17846867.
Minutello K, Gupta V. Cromolyn sodium. InStatPearls. StatPearls Publishing; 2022.
Khokhar P, Shukla V. Ocular drug delivery system-a review based on ocuserts. Int J Pharmacol Res. 2014;3(38):29-41.
Shinde UA, Shete JN, Nair HA, Singh KH. Eudragit RL100-based microspheres for ocular administration of azelastine hydrochloride. J Microencapsul. 2012;29(6):511-9. doi: 10.3109/02652048.2012.665088, PMID 22375685.
Agrawal AK, Das M, Jain S. In situ gel systems as ”smart” carriers for sustained ocular drug delivery. Expert Opin Drug Deliv. 2012;9(4):383-402. doi: 10.1517/17425247.2012.665367, PMID 22432690.
Soniya RD, Dev A, Rathod S, Deshmukh G. An overview of in situ gelling systems. Pharm Biol Eval. 2016;3(1):60-9.
Deka M, Ahmed AB, Chakraborty J. Development, evaluation and characteristics of ophthalmic in situ gel system: a review. Int J Curr Pharm Sci. 2019;11(4):47-53. doi: 10.22159/ijcpr.2019v11i4.34949.
Makwana SB, Patel VA, Parmar SJ. Development and characterization of in-situ gel for ophthalmic formulation containing ciprofloxacin hydrochloride. Results Pharma Sci. 2016;6:1-6. doi: 10.1016/j.rinphs.2015.06.001, PMID 26949596.
Mandal S, Thimmasetty MK, Prabhushankar G, Geetha M. Formulation and evaluation of an in situ gel-forming ophthalmic formulation of moxifloxacin hydrochloride. Int J Pharm Investig. 2012;2(2):78-82. doi: 10.4103/2230-973X.100042, PMID 23119236.
Patil S, Kadam A, Bandgar S, Patil S. Formulation and evaluation of an in situ gel for ocular drug delivery of anticonjunctival drug. Cellul Chem Technol. 2015;49(1):35-40.
Singh M, Dev D. Acacia catachu gum in situ forming gels with prolonged retention time for ocular drug delivery. Asian J Pharm Clin Res. 2022;15(9):33-40. doi: 10.22159/ajpcr.2022.v15i9.45269.
Obiedallah MM, Abdel Mageed AM, Elfaham TH. Ocular administration of acetazolamide microsponges in situ gel formulations. Saudi Pharm J. 2018;26(7):909-20. doi: 10.1016/j.jsps.2018.01.005, PMID 30416345.
Vodithala S, Khatry S, Shastri N, Sadanandam M. Formulation and evaluation of ocular gels of ketorolac tromethamine. Int J Curr Pharm Res. 2010;2(3):33-8.
Prabhu A, Koland M. Development and evaluation of an in situ thermogelling system of ofloxacin for controlled ocular delivery. Asian J Pharm Clin Res. 2019;12(3):567-70. doi: 10.22159/ajpcr.2019.v12i3.31233.
Nair AB, Shah J, Jacob S, Al-Dhubiab BE, Sreeharsha N, Morsy MA. Experimental design, formulation and in vivo evaluation of a novel topical in situ gel system to treat ocular infections. PLOS ONE. 2021;16(3):e0248857. doi: 10.1371/journal.pone.0248857, PMID 33739996.
Al-Juboori ZA, Mahdi ZH, Alhamdany AT. Formulation and evaluation of ocular in-situ gelling system containing ciprofloxacin and naproxen sodium. Res J Pharm Technol. 2021;14(1):91-5. doi: 10.5958/0974-360X.2021.00017.2.
Groneberg DA, Bielory L, Fischer A, Bonini S, Wahn U. Animal models of allergic and inflammatory conjunctivitis. Allergy. 2003;58(11):1101-13. doi: 10.1046/j.1398-9995.2003.00326.x, PMID 14616119.
Calonge MC, Pastor JC, Herreras JM, González JL. Pharmacologic modulation of vascular permeability in ocular allergy in the rat. Invest Ophthalmol Vis Sci. 1990;31(1):176-80. PMID 2105283.
Minami K, Kamei C. A chronic model for evaluating the itching associated with allergic conjunctivitis in rats. Int Immunopharmacol. 2004;4(1):101-8. doi: 10.1016/j.intimp.2003.10.013, PMID 14975364.
Shinde UA, Shete JN, Nair HA, Singh KH. Design and characterization of chitosan-alginate microspheres for ocular delivery of azelastine. Pharm Dev Technol. 2014;19(7):813-23. doi: 10.3109/10837450.2013.836217, PMID 24032373.
Satyam SM, Adiga S, Chogtu B, Laxminarayana Bairy K, Pirasanthan R, Vaishnav RL. Effect of fucithalmic and sofinox eye drops on experimental allergic conjunctivitis in rats. Int J Pharm Pharm Sci. 2014;6(11):458-60.
Nagarwal RC, Srinatha A, Pandit JK. In situ forming formulation: development, evaluation, and optimization using 3(3) factorial design. AAPS PharmSciTech. 2009;10(3):977-84. doi: 10.1208/s12249-009-9285-3, PMID 19636710.
Jain P, Jaiswal CP, Mirza MA, Anwer MK, Iqbal Z. Preparation of levofloxacin loaded in situ gel for sustained ocular delivery: in vitro and ex vivo evaluations. Drug Dev Ind Pharm. 2020;46(1):50-6. doi: 10.1080/03639045.2019.1698598, PMID 31818154.
Okur NU, Yozgatli V, Okur ME. In vitro–in vivo evaluation of tetrahydrozoline-loaded ocular in situ gels on rabbits for allergic conjunctivitis management. Drug Dev Res. 2020;81(6):716-27. doi: 10.1002/ddr.21677, PMID 32359095.
Parthiban KG, Manivannan R, Kumar BS, Ahasan MB. Formulation and evaluation of ketorolac ocular pH-triggered in-situ gel. Int J Drug Dev Res. 2010;2(3):459-67.
Nanjwade BK, Deshmukh RV, Gaikwad KR, Parikh KA, Manvi FV. Formulation and evaluation of micro hydrogel of moxifloxacin hydrochloride. Eur J Drug Metab Pharmacokinet. 2012;37(2):117-23. doi: 10.1007/s13318-011-0070-9, PMID 22015966.
Modi D, Mohammad WMH, Warsi MH, Garg V, Bhatia M, Kesharwani P. Formulation development, optimization, and in vitro assessment of thermoresponsive ophthalmic pluronic F127-chitosan in situ tacrolimus gel. J Biomater Sci Polym Ed. 2021;32(13):1678-702. doi: 10.1080/09205063.2021.1932359, PMID 34013840.
Sawarkar S, Ravikumar P, Pashte P. In situ ophthalmic gel forming Solution of moxifloxacin hydrochloride for sustained ocular delivery. Int J Pharm Sci Res. 2016;7(3):1192-205.
Mali MN, Hajare AA. Ion-activated in situ gel system for ophthalmic delivery of moxifloxacin hydrochloride. Lat Am J Pharm. 2010;29(6):876-82.
Chen X, Li X, Zhou Y, Wang X, Zhang Y, Fan Y. Chitosan-based thermosensitive hydrogel as a promising ocular drug delivery system: preparation, characterization, and in vivo evaluation. J Biomater Appl. 2012;27(4):391-402. doi: 10.1177/0885328211406563, PMID 21750179.
Fukushima A, Tomita T. Image analyses of conjunctival hyperemia in guinea pig allergic conjunctivitis. Graefes Arch Clin Exp Ophthalmol. 2009;247(11):1571-2. doi: 10.1007/s00417-009-1123-5, PMID 19544064.