

Department of Pharmaceutical and Toxicological Chemistry, Peoples Friendship University of Russia (RUDN University), 6 Miklukho-Maklaya St., Moscow-117198, Russian Federation
*Corresponding author: Ivan A. Gaidashev; *Email: bam50@bk.ru
Received: 17 Nov 2023, Revised and Accepted: 06 Jan 2024
ABSTRACT
Objective: Development and validation of a technique for preparation of a reference sample for elemental microanalysis using the XRF technique in terms of repeatability, reproducibility, and optimization of the technique for rapid determination of the elemental composition of medicinal plants based on X-ray fluorescence analysis.
Methods: Samples: fresh shoots of Kalanchoe daigremontiana, ready reference sample "Birch Leaf" LB-1 (A. P. Vinogradov Institute of Geochemistry, Siberian Branch of the Russian Academy of Sciences, Irkutsk, Russia), and IAEA reference sample SRM 2976 (IAEA, MEL, Monaco). The dispersed fraction was analyzed using a Master Sizer 2000 instrument (Malvern Panalytical, Worcestershire, UK). Elemental analysis using an energy dispersive X-ray fluorescence spectrometer EDX-7000 Shimadzu (Shimadzu Corporation, Kyoto, Japan), GZ-AAS using an Agilent instrument, model 240Z AA instrument (Agilent Technologies, Inc., Santa Clara, USA) with electrothermal atomization and Zeeman background correction, and ICP-MS using an Agilent 7500 CE instrument (Agilent Technologies, Inc., Santa Clara, USA).
Results: By the LALLS method, they were separated by the maximum distribution, which was 63 microns, and a minor fraction of 39 microns. This indicates sufficient homogeneity in the sample. Further, homogeneity was proved by the XRF method by measuring six independent samples obtained by the quartering method. Also, the elemental composition of the reference samples was determined: completely dried, homogenized before sifting, and homogenized after sifting. Further, the obtained reference sample of K. daigremontiana was compared with reference samples: IAEA SRM 2976 and "birch leaf methods: ICP-MS, GZ-AAS, XRF.
Conclusion: The reference sample will allow for rapid analysis of medicinal plant raw materials. Standardization of medicinal plants by the content of microelements will allow observing species differences as well as adjusting the concentrations of microelements for therapeutic purposes using medicinal plants.
Keywords: Reference sample, Trace element analysis, XRF, X-ray fluorescence analysis, Medicinal plants
© 2024 The Authors. Published by Innovare Academic Sciences Pvt Ltd. This is an open access article under the CC BY license (https://creativecommons.org/licenses/by/4.0/)
DOI: https://dx.doi.org/10.22159/ijap.2024v16i2.49870 Journal homepage: https://innovareacademics.in/journals/index.php/ijap
Medicinal plants are an extremely advantageous source of both microelements (trace elements) and biologically active substances, precursors for the synthesis of modified ligands, as well as biologically active nanoparticles, the production of which often results in significant costs. Trace elements play a vital role in a variety of biological effects of medicinal plants, and, therefore, they determine not only the therapeutic effect of a particular medicinal plant but also its toxic properties. The biological value of some elements (zinc, iron, copper, chromium, and cobalt) is well known, which allows for establishing their irreplaceability. The toxic properties of these elements appear only at high concentrations, while metals such as cadmium, lead, and mercury do not participate in biochemical reactions and are extremely toxic. The use of medicinal plants in the treatment of many diseases is progressing everywhere due to the breadth of the therapeutic range and the low incidence of side effects. Also, medicinal plants are used for the manufacture of various delivery systems for medicinal substances, for example, nanoparticles based on various forms of metal [1-3].
Medicinal plant raw materials of inadequate quality can pose a significant danger to human health. In this regard, it is extremely important to ensure quality control of medicinal plants to protect patients from toxic microelements. Plants are susceptible to pollution due to unfavorable environmental conditions. Most often, contamination occurs during cultivation and processing [4, 5].
Since the production of medicinal plants is large-scale and control measurements are continuous, the technique necessary for quality control must meet the following criteria: a) rapidity of the measurement itself; b) ease of sample preparation; c) low qualification requirements for operators of hardware and software systems; d) sample preparation, as well as the measurement process itself, should not lead to a change in the sample matrix, all the more so to its destruction. The most popular methods in elemental microanalysis can be divided into three groups: non-destructive (neutron activation analysis, XRF) methods with plasma atomization (ICP-MS, ICP-OES), atomic absorption spectroscopy with electrothermal atomization, and Zeeman background correction (GZ-AAS), which is the most sensitive method. Unlike destructive methods, XRF can be used for simultaneous multielement flow determination and allows in situ analysis of samples. Reducing the number of steps in the analytical sequence will result in a decrease in the level of possible contamination and a decrease in the consumption of expensive reagents. Despite the obvious advantages, the main drawback of this technique is the presence of the complex organic matrix effect, which is the influence of a dielectrically inhomogeneous organic microenvironment on the intensity of X-ray fluorescence. To minimize this effect, a certain sample preparation process was used in this study, designed to universalize the organic matrix, as well as a comparison with other techniques of elemental analysis with subsequent correction of values taking into account variations in the results obtained by XRF. Consequently, XRF is dependent on the classical GZ-AAS and ICP-MS techniques, on the basis of which reference samples with a similar matrix are developed to perform calibration. The complexity and multistage nature of the sample preparation process and high requirements for personnel qualifications in techniques such as GZ-AAS and ICP-MS significantly increase the cost of measurements, especially continuous measurements [6].
One way to solve this problem is to use software that uses constants of fundamental parameters in combination with influence coefficients. However, standardless techniques are limited in their application due to their low accuracy [7].
To determine the microelemental composition of substances with a complex organic matrix in compliance with QA/QC conditions, it is necessary to use a reference sample of the corresponding plant species [8]. There is currently no such reference sample in the domestic practice of elemental analysis of medicinal plant raw materials (medicinal plants) [9].
The principles for developing reference samples require the availability of at least three techniques performed in three different laboratories to ensure repeatability of measurement results as well as reproducibility by establishing a specific sample preparation technique. The reference sample obtained using this approach meets international QA/QC criteria and can be used for elemental microanalysis of a medicinal plant by XRF. The use of one-dimensional methods for external calibration is the most popular due to their simplicity and ease of data processing. On the other hand, better predictive potential can be achieved using multidimensional simulation techniques, especially when dealing with heterogeneous samples. One-dimensional models are usually based on the preparation of a certain set of standards with a similar matrix composition. One of the most important stages in the development of a reference sample is the establishment of certain sample preparation techniques with control over the results at each stage [10].
It is extremely important to preserve the organic microenvironment as much as possible during drying, which involves the use of the freeze-drying method due to its rapidity and, therefore, the lower likelihood of contamination of the homogenate by microorganisms. Next, the dry sample must be crushed and sifted through cells with a certain radius. Further homogeneity testing by methods such as LALLS and DLS is a prerequisite to determining the suitability of the homogenization process and homogeneity over the specified shelf life of the sample. Implementation of laboratory control, whether internal or external, is a prerequisite to obtaining accurate, reliable, and reproducible results from the quantification of the analyzed objects. The process of developing reference samples involves interlaboratory comparisons in laboratories that take part in international intercalibrations and belong to Group No. 1 (laboratories that provided the most reliable results). Admission to international comparisons is subject to the availability of a quality control system, the use of validated methods of chemical analysis, and the provision of reliable results in previous intercalibrations. Compliance of laboratories with these criteria is a guarantee for obtaining reliable results at each stage of analysis. The use of a reference sample, as well as sample preparation techniques developed using these approaches, will provide accurate, reproducible, and reliable results. This study describes the procedure for preparing a reference sample for elemental microanalysis by XRF using the IAEA technique based on the dicotyledon herbaceous plant K. daigremontiana, registered as a raw material for the therapeutic Kalanchoe Juice in the State Register of Therapeutic Agents. Reference samples prepared in accordance with the IAEA technique (Sample No. SRM 2976) and a reference sample (birch leaf) produced using a different technique were compared as well.
Reliability level of results
The study used the international reference sample SRM 2976 (IAEA, MEL, Monaco), manufactured at the IAEA and certified by the National Institute of Standards and Technology (NIST, USA) based on the results of intercalibrations involving more than 140 laboratories around the world, including our group. All results are presented for 3-5 repeats with a confidence level of 95%. The analysis of the prototype reference sample using the GZ-AAS technique was carried out in a leading elemental microanalysis laboratory, which is part of the first group of laboratories undergoing intercalibration in the IAEA system for 15 y.
Selection and sample preparation of raw materials
The following samples of the medicinal plant were selected: fresh shoots of K. daigremontiana, a ready-made reference sample "Birch Leaf" LB-1 (A. P. Vinogradov Institute of Geochemistry)
Siberian Branch of the Russian Academy of Sciences, Irkutsk, Russia), which is a yellow-brown powder ground to a particle size not exceeding 0.14 mm and packaged in hermetically sealed plastic containers with a volume of 100 cm3. The shoots were cut no longer than 10 min before the start of homogenization. Grinding was performed using a rotating blade homogenizer (Stegler LB-2 Ningbo Yilin Electric Appliances, China, Ningbo City) for 15 min until homogeneity was achieved; the weight of the ground raw material was 169.07 g. Next, the homogenized raw material was placed in plastic, hermetically sealed containers and placed in a lyophilizer. Freeze drying of the raw material was performed using a Benchtop Freeze Dryer (Labconco, Kansas City, USA) at -75 °C until condensation completely stopped. The weight of the dried sample was 23.67 g. Grinding of the dried sample was performed using the direct blade impact technique in a mill LM-202 (Plaun, Moscow, Russia) for 2 min. Sifting of the material was performed using a nylon sieve <63 µm until mechanical inclusions were completely separated. As part of the homogeneity test, a dispersion analysis was performed using the LALLS (small-angle laser light scattering) technique to achieve repeatability of measurements on samples taken from the bulk sample. The measurements were performed using an instrument by the Malvern company, instrument model Master Sizer 2000 (Malvern Panalytical, Worcestershire, UK). The technique is based on the scattering of monochromatic laser light, the wavelength of which can be significantly higher than the radius of supramolecular inhomogeneities in the suspension. Thus, unlike dynamic light scattering (DLS), it provides much greater variability in the measured radii of particles in the suspension. The technique included the preparation of a series of three suspended samples of sifted medicinal plant in 1.5 ml Eppendorf tubes; the sample weight was 50 mg. The samples were subjected to centrifugal separation at 2.500 g for 20 min. After that, a 200-µl aliquot was taken, added to a test tube, and diluted to 1.5 ml with distilled water obtained using a Milli-Q unit. Next, homogeneity was controlled using XRF by separating the bulk sample of raw material into six different samples using the quartering method.
The measurements were performed using an energy-dispersive X-ray fluorescence spectrometer, the EDX-7000 Shimadzu (Shimadzu Corporation, Kyoto, Japan). The range of measured elements: 11Na-92U; X-ray generator: a tube with a Rh-anode, air-cooled; voltage: 4–50 kV, current: 1–1000 μA; irradiated area: a circle of 10 mm in diameter; silicon drift detector (SDD), counting method: a digital counting filter; the content of elements according to the value of intensity; automatic change of filters emitting the wavelengths of the corresponding elements; a chamber size of 300 mm x 275 mm x 100 mm. Before measurements, the samples were placed into a closed XRF sample cell and hermetically sealed with Mylar (DuPont de Nemours and Co., Wilmington, USA) film 6 μm thick. The cell with the sample was placed at the window of the instrument; the irradiation area was regulated by a collimator and was 10 mm. Each time, the same sample was measured in the same cell in order to avoid the influence of random factors. Wavelengths under study: S Kα 2.31 keV; K Kα 3.31 keV; Ca Kα 3.69; Mn Kα 5.90; Fe Kα 6.40; Cu Kα 8.04 keV; Zn Kα 8.64. The study time was 50 seconds at each wavelength. The method is based on irradiation of the sample under study by X-rays with a certain energy (keV), as a result of which the atom is excited, the electron transitions to higher energy levels, and during the reverse transition, the release of a light quantum (fluorescence) is observed. The energy of the outgoing radiation depends on the element number and is called characteristic fluorescence, while the intensity depends on the number of excited atoms. The technique for producing a prototype reference sample involves monitoring an elemental composition at each stage of sample preparation and identifying the following samples: the edge of the leaf before homogenization, the middle of the leaf, homogenized raw material, frozen raw material, dry raw material after homogenization, ground raw material, sifted, and six different samples after sifting, separated by the quartering method. The weight of each sample was 1.0000 g. To determine the shelf life or use life of the reference sample, monthly measurements of elemental composition were performed for 1 y. As part of intercalibration, an intermethod comparison of data obtained using XRF was performed. The methods selected for comparison were atomic absorption spectroscopy with electrothermal atomization in a graphite cell, with background correction based on the Zeeman effect [11]; inductively coupled plasma mass spectrometry. Atomic absorption spectroscopy is a destructive method of elemental analysis based on the absorption of radiation by the elements under study with a wavelength corresponding to their resonant transition. Samples of the medicinal plant were mineralized in 10 ml of aqua regia in Teflon bombs for 24 h. Further, they were incubated at increased pressure in a microwave oven (MDS 2000, CEM Corporation, Matthews, USA) in the following modes: 140 seconds at 80% power and 300 seconds at 100% power. The measurements were performed using an Agilent instrument, model 240Z AA (Agilent Technologies, Inc., Santa Clara, USA), with electrothermal atomization and Zeeman background correction [12].
1 ml of 72% HNO3 (Merc Life Science LLC, Moscow, Russia) was added to raw material samples weighing 50 mg, and ignition was carried out in an ultrasonic bath with a thermostat at a temperature of 70–90 °C for 30 min. Then, 0.4 ml of 30% (Merc Life Science LLC, Moscow, Russia) hydrogen peroxide was added to the raw material samples and kept in the ultrasonic bath under the same conditions for 30 min. After ignition, distilled water was poured into the test tubes to a volume of 15 ml and kept in the ultrasonic bath with a thermostat for 30 min at a temperature of 70–90 °C. The test tubes and their contents were kept at room temperature for 12 h before being weighed. The calculated amount of nitric acid in solutions was 2%. The resulting solutions were centrifuged for 10 min in a centrifuge (Mini Spin, Eppendorf, Hamburg, Germany) at a speed of 13400 rpm. Further, 1.8 ml of supernatant liquid were transferred by weight to other centrifuge test tubes. As an internal standard, 40 μL of indium working solution (In = 477.65 ppb, prepared from the standard solution In = 989 ppm of the Fluka Analytic company, Switzerland) were added to the test tubes. The concentration was 10 ppb. The same was done when preparing a blank sample. All weighing operations were performed using an analytical balance with a weighing error of±0.0003 g (Mettler Toledo AG104, Columbus, USA). The resulting solutions were analyzed using an quadrupole mass spectrometer, the Agilent 7500ce (Agilent Technologies Inc., Santa Clara, USA). Samples were introduced using a quartz concentric nebulizer with a flow rate of 400 μL/min and a delivery mode of self-spray. A quartz Scott spray chamber and a quartz torch with the Shield Torch system were used [13].
According to the results of the dispersion analysis performed applying the LALLS method, the maximum distribution was detected at 63 µm and the minor fraction at 39 µm, which allowed concluding that the raw material was homogeneous (fig. 1).

Fig. 1: Dispersion characteristics of the reference sample prepared from K. daigremontiana
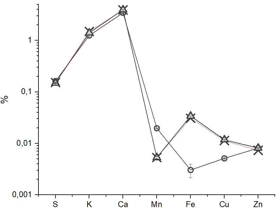
Achieving homogeneity of the dispersed fraction is a necessary condition for ensuring the repeatability of results as well as leveling the effect of the complex organic matrix. The homogeneity data obtained by the LALLS method were confirmed by analyzing three independent samples of the prototype reference sample using XRF (fig. 2).
The elemental analysis by the XRF technique of dried whole raw material showed the following values: S (0.168±11.63%), K (1.249±0.17%), Ca (3.95±0.55%), Mn (0.0196±0.783%), Fe (0.00303±29.34%), Cu (0.005±%), and Zn (0.0036±0.712%).
For dry raw materials ground before sifting: S (0.151±1.97%), K (1.48±0.122%), Ca (3.93±0.320), Mn (0.0053±5.84%), Fe (0. 0308±2.69%), Cu (0.96±3.72%), Zn (0.007±2.33%) (fig. 2).

Fig. 2: Homogeneity tests of independent samples separated by the quartering method using XRF. Fluorescence intensity was normalized according to the Shimadzu protocol. Three independent samples are indicated with the following symbols: horizontal bar, circle, and cross
After sifting: S (0.149±1.71%), K (1.44±0.10%), 3 (3.97±0.27%), Mn (0.0053±4.74%), Fe (0.0317±2.44%), Zn (0.0073%), Mn (0.0048%), Cu (0.104±2.13%) (fig. 3)

Fig. 3: Monitoring the content of microelements at various stages of sample preparation to perform elemental microanalysis using the XRF technique for samples: whole dry (cross), ground (circle), and sifted ground (bar) medicinal plant (prototype reference sample). Absolute error values are given in the text
Also, difference graphs were obtained (fig. 4-6) for the GZ-AAS and ICP-MS techniques by conversion using the formula: Cx=Cgz-AAS/Cxrf x Cn. Where Cx is the sought concentration, Сgz-aas is the concentration obtained by the GZ-AAS technique, Cxrf is the concentration obtained by XRF, and Cn is the concentration obtained by X-ray diffraction at the corresponding stage of sample preparation (n = 1, 2, 3).
n1: concentration of elements in a dry whole sample.
n2: in a dry-ground sample.
n3: in a dry, sifted sample.

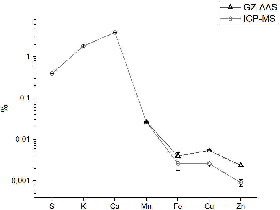
Fig. 4: Element concentrations for dry, whole K. daigremontiana obtained using the following techniques: GZ-AAS (triangle) and ICP-MS (circle). Absolute errors in determining concentrations are given in the text

Fig. 5: Element concentrations for dry, ground K. daigremontiana obtained using the following techniques: GZ-AAS (triangle), ICP-MS (circle). Absolute errors in determining concentrations are given in the text
Selection of laboratories for external laboratory control
The deviation in the content of microelements at various stages of sample preparation for the reference sample is due to the heterogeneous distribution of elements in the raw material and a gradual increase in homogeneity after grinding and sifting. The concentration of most elements increased due to the absorption of X-ray fluorescence by water molecules. Also, a decrease in error was found within the measurement of one sample in the order: whole dry>ground dry, before sifting>after sifting. In order to carry out the comparison, the following concentrations of elements were obtained in the prototype reference sample using the GZ-AAS and ICP-MS techniques (table 1).

Fig. 6: Element concentrations for dry, sifted K. daigremontiana obtained using the following techniques: GZ-AAS (triangle), ICP-MS (circle). Absolute errors in determining concentrations are given in the text
The main criterion for laboratory approval was successful participation in previous intercalibrations performed by the IAEA using samples with complex organic matrices (medicinal plants). A sample was sent to each laboratory with a covering sheet containing lists of microelements. The GZ-AAS measurement method was performed by a laboratory participating in IAEA intercalibrations for more than 20 y. The results indicate sufficient homogeneity, which allows proceeding to the next stage of manufacturing the reference sample in comparison with other methods of elemental microanalysis. Comparison with classical methods of elemental microanalysis, such as GZ-AAS and ICP-MS, is necessary to comply with IAEA QA/QC standards. This comparison eliminates the effect of a complex organic matrix on the X-ray fluorescence.
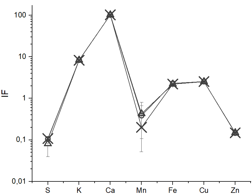
Table 1: Results of inter-calibration of the prototype reference sample with techniques: ICP-MS (column two) and GZ-AAS (column four), XRF (column six), illustration of the matrix effect using the example of the reference sample "birch leaf" (column eight), illustration of the matrix effect by conversion using the formula Int. test х Cref/Int. ref with IAEA reference sample No. SRM 2976. The analysis of the prototype reference sample using the GZ-AAS technique was carried out in a leading elemental microanalysis laboratory, which is part of the first group (A) of laboratories undergoing inter-calibration in the IAEA system for 15 y [14]
| µg/g | ICP-MS (K. daigremontiana) | For repeatability | GZ-AAS (K. daigremontiana) | For repeatability | XRF (K. daigremontiana) | For repeatability | XRF (SRM 2976) Int. test х Cref/Int. ref |
ХRF (birch leaf) | AAS (birch leaf) |
| S | 4012 | 1544 | 10800 | 0.0236 | 1000 | ||||
| K | 17682 | 490 | - | - | 14365 | 40 | 14500 | 4.1 | 7100 |
| Ca | 39712 | 1090 | - | - | 39834 | 53 | 11600 | 39.1 | 16000 |
| Fe | 426 | 17 | 271 | 6 | 317 | 1 | 326 | 18.9 | 730 |
| Zn | 36 | 1 | 96 | 1 | 73 | 1 | 73 | 0.620 | 94 |
| Mn | 11 | 1 | 23 | 3 | 48 | 1 | 246 | 16.4 | 930 |
| Cu | 13 | 1 | 34 | 1 | 104 | 1 | 94 | 4.7 | 7.3 |
As the homogeneity of the raw material increased, an increase in concentrations was shown for K, Ca, Mn, Fe, Zn, and Cu, and a decrease in the concentration of S. Also, stability tests were carried out for 210 d (fig. 7–13).







Fig. 7-13: Kinetics of changes in the content of microelements in the reference sample from day 7 to day 210. The sample showed a<15% deviation from the initial values
The creation of reference samples for elemental analysis is a routine procedure in world practice. However, this procedure is not used in the domestic control and analytical system. Thus, it imposes significant limitations on the data obtained [15].
The reliability of the data is ensured by quality control methods throughout the analysis process. One of the most effective approaches to quality control is the development of a reference sample. Besides the availability of reference samples, an important factor in ensuring the reliability and validity of measurements is the analysis of quality control systems. The process of reference sample development within the framework of IAEA recommendations:
The selection of material in quality control methods often implies that the reliability of the results depends on the matrix and concentration range, which should differ by no more than an order of magnitude from the reference sample. The number of reliably determined substances must correspond to the capacities of a specific control and analytical laboratory. It was shown that to obtain more reliable results, one should contact a reference laboratory, especially if non-validated methods are used. Also, it is necessary to control the stability of the sample matrix at all stages of analysis [16].
The amount of material must be selected in such a way as to eliminate sample shortages at all stages of control measurements, as well as to ensure monthly control of sample stability [17].
Sample preparation is extremely important to ensure the stability of the organic matrix throughout all control and analytical procedures, especially for samples with a matrix susceptible to changes as a result of bacterial contamination (medicinal plants, tissue homogenates, etc.) and to avoid contact with sources of microelement contamination. If possible, matrix stabilization methods such as freeze drying, radiation exposure, and the addition of preservatives should be excluded; however, in cases of short shelf life, these methods are acceptable [18].
Samples should be stored in stable, low-temperature conditions; however, storage at higher temperatures is acceptable if the organic matrix does not change over the selected time period. Samples must be packaged in sealed individual containers [19].
The following indicators of samples intended for long-term storage must be controlled: dispersion characteristics and humidity. Determination of the chemical composition of the sample is necessary to reliably determine the concentrations of the analyzed elements, as well as to carry out statistical processing of the data obtained for subsequent comparison with data obtained in certified laboratories [20, 21].
As new data becomes available, a control chart is formed with a 2-3-time standard deviation plotted on the Y axis. A conclusion about the absence of a systematic error is allowed only on the condition that the data obtained do not exceed the limits of the two-time standard deviation [22].
Basic recommendations for the sample preparation process of reference samples from plant material provide for the minimum possible impact on the organic matrix of the sample. In particular: sample drying mode (freeze-drying or at a temperature that does not cause the release of volatile substances; protein denaturation when using non-destructive methods); storage in a sealed container to prevent moisture loss, which may entail the removal of elements by aerosolization [23].
QA/QC determination of microelements in the raw materials of the medicinal plant, fresh shoots of K. daigremontiana, by X-ray fluorescence analysis.
The technique excludes sample preparation, including:
Cutting shoots of K. daigremontiana. (no longer than 10 min before the start of homogenization), homogenization using a rotating blade homogenizer for 15 min, freeze the drying of raw materials at -75 °C until condensation stops completely, sifting of the raw material using a nylon sieve with a mesh diameter of<63 microns, and separation of sifted raw materials into six independent samples using the quartering method. Before measurements, the samples were placed into a closed XRF sample cell and hermetically sealed with Mylar (lavsan) film 6 μm thick. The cell with the sample was placed at the window of the instrument; the irradiation area was regulated by a collimator and was 10 mm.
The measurements were performed in the same cell in order to avoid the influence of random factors. Elements under study: S Kα 2,31 keV; K Kα 3,31 keV; Ca Kα 3,69; Mn Kα 5,9; Fe Kα 6,40; Cu Kα 8,04 keV; Zn Kα 8,64. Study time: 50 seconds for each element.
Control at each stage of sample preparation, as well as after it, to determine the stability and shelf life of the sample. The sample showed a<15% deviation from the initial values.
Compliance with validation characteristics is an extremely important factor in the development of a reference sample. The following validation characteristics have been studied and confirmed:
The specificity was confirmed by measuring the X-ray fluorescence of the elements with corresponding emission wavelengths contained in the sample of K. daigremontiana that underwent the sample preparation procedure. Thus, the emission at the characteristic wavelength for each element determines the specificity of this technique. Elements under study: S Kα 2,31 keV; K Kα 3,31 keV; Ca Kα 3,69; Mn Kα 5,9; Fe Kα 6,40; Cu Kα 8,04 keV; Zn Kα 8,64. Study time: 50 seconds for each element. Using this technique, representative data were obtained, indicating the presence of certain elements in the sample. As evidence for the "authenticity" indicator, the elemental composition obtained by the XRF technique was compared with the classical GZ-AAS technique (fig. 3).
The limit of quantitation is the difference between the highest and lowest content element in the sample (fig. 3). These elements are Ca and Mn, with contents of 3.97% and 0.0053%, respectively.
The correctness of this technique was confirmed since the presented values lie within the 95% confidence level. And amount to: S (0.149±1.71%), K (1.44±0.10%); Ca (3.97±0.27%), Mn (0.0053±4.74%), Fe (0.0317±2.44%), Zn (0.0073%), Cu (0.104±2.13%).
Repeatability is proven by performing triplicate sample measurements as part of a uniformity determination of six independent samples.
Table 2: Contents of elements in three (1-3) independent samples obtained by the quartering method
| Elements/sample | 1 | 2 | 3 |
| S | 0.17 | 0.13 | 0.17 |
| K | 1.44 | 1.43 | 1.42 |
| Ca | 3.95 | 3.97 | 3.97 |
| Mn | 0.005 | 0.005 | 0.005 |
| Fe | 0.031 | 0.031 | 0.032 |
| Cu | 0.01 | 0.011 | 0.01 |
| Zn | 0.007 | 0.008 | 0.007 |
Table 3: Contents of elements in three (4-6) independent samples obtained by the quartering method
| Elements/sample | 4 | 5 | 6 |
| S | 0.127 | 0.1 | 0.13 |
| K | 1.42 | 1.43 | 1.43 |
| Ca | 3.98 | 3.98 | 3.99 |
| Mn | 0.004 | 0.005 | 0.005 |
| Fe | 0.031 | 0.034 | 0.032 |
| Cu | 0.011 | 0.011 | 0.011 |
| Zn | 0.008 | 0.007 | 0.008 |
Reproducibility was demonstrated within the framework of interlaboratory comparisons organized in accordance with IAEA recommendations.
Comparisons were performed in three independent laboratories using ICP-MS, GZ-AAS, and XRF techniques. The analysis of samples using the GZ-AAS technique was carried out in a leading elemental microanalysis laboratory, which is part of the first group of laboratories undergoing intercalibration in the IAEA system for 15 y. In addition to intra-laboratory validation tests, the IAEA recommends inter-laboratory intercalibrations, which involve the best elemental analysis laboratories around the world. Tests are carried out using reference samples developed and validated by the IAEA. Based on the test results, laboratories are divided into four groups, depending on the degree of reliability of the results obtained. Based on the first two groups, lists of participants in subsequent intercalibrations are formed. Thus, an increase in the reliability of the results obtained is achieved (table 1). Robustness (stability)
An extremely important factor in the stability of a reference sample, especially an organic one, is the storage mode, which will not allow changes in the organic matrix and, accordingly, in the intensity of the X-ray fluorescence signal. If a sample is stabilized using a certain sample preparation procedure, long-term storage is possible. In this study, stability was proven by measuring for 210 d on days 7, 14, 30, 120, and 210. According to the test results, the sample showed a high level of stability. The largest change in element content did not exceed 15% (fig. 7–13). The world QA/QC practice in elemental microanalysis involves the use of a reference sample from the IAEA, or the National Institute of Standards and Technology, USA. A high-quality sample preparation system for a reference sample, especially for samples with a complex organic matrix, can significantly decrease the error, reducing it down to the hardware level [24–29].
Also, the practice of intercalibrations organized by the IAEA is widely used [30, 31].
Despite the high qualifications of the operators, the most reliable way to identify methodological or instrumental errors is intercalibration-external laboratory control (hereinafter referred to as ELC). Traditionally, ELC procedures are used mainly for chemical analysis laboratories and are primarily based on the use of comparison samples (reference samples). Reference samples are provided to intercalibration participants by the organizer, which is the leading quality control laboratory (reference laboratory), which is involved in international intercalibrations. At the control measurement, the results of a laboratory undergoing certification may be influenced by various environmental factors, including sample preparation, handling of the equipment used to carry out the measurement, qualification of reagents, the technical capacity of the hardware and software complex on which control measurements are performed, as well as the processing technique of the results obtained. The advantage of external laboratory control over internal control is proven by the existence of Group 4, which includes laboratories that did not provide any valid results in international inter-calibrations carried out by the IAEA. Classical techniques of elemental microanalysis, such as ICP-MS and GZ-AAS, are used to create IAEA reference samples, but they are resource-intensive and require a complex sample preparation process and qualified personnel. As a technique of continuous analysis, XRF is the optimum method, which allows determining the microelemental composition quickly and in a non-destructive way. However, its main disadvantage is the influence of the complex organic matrix on the intensity of X-ray fluorescence. Thus, this method requires the creation of a reference sample obtained as a result of comparison with the ICP-MS and GZ-AAS techniques. The results of the development of a reference sample for XRF analysis of raw materials with a complex organic matrix of K. daigremontiana, the orpine family, are presented [32]. When converting the content of microelements in the reference sample using the INTtest*Cref/INTref formula incorporating data from the IAEA and "birch leaf" samples, element contents that differed from those established by GZ-AAS were obtained. It is worth noting that this difference is due not only to the different organic matrix but mainly to the sample preparation technique. The reference sample will allow for rapid analysis of medicinal plant raw materials.
Standardization of medicinal plants by the content of microelements will allow observing species differences as well as adjusting the concentrations of microelements for therapeutic purposes using medicinal plants, the microelements in which are in chelated form, the bioavailability of which is higher than that of inorganic salts.
This paper has been supported by the RUDN University Strategic Academic Leadership Program.
All the authors have contributed equally.
The authors declare that there is no conflict of interest.
Tan YQ, Lin F, Ding YK, Dai S, Liang YX, Zhang YS. Pharmacological properties of total flavonoids in Scutellaria baicalensis for the treatment of cardiovascular diseases. Phytomedicine. 2022 Dec;107:154458. doi: 10.1016/j.phymed.2022.154458, PMID 36152591.
Shrivastav S, Rathore KS, Prasad N. Formulation and evaluation of dispersible tablets of flavonoid PGAL isolated from Saraca Asoca leaves. Int J App Pharm. 2023;15(4):125-30. doi: 10.22159/ijap.2023v15i4.47855.
Sriramcharan P, Natarajan J, Raman R, Nagaraju G, Justin A, Senthil V. A review on green-synthesis of cerium oxide nanoparticles: focus on central nervous system disorders. Int J App Pharm 2022;14(4):94-102. doi: 10.22159/ijap.2022v14i4.44487.
Jyothsna S, Manjula G, Suthari S, Nageswara Rao AS. Qualitative elemental analysis of selected potential anti-asthmatic medicinal plant taxa using EDXRF technique. Heliyon. 2020 Feb 4;6(2):e03260. doi: 10.1016/j.heliyon.2020.e03260, PMID 32055725, PMCID PMC7005449.
Tefera W, Liu T, Lu L, Ge J, Webb SM, Seifu W. Micro-XRF mapping and quantitative assessment of Cd in rice (Oryza sativa L.) roots. Ecotoxicol Environ Saf. 2020 Apr 15;193:110245. doi: 10.1016/j.ecoenv.2020.110245, PMID 32092577.
Singh VK, Sharma N, Singh VK. Application of X‐ray fluorescence spectrometry in plant science: solutions, threats, and opportunities. X-Ray Spectrom. 2022;51(3):304-27. doi: 10.1002/xrs.3260.
Orlic J, Grzetic I, Ilijevic K. Effect of sample preparation procedure on standardless wavelength dispersive X-ray fluorescence analysis of plant samples. Spectrochim Acta B. 2021 Oct 1;184:106258. doi: 10.1016/j.sab.2021.106258.
El Hosry L, Sok N, Richa R, Al Mashtoub L, Cayot P, Bou-Maroun E. Sample preparation and analytical techniques in the determination of trace elements in food: a review. Foods. 2023 Feb 20;12(4):895. doi: 10.3390/foods12040895, PMID 36832970, PMCID PMC9956155.
Syroeshkin AV, Pleteneva TV, Uspenskaya EV, Levitskaya OV, Tarabrina IV, Novikova SN. Deuterium as a tool for changing the properties of pharmaceutical substances (review). Int J App Pharm 2021;13(4):65-73. doi: 10.22159/ijap.2021v13i4.41818.
An S, Reza S, Norlin B, Frojdh C, Thungstrom G. Signal-to-noise ratio optimization in X-ray fluorescence spectrometry for chromium contamination analysis. Talanta. 2021 Aug 1;230:122236. doi: 10.1016/j.talanta.2021.122236, PMID 33934759.
Chichaeva MA, Lychagin MY, Syroeshkin AV, Chernitsova OV. Heavy metals in marine aerosols of the Azov Sea. Geogr Environ Sustain. 2020 Jun 24;13(2):127-34. doi: 10.24057/2071-9388-2020-11.
Syroeshkin AV, Goncharuk VV, Chichaeva MA, Matveeva IS, Grishina MP, Maximova TV. Trace elements in marine aerosols. Elsevier J Trace Elem Med Biol. 2017;41(1):17. doi: 10.1016/j.jtemb.2017.03.077.
Thabit TMAM, Elgeddawy DIH, Shokr SA. Determination of some common heavy metals and radionuclides in some medicinal herbs using ICP-MS/MS. J AOAC Int. 2020 Sep 1;103(5):1282-7. doi: 10.1093/jaoacint/qsaa037, PMID 33241389.
Azemard S, Vasileva Veleva E, L Barilaro-Hamonic. editor. International Atomic Energy Agency. Worldwide interlaboratory comparison on the determination of trace elements in oyster biota sample IAEA-470. Vienna: International Arts and Entertainment Alliance Analytical Quality in Nuclear Applications Series No. 56. International Arts and Entertainment Alliance; 2018. p. 5.
Wilschefski SC, Baxter MR. Inductively coupled plasma mass spectrometry: introduction to analytical aspects. Clin Biochem Rev. 2019 Aug;40(3):115-33. doi: 10.33176/AACB-19-00024, PMID 31530963, PMCID PMC6719745.
Quevauviller PH, Maier E, Kramer KJM. Production of certified reference materials for pollutants in environmental matrices. Brussels and CCF academic press: tarbes european commission report EUR 1815. European Commission; 1998. p. 251.
Nikulin A. Development of a technique for determining cadmium, lead, arsenic with the etaas method in medicinal plant raw materials. Farmacia. 2021 Jun 28;69(3):566-75. doi: 10.31925/farmacia.2021.3.20.
Sansoni B, Iyengar G. Sampling and storage of biological materials for trace element analysis. Elemental analysis of biological materials. Vienna: International Arts and Entertainment Alliance, Technical Reports Series No. 197; 1980. p. 67.
Ihnat M. Twenty-five years of reference material activity at agriculture and agri-food canada. Fresenius J Anal Chem. 2001 Jun;370(2-3):279-85. doi: 10.1007/s002160100803, PMID 11451252.
Ihnat M. Development of a new series of agricultural/food reference materials for analytical quality control of elemental determinations. J AOAC Int. 1994 Nov-Dec;77(6):1605-27. doi: 10.1093/jaoac/77.6.1605, PMID 7819768.
Inhat M. Biological reference materials for quality control. Quantitative trace analysis of biological materials. Amsterdam: Elsevier; 1988. p. 331-51.
Huntoon R. Standard reference materials and meaningful measurements, an overview. Standard reference materials and meaningful measurements. Washington, DC: National Bureau of Standards Special Publications 408; 1975. p. 4-56.
Nguyen Q, Doan M, Bui Thi B, Nguyen M, Tran Minh D, Nguyen A. The effect of drying methods on chlorophyll, polyphenol, flavonoids, phenolic compounds contents, color and sensory properties, and in vitro antioxidant and anti-diabetic activities of dried wild guava leaves. Drying Technol. 2023;41(8):1291-302. doi: 10.1080/07373937.2022.2145305.
GOST. 8.315-2019: state system for Ensuring the Uniformity of Measurements. Certified reference materials of composition and properties of substances and materials. Basic Principles. Moscow: Standartinform; 2020. Available from: https://docs.cntd.ru/document/1200169335. [Last accessed on 17 Nov 2023]
GOST. 8.531-2002: state system for ensuring the uniformity of measurements. Reference materials of the composition of solid and disperse materials. Ways of Homogeneity Assessment. Moscow: Izd. Standartov; 2003. Available from: https://docs.cntd.ru/document/1200030459. [Last accessed on 17 Nov 2023]
GOST. R 8.691-2010: state system for ensuring the uniformity of measurements. Certified reference materials. Contents of Certificates and Labels. Moscow: Standartinform; 2010. Available from: https://docs.cntd.ru/document/1200083494. [Last accessed on 17 Nov 2023]
Guide: 99. ISO/IEC Guide 99:2007: International vocabulary of metrology. Basic and general concepts and associated terms (VIM). Geneva: ISO. Vol. 2en; 2007. 1st ed. Available from: https://www.iso.org/obp/ui/en/#iso:std:iso-iec. [Last accessed on 17 Nov 2023]
Guide ISO 30:2015: Reference Materials. Selected terms and definitions. Geneva: BSI. Vol. 1:en; 2015. 3rd ed. Available from: https://www.iso.org/obp/ui/en/#iso:std:iso:guide:30. [Last accessed on 17 Nov 2023]
Guide ISO 33:2015. Reference Materials. Good practice in using reference materials. Geneva: BSI. Vol. 1:en; 2015. 3rd ed. Available from: https://www.iso.org/obp/ui/en/#iso:std:iso:guide:30. [Last accessed on 17 Nov 2023]
Syroeshkin A, Matveeva I, Chikviladze G. Results of long-term intercomparison exercises in IAEA system. Mikroelementy v medicine. Microelements. 2010;11(1):11-4. Available from: https://journal.ru/uploads/2010_1/11-14_2010.pdf. [Last accessed on 17 Nov 2023]
Coquery M, Carvalho FP, Azemard S, Horvat M. The IAEA worldwide intercomparison exercises (1990-1997): determination of trace elements in marine sediments and biological samples. Sci Total Environ. 1999 Sep 30;237-238:501-8. doi: 10.1016/s0048-9697(99)00161-8, PMID 10568298.
Frimpong Manso S, Asiedu Gyekye IJ, Naadu JP, Magnus Aryitey GT, Nyarko AK, Boamah D. Micro and macro element composition of Kalanchoe integra leaves an adjuvant treatment for hypertension in ghana. Int J Hypertens. 2015;2015:579497. doi: 10.1155/2015/579497, PMID 26495138, PMCID PMC4606399.