
Department of Pharmaceutics, JSS College of Pharmacy, (JSS Academy of Higher Education and amp; Research, Mysuru) Ooty-643 001, Nilgiris, Tamil Nadu, India
*Corresponding author: Dhandapani Nagasamy Venkatesh; *Email: nagasamyvenkatesh@jssuni.edu.in
Received: 18 Nov 2023, Revised and Accepted: 26 Dec 2023
ABSTRACT
Objective: The present study aims to increase the solubility and dissolution of atazanavir sulfate (ATZ) by employing a hydrotropic solubilization technique.
Methods: ATZ is a poorly soluble drug classified under the biopharmaceutical classification system (BCS)-II, which accounts for its poor oral bioavailability. Different hydrotropic agents, such as urea and sodium benzoate and their combinations at different ratios were prepared. The prepared hydrotropes were systematically investigated for compatibility between the drug and excipients using Fourier Transform Infra-Red Spectroscopy (FTIR) and Differential Scanning Calorimetry (DSC) approaches. Further, in order to understand the conversion from crystalline to amorphous nature, X-ray Diffraction (XRD) and Scanning Electron Microscopy (SEM) studies were also performed. The formulation of a mixed hydrotropic mixture comprising urea (2.5% w/v) and sodium benzoate (5% w/v) exhibited a 100.35±1.7 % drug release at 0.25 h with higher dissolution efficiency as compared with other batches of individual hydrotrope, mixed hydrotropes as well as pure drug.
Results: FTIR studies revealed that there is no incompatibility between the drug and the selected hydrotropes. DSC studies also confirmed the fact that there is no interaction between the drug and the hydrotropes by the disappearance of an endothermic peak. XRD studies revealed that there was a significant reduction in the intensity of peaks, indicating the conversion of crystalline to the amorphous form. The SEM studies indicated that the drug appears crystalline in the shape of an irregular tiny prismatic needle, indicating its crystallinity. At the same time, the hydrotrope mixtures appeared in agglomerated form with a porous nature, which may be accountable for its increase in solubility. The hydrotropes prepared using urea alone exhibited an increase in solubility of 4.42 folds, and the hydrotrope prepared using sodium benzoate alone exhibited an increase in solubility of 3.178 folds; the combination hydrotropes of urea and sodium benzoate exhibited an increase in solubility of 8.78 folds in water as compared to pure drug. The drug release from the mixed hydrotropes obeys zero-order kinetics with diffusion as the main mechanism.
Conclusion: The present investigation concluded that the combination of hydrotropes enhanced the solubility of the aqueous soluble drug ATZ. However, in vivo studies are essential to establish its potential effect.
Keywords: Atazanavir sulfate, Hydrotropy, Solubility enhancement, Kinetics, Dissolution
© 2024 The Authors. Published by Innovare Academic Sciences Pvt Ltd. This is an open access article under the CC BY license (https://creativecommons.org/licenses/by/4.0/)
DOI: https://dx.doi.org/10.22159/ijap.2024v16i2.49884 Journal homepage: https://innovareacademics.in/journals/index.php/ijap
INTRODUCTION
Poorly aqueous soluble drugs (BCS II) exhibit reduced drug absorption in the gastrointestinal tract (GIT) and eventually lead to inadequate and erratic oral bioavailability. Nowadays, approximately 40% of the newly discovered chemical entities by the pharmaceutical industry exhibit poor water solubility and are lipophilic [1-3]. Most of the newly discovered drugs, due to their lipophilic, hamper the development of oral dosage form, and the formulator has to opt for a parenteral drug instead of the oral route. Solubility is regarded as one of the complicating phenomena that influence the delivery of various drugs. In order to exhibit better oral bioavailability, the drug should exhibit good solubility in the GIT aqueous medium and also possess good permeability to enter systemic circulation [4, 5]. There are different techniques adopted to improve the solubility of the drug, including hydrotropy, solid dispersion, micellar solubilization, PH adjustment and co-crystallization [6, 7]. Recent research focused on solubility enhancement identified hydrotropy as one of the economical, efficient and safe techniques that employs a non-solvent utilization. Hydrotropy is a solubility enhancement method wherein the addictive salt enhances the solubility of a given drug in a given solvent termed “saltin,” and those that decrease solubility are referred to as “saltout.” The amphiphilic molecular structure of hydrotropes poses the ability to increase the solubility of drugs by many folds [8]. Various hydrotropic agents are investigated systematically in improving the solubility of poorly water-soluble drugs such as urea, sodium benzoate, sodium ascorbate, sodium acetate and lactose are extensively investigated [9, 10]. Atazanavir sulfate (ATZ) is a protease inhibitor recommended for the treatment of human immunodeficiency virus (HIV) and acquired immunodeficiency syndrome (AIDS). The drug exhibits poor water solubility with a Log P value of 5.86, categorized under BCS II of low solubility and high permeability [11-13]. Therefore, the objective of the present investigation was to enhance the solubility of ATZ by employing various hydrotropic agents and their combinations.
MATERIALS AND METHODS
Materials
MSN Pharma Chem Private Limited, Kardanur, Telangana kindly gifted atazanavir sulfate [ATZ]. Urea and sodium benzoate were procured from Sigma Aldrich Private Limited, Mumbai. All other chemicals and reagents used in the study were analytical grade and used as they were.
Saturation solubility
To determine the saturation solubility of ATZ in hydrotropes, different stock solutions of hydrotropes of urea and sodium benzoate were prepared in distilled water. From stock solutions, aliquots (5 ml) of these hydrotropes were transferred to a clean glass vial, and a known concentration of the drug (25 mg) was added and placed in an orbital shaker for 24 h maintained at 37±0.5 °C. Further, the agitated solutions were suitably diluted with water and filtered using Whatmann filter paper. The filtrate was examined for drug content by measuring the absorbance at 247 nm against blank distilled water using a UV spectrophotometer (Shimadzu, Japan). The solubility enhancement ratio (SER) was determined using the following equation.
………. (1)
Preparation of ATZ hydrotropes containing different hydrotropic agents
The ethanol-aided co-grinding method was used to prepare different hydrotropes of ATZ employing urea, sodium benzoate and their combinations. The compositions of the different formulations are shown in table 1. A known quantity of drug (100 mg) was weighed and mixed with the known quantity of individual and mixed hydrotropes in a clean mortar and powdered well. Further, ethanol was added dropwise to the above mixture, and grinding was continued to form a smooth paste for 30 min to enable complete dryness to form a dry powder. The product was left overnight and packed in an air-tight bottle for further analysis [14].
Drug–hydrotrope compatibility study
FTIR spectroscopy
Compatibility between the drug and hydrotrope was examined to understand the possible interaction between the drug and selected hydrotrope. The FTIR spectra of materials were scanned between 4000 cm-1 and 400 cm-1 with a resolution of 4 cm-1 [FTIR-4700 type A]. The data obtained were compared with pure drugs to examine any shift in the functional groups and disappearance of existing functional groups.
DSC study
DSC study was used to evaluate the thermal behavior of drug and their combinations. The drug and hydrotropic mixtures of the drug were separately packed in a tight aluminum pan and exposed to heat in the temperature range of 50 to 250 °C at a rate of 10 °C/min with a nitrogen purge of 30 ml/min. An empty pan was kept as a reference material. The samples exhibited exothermic and endothermic peaks and were recorded in an analyzer (DSC Q200, TA Instruments, Mumbai, India).
SEM study
The morphology of the drug and hydrotropes were characterized using SEM (ZEISS, Japan). In brief, the drug and hydrotropes were diluted in distilled water at a ratio of 1:500 v/v. A drop of suspension of the above mixture is placed on a mounting stab followed by a thin coating of gold by putting water (~300 °A) for electrical conductivity at an acceleration voltage of 10 KeV using a magnification of ×10000.
XRD study
XRD diffraction patterns were analyzed using an X-ray diffractometer (Jeol JDX 8030, Tokyo, Japan) employing Ni-filtered CuKα radiation with an operating voltage of 40 KV and 25 mA current. The scanning was carried out at a rate of 1 °/min in the 20-80 ° diffraction angle (2θ) range [15].
Drug content estimation
The content of ATZ in the different hydrotropes was evaluated by the UV spectrophotometry method (Shimadzu, Japan). A known quantity of hydrotropes (50 mg) was transferred into a beaker containing double distilled water, and the mixture was subjected to agitation for 1 h using a magnetic stirrer to ensure complete solubility. Further, the solution was filtered through Whatman filter paper having a pore size of 0.45 µ and estimated for drug content at 275 nm after suitable dilution (table 1).
In vitro release study
The dissolution rate studies were performed using double distilled water (900 ml) maintained at 37±0.5 °C, employing USP XXII apparatus (Electrolab, Mumbai, India) using a paddle method with a rotation of 50 rpm. Hydrotropes from different formulations that exhibited higher DE were chosen. Formulations containing a drug equivalent to 50 mg were filled into a capsule (size 2) and subjected to in vitro dissolution studies. At predetermined time intervals, 5 ml of dissolution media was withdrawn, filtered through Whatman filter paper having a pore size of 0.45 µ and estimated for drug content at 275 nm after suitable dilution (fig. 5).
* 100 ……… (2)
Dissolution percentage (DP), dissolution efficiency (DE), and time for 50% (t50) were estimated from the dissolution data. The area under the curve (AUC) of dissolution was calculated using the Trapezoidal rule to analyze the dissolution efficiency (DE) of the drug from the formulations and expressed by percentage area in the rectangle described by 100% dissolution at the same time. Variations in the data were analyzed statistically by one-way analysis of variance (ANOVA) with a p-value<0.05 (table 1).
Determination of release kinetics
In vitro release profiles of all the hydrotropes of ATZ were fitted into the different kinetics models to understand the release mechanism. The kinetic models such as zero order, first order, Higuchi and Hixon-Crowell were applied to understand the mechanism of drug release from the hydrotropes.
…….. (3)
……… (4)
……….. (5)
………… (6)
Where M0 and Mt correspond to the amount of drug taken at time ‘0’ and dissolved at a particular time ‘t.’ This refers to ‘M0’ and Mt representing the weight of the drug taken initially ‘0’ and at a time ‘t,’ respectively. Various other terms such as K0, K1, KH and K⅓ indicate the release kinetic constants derived from zero order, first order, Higuchi and Hixon-Crowell cube root law, respectively.
RESULTS AND DISCUSSION
Drug hydrotropes compatibility studies
FTIR study
FTIR study revealed the compatibility between the drug and hydrotropes. Fig. 1A 1B shows FTIR of ATZ and drug with a binary system of hydrotropes. These results revealed that the incorporation of ATZ with hydrotropes did not alter the position of respective functional groups. Also, no supplementary or additional peaks were observed in the hydrotropes system, indicating the absence of a chemical reaction between the drug and hydrotropes. Based on the higher solubility profile exhibited by the ATZ from mixed hydrotropes, this batch is evaluated for the compatibility study. All the characteristic peaks of ATZ were observed in their respective wave numbers of 1690 (C=O stretching), 1600-1400 (C=C aromatic), 2980 (C-H aromatic), 1440-1354 (OH) also appeared in the hydrotropes, indicating the lack of significant interaction between drug and selected hydrotropes. This could be an indication of the drug present as monomeric dispersion with hydrotropes by hydrogen bonding. Shift of peaks from 1672.45, 1455.91 and 2958.35, indicating a weak interaction between the drug and hydrotropes (fig 1A, 1B) [16].
DSC study
In the DSC method, the mixed hydrotropes that exhibited higher solubility are subjected to an evaluation of their interaction with the drug. The thermograms of ATZ and the mixed hydrotropes were recorded. ATZ exhibited a corresponding endothermic peak at 200.46 °C corresponding to its melting point. Meanwhile, the mixed hydrotropes exhibited an endothermic peak at 210.32 °C, indicating that there was no interaction between the drug and hydrotropes used in the formulation (fig 2A, 2B) [17].

Fig. 1A: FTIR spectrum of atazanavir sulphate (ATZ) [16]

Fig. 1B: FTIR spectrum of atazanvir (ATZ)+urea+sodium benzoate [16]

Fig. 2A: DSC thermogram of atazanvir sulphate (ATZ) [17]

Fig. 2B: DSC thermogram atazanvir (ATZ)+Urea+sodium benzoate [17]
SEM study
Fig. 3A and 3B depict the scanning electron micrographs of ATZ and drugs with hydrotropes. Pure ATZ exists as a tiny irregular prismatic needle shape, confirming its crystalline nature. However, the ATZ with hydrotropes exhibited an agglomerated form with a porous nature. This indicates the drug encountered a partial loss in crystallinity, which would be accountable for its significant enhancement in dissolution. Other parameters such as reduction in the particle size, increase in surface area, and intimate contact between water-soluble hydrotropes may also be accountable for enhancing the solubility of the drug in the hydrotropes mixture [18].

Fig. 3A: Scanning electron micrograph of atazanavir [18]

Fig. 3B: Scanning electron micrograph of atazanavir with mixed hydrotropes [18]
XRD study
X-ray diffraction of ATZ exhibited a sharp and intense peak, confirming its crystalline nature (fig 4A, 4B). However, in the case of hydrotropes, the ATZ peaks were found to decrease in intensity, confirming the conversion of an amorphous nature that may substantially increase the solubility of the drug. It can also be presumed that the drug, in combination with hydrotropes, does not show any significant physical and chemical interaction between them at their molecular level. The XPRD of the drug exhibited a sharp and intense peak (2θ) at 22.25, 25.57 and 28.53, whereas the hydrotropes exhibited a shifting and reduction in signals conveying the partial amorphization of the drug [19].

Fig. 4A: XRD of atazanavir sulphate [19]

Fig. 4b: XRD of atazanavir sulphate hydrotropes [19]

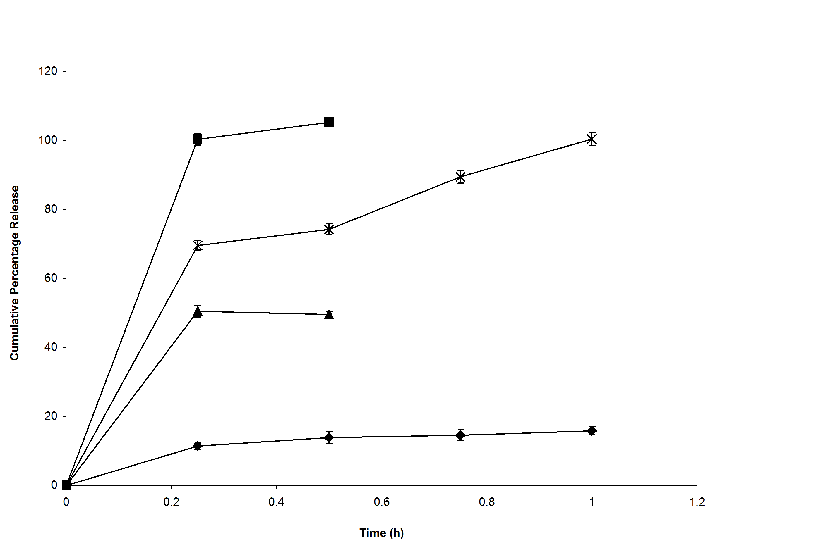
Fig. 5: In vitro dissolution study of drug with hydrotropes (♦-ATZ, ■-ATZ+Sodium, Benzoate+Urea (USB-III), ▲-ATZ+Urea (U-I), ×-ATZ+SB (SB-III)
Table 1: Composition, physicochemical characteristics, dissolution parameters and comparison of release kinetics of various formulations of ATZ [20]
| Code of formulation | Physicochemical parameters | Dissolution parameters | Release kinetics | ||||||||||
| Yield (%)* | Drug content(%)* | Solubility (µg/ml) | DEa(10) | DPb(10) | DEa(30) | DPb(30) | t50c (min) | Zero-order | Higuchi | Hixon-crowell | |||
| (r2) | Slope | (r2) | (r2) | Slope | |||||||||
| PD | NEd | NEd | 4.3(1.8) | NEd | NEd | NEd | NEd | >60 | NEd | NEd | NEd | NEd | NEd |
| U-I | 96.15(1.7) | 98.39(1.2) | 9.12(1.7) | 2.232 | 17.17 | 3.17 | 21.19 | 36.74 | 0.9211 | 0.322 | 0.9606 | 0.905 | -6.11 |
| U-II | 98.47(1.6) | 97.41 (1.2) | 12.12(1.9) | 2.712 | 19.21 | 4.09 | 29.62 | 25.12 | 0.9621 | 0.394 | 0.9611 | 0.907 | -7.48 |
| U-III | 95.26(1.8) | 98.23 (1.4) | 15.16(1.8) | 3.260 | 26.34 | 5.12 | 35.72 | 12.51 | 0.9421 | 0.486 | 0.9974 | 0.91 | -8.2 |
| SB-I | 97.33(1.7) | 95.12 (1.9) | 7.47(1.5) | 2.131 | 30.42 | 4.73 | 40.15 | 2.73 | 0.9523 | 1.065 | 0.9974 | 0.922 | -2.95 |
| SB-II | 96.47(1.6) | 98.12 (1.9) | 10.17(1.6) | 2.672 | 48.17 | 6.12 | 60.12 | 4.13 | 0.9621 | 1.201 | 0.9712 | 0.937 | -3.52 |
| SB-III | 96.52(1.7) | 99.47 (1.1) | 14.78(1.9) | 3.178 | 50.12 | 7.49 | 74.17 | 7.8 | 0.9455 | 1.436 | 0.9933 | 0.904 | -4.02 |
| USB-I | 97.45(1.9) | 98.82 (1.1) | 20.17(1.1) | 3.568 | 65.17 | 8.47 | 78.39 | 2.84 | 0.9322 | 5.985 | 0.9819 | 0.9665 | -2.23 |
| USB–II | 96.28(1.8) | 97.45 (1.2) | 30.12(1.4) | 4.467 | 78.12 | 9.52 | 85.14 | 3.43 | 0.9421 | 6.894 | 0.991 | 0.9727 | -2.87 |
| USB–III | 98.12(1.3) | 97.62 (1.3) | 33.48(1.5) | 7.189 | 96.15 | 10.19 | 105.12 | 4.5 | 0.9921 | 7.95 | 0.9989 | 0.9941 | -3.47 |
*Values parenthesis indicate the standard deviation (n=3), PD: Pure drug; U-I: Urea (1.5% w/w); U-II: Urea (2% w/w); U-III: Urea (2.5 % w/w), SB-I: Sodium benzoate (2.5% w/w); SB-II: Sodium benzoate (3.75% w/w); SB-III: Sodium benzoate (5% w/w); USB–I: Urea (1.5 % w/w)+Sodium benzoate (2.5% w/w); USB–II: Urea (2 % w/w)+Sodium benzoate (3.75% w/w);USB–IIII: Urea (2.5 % w/w)+Sodium benzoate (5% w/w);aDP: Percent drug dissolved at particular time, b%DE: Percent dissolution efficiency at particular time,ct50%: Time taken to release 50% of drug, dNE: Not estimated
Liquid state studies
The in vitro release study of ATZ and its hydrotrope combinations were depicted in fig. 5. The dissolution of the drug was pronounced in the case of mixed hydrotropic combination (ATZ+Urea (2.5% w/v)+Sodium Benzoate (5%w/v). In contrast, the ATZ exhibited 15.87% release at the end of 15 min, while the hydrotropes such as Urea+drug, Urea+Sodium benzoate and ATZ with mixed hydrotropes (Urea+Sodium Benzoate) exhibited 50.48%, 69.6 % and 100.35% at the end of 15 min.
Release kinetics
Table 1 shows the regression parameters derived after fitting into different kinetic models using the invitro dissolution data. The fitness of the various models was evaluated, and by and large, the best model was observed with Higuchi diffusion obeying zero-order kinetics [20] (table 1).
CONCLUSION
This study revealed that the combinations of aromatic and aliphatic hydrotropes (Urea and sodium benzoate) exhibited a pronounced solubility as compared to individual hydrotropes. The hydrotropic property suggests that variability in the solubilization capacity between the different hydrotropes resulted in their self-aggregation properties. The solubility of ATZ was found to increase by 4.42-fold with urea, 3.178-fold with sodium benzoate and 8.78-fold with regard to combination hydrotropes urea (2.5%w/v) and sodium benzoate (5%w/v) and as compared to individual hydrotropes. The increased solubility and higher dissolution rate of ATZ from the hydrotropes can be attributed to an increase in the wettability and conversion to its amorphous state.
ACKNOWLEDGEMENT
The authors would like to thank the Department of Science and Technology–Fund for Improvement of Science and Technology Infrastructure (DST-FIST) and the promotion of University Research and Scientific Excellence (DST-PURSE) for the facilities provided for our department.
ABBREVIATIONS
ATZ: Atazanavir sulphate, FTIR: Fourier Transform Infra-Red Spectroscopy, DSC: Differential Scanning Calorimetry, SEM: Scanning Electron Microscopy, XRD: X-ray Diffraction Studies
FUNDING
Nil
AUTHORS CONTRIBUTIONS
Vijayaragavan Krishnan: Literature review, Data curation and Writing-original draft; Thamarai Selvan Dhandapani: Literature review, Data curation and Writing-original draft; Raagul Seenivasan: Writing-original draft, Conceptualization, Critical Evaluation; Sarvesh R: Writing-original draft, Conceptualization, Critical Evaluation; Sukeshan M P: Writing-original draft, Conceptualization, Critical Evaluation; Saravana Kumar C A: Review and editing, Supervision, Evaluation, Visualization.
Dhandapani Nagasamy Venkatesh: Review and editing, Supervision, Evaluation, Visualization.
CONFLICT OF INTERESTS
Declared none
REFERENCES
Amidon GL, Lennernas H, Shah VP, Crison JR. A theoretical basis for a biopharmaceutic drug classification: the correlation of in vitro drug product dissolution and in vivo bioavailability. Pharm Res. 1995;12(3):413-20. doi: 10.1023/a:1016212804288, PMID 7617530.
Leuner C, Dressman J. Improving drug solubility for oral delivery using solid dispersions. Eur J Pharm Biopharm. 2000;50(1):47-60. doi: 10.1016/s0939-6411(00)00076-x, PMID 10840192.
Bhandare R, Londhe V, Ashames A, Shaikh N, Alabdin SZ. Enhanced solubility of microwave-assisted synthesized acyclovir co-crystals. Res J Pharm Technol. 2020;13(12):5979-86. doi: 10.5958/0974-360X.2020.01043.4.
Behera AL, Sahoo SK, Patil SV. Enhancement of solubility: a pharmaceutical overview. Pharm Lett. 2010;2(2):310-8.
Srivastava A, Khan MA, Bedi S, Bhandari U. Design, optimization, and characterization of a novel amorphous solid dispersion formulation for enhancement of solubility and dissolution of ticagrelor. Int J App Pharm. 2023;15(4):296-305. doi: 10.22159/ijap.2023v15i4.47618.
Sahu VK, Sharma N, Sahu PK, Saraf SA. Formulation and evaluation of floating-mucoadhesive microspheres of novel natural polysaccharide for site-specific delivery of ranitidine hydrochloride. Int J App Pharm. 2017;9(3):15-9. doi: 10.22159/ijap.2017v9i3.16137.
Thenesh Kumar S, Oslin Sebastian SCR. Efficacy of hydrotropes on the solubility of forskolin in water. Int J Appl Pharm. 2016;8(2):1-4. doi: 10.22159/ijap.2016v8i2.10419.
Lee J, Lee SC, Acharya G, Chang CJ, Park K. Hydrotropic solubilization of paclitaxel: analysis of chemical structures for the hydrotropic property. Pharm Res. 2003;20(7):1022-30. doi: 10.1023/a:1024458206032, PMID 12880288.
Bajait MG. Importance of solubility and solubility enhancement techniques. JMPAS. 2019;8(6):2403-16. doi: 10.22270/ jmpas.v8i6.878.
Jayakumar C, Morais AP. Solubility enhancement of theophylline drug using different solubilization techniques. Int J Pharm Pharm Sci. 2012;2:7-10.
Pomerantz RJ, Horn DL. Twenty years of therapy for HIV-1 infection. Nat Med. 2003;9(7):867-73. doi: 10.1038/nm0703-867, PMID 12835707.
Singh G, Pai RS. Atazanavir-loaded Eudragit RL 100 nanoparticles to improve oral bioavailability: optimization and in vitro/in vivo appraisal. Drug Deliv. 2016;23(2):532-9. doi: 10.3109/10717544.2014.930760, PMID 24963752.
Pond SM, Tozer TN. First-pass elimination. Basic concepts and clinical consequences. Clin Pharmacokinet. 1984;9(1):1-25. doi: 10.2165/00003088-198409010-00001, PMID 6362950.
Raagul Seenivasan, Sriram Suresh Iyer, Venkatesh Prasath Narayanasamy, Vijayaraghavan Krishnan, Micah Issac Anand, Dhandapani Nagasamy Venkatesh. Solubility enhancement of terbinafine hydrochloride by hydrotropic technique. JMPAS. 2023;12(1):5596-603. doi: 10.55522/jmpas.V12I1.4067.
Dhandapani Nagasamy Venkatesh, Radhakrishnan A. Dissolution enhancement of raloxifene using water-soluble carrier by solid dispersion technology. Asian J Pharm. 2018;12(1): S346-55.
Borawake PD, Arumugam K, Shinde JV. Formulation of solid dispersions for enhancement of solubility and dissolution rate of simvastatin. Int J Pharm Pharm Sci. 2021 Jul 1;13(7):94-100. doi: 10.22159/ijpps.2021v13i7.41205.
Hardikar SR, Mulla SS. Optimization of formulation of solid dispersion of furosemide by factorial design. Int J Pharm Pharm Sci. 2020 Apr;12(4):43-8. doi: 10.22159/ijpps.2020v12i4.36428.
Mannem V, Suryadevara V, Doppalapudi S. Formulation and evaluation of telmisartan solid dispersions using Entada scandens seed starch and poloxamer-188 as superdisintegrants. Asian J Pharm Clin Res. 2018 Sep;11(9):474-81. doi: 10.22159/ajpcr.2018.v11i9.28422.
Kaushik R, Verma R, Budhwar V, Kaushik D. Investigation of solid dispersion approach for the improvement of pharmaceutical characteristics of telmisartan using a central composite design. Int J App Pharm. 2023;15(5):245-54. doi: 10.22159/ijap.2023v15i5.47968.
Kar A, Ahmed AB. Enhancement of solubility and dissolution of ibuprofen by solid dispersion technique and formulation of sustained release tablets containing the optimised batch of solid dispersion. Int J Curr Pharm Sci. 2017 Sep;9(5):37-44. doi: 10.22159/ijcpr.2017v9i5.22134.